Performance Evaluation of a Multidomain IMS/NGN Network Including Service and Transport Stratum
Abstract
:1. Introduction
2. Related Work
3. Traffic Model
- Call Session Control Function (CSCF) servers:
- Proxy-CSCF, P-CSCF—the first contact point for UE;
- Serving-CSCF, S-CSCF—the main server handling all calls in its domain;
- Interrogating-CSCF, I-CSCF—the server handling messages coming from other domains.
- Service User Profile Functional Entity/Service Authentication and Authorization Functional Entity, SUP-FE/SAA-FE—the element storing user profiles and performing AAA functions.

- Originating UE (UE 2) sends call set-up request (SIP INVITE) to terminating domain (domain 1) (messages 1–11).
- P-CSCF 1 starts transport resources reservation in access and core networks on behalf of UE 1 (messages 14–15) and informs P-CSCF 2 about initiating this process (messages 13 and 16–18).
- P-CSCF 2 starts transport resources reservation in access and core networks on behalf of UE 2 (messages 19–20) and confirms receiving message 18 (messages 21–28).
- P-CSCF 2 informs P-CSCF 1 about successful resource reservation (messages 29–32), and this information is confirmed (messages 33, 35–37).
- After resources are reserved in both domains, SIP INVITE message (34) is sent to UE 1.
- UE 1 starts ringing (messages 39–44), it is confirmed by P-CSCF 2 (messages 45–52).
- UE 1 answers (53–62), which involves updates in packet filtration in access networks (messages 54–55 and 60–61) and ACK confirmation (messages 63–68).
- UE 2 sends a call disengagement request (SIP BYE), which is forwarded to UE 1 and causes resource release in access and core of domains 2 and 1 (messages 69–77).
- Resource release is confirmed (messages 78–82).
| Name | Type of Call | Originating Domain | Same Access Areas | Necessary Resources | Successful | Remarks |
|---|---|---|---|---|---|---|
| b1 | Intra-operator | 1 | Yes | Access 1 | Yes | |
| b2 | Intra-operator | 2 | Yes | Access 2 | Yes | |
| c1 | Intra-operator | 1 | Yes | Access 1 | No | |
| c2 | Intra-operator | 2 | Yes | Access 2 | No | |
| d1 | Intra-operator | 1 | No | Access 1, core 1 | Yes | |
| d2 | Intra-operator | 2 | No | Access 2, core 2 | Yes | |
| e1 | Intra-operator | 1 | No | Access 1, core 1 | No | |
| e2 | Intra-operator | 2 | No | Access 2, core 2 | No | |
| f1 | Inter-operator | 1 | No | All networks | Yes | |
| f2 | Inter-operator | 2 | No | All networks | Yes | |
| g1 | Inter-operator | 1 | No | All networks | No | Variant 1 |
| g2 | Inter-operator | 2 | No | All networks | No | Variant 1 |
| h1 | Inter-operator | 1 | No | All networks | No | Variant 2 |
| h2 | Inter-operator | 2 | No | All networks | No | Variant 2 |


- Intensities of requests generated in both domains:
- UE registration request intensity (lambdaR vector);
- Intra-operator call set-up request intensity (lambda1d vector);
- Inter-operator call set-up request intensity (lambda2d vector).
- Processing times for network elements containing message queues (CSCF servers, RACF C1 and RACF C2):
- Times of processing SIP INVITE message by CSCF servers in both domains (TINV vector);
- Time of message authorization and request type determination by RACF C1 and RACF C2 (TA vector);
- Time of performing elementary database operations by RACF C1 and RACF C2 (Tproc vector);
- Time of processing a response from LER by RACF C1 and RACF C2 (Tresp vector).
- Response times of network elements modeled as random variables (MPLS domains, RACF A1, RACF A2, SUP-FE 1/SAA-FE 1 and SUP-FE 2/SAA-FE 2):
- Mean response time of “MPLS core 1” and “MPLS core 2 (ETR vector);
- Mean time of processing requests by RACF A1 and RACF A2 (EXA vector);
- Mean time of processing requests by SUP-FE 1/SAA-FE 1 and SUP-FE 2/SAA-FE 2 (EY vector).
- Parameters of the transport stratum:
- Ratio of calls involving multiple access areas to all intra-operator calls generated in domains 1 and 2 (rC vector);
- Probability of transport resource unavailability in all access and core networks (pb vector);
- Probability of a successful bandwidth reservation or increase without the necessity of increasing LSP bandwidth in MPLS core networks of operators 1 and 2 (p11 vector);
- Probability of a bandwidth release or decrease without the necessity of decreasing LSP bandwidth in MPLS core networks of operators 1 and 2 (p21 vector).
- Link parameters:
- Lengths (d vector);
- Bandwidths (b vector).
- Types of queuing models for CSCF servers, RACF C1, RACF C2 and links (M/M/1 or M/G/1).
- is the E(CSD) or E(CDD) for the scenario x = b1, b2, d1, d2, f1 or f2;
- is a delay corresponding to sending a message through the i-th link;
- is a delay corresponding to message sojourn in the j-th network element.
- represents mean message waiting time in a communication queue storing messages when links are busy (to obtain the value of this delay, the M/M/1 or M/G/1 queuing model is applied);
- is a message transmission time calculated by dividing the message length by the link bandwidth (message lengths are set according to the values measured experimentally in Ref. [22]; link bandwidths are taken from the b vector);
- is a propagation time proportional to link length (taken from the d vector) and equal to 5μs/km for optical links.
- represents mean message waiting time in the CPU queue buffering messages when the CPU is busy (to obtain the value of this delay, the M/M/1 or M/G/1 queuing model is applied);
- is a message processing time.
- is a factor determining the time of processing a message msg in relation to the time of processing the SIP INVITE message (this parameter depends only on the message type and does not depend on the CSCF server type);
- is the SIP INVITE message processing time by a particular CSCF server, and values of this time for all CSCF servers are stored in the TINV vector.
4. Results and Discussion
4.1. Research Assumptions
4.2. Results
- + indicates that a particular output variable increases when values of the selected parameter of domain 1 are higher (l represents linear increase; n—nonlinear increase);
- − indicates that a particular output variable decreases when values of the selected parameter of domain 1 are higher (l represents linear decrease; n—nonlinear decrease);
- 0 represents no impact of the selected parameter of domain 1 on a particular output variable;
- ≈0 represents a negligible impact of the selected parameter of domain 1 on a particular output variable.
| Input Variable | Data Set 1 | Data Set 2 | Data Set 3 | Data Set 4 | Data Set 5 | Data Set 6 | Data Set 7 | Data Set 8 |
|---|---|---|---|---|---|---|---|---|
| lambdaR [1/s] | D1: 0–350 D2: 50 | 50 | 50 | 50 | 50 | 50 | 50 | 50 |
| lambda1d [1/s] | D1: 0–100 D2: 50 | 50 | 50 | 50 | 50 | 50 | 50 | 50 |
| lambda2d [1/s] | 50 | D1: 0–100 D2: 50 | 50 | 50 | 50 | 50 | 50 | 50 |
| TINV [ms] | 0.5 | D1: 0–0.8 D2: 0.5 | 0.5 | 0.5 | 0.5 | 0.5 | 0.5 | 0.5 |
| TA [ms] | 0.5 | 0.5 | D1: 0.05–2.5 D2: 0.5 | 0.5 | 0.5 | 0.5 | 0.5 | 0.5 |
| Tproc [µs] | 50 | 50 | D1: 5–600 D2: 50 | 50 | 50 | 50 | 50 | 50 |
| Tresp [ms] | 0.5 | 0.5 | 0.5 | D1: 0.05–2.9 D2: 0.5 | 0.5 | 0.5 | 0.5 | 0.5 |
| ETR [ms] | 5 | 5 | 5 | D1: 0–1000 D2: 5 | 5 | 5 | 5 | 5 |
| EXA [ms] | 10 | 10 | 10 | 10 | D1: 0–400 D2: 10 | 10 | 10 | 10 |
| EY [ms] | 10 | 10 | 10 | 10 | D1: 0–400 D2: 10 | 10 | 10 | 10 |
| rC | 0.5 | 0.5 | 0.5 | 0.5 | 0.5 | D1: 0–1 D2: 0.5 | 0.5 | 0.5 |
| pb | 0 | 0 | 0 | 0 | 0 | D1: 0–0.1 D2: 0 | 0 | 0 |
| p11 | 0.4 | 0.4 | 0.4 | 0.4 | 0.4 | 0.4 | D1: 0–1 D2: 0.4 | 0.4 |
| p21 | 0.4 | 0.4 | 0.4 | 0.4 | 0.4 | 0.4 | D1: 0–1 D2: 0.4 | 0.4 |
| d [km] | 200 | 200 | 200 | 200 | 200 | 200 | 200 | D1: 1–1000 D2: 200 |
| b [Mbit/s] | 50 | 50 | 50 | 50 | 50 | 50 | 50 | D1: 1–200 D2: 50 |
| Input Variable (domain 1) | E(CSD)b1 | E(CSD)d1 | E(CSD)f1 | E(CDD)b1 | E(CDD)d1 | E(CDD)f1 | E(CSD)b2 | E(CSD)d2 | E(CSD)f2 | E(CDD)b2 | E(CDD)d2 | E(CDD)f2 |
|---|---|---|---|---|---|---|---|---|---|---|---|---|
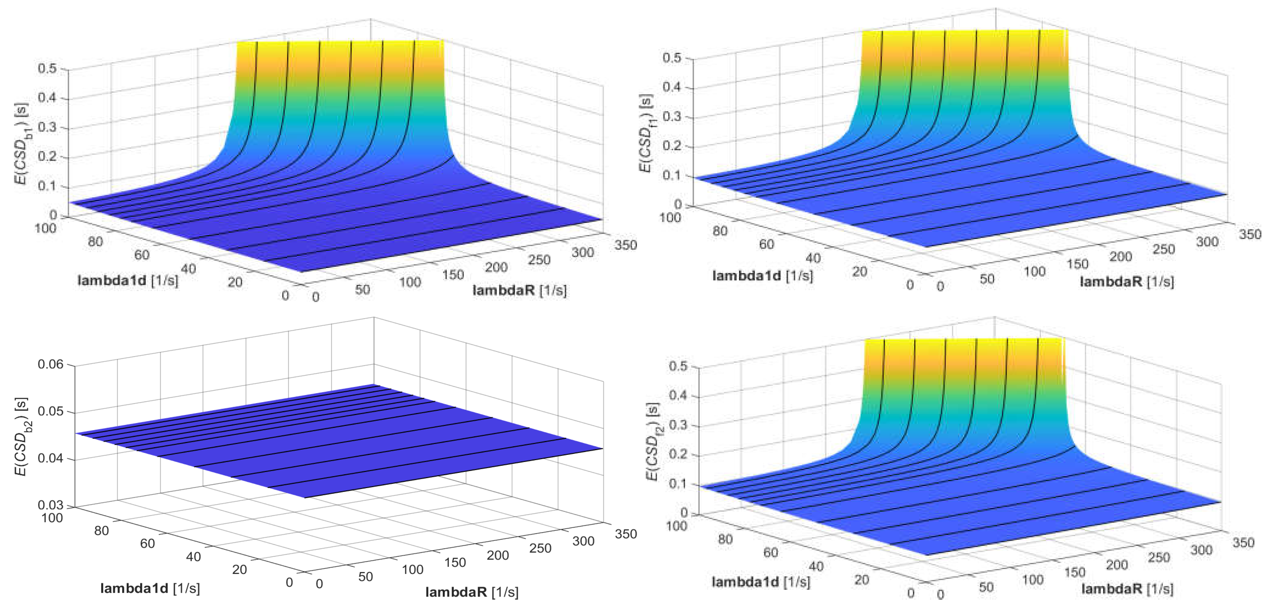
| lambdaR | +n | +n | +n | +n | +n | +n | 0 | 0 | +n | 0 | 0 | +n |
| lambda1d | +n | +n | +n | +n | +n | +n | 0 | 0 | +n | 0 | 0 | +n |
| lambda2d | +n | +n | +n | +n | +n | +n | +n | +n | +n | +n | +n | +n |
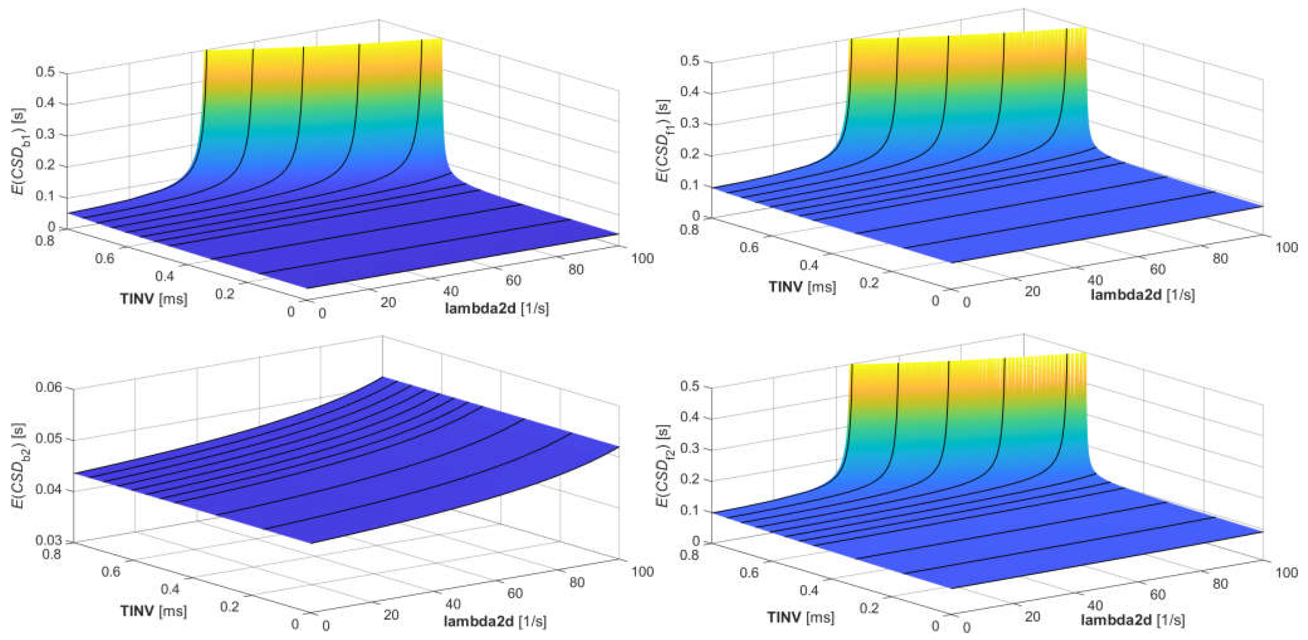
| TINV | +n | +n | +n | +n | +n | +n | 0 | 0 | +n | 0 | 0 | +n |
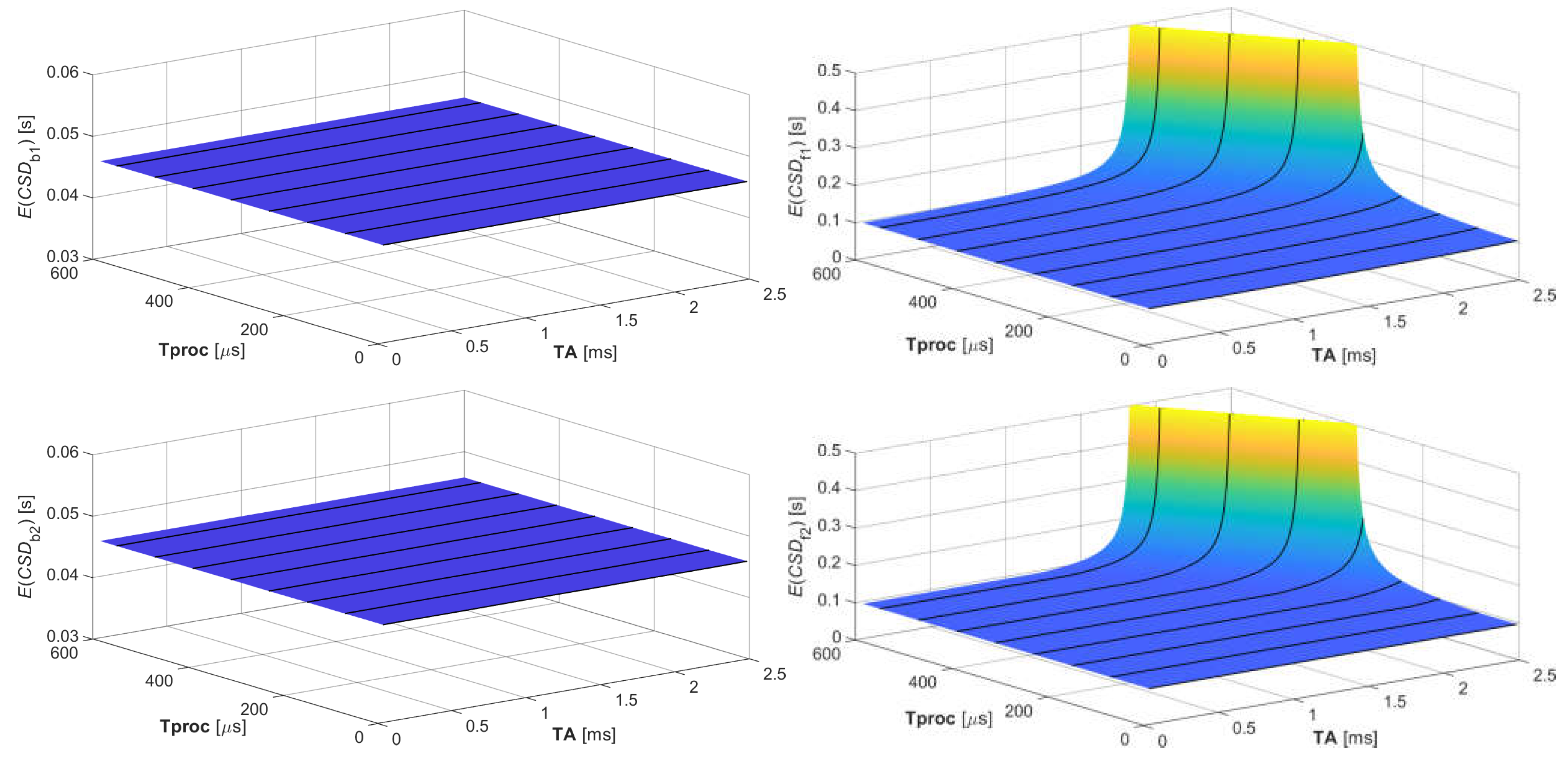
| TA | 0 | +n | +n | 0 | +n | +n | 0 | 0 | +n | 0 | 0 | +n |
| Tproc | 0 | +n | +n | 0 | +n | +n | 0 | 0 | +n | 0 | 0 | +n |
| Tresp | 0 | +n | +n | 0 | +n | +n | 0 | 0 | +n | 0 | 0 | +n |
| ETR | 0 | +l | +l | 0 | +l | +l | 0 | 0 | +l | 0 | 0 | +l |
| EXA | +l | +l | +l | +l | +l | +l | 0 | 0 | +l | 0 | 0 | +l |
| EY | 0 | 0 | 0 | 0 | 0 | 0 | 0 | 0 | +l | 0 | 0 | 0 |
| rC | ≈0 | ≈0 | ≈0 | ≈0 | ≈0 | ≈0 | 0 | 0 | ≈0 | 0 | 0 | ≈0 |
| pb | ≈0 | ≈0 | ≈0 | ≈0 | ≈0 | ≈0 | ≈0 | ≈0 | ≈0 | ≈0 | ≈0 | ≈0 |
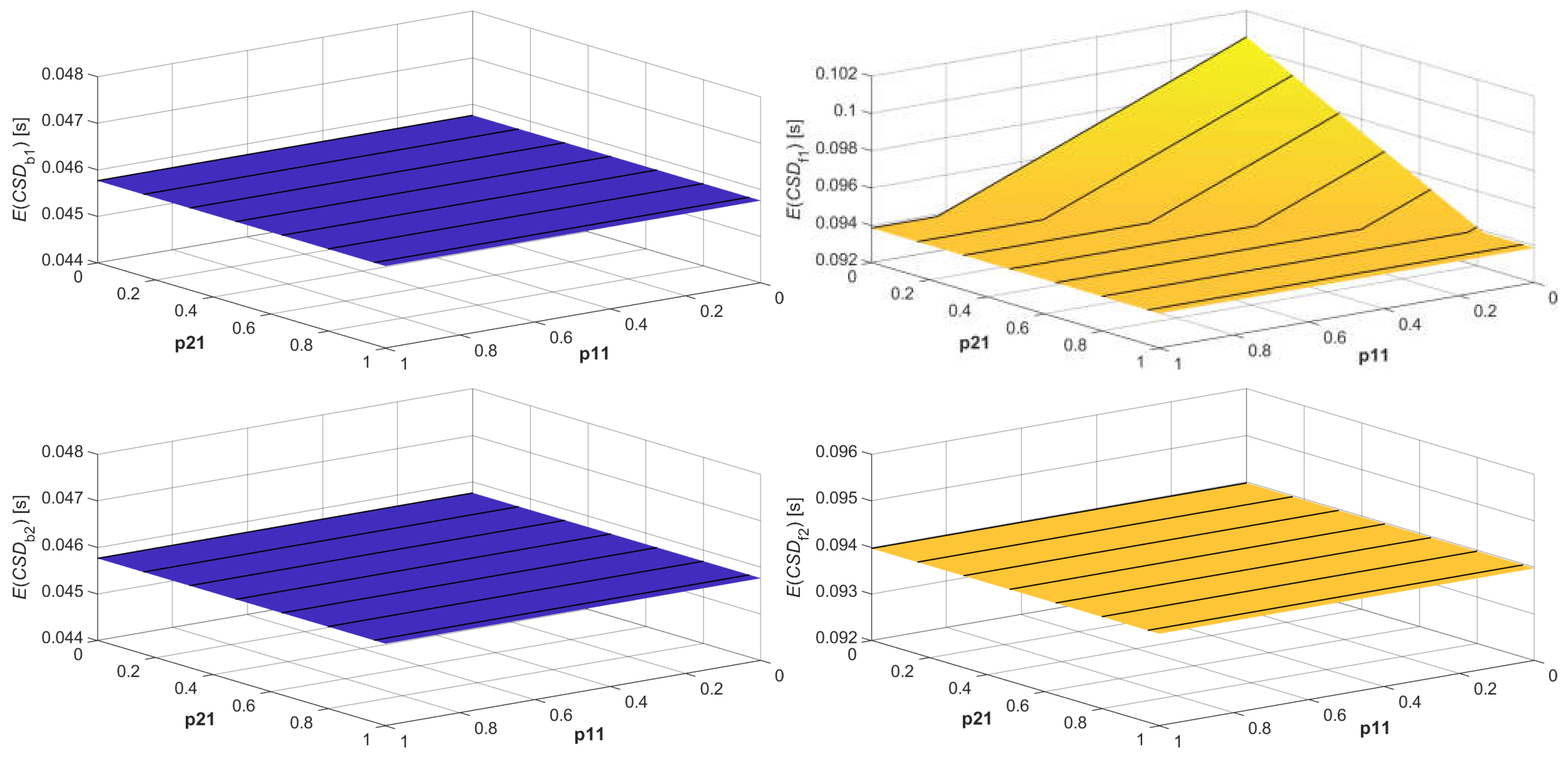
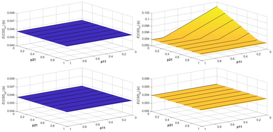
| p11 | 0 | −n | −n | 0 | −n | −n | 0 | 0 | 0 | 0 | 0 | −n |
| p21 | 0 | −n | −n | 0 | −n | −n | 0 | 0 | 0 | 0 | 0 | −n |
| d | +l | +l | +l | +l | +l | +l | 0 | 0 | +l | 0 | 0 | +l |
| b | −n | −n | −n | −n | −n | −n | 0 | 0 | −n | 0 | 0 | −n |








- Resource reservation in the destination domain 1 (messages 14–15);
- Communication from domain 1 to domain 2 (messages 13 and 16–18), resource reservation in the originating domain 2 (messages 19–20) and communication from domain 2 to domain 1 (confirmation of resource reservation; messages 29–32).
4.3. Discussion
- The intensities of requests significantly affect E(CSD) and E(CSD) times:
- Registration and intra-operator call set-up requests generated in domain 1 (lambda and lambda1d) increase only CPP parameters for scenarios performed in domain 1 (b1, d1, f1 and f2);
- Inter-operator call set-up requests generated in domain 1 (lambda2d) increase all investigated CPP parameters.
- The processing/response times of network elements increase E(CSD) and E(CSD) times dependent on the type of network element and its usage in particular call scenarios:
- Changing the times of processing SIP INVITE messages by CSCF servers in domain 1 (TINV) and the mean time of processing requests by RACF A1 (EXA) affects CPP parameters for all call scenarios performed in domain 1 (b1, d1, f1 and f2);
- Modification of the message processing times of RACF C1 (TA, Tproc and Tresp) and the mean response time of “MPLS core 1” (ETR) affects only CPP parameters for call scenarios with resource reservation in the core network of domain 1 (d1, f1 and f2);
- Changing the mean time of processing requests by SUP-FE 1/SAA-FE 1 (EY) influences only E(CSD)f2, as this network element is used solely in establishing inter-operator calls originated in domain 2.
- Link parameters in domain 1 affect E(CSD) and E(CSD) times for all call scenarios performed in domain 1 (b1, d1, f1 and f2):
- Link lengths (d) have an influence on propagation delays and increase the analyzed CPP parameters linearly;
- Sufficient link bandwidths (b) must be assured, as below a certain bandwidth level, E(CSD) and E(CSD) times rise rapidly.
- Other parameters of our traffic model (rC, pb, p11 and p21) do not have a significant impact on the analyzed CPP parameters.
5. Conclusions
Author Contributions
Funding
Institutional Review Board Statement
Informed Consent Statement
Data Availability Statement
Conflicts of Interest
References
- ITU-T Recommendation Y.2001; General Overview of NGN. ITU: Geneva, Switzerland, 2004.
- ITU-T Recommendation Y.2012; Functional Requirements and Architecture of Next Generation Networks. ITU: Geneva, Switzerland, 2010.
- 3GPP TS 23.228: IP Multimedia Subsystem (IMS), version 17.3.0.; Stage 2 (Release 17); 3GPP: Valbonne, France, 2021.
- Chang, Y.-C.; Li, J.-W.; Lv, J.-H. An IP Multimedia Subsystem Services Proxy Gateway Based on a JAVA Dynamic Module System. Appl. Sci. 2018, 8, 2060. [Google Scholar] [CrossRef] [Green Version]
- Bahaa, A.; Shehata, M.; Gasser, S.M.; El-Mahallawy, M.S. Call Failure Prediction in IP Multimedia Subsystem (IMS) Networks. Appl. Sci. 2022, 12, 8378. [Google Scholar] [CrossRef]
- Liao, L.; Leung, V.C.M.; Chen, M. Virtualizing IMS Core and Its Performance Analysis. In Cloud Computing. CloudComp 2014. Lecture Notes of the Institute for Computer Sciences, Social Informatics and Telecommunications Engineering; Leung, V., Lai, R., Chen, M., Wan, J., Eds.; Springer: Cham, Switzerland, 2015; Volume 142. [Google Scholar]
- Rosen, E.; Viswanathan, A.; Callon, R. IETF RFC 3031: Multiprotocol Label Switching Architecture; IETF: Wilmington, NC, USA, 2001. [Google Scholar]
- ITU-T Recommendation Y.2175; Centralized RACF Architecture for MPLS Core Networks. ITU: Geneva, Switzerland, 2008.
- ITU-T Recommendation Y.1530; Call Processing Performance for Voice Service in Hybrid IP Networks. ITU: Geneva, Switzerland, 2007.
- ITU-T Recommendation Y.1531; SIP-Based Call Processing Performance. ITU: Geneva, Switzerland, 2007.
- Kaczmarek, S.; Sac, M. Analytical Traffic Model for a Multidomain IMS/NGN Network Including Service and Transport Stratum. In Proceedings of the 30th International Conference on Software, Telecommunications and Computer Networks, SoftCOM 2022, Split, Croatia, 22–24 September 2022. [Google Scholar]
- Oveis, A.H.; Asadi, M.A.S.; Homami, S.M.S. A trade-off between delay and throughput in IMS network session setup. In Proceedings of the 22nd Iranian Conference on Electrical Engineering, ICEE 2014, Tehran, Iran, 20–22 May 2014; pp. 1614–1618. [Google Scholar]
- Alassane, B.A.; Karim, K. An analytical jitter model in IMS network. In Proceedings of the 2016 IEEE 7th Annual Ubiquitous Computing, Electronics & Mobile Communication Conference, UEMCON 2016, New York, NY, USA, 20–22 October 2016. [Google Scholar]
- Hasanov, M.H.; Ibrahimov, B.G.; Mardanov, N.T. Research and Analysis Performance Indicators NGN/IMS Networks in the Transmission Multimedia Traffic. In Proceedings of the 2019 Wave Electronics and its Application in Information and Telecommunication Systems, WECONF 2019, St. Petersburg, Russia, 3–7 June 2019. [Google Scholar]
- Ibrahimov, B.G.; Ismaylova, S.R. The effectiveness NGN/IMS networks in the establishment of a multimedia session. Am. J. Netw. Commun. 2018, 7, 1–5. [Google Scholar]
- Romanov, O.I.; Nesterenko, M.M.; Veres, L.A.; Hordashnyk, Y.S. IMS: Model and calculation method of telecommunication network’s capacity. In Proceedings of the 2017 International Conference on Information and Telecommunication Technologies and Radio Electronics, UkrMiCo 2017, Odessa, Ukraine, 11–15 September 2017. [Google Scholar]
- Rodríguez, M.A.V.; Muñoz, E.C. Review of Quality of Service (QoS) mechanisms over IP Multimedia Subsystem (IMS). Ing. Y Desarro. 2017, 35, 262–281. [Google Scholar] [CrossRef]
- Di Mauro, M.; Galatro, G.; Longo, M.; Postiglione, F.; Tambasco, M. Performability Management of Softwarized IP Multimedia Subsystem. In Proceedings of the NOMS 2020—2020 IEEE/IFIP Network Operations and Management Symposium, Budapest, Hungary, 20–24 April 2020; pp. 1–6. [Google Scholar]
- Di Mauro, M.; Galatro, G.; Longo, M.; Postiglione, F.; Tambasco, M. IP Multimedia Subsystem in a containerized environment: Availability and sensitivity evaluation. In Proceedings of the 2019 IEEE Conference on Network Softwarization (NetSoft), Paris, France, 24–28 June 2019; pp. 42–47. [Google Scholar]
- Prados-Garzon, J.; Ameigeiras, P.; Ramos-Munoz, J.J.; Andres-Maldonado, P.; Lopez-Soler, J.M. Analytical modeling for Virtualized Network Functions. In Proceedings of the 2017 IEEE International Conference on Communications Workshops (ICC Workshops), Paris, France, 21–25 May 2017; pp. 979–985. [Google Scholar]
- Zhang, Z.; Duan, Z.; Hou, Y. On Scalable Design of Bandwidth Brokers. IEICE Trans. Commun. 2001, E84-B, 2011–2025. [Google Scholar]
- Abhayawardhana, V.S.; Babbage, R. A traffic model for the IP Multimedia Subsystem (IMS). In Proceedings of the IEEE 65th Vehicular Technology Conference, VTC 2007, Dublin, Ireland, 22–25 April 2007. [Google Scholar]
- Kaczmarek, S.; Łuczaj, Ł.; Sac, M. Simulation Model of IMS/NGN with Transport Stratum Based on MPLS Technology. Telecommun. Rev. Telecommun. News 2016, 777–784. [Google Scholar] [CrossRef]
- Femminella, M.; Giacinti, F.; Reali, G. Optimal deployment of open source application servers providing multimedia services. IEEE Netw. 2014, 28, 54–63. [Google Scholar] [CrossRef]
- Kaczmarek, S.; Sac, M. Verification of the Analytical Traffic Model of a Multidomain IMS/NGN Using the Simulation Model. In Information Systems Architecture and Technology: Proceedings of the 36th International Conference on Information Systems Architecture and Technology—ISAT 2015—Part II. Advances in Intelligent Systems and Computing, Karpacz, Poland, 20-22 September 2015; Grzech, A., Borzemski, L., Świątek, J., Wilimowska, Z., Eds.; Springer: Cham, Switzerland, 2016; Volume 430, pp. 109–130. [Google Scholar]
- Kaczmarek, S.; Sac, M. Performance Models of a Multidomain IMS/NGN Service Stratum. In Proceedings of the 29th International Conference on Software, Telecommunications and Computer Networks, SoftCOM 2021, Hvar, Croatia, 23–25 September 2021. [Google Scholar]
- Kaczmarek, S.; Sac, M. Approximation of message inter-arrival and inter-departure time distributions in IMS/NGN architecture using phase-type distributions. J. Telecommun. Inf. Technol. 2013, 9–18. Available online: https://www.itl.waw.pl/czasopisma/JTIT/2013/3/9.pdf (accessed on 10 September 2022).
- Ventre, P.L.; Salsano, S.; Polverini, M.; Cianfrani, A.; Abdelsalam, A.; Filsfils, C.; Camarillo, P.; Clad, F. Segment Routing: A Comprehensive Survey of Research Activities, Standardization Efforts, and Implementation Results. IEEE Commun. Surv. Tutor. 2021, 23, 182–221. [Google Scholar] [CrossRef]
- Desmouceaux, Y.; Pfister, P.; Tollet, J.; Townsley, M.; Clausen, T. SRLB: The Power of Choices in Load Balancing with Segment Routing. In Proceedings of the 2017 IEEE 37th International Conference on Distributed Computing Systems, ICDCS 2017, Atlanta, GA, USA, 5–8 June 2017; pp. 2011–2016. [Google Scholar]
Publisher’s Note: MDPI stays neutral with regard to jurisdictional claims in published maps and institutional affiliations. |
© 2022 by the authors. Licensee MDPI, Basel, Switzerland. This article is an open access article distributed under the terms and conditions of the Creative Commons Attribution (CC BY) license (https://creativecommons.org/licenses/by/4.0/).
Share and Cite
Kaczmarek, S.; Sac, M. Performance Evaluation of a Multidomain IMS/NGN Network Including Service and Transport Stratum. Appl. Sci. 2022, 12, 11643. https://doi.org/10.3390/app122211643
Kaczmarek S, Sac M. Performance Evaluation of a Multidomain IMS/NGN Network Including Service and Transport Stratum. Applied Sciences. 2022; 12(22):11643. https://doi.org/10.3390/app122211643
Chicago/Turabian StyleKaczmarek, Sylwester, and Maciej Sac. 2022. "Performance Evaluation of a Multidomain IMS/NGN Network Including Service and Transport Stratum" Applied Sciences 12, no. 22: 11643. https://doi.org/10.3390/app122211643
APA StyleKaczmarek, S., & Sac, M. (2022). Performance Evaluation of a Multidomain IMS/NGN Network Including Service and Transport Stratum. Applied Sciences, 12(22), 11643. https://doi.org/10.3390/app122211643

