Next Article in Journal
Recognition of Earthquake Surface Ruptures Using Deep Learning
Previous Article in Journal
CAVeCTIR: Matching Cyber Threat Intelligence Reports on Connected and Autonomous Vehicles Using Machine Learning
 
 
Font Type:
Arial Georgia Verdana
Font Size:
Aa Aa Aa
Line Spacing:
Column Width:
Background:
Article

Robust Backstepping Control Combined with Fractional-Order Tracking Differentiator and Fractional-Order Nonlinear Disturbance Observer for Unknown Quadrotor UAV Systems

1
Department of Safety Engineering, Dongguk University WISE Campus, Gyeongju 38066, Republic of Korea
2
Department of Mechanical System Engineering, Dongguk University WISE Campus, Gyeongju 38066, Republic of Korea
*
Author to whom correspondence should be addressed.
Appl. Sci. 2022, 12(22), 11637; https://doi.org/10.3390/app122211637
Submission received: 11 October 2022 / Revised: 10 November 2022 / Accepted: 14 November 2022 / Published: 16 November 2022

Abstract

In this paper, we studied a fractional-order robust backstepping control (BSC) combined with a fractional-order tracking differentiator and a fractional-order nonlinear disturbance observer for a quadrotor unmanned aerial vehicle (UAV) system. A fractional-order filtered error and a fractional-order tracking differentiator were utilized in a conventional BSC system to improve the positioning control performance of a highly coupled nonlinear quadrotor UAV system and bypass the differentiation issue of the virtual control and compensation of the transformation error in the conventional BSC design. A new fractional-order disturbance observer with the sine hyperbolic function was then proposed to enhance the estimation performance of the uncertain quadrotor UAV. Sequential comparative simulations were conducted, demonstrating that the proposed positioning controller and observer utilizing fractional-order calculus outperformed those of the conventional controller and observer systems.

1. Introduction

The technical advances of GPS, navigation equipment, battery system, electrical power unit, as well as global trends such as complex urban transportation and climate change have accelerated research on unmanned aerial vehicles (UAVs). In particular, the movement to utilize UAVs for logistics and urban delivery centering around the megacorporation of Amazon and UPS has fundamentally changed the conventional automotive-based delivery system. With recent advancements in both hardware and software, multi-rotor UAVs quadrotors have become much smaller, lighter, and computationally rich. They have significant maneuverability, long flight times, and fast on-board computation. They enjoy almost all the capabilities of any ground vehicle with an added advantage in various 3-D motions [1,2].
UAVs have been applied to agricultural management, in the response to forest fires and fields of disaster, aerial cinematography, and pollutant material measurement and removal in place of human beings. Quadrotor UAVs have garnered even more interest owing to their simple design, small size, light weight, and efficient maneuverability.
However, stable and credible maneuverability of the quadrotor UAVs is essential because they can fall or crash, and their high rotation speed can cause severe accidents. The main control constraints of the quadrotor UAVs are attributed to the underactuated navigation in a 6-degree configuration space with four actuators, a highly nonlinear dynamic problem, and uncertainty problems, including environmental disturbances and unknown varying loads. Therefore, an effective and robust controller is required to obtain safe and reliable flight performance of the quadrotor UAVs [3,4,5].
Linear control schemes [6,7,8,9,10,11,12,13,14] initially applied for the navigation task of the quadrotor UAVs have often undergone application limits because the widely used feedback linearization control cancels the useful nonlinear dynamics and some linear controls cannot cope with the properly excessive perturbations of the quadrotor UAVs. To conserve the high control performance of the quadrotor UAVs, nonlinear backstepping control (BSC) [15,16,17] is generally utilized to address the aforementioned coupled higher-order nonlinearities for quadrotor UAVs [18,19,20,21,22,23]. However, the conventional BSC method has some drawbacks, despite its popular approach and advantage for nonlinearities. The first issue is the repeated high-order differentiation problem of a virtual stabilizing control designed in the recursive steps that causes complexities in the whole control system. As a potential solution to this issue, tracking differentiator methods [24,25,26,27,28] have recently been studied. Furthermore, a second-order finite-time tracking differentiator [29,30,31,32] was designed to obtain finite-time convergent performance of the tracking differentiator adopted in the previous BSC system. However, high gains of the BSC system to guarantee the robustness to the uncertainty result in excessive control input in the actuators, which can generate actuator failure.
Therefore, as another solution to the uncertainty issue without high increase of the actuator input, several disturbance observers to estimate unknown uncertainties have been developed [33,34,35,36,37]. A disturbance observer studied in [33,34] was designed under the assumption of a slow variation of uncertainties. Therefore, the application of this observer to the real application can be limited. The extended state observer (ESO) [35] has the problem of long time-integration errors that can influence the position information. This further causes degradation of the estimation accuracy of the observers. Recently, advanced disturbance observers that utilize the structure of tracking differentiators were developed [36,37]. However, a slower convergence rate of the observer state of this observer degrades the estimation performance of the observer. Hence, a more improved observer is required to obtain fast convergence and high estimation performance than those of the previously developed observers.
Meanwhile, additional attractive features of fractional-order over integer-order system in terms of stability and some functions which are not differentiable in integer sense system have been found to be differentiable in a fractional sense. Fractional calculus [38,39] is an extension of regular integer-order calculus which makes it adequate and essential for completely characterizing many physical phenomena such as viscoelasticity, transmission lines, diffusion, and wave propagation. In the area of automatic control, fractional-order calculus has also been applied for modeling and control. The advantages of fractional-order calculus control were proved by many works, including the proportional-integral-derivative (PID) design [40,41,42,43,44,45]. To improve the robustness of sliding mode control (SMC), SMC blended with a fractional-order sliding mode surface was developed [46,47,48,49,50,51]. Recently, fractional-order BSC systems were studied for some chaotic systems [52,53,54] and servo systems [55,56,57]. It was confirmed that fractional-order based PID, SMC, and BSC systems showed significantly improved control performance, such as the transient, steady-state response of the closed loop system, and robustness to uncertainties for disturbance rejection compared with the controllers designed by integer-order calculus. There are some studies for quadrotor fractional-order BSC system [58,59,60] but there is little research on the fractional-order BSC with both a fractional-order tracking differentiator and disturbance observer.
Motivated by the aforementioned works, a novel fractional-order continuous tracking differentiator and fractional-order nonlinear disturbance observer based on the sine hyperbolic function were studied to enhance the performance of a quadrotor UAV control system designed using the traditional integer-order based tracking differentiator and disturbance observer. A fractional-order filtered error surface was considered to obtain the effective control performance, and to reduce controller complexity. A proposed BSC system blended with a fractional-order tracking differentiator and a fractional-order observer was designed to obtain improved control performance despite the uncertainty over the traditional integer-order BSC system.
We present the following contributions achieved in this study:
(1)
The novel fractional-order BSC was designed to enforce insensitivity to variations of uncertainties of a quadrotor UAV system;
(2)
The proposed control strategy combined with the novel fractional-order tracking differentiator for a quadrotor UAV achieves improved settling-time convergence when compared to the traditional integer-order control system. Faster movements of a quadrotor UAV than those possible in present-day quadrotor UAVs are expected in a perturbed environment;
(3)
A fractional-order nonlinear disturbance observer was designed adopting the structure of the proposed tracking differentiator. Therefore, the performance of the estimation and disturbance rejection for uncertainties of the quadrotor UAV control system were improved by utilizing the proposed disturbance observer;
(4)
A fractional-order filtered error surface was utilized to facilitate the recursive controller design process of the BSC system and obtain simpler control system to avoid controller complexity.
Finally, several comparative simulations of a nonlinear quadrotor UAV system were conducted to evaluate the performance of the proposed control scheme.
The organization of remaining parts of this paper is described as follows. Section 2 presents the mathematical definitions of fractional-order calculus. The dynamic model of UAV system and fractional-order tracking differentiator are presented in Section 3. The designing process for the proposed controller and observer are presented in Section 4 and the stability proofs for the closed-loop system of the designed control system are presented in Section 4, and simulation results for a quadrotor UAV system are shown in Section 5. Final conclusion of this study is presented in Section 6.

2. Basic Calculus of Fractional-Order System

Definition 1 
[38]. For a given function f ( t ) , the Riemann-Liouville fractional-order integration is defined by
0 I t γ f ( t ) = D t γ f ( t ) = 1 Γ ( γ ) 0 t f ( τ ) ( t τ ) 1 γ d τ ,
where γ R + , the initial time is zero, and Γ ( ) is the Gamma function which is defined by Γ ( z ) = 0 t z 1 e t d t .
Definition 2 
[38]. Let m 1 < γ < m , m N , the Riemann-Liouville fractional-order derivative of order γ for a given function f ( t ) is defined by
0 R L D t γ f ( t ) = d γ f ( t ) d t γ = 1 Γ ( m γ ) d m d t m 0 t f ( τ ) ( t τ ) γ m + 1 d τ ,
Remark 1 
[38]. The following relationship is obtained based on the Definitions of 1 and 2:
0 R L D t γ f ( t ) 0 I t γ f ( t ) = f ( t ) .
Definition 3 
[38]. The Caputo fractional-order derivative of order γ is defined by
0 C D t γ f ( t ) = 1 Γ ( m γ ) 0 t f m ( τ ) ( t τ ) γ m + 1 d τ , m 1 < γ < m d m d t m f ( t ) , γ = m .
Remark 2 
[38]. One can see that the relationship because the definition of Caputo fractional-order integration is identical to the definition of Riemann-Liouville integration
0 C D t γ f ( t ) 0 I t γ f ( t ) = f ( t ) .
Property 1 
[38]. An The following relationship holds for both Riemann-Liouville and Caputo derivatives:
0 R L , C D t γ D 0 R L , C t α f ( t ) = D 0 R L , C t γ α f ( t ) ,
where γ α 0 .
Property 2 
[38]. The following result is obtained from the Riemann-Liouville derivative:
0 R L D t γ D 0 R L t α f ( t ) = D 0 R L t α γ f ( t ) j = 1 m D 0 R L t α γ f ( t ) t = 0 t γ j Γ ( 1 + γ j ) ,
where m 1 α m .
Theorem 1 
[38]. We set x = 0 as an equilibrium point for the non-autonomous fractional-order system
D γ x ( t ) = f ( x , t ) ,
where f ( x , t )  satisfies the Lipschitz condition and  0 < γ < 1 . Assume that there are a Lyapunov candidate  V ( x , t ) and class  κ  function s η 1 , η 2 , η 3 satisfying
η 1 x V ( x , t ) η 2 x ,
D γ V ( x , t ) η 3 x .
The equilibrium point of system (8) is then asymptotically stable.

3. Dynamic Model of UAV System and Tracking Differentiator

3.1. UAV Dynamics and Problem Formulation

A rotorcraft UAV has a mechanism to generate the required forces and torques. The nonlinear dynamics in the body-fixed frame, as shown in Figure 1, are expressed as
P ˙ = v , m v ˙ = R t F m g e z + F d ,
Θ ˙ = R r ω J ω ˙ = ω × J ω + τ + τ d ,
where P = [ x , y , z ] T is the position vector, Θ = [ ϕ , θ , ψ ] T is the orientation Euler angle vector, v = [ u , v , w ] T and ω = [ p , q , r ] T are the velocity vectors in the body frame, respectively. m denotes the body mass including payload, J = d i a g ( J ϕ , J θ , J ψ ) denotes the moment of inertia vector, and e z = [ 0 0 1 ] T . F d and τ d denote the uncertainties along the translation and rotational axes directions, respectively, including the gyroscopic effect, parameter change, payload variation, rotor fluctuation, and aerodynamic drag. A rotary transformation matrix R t from the body frame to the navigation frame and ω are given as follows:
R t = R ψ R θ R ϕ = c θ c ψ s ϕ s θ c ψ c ϕ s ψ c ϕ s θ c ψ + s ϕ s ψ c θ s ψ s ϕ s θ s ψ + c ϕ c ψ c ϕ s θ s ψ s ϕ c ψ s θ s ϕ c θ c ϕ c θ ,
ω = R r φ ˙ = 1 0 s θ 0 c ϕ c θ s ϕ 0 s ϕ c θ c ϕ ϕ ˙ θ ˙ ψ ˙ ,
where φ = [ ϕ θ ψ ] T and let sin ( ) and cos ( ) to be denoted as s ( ) and c ( ) , respectively.
A quadrotor is an underactuated system because it has six degree of freedom and four control inputs, which are the total thrust u z , produced by the four rotors, and the torques ( u ϕ , u θ , u ψ ) are obtained by varying the rotor speeds. F = [ 0 , 0 , u z ] T is the resulting lift force vector and τ = [ u ϕ , u θ , u ψ ] T is the torque vectors in the navigation frame acting on the airframe. The control input ( u z , u ϕ , u θ , u ψ ) and the rotor speeds ( ω 1 , ω 2 , ω 3 , ω 4 ) have the relationship expressed by
u z u ϕ u θ u ψ = b b b b 0 l b 0 l b l b 0 l b 0 d d d d ω 1 2 ω 2 2 ω 3 2 ω 4 2 ,
where b > 0 and d > 0 are constants and l is the distance from the rotors to the center of mass. Therefore, the following translational and rotational dynamics are obtained:
x ¨ = 1 m 0 ( c ϕ s θ c ψ + s ϕ s ψ ) u z + f d x ,
y ¨ = 1 m 0 ( c ϕ s θ s ψ s ϕ c ψ ) u z + f d y ,
z ¨ = 1 m 0 c ϕ c θ u z g + f d z ,
ϕ ¨ = J y J z J x θ ˙ ψ ˙ + J r J x θ ˙ Ω r + l J x u ϕ + τ d ϕ ,
θ ¨ = J z J x J y ψ ˙ ϕ ˙ J r J y ϕ ˙ Ω r + l J y u θ + τ d θ ,
ψ ¨ = J x J y J z ϕ ˙ θ ˙ + l J z u ψ + τ d ψ ,
where m 0 denotes the nominal body mass and f d i , i = x , y , z , and τ d j denote the uncertainties at each axis.

3.2. Fractional-Order Tracking Differentiator

In this section, a novel fractional-order tracking differentiator is developed to estimate the derivatives of the virtual control laws of the BSC system.
Theorem 2 
[25]. Consider the following system:
z ˙ 1 = z 2 , z ˙ 2 = f z 1 , z 2 .
If the solutions of (22) satisfy that z 1 0 , z 2 0 as t , then for any arbitrary bounded and integral function α and a constant T > 0 , the solution of the following system
χ ˙ 1 = χ 2 , χ ˙ 2 = Λ 2 f χ 1 α , χ 2 / Λ .
satisfies lim Λ 0 T χ 1 α d t = 0 .
Theorem 3.
[25]. Consider the following system
χ ˙ 1 = χ 2 , χ ˙ 2 = r 1 sinh a 1 χ 1 r 2 sinh a 2 χ 2 ,
where r i > 0 and a i > 0   i = 1 , 2 , are constants, then (23) is global and uniformly asymptotically stable.
Lemma 1.
The following relationship is satisfied [61]:
k = 1 Γ ( 1 + γ ) Γ ( 1 k + γ ) Γ ( 1 + k ) D γ x D γ k x μ x m ,
where μ and m > 1 are constants. In this study, we set m = 3 / 2 .
Theorem 4.
 Consider the following system
D γ 1 ζ 1 = ζ 2 , D γ 1 ζ 2 = Λ 2 [ c 1 sinh ( r 1 φ 1 ( ζ 1 α ) ) + c 2 sinh ( r 2 φ 2 ( ζ 2 ) / Λ ) ] ,
where φ 1 ( ζ 1 α ) = ε s i g 1 / 2 ( ζ 1 α ) + ( 1 ε ) s i g ( 2 + υ ) / 2 ( ζ 1 α ) , φ 2 ( ζ 2 ) = s i g 1 / 2 ( ζ 2 ) , s i g 1 / 2 ( ) = 1 / 2 s i g n ( ) , 0 < ε < 1 and 0 < υ < 1 are constants. For an arbitrary bounded and integrable function α and a constant T > 0 , the result of lim R 0 T ζ 1 α d t = 0 is obtained under the condition that all parameters are positive.
Proof of Theorem 4. 
Redefining the variables of χ 1 = ζ 1 α and χ 2 = ζ 2 / Λ in (26) yields χ 1 c 1 sinh ( r 1 φ ( χ 1 ) ) 0 due to an odd function property of sinh ( ) . Then, D 1 γ 1 ( c 1 sinh ( r 1 φ ( τ ) ) ) 0 , where τ is an integral variable. Let consider the following Lyapunov function:
V ( χ 1 , χ 2 ) = Λ 2 D 1 γ 1 ( c 1 sinh ( r 1 φ ( τ ) ) ) + 1 2 χ 2 2 .
Taking the fractional-order calculus of (27) with the result of (26) by setting m = 3 / 2 result in
D γ 1 V χ 1 , χ 2 = Λ 2 2 c 1 sinh r 1 φ χ 1 χ 2 + χ 2 D γ 1 χ 2 + k = 1 Γ 1 + γ 1 Γ 1 k + γ 1 Γ ( 1 + k ) D γ 1 χ 2 D γ 1 k χ 2 Λ 2 2 c 1 sinh r 1 φ χ 1 χ 2 Λ 2 χ 2 c 1 sinh r 1 φ 1 χ 1 + c 2 sinh r 2 φ 2 χ 2 + μ χ 2 3 / 2 = Λ 2 c 2 χ 2 sinh r 2 φ 2 χ 2 + μ χ 2 3 / 2 = χ 2 Λ 2 c 2 sinh r 2 φ 2 χ 2 μ χ 2 1 / 2 .
If Λ 2 c 2 is selected such that Λ 2 c 2 sinh r 2 φ 2 χ 2 μ | χ | 1 / 2 , we obtain
D γ 1 V ( χ 1 , χ 2 ) 0 .
Thus, it is clear that V ˙ ( χ 1 , χ 2 ) = 0 occurs only when χ 2 = 0 . Based on (23), when χ 2 = 0 , χ 1 is always equivalent to zero. Hence, the solutions of D γ 1 V ( χ 1 , χ 2 ) do not contain any other whole trajectory except the origin (0,0). Hence, the system (23) is asymptotically stable at the origin (0,0). The system (26) is global asymptotically stable because one can obtain V ( χ 1 , χ 2 ) if χ 1 and χ 2 . This concludes the proof. □
Two other tracking differentiators were considered for comparison of the proposed tracking differentiator. The first one proposed by Levant [29,30] is expressed as
ζ ˙ 1 = v 1 = r 1 ζ 1 α 1 / 2 sign ζ 1 α + ζ 2 , ζ ˙ 2 = r 2 sign ζ 2 v 1 .
The second one proposed by Zong et al. [27,28], is the tangent sigmoid function tracking differentiator expressed by
ζ ˙ 1 = ζ 2 ζ ˙ 2 = Λ 2 c 1 ζ 1 α + χ 1 α β tansig r 1 ζ 1 α + c 2 ζ 2 / Λ + ζ 2 / Λ β tansig r 2 ζ 2 / Λ ,
where t a n s i g ( r 1 x ) = 2 e 2 r 1 x + 1 1 , 0 < β < 1 is a constant. The parameters of the tracking differentiators were selected as Λ = 2 , c 1 = 1.5 ,   c 2 = 5.5 ,   r 1 = 1 , r 2 = 0.5 , β = 0.5 , γ = 0.8 , and ε = 0.95 under the initial condition of α = 0 , ζ 1 ( 0 ) = 2 , and ζ 2 ( 0 ) = 2 . The simulated results are presented in Figure 2, where the proposed differentiator exhibits the most rapid converging performance comparing to those of the other systems.

3.3. Fractional-Order Filtered Error Surface

In this section, a fractional-order filtered error surface is considered for designing the controller, as follows:
σ j = D γ 1 e j + D γ 2 1 k j 2 ( b j 1 e j + b j 2 s i g 1 / 2 ( e j ) ) ξ j ,
where k j , b j 1 , and b j 2 are positive constants and ξ j denotes a compensating signal defined later. For a comparison with the above fractional-order sliding mode surface, three fractional-order error surfaces based on functions used in (24), (30), and (26) are presented as follows:
σ j = D γ 1 e j + D γ 2 1 k j 2 [ b j 1 sinh ( κ j 1 e j ) + b j 2 sinh ( κ j 2 e j / k j ) ] ξ j ,
σ j = D γ 1 e j + D γ 2 1 k j 2 [ b j 1 { e j + e j 1 / 2 t a n s i g ( κ j 1 ( e j ) ) } + b j 2 { e j / k j + e j / k j 1 / 2 t a n s i g ( κ j 2 e j / k j ) } ] ξ j ,
σ j = D γ 1 e j + D γ 2 1 k j 2 [ b j 1 sinh ( κ j 1 φ j ( e j ) ) + b j 2 sinh ( κ j 2 s i g 1 / 2 ( e j ) ) / k j ] ξ j ,
For initial conditions such that γ 1 = 0.7 , γ 2 = 0.1 , k j = 1.2 , b j 1 = 2 , b j 2 = 2 , ε j = 0.95 , υ j = 0.5 , κ j 1 = 1.5 , and κ j 2 = 1 under the compensating signal condition of ξ j = 0 , the convergence configurations are illustrated in the following figure:
Figure 3 shows that the convergence performance of the proposed filtered error surface is a little slower than (35) but faster than other surfaces. If the filtered error surface given in (34) based on the function given in (26) is selected instead of the function in (31), the convergence performance is a little improved as shown in Figure 2, but the designed controller may be much complex than the controller based on (32). Therefore, the fractional-order filtered error surface considered in (32) was selected under the compromise between the controller complexity and the convergence performance.

4. Fractional-Order Controller and Fractional-Order Disturbance Observer Design

4.1. Altitude Controller Design

The altitude controller is designed to control the vertical displacement. The state equation of (8) can be described as follows:
x ˙ 1 = x 2 , x ˙ 2 = 1 m 0 cos ϕ cos θ u 1 g + f d 2 ,
where the altitude state variable x 1 = z , x 2 = z ˙ , u 1 = u z , and f d 2 denotes the uncertainty. By introducing the command trajectory x 1 d in the z-coordinate and defining the tracking errors as e 1 = x 1 x 1 d and e 2 = x 2 ζ 11 , the fractional-order filtered error surfaces are introduced as follows:
σ 1 = D γ 1 e 1 + D γ 2 1 k 1 2 ( b 11 e 1 + b 12 s i g 1 / 2 ( e 1 ) ) ξ 11 ,
σ 2 = D γ 1 e 2 + k 2 2 D γ 2 1 ( b 21 e 2 + b 22 s i g 1 / 2 ( e 2 ) ) ξ 12 ,
where k j > 0 , κ 1 j > 0 , b j 1 > 0 , b j 2 > 0 , j = 1 , 2 , are constants and 0 < γ j < 1 , j = 1 , 2 . The state variables ξ 11 and ξ 12 in (33) and (34) are obtained from the dynamics of the compensating signals expressed as follows:
D γ ¯ 1 ξ 11 = β 11 ξ 11 + ξ 12 + ζ 11 α 1 λ 11 s i g 1 / 2 ( ξ 11 ) ,
D γ ¯ 1 ξ 12 = β 12 ξ 12 ξ 11 λ 12 s i g 1 / 2 ( ξ 12 ) ,
where D γ ¯ 1 = D 1 γ 1 , β 1 j > 0 , and λ 1 j > 0 , j = 1 , 2 , are constants. Next, the output of the tracking differentiator ζ 11 is obtained from the tracking differentiator dynamics described in Theorem 4,
D γ 1 ζ 11 = ζ 12 , D γ 1 ζ 12 = Λ 1 2 c 11 sinh r 11 φ 11 ζ 11 α 1 + c 12 sinh r 12 φ 12 ζ 12 / Λ 1 ,
where φ 11 ( ζ 11 α 1 ) = ε 1 s i g 1 / 2 ( ζ 11 α 1 ) + ( 1 ε 1 ) s i g ( 2 + υ 1 ) / 2 ( ζ 11 α 1 ) , φ 12 ( ζ 12 ) = s i g 1 / 2 ( ζ 12 ) , 0 < ε 1 < 1 , and 0 < υ 1 < 1 are constants.
Taking the time derivative of (37) and (38) and applying D γ 1 to both sides of (37) and (38), we obtain
D γ ¯ 1 σ 1 = e ˙ 1 + D γ ¯ 2 k 1 2 b 11 e 1 + b 12 sig 1 / 2 e 1 D γ ¯ 1 ξ 11 = e 2 + ζ 11 x ˙ 1 d + D γ ¯ 2 k 1 2 b 11 e 1 + b 12 sig 1 / 2 e 1 + β 11 ξ 11 ξ 12 ζ 11 + α 1 + λ 11 sig 1 / 2 ξ 11 = e 2 x ˙ 1 d + ϖ 1 + α 1 ,
D γ ¯ 1 σ 2 = e ˙ 2 + D γ ¯ 2 k 2 2 b 21 e 2 + b 22 sig 1 / 2 e 2 D γ ¯ 1 ξ 12 = cos ϕ cos θ m 0 u 1 g + f d 2 D γ ¯ 1 ζ 12 + D γ ¯ 2 k 2 2 b 21 e 2 + b 22 sig 1 / 2 e 2 + β 12 ξ 12 + ξ 11 + λ 12 sig 1 / 2 ξ 12 = cos ϕ cos θ m 0 u 1 g + ϖ 2 + f d 2 ,
where D γ ¯ 2 = D γ 2 γ 1 , ϖ 1 = D γ ¯ 2 k 1 2 ( b 11 e 1 + b 12 s i g 1 / 2 ( e 1 ) ) + β 11 ξ 11 ξ 12 + λ 11 s i g 1 / 2 ( ξ 11 ) , and ϖ 2 = D γ ¯ 1 ζ 12 + D γ ¯ 2 k 2 2 ( b 21 e 2 + b 22 s i g 1 / 2 ( e 2 ) ) + β 12 ξ 12 + ξ 11 + λ 12 s i g 1 / 2 ( ξ 12 ) . Moreover, ζ ˙ 11 in (40) can be expressed into ζ ˙ 11 = D γ ¯ 11 ζ 12 by using a proper fractional-order operation and the relationship D γ 1 ζ 11 = ζ 12 in (40). We can select the virtual control from (44) and control input from (43) as follows:
α 1 = s 11 σ 1 e 2 s 12 s i g 1 / 2 ( σ 1 ) + x ˙ 1 d ϖ 1 ,
u 1 = m 0 cos ϕ cos θ ( s 21 σ 2 + g s 22 s i g 1 / 2 ( σ 2 ) s 23 σ 2 / ( σ 2 + ε σ 2 ) 1 ϖ 2 f ^ d 2 ) ,
where s i j > 0 and ε σ 2 > 0 , i = 1 , 2 , 3 , j = 1 , 2 , are constant, and f ^ d 2 denotes the estimate of f d 2 . Define the Lyapunov function as follows:
V 1 = 1 2 σ 1 2 ,
V 2 = 1 2 σ 2 2 .
Applying the fractional operator D γ ¯ 1 to the Lyapunov function in (46) and (47) and using (42), (43), (44), (45), and Lemma 1 yields in the following expression:
D γ ¯ 1 V 1 + D γ ¯ 1 V 2 = σ 1 D γ ¯ 1 σ 1 + σ 2 D γ ¯ 1 σ 2 + k = 1 Γ 1 + γ ¯ 1 Γ 1 k + γ ¯ 1 Γ ( 1 + k ) D k σ 1 D γ ¯ 1 k σ 1 + k = 1 Γ 1 + γ ¯ 1 Γ 1 k + γ ¯ 1 Γ ( 1 + k ) D k σ 2 D γ ¯ 1 k σ 2 σ 1 e 2 x ˙ 1 d + ϖ 1 + α 1 + σ 2 cos ϕ cos θ m 0 u 1 g + ϖ 2 + f d z + μ 1 σ 1 3 / 2 + μ 2 σ 2 3 / 2 s 11 σ 1 2 s 12 μ 1 σ 1 3 / 2 s 21 σ 2 2 s 22 μ 2 σ 2 3 / 2 s 23 σ 2 2 σ 2 + ε σ 2 1 + σ 2 f ˜ d 2 s 11 σ 1 2 s 21 σ 2 2 s 12 μ 1 σ 1 3 / 2 s 22 μ 2 σ 2 3 / 2 σ 2 s 23 σ 2 σ 2 + ε σ 2 1 δ d 2 ,
where f ˜ d 2 δ d 2 and δ d 2 denotes an unknown constant. If s 23 is selected such that s 23 σ 2 ( σ 2 + ε σ 2 ) 1 δ d 2 is satisfied,
D γ ¯ 1 V 1 + D γ ¯ 1 V 2 ( s 12 μ 1 ) σ 1 3 / 2 ( s 22 μ 2 ) σ 2 3 / 2

4.2. Longitudinal and Latitudinal Controllers Design

Define the state variables x j , j = 3 , 4 , 5 , 6 , as x 3 = [ x y ] T , x 4 = [ x ˙ y ˙ ] T , x 5 = [ ϕ θ ] T , and x 6 = [ ϕ ˙ θ ˙ ] T from x, y, roll, and pitch axes. The state space model can be expressed as follows:
x ˙ 3 = x 4 , x ˙ 4 = R 4 ψ , u 1 T 4 x 5 + f d 4 ,
x ˙ 5 = x 6 x ˙ 6 = f 6 + g 6 u 6 + τ d 6 ,
where R 4 ( ψ , u 1 ) = 1 m cos ψ sin ψ sin ψ cos ψ u 1 , T 4 ( x 5 ) = [ cos ϕ sin θ sin ϕ ] T , f d 4 = [ f d x f d y ] T , g 6 = d i a g ( l / J x , l / J y ) , u 6 = [ u ϕ u θ ] T , and f 6 = [ ( J y J z ) θ ˙ ψ ˙ / J x + J r θ ˙ Ω r / J x ( J z J x ) ψ ˙ ϕ ˙ / J y   J r ϕ ˙ Ω r / J y ] T , τ d 6 = [ τ d ϕ τ d θ ] T . The tracking errors are defined as e 3 = x 3 x 3 d , e 4 = x 4 ζ 31 , e 5 = x 5 x 5 d , e 6 = x 6 ζ 51 . We introduce the fractional-order filtered error vectors as
σ j = D γ 1 e j + D γ 2 1 k j 2 ( b j 1 e j + b j 2 s i g 1 / 2 ( e j ) ) ξ j i , i = 1 , 2 , j = 3 , 4 , 5 , 6 ,
where k j > 0 , b j 1 > 0 , and b j 2 > 0 , j = 3 , 4 , 5 , 6 , are constants. In the sliding mode surfaces, the compensating signal dynamics ξ j i , j = 3 , 4 , 5 , 6 , i = 1 , 2 , are expressed as
D γ ¯ 1 ξ j 1 = β j 1 ξ j 1 + ξ j 2 + ζ j 1 α k λ j 1 s i g 1 / 2 ( ξ j 1 ) ,
D γ ¯ 1 ξ j 2 = β j 2 ξ j 2 ξ j 1 λ j 2 s i g 1 / 2 ( ξ j 2 ) , j = 3 , 4 , 5 , 6 , ,
where β j 1 > 0 , β j 2 > 0 , λ j 1 > 0 , and λ j 2 > 0 , j = 3 , 4 , 5 , 6 , are constants. Furthermore, the output of the tracking differentiator ζ j 1 is obtained from the following tracking differentiator described in Theorem 4:
D γ 1 ζ k 1 = ζ k 2 , D γ 1 ζ k 2 = Λ k 2 c k 1 sinh r k 1 φ k 1 ζ k 1 α k + c k 2 sinh r k 2 φ k 2 ζ k 2 / Λ k , k = 3 , 5 ,
where φ k 1 ( ζ k 1 α k ) = ε k s i g 1 / 2 ( ζ k 1 α k ) + ( 1 ε k ) s i g ( 2 + υ k ) / 2 ( ζ k 1 α k ) , φ k 2 ( ζ k 2 ) = s i g 1 / 2 ( ζ k 2 ) , 0 < ε k < 1 , and 0 < υ k < 1 , k = 3 , 5 , are constants. Taking the time derivative of (52) and applying D γ 1 to both sides of the resulting equation, we obtain
D γ ¯ 1 σ 3 = e ˙ 3 + D γ ¯ 2 k 3 2 b 31 e 3 + b 32 s i g 1 / 2 e 3 D γ ¯ 1 ξ 31 = e 4 + ζ 31 x ˙ 1 d + D γ ¯ 2 k 3 2 b 31 e 3 + b 32 sig 1 / 2 e 3 + β 31 ξ 31 ξ 32 ζ 31 + α 3 + λ 31 s i g 1 / 2 ξ 31 = e 4 x ˙ 4 d + ϖ 3 + α 3
D γ ¯ 1 σ 4 = e ˙ 4 + D γ ¯ 2 k 4 2 b 41 e 4 + b 42 sig 1 / 2 e 4 D γ ¯ 1 ξ 42 = R 4 ψ , u 1 T 4 x 5 + f d 4 D γ ¯ 1 ζ 32 + D γ ¯ 2 k 4 2 b 41 e 4 + b 42 sig 1 / 2 e 4 + β 42 ξ 42 + ξ 41 + λ 42 sig 1 / 2 ξ 42 = R 4 ψ , u 1 T 4 x 5 + ϖ 4 + f d 4
D γ ¯ 1 σ 5 = e ˙ 5 + D γ ¯ 2 k 5 2 b 51 e 5 + b 52 s i g 1 / 2 e 5 D γ ¯ 1 ξ 51 = e 6 + ζ 51 x ˙ 5 d + D γ ¯ 2 k 5 2 b 51 e 5 + b 52 s i g 1 / 2 e 5 + β 51 ξ 51 ξ 52 ζ 51 + α 5 + λ 51 s i g 1 / 2 ξ 51 = e 6 x ˙ 5 d + ϖ 5 + α 5 ,
D γ ¯ 1 σ 6 = e ˙ 6 + D γ ¯ 2 k 6 2 b 61 e 6 + b 62 sig 1 / 2 e 6 D γ ¯ 1 ξ 62 = f 6 + g 6 u 6 + τ d 6 D γ ¯ 1 ζ 52 + D γ ¯ 2 k 6 2 b 61 e 6 + b 62 sig 1 / 2 e 6 + β 62 ξ 62 + ξ 61 + λ 62 sig 1 / 2 ξ 62 = f 6 + g 6 u 6 + ϖ 6 + τ d 6
where
ϖ 3 = D γ ¯ 2 k 3 2 b 31 e 3 + b 32 sig 1 / 2 e 3 + β 31 ξ 31 ξ 32 + λ 31 sig 1 / 2 ξ 31 , ϖ 4 = D γ ¯ 1 ζ 32 + D γ ¯ 2 k 4 2 b 41 e 4 + b 42 sig 1 / 2 e 4 + β 42 ξ 42 + ξ 41 + λ 42 sig 1 / 2 ξ 42 , ϖ 5 = D γ ¯ 2 k 5 2 b 51 e 5 + b 52 sig 1 / 2 e 5 + β 51 ξ 51 ξ 52 + λ 51 sig 1 / 2 ξ 51 , ϖ 6 = D γ ¯ 1 ζ 52 + D γ ¯ 2 k 6 2 b 61 e 6 + b 62 sig 1 / 2 e 6 + β 62 ξ 62 + ξ 61 + λ 62 sig 1 / 2 ξ 62 .
Moreover, ζ ˙ 31 and ζ ˙ 51 in (56) and (59) can be expressed as ζ ˙ 31 = D γ ¯ 11 ζ 32 and ζ ˙ 51 = D γ ¯ 11 ζ 52 , respectively, by a proper fractional-order operation and the relationship D γ 1 ζ k 1 = ζ k 2 in (51). We can select the virtual controls α i , i = 3 , 5 for the recursive input, and control inputs u i , i = 2 , 3 as follows:
α 3 = s 31 σ 3 e 4 s 32 s i g 1 / 2 ( σ 3 ) + x ˙ 3 d ϖ 3 ,
α 5 = s 51 σ 5 e 6 s 52 s i g 1 / 2 ( σ 5 ) + x ˙ 5 d ϖ 5 ,
u 2 = T 4 ( x 5 ) = R 4 1 ( ψ , u 1 ) [ s 41 σ 4 ϖ 4 f ^ d 4 s 42 s i g 1 / 2 ( σ 4 ) ) s 43 σ 4 / ( σ 4 + ε σ 4 ) 1 ] ,
u 3 = g 6 1 [ s 61 σ 6 ϖ 6 τ ^ d 6 s 62 s i g 1 / 2 ( σ 6 ) s 63 σ 6 / ( σ 6 + ε σ 6 ) 1 ] ,
where R 4 1 = cos ψ sin ψ sin ψ cos ψ 1 = cos ψ sin ψ sin ψ cos ψ , s i j > 0 , i = 3 , 4 , 5 , 6 , j = 1 , 2 , 3 , ε σ i > 0 , i = 3 , 4 , 5 , 6 , are constants, and f ^ d 4 and τ ^ d 6 are the estimates of f d 4 and τ d 6 , respectively.
The Lyapunov function candidates are defined as follows:
V 3 = 1 2 σ 3 2 ,
V 4 = 1 2 σ 4 2 ,
V 5 = 1 2 σ 5 2 ,
V 6 = 1 2 σ 6 2 .
The fractional-order operations of (64), (65), (66), and (67) by using (56), (57), (58), and (59) along with the results of (60), (61), (62), and (63) yield to the following expression:
D γ ¯ 1 V 3 + V 4 = σ 3 D γ ¯ 1 σ 3 + σ 4 D γ ¯ 1 σ 4 = σ 3 e 4 x ˙ 4 d + ϖ 3 + α 3 + σ 4 R 4 ψ , u 1 T 4 x 5 + ϖ 4 + f d 4 + k = 1 Γ 1 + γ ¯ 1 Γ 1 k + γ ¯ 1 Γ ( 1 + k ) D k σ 3 D γ ¯ 1 k σ 3 + k = 1 Γ 1 + γ ¯ 1 Γ 1 k + γ ¯ 1 Γ ( 1 + k ) D k σ 4 D γ ¯ 1 k σ 4 s 31 σ 3 2 s 32 σ 3 3 / 2 + μ 3 σ 3 3 / 2 s 41 σ 4 2 s 42 σ 4 3 / 2 s 43 σ 4 2 / σ 4 + ε σ 4 1 + μ 4 σ 4 + f ˜ d 4 s 32 μ 3 σ 3 3 / 2 s 42 μ 4 σ 4 3 / 2 σ 4 s 43 σ 4 / σ 4 + ε σ 4 1 δ d 4 ,
D γ ¯ 1 V 5 + V 6 = σ 5 D γ ¯ 1 σ 5 + σ 6 D γ ¯ 1 σ 6 = σ 5 e 6 x ˙ 5 d + ϖ 5 + α 5 + σ 6 f 6 + g 6 u 6 + ϖ 6 + τ d 6 + k = 1 Γ 1 + γ ¯ 1 Γ 1 k + γ ¯ 1 Γ ( 1 + k ) D k σ 5 D γ ¯ 1 k σ 5 + k = 1 Γ 1 + γ ¯ 1 Γ 1 k + γ ¯ 1 Γ ( 1 + k ) D k σ 6 D γ ¯ 1 k σ 5 s 51 σ 5 2 s 52 μ 5 σ 5 3 / 2 s 61 σ 6 2 s 62 μ 6 σ 6 3 / 2 s 63 σ 6 2 / σ 6 + ε σ 6 1 + f ˜ d 6 s 52 μ 5 σ 5 3 / 2 s 62 μ 6 σ 6 3 / 2 σ 6 s 63 σ 6 / σ 6 + ε σ 6 1 δ d 6 ,
where f ˜ d 4 = f d 4 f ^ d 4 , f ˜ d 6 = f d 6 f ^ d 6 , f ˜ d 4 δ d 4 , f ˜ d 6 δ d 6 , δ d 4 and δ d 6 a re unknown constants. Selecting s 33 , s 43 , s 53 , and s 63 to be satisfied by the following conditions:
s 43 σ 4 / ( σ 4 + ε σ 4 ) 1 δ d 4 , s 63 σ 6 / ( σ 6 + ε σ 6 ) 1 δ d 6 ,
we obtain
D γ ¯ 1 ( V 3 + V 4 ) ( s 32 μ 3 ) σ 3 3 / 2 ( s 42 μ 4 ) σ 4 3 / 2 ,
D γ ¯ 1 ( V 5 + V 6 ) ( s 52 μ 5 ) σ 5 3 / 2 ( s 62 μ 6 ) σ 6 3 / 2 .

4.3. Heading Controller Design

The state space model of the yaw axis can be obtained by defining the state variables as x 7 = ψ and x 8 = ψ ˙ in (18) as follows:
x ˙ 7 = x 8 , x ˙ 8 = J x J y J z ϕ ˙ θ ˙ + l J z u ψ + τ d ψ = f 8 + g 8 u 4 + τ d 8 ,
where f 8 = J x J y J z ϕ ˙ θ ˙ , g 8 = l J z , u 4 = u ψ , and τ d 8 = τ d ψ . The tracking errors are defined as e 7 = x 7 x 7 d and e 8 = x 8 ζ 71 . Define the fractional-order filtered error surfaces including the tracking errors as
σ 7 = D γ 1 e 7 + D γ 2 1 k 7 2 ( b 71 e 7 + b 72 s i g 1 / 2 ( e 7 ) ) ξ 71 ,
σ 8 = D γ 1 e 8 + D γ 2 1 k 8 2 ( b 81 e 8 + b 82 s i g 1 / 2 ( e 8 ) ) ξ 81 ,
where k j > 0 , κ j i > 0 , b j 1 > 0 , and b j 2 > 0 , i = 1 , 2 , j = 7 , 8 , are constants. In the fractional-order filtered error surfaces, the dynamics of the compensating signals ξ j i , j = 7 , 8 , i = 1 , 2 , are expressed as
D γ ¯ 1 ξ 71 = β 71 ξ 71 + ξ 72 + ζ 71 α 7 λ 71 s i g 1 / 2 ( ξ 71 ) ,
D γ ¯ 1 ξ 72 = β 72 ξ 72 ξ 71 λ 72 s i g 1 / 2 ( ξ 72 ) ,
where β 71 > 0 , β 72 > 0 , λ 71 > 0 , and λ 72 > 0 , are constants. Furthermore, the output of the tracking differentiator ζ 71 is obtained from the tracking differentiator dynamics described in Theorem 3 as
D γ 1 ζ 71 = ζ 72 , D γ 1 ζ 72 = Λ 7 2 c 71 sinh r 71 φ 71 ζ 71 α 7 + c 72 sinh r 72 φ 72 ζ 72 / Λ 7 ,
where φ 71 ( ζ 71 α 7 ) = ε 7 s i g 1 / 2 ( ζ 71 α 7 ) + ( 1 ε 7 ) s i g ( 2 + υ 7 ) / 2 ( ζ 71 α 7 ) , φ 72 ( ζ 72 ) = s i g 1 / 2 ( ζ 72 ) , 0 < ε 7 < 1 , and 0 < υ 7 < 1 are constants. Taking the time derivative of (74) and (75) applying D γ 1 to both sides of the resulting equation, we obtain
D γ ¯ 1 σ 7 = e ˙ 7 + D γ ¯ 2 k 7 2 ( b 71 e 7 + b 72 s i g 1 / 2 ( e 7 ) ) D γ ¯ 1 ξ 71 = e 8 + ζ 71 x ˙ 7 d + D γ ¯ 2 k 7 2 ( b 71 e 7 + b 72 s i g 1 / 2 ( e 7 ) ) + β 71 ξ 71 ξ 72 ζ 71 + α 7 + λ 71 s i g 1 / 2 ( ξ 71 ) = e 8 x ˙ 8 d + ϖ 7 + α 7 ,
D γ ¯ 1 σ 8 = e ˙ 8 + D γ ¯ 2 k 8 2 ( b 81 e 8 + b 82 s i g 1 / 2 ( e 8 ) ) D γ ¯ 1 ξ 82 = f 8 + g 8 u 4 + τ d 8 D γ ¯ 1 ζ 72 + D γ ¯ 2 k 8 2 ( b 81 e 8 + b 82 s i g 1 / 2 ( e 8 ) ) + β 82 ξ 82 + ξ 81 + λ 82 s i g 1 / 2 ( ξ 82 ) = f 8 + g 8 u 4 + ϖ 8 + τ d 8 ,
where ζ ˙ 71 in (80) can be expressed as ζ ˙ 71 = D γ ¯ 1 ζ 72 , similar to the previous result
ϖ 7 = D γ ¯ 2 k 7 2 ( b 71 e 7 + b 72 s i g 1 / 2 ( e 7 ) ) + β 71 ξ 71 ξ 72 + λ 71 s i g 1 / 2 ( ξ 71 ) ,
ϖ 8 = D γ ¯ 1 ζ 72 + D γ ¯ 2 k 8 2 ( b 81 e 8 + b 82 s i g 1 / 2 ( e 8 ) ) + β 82 ξ 82 + ξ 81 + λ 82 s i g 1 / 2 ( ξ 82 ) .
The virtual controls α 7 for the recursive input, and control inputs u 8 are designed as follows:
α 7 = s 71 σ 7 e 8 s 72 s i g 1 / 2 ( σ 7 ) + x ˙ 7 d ϖ 7 ,
u 8 = g 8 1 [ s 81 σ 8 ϖ 8 τ ^ d 8 s 82 s i g 1 / 2 ( σ 8 ) s 83 σ 8 / ( σ 8 + ε σ 8 ) 1 ] ,
where s i j > 0 , i = 7 , 8 , j = 1 , 2 , 3 , and ε σ 8 > 0 are constants, and τ ^ d 8 are estimates of τ d 8 , respectively. The Lyapunov function candidates are defined as follows:
V 7 = 1 2 σ 7 2 ,
V 8 = 1 2 σ 8 2 .
The fractional-order operations of (85) and (86) along with the results of (79), (80), (83), and (84) yield to the following expression:
D γ ¯ 1 ( V 7 + V 8 ) = σ 7 D γ ¯ 1 σ 7 + σ 8 D γ ¯ 1 σ 8 = σ 7 ( e 8 x ˙ 8 d + ϖ 7 + α 7 ) + σ 8 ( f 8 + g 8 u 4 + ϖ 8 + τ d 8 ) + k = 1 Γ ( 1 + γ ¯ 1 ) Γ ( 1 k + γ ¯ 1 ) Γ ( 1 + k ) D k σ 7 D γ ¯ 1 k σ 7 + k = 1 Γ ( 1 + γ ¯ 1 ) Γ ( 1 k + γ ¯ 1 ) Γ ( 1 + k ) D k σ 8 D γ ¯ 1 k σ 8 s 71 σ 7 2 s 72 σ 7 3 / 2 + μ 7 σ 7 3 / 2 s 81 σ 8 2 s 82 σ 8 3 / 2 s 83 σ 8 2 / ( σ 8 + ε σ 8 ) 1 + μ 8 σ 8 3 / 2 + τ ˜ d 8 ( s 72 μ 7 ) σ 7 3 / 2 ( s 82 μ 8 ) σ 8 3 / 2 σ 8 ( s 83 σ 8 / ( σ 8 + ε σ 8 ) 1 δ d 8 ) ,
where, τ ˜ d 8 = τ d 8 τ ^ d 8 and τ ˜ d 8 δ d 8 , δ d 8 is an unknown upper bound. If s 83 is selected such that the following conditions are satisfied:
s 83 σ 8 / ( σ 8 + ε σ 8 ) 1 δ d 8 ,
we obtain
D γ ¯ 1 ( V 7 + V 8 ) ( s 72 μ 7 ) σ 7 3 / 2 ( s 82 μ 7 ) σ 8 3 / 2 .

4.4. Fractional-Order Disturbance Observer Design

The disturbance ρ ( t ) of the following system (90) is assumed that ρ ( t ) is bounded and there is an unknown constant ρ ¯ such that ρ ( t ) ρ ¯ is satisfied
D γ ¯ 1 σ o = f o + g o u o + ϖ o + ρ ,
where σ o = [ σ 2 σ 4 σ 6 σ 8 ] T , f o = [ g 0 f 6 f 8 ] T , g o = d i a g ( cos ϕ cos θ / m 0 , R 4 , g 6 , g 8 ) , u o = [ u 2 u 4 u 6 u 8 ] T , ϖ o = [ ϖ 2 ϖ 4 ϖ 6 ϖ 8 ] T , and ρ = [ f d 2 f d 3 τ d 6 τ d 8 ] T .
Theorem 5.
 The filtered error surface state σ o = [ σ 2 σ 4 σ 6 σ 8 ] T and disturbances ρ ( t ) can be estimated using the following fractional-order nonlinear disturbance observers:
D γ ¯ 1 σ ^ o = f o + g o u o + ϖ o + ρ ^ ,   D γ ¯ 1 ρ ^ = Λ 2 [ η ρ 1 sinh ( c ρ 1 φ 1 ( σ ˜ o ) ) + η ρ 2 sinh ( c ρ 2 Λ 1 φ 2 ( ρ ^ ) ) ] ,
where σ ˜ o = σ o σ ^ o = [ σ ˜ 2 σ ˜ 4 σ ˜ 6 σ ˜ 6 ] T denote the estimation error, φ 1 ( Θ ˜ ) = κ s i g 1 / 2 ( Θ ˜ ) + ( 1 κ ) s i g ( 2 + υ ) / 2 ( Θ ˜ ) , φ 2 ( ρ ^ ) = s i g 1 / 2 ( ρ ^ ) , ρ ˜ = ρ ρ ^ , σ ^ o and ρ ^ denote the estimates of σ o and ρ , Λ , η ρ 1 , η ρ 2 , c ρ 1 , and c ρ 1 is a diagonal constant matrix with d i a g ( c ρ i ) 0 . One can then obtain that σ ^ o σ o and ρ ^ ρ as Λ .
Proof of Theorem 5.
As Λ , D γ ¯ 1 ρ ^ = Λ 2 [ η ρ 1 sinh ( c ρ 1 φ 1 ( Θ ˜ ) ) + η ρ 2 sinh ( c ρ 2 Λ 1 φ 2 ( ρ ^ ) ) ] is assumed to reach an infinitely large value. This implies that the variation in ρ ^ significantly exceeds f o + g o u o + ϖ o . Furthermore, it suggests that lim Λ D γ ¯ 1 ( f o + g o u o + ϖ o + ρ ^ ) = D γ ¯ 1 ρ ^ , lim Λ Λ 1 ( f o + g o u o + ϖ o + ρ ^ ) = Λ 1 ρ ^ . Hence, (91) holds according to Theorem 1 when f o + g o u o + ϖ o + ρ ^ is taken as σ ^ o . The proof is complete. □
Two other disturbance observers were used to evaluate the performance of the proposed observer. The first one was constructed by the tracking differentiators proposed by Levant [29,30] expressed in (27) as follows:
σ ^ ˙ o = f o + g o u o + ϖ o + ρ ^ r 1 s i g 1 / 2 ( σ ˜ o ) , ρ ^ ˙ = r 2 s i g n ( σ ˜ o ) .
The second observer was constructed using the tracking differentiator proposed by Zong et al. [26,27] expressed in (28) as follows:
σ ^ ˙ o = f o + g o u o + ϖ o + ρ ^ , ρ ^ ˙ = Λ 2 [ η ρ 1 { σ ˜ o + σ ˜ o β t a n s i g ( c ρ 1 σ ˜ o ) } + η ρ 2 { ρ ^ Λ 1 + ρ ^ Λ 1 β t a n s i g ( c ρ 2 ρ ^ Λ 1 ) } ] .

5. Stability Analysis

Theorem 6.
The systems (16), (17), (18), (19), (20), and (21) are controlled by virtual control laws (44), (60), (61), (83) and control inputs (45), (62), (63), (84), with the fractional-order filtered error surfaces defined in (38), (39), (52), (74), and (75) and the unknown disturbances are estimated by the fractional-order nonlinear disturbance observer given in (91). The equilibrium point of (45), (47), (64), (65), (66), (67), (85), and (86) are then asymptotically stable if the appropriate parameter s j 2 , j = 1 , , 8 , is selected such that s j 2 μ j , j = 1 , , 8 , is satisfied. This also results in that the tracking errors e j , j = 1 , , 8 , asymptotically approach zero.
Proof of Theorem 6.
Define the Lyapunov function as
V = k = 1 8 V k = 1 2 k = 1 8 σ k 2 .
Taking fractional-order operations and considering the results from (49), (71), (72), and (89), the following expression can be obtained:
D γ ¯ 1 V j = 1 8 ( s j 2 μ j ) σ j 3 / 2 ,
where s j 2 , j = 1 , , 8 , satisfies that s j 2 μ j , j = 1 , , 8 . The proof is complete. □
Theorem 7.
The trajectory of σ j reaches zero within finite-time t f expressed as follows:
t f V γ ¯ 1 1 ( t r ) Γ ( γ ¯ 1 ) j = 1 8 ( s j 2 μ j ) L j 1 / ( 1 γ ¯ 1 )
Proof of Theorem 7.
The fractional-order integration of (95) from the reaching time t r to the settling time t f yields
V ( t f ) V γ ¯ 1 1 ( t r ) t f γ ¯ 1 1 Γ ( γ ¯ 1 ) j = 1 8 ( s j 2 μ j ) D γ ¯ 1 σ j 3 / 2 .
There is a positive constant L j such that D γ ¯ 1 σ j 3 / 2 L j . Hence, (97) can be expressed as
V γ ¯ 1 1 ( t r ) t f γ ¯ 1 1 Γ ( γ ¯ 1 ) j = 1 8 ( s j 2 μ j ) L j
because V ( t f ) = 0 due to σ j = 0 at t f in (97). We can then obtain the expression in (96). The proof is completed. □
Theorem 8.
The fractional-order compensating dynamics given in (40), (41), (53), (54), (76), and (77) is also converged finitely based on the finite time convergence of ξ i j . The demonstration of finite-time boundedness of ξ i j is then conducted by the following process. The Lypaunov function is defined as follows:
V ξ = j = 1 2 1 2 ξ 1 j 2 + j = 1 2 1 2 ξ 3 j 2 + j = 1 2 1 2 ξ 5 j 2 + j = 1 2 1 2 ξ 7 j 2 .
We can then obtain the convergence time t ξ f as
t ξ f V ξ γ ¯ 1 1 ( t ξ r ) Γ ( γ ¯ 1 ) ϖ Ξ ξ L ξ 1 / ( 1 γ ¯ 1 ) .
Proof of Theorem 8.
From the fractional operation of (99), we can obtain
D γ ¯ 1 V ξ = j = 1 2 ξ 1 j D γ ¯ 1 ξ 1 j + j = 1 2 ξ 3 j D γ ¯ 1 ξ 3 j + j = 1 2 ξ 5 j D γ ¯ 1 ξ 5 j + j = 1 2 ξ 7 j D γ ¯ 1 ξ 7 j + j = 1 2 k = 1 Γ ( 1 + γ ¯ 1 ) Γ ( 1 k + γ ¯ 1 ) Γ ( 1 + k ) D k ξ 1 j D γ ¯ 1 k ξ 1 j + j = 1 2 k = 1 Γ ( 1 + γ ¯ 1 ) Γ ( 1 k + γ ¯ 1 ) Γ ( 1 + k ) D k ξ 3 j D γ ¯ 1 k ξ 3 j + j = 1 2 k = 1 Γ ( 1 + γ ¯ 1 ) Γ ( 1 k + γ ¯ 1 ) Γ ( 1 + k ) D k ξ 5 j D γ ¯ 1 k ξ 5 j + j = 1 2 k = 1 Γ ( 1 + γ ¯ 1 ) Γ ( 1 k + γ ¯ 1 ) Γ ( 1 + k ) D k ξ 7 j D γ ¯ 1 k ξ 7 j = ξ 11 [ β 11 ξ 11 + ξ 12 + ζ 11 α 1 λ 11 s i g 1 / 2 ( ξ 11 ) ] + ξ 12 [ β 12 ξ 12 ξ 11 λ 12 s i g 1 / 2 ( ξ 12 ) ] + + ξ 71 [ β 71 ξ 71 + ξ 72 + ζ 71 α 7 λ 71 s i g 1 / 2 ( ξ 71 ) ] + ξ 72 [ β 72 ξ 72 ξ 71 λ 72 s i g 1 / 2 ( ξ 72 ) ] + j = 1 2 k = 1 Γ ( 1 + γ ¯ 1 ) Γ ( 1 k + γ ¯ 1 ) Γ ( 1 + k ) D k ξ 1 j D γ ¯ 1 k ξ 1 j + j = 1 2 k = 1 Γ ( 1 + γ ¯ 1 ) Γ ( 1 k + γ ¯ 1 ) Γ ( 1 + k ) D k ξ 3 j D γ ¯ 1 k ξ 3 j + j = 1 2 k = 1 Γ ( 1 + γ ¯ 1 ) Γ ( 1 k + γ ¯ 1 ) Γ ( 1 + k ) D k ξ 5 j D γ ¯ 1 k ξ 5 j + j = 1 2 k = 1 Γ ( 1 + γ ¯ 1 ) Γ ( 1 k + γ ¯ 1 ) Γ ( 1 + k ) D k ξ 7 j D γ ¯ 1 k ξ 7 j j = 1 2 β 1 j 2 ξ 1 j 2 j = 1 2 β 3 j 2 ξ 3 j 2 j = 1 2 β 5 j 2 ξ 5 j 2 j = 1 2 β 7 j 2 ξ 7 j 2 j = 1 2 λ 1 j ξ 1 j 3 / 2 j = 1 2 λ 3 j ξ 3 j 3 / 2 j = 1 2 λ 5 j ξ 5 j 3 / 2 j = 1 2 λ 7 j ξ 7 j 3 / 2 + ξ 11 ζ 11 α 1 + ξ 31 ζ 31 α 3 + ξ 51 ζ 51 α 5 + ξ 71 ζ 71 α 7 + μ ξ 1 j = 1 2 ξ 1 j + μ ξ 3 j = 1 2 ξ 3 j + μ ξ 5 j = 1 2 ξ 5 j + μ ξ 7 j = 1 2 ξ 7 j j = 1 2 β 1 j 2 ξ 1 j 2 j = 1 2 β 3 j 2 ξ 3 j 2 j = 1 2 β 5 j 2 ξ 5 j 2 j = 1 2 β 7 j 2 ξ 7 j 2 j = 1 2 λ 1 j ξ 1 j 3 / 2 j = 1 2 λ 3 j ξ 3 j 3 / 2 j = 1 2 λ 5 j ξ 5 j 3 / 2 j = 1 2 λ 7 j ξ 7 j 3 / 2 + δ ζ 1 ξ 11 + δ ζ 3 ξ 31 + δ ζ 5 ξ 51 + δ ζ 7 ξ 71 + μ ξ 1 j = 1 2 ξ 1 j + μ ξ 3 j = 1 2 ξ 3 j + μ ξ 5 j = 1 2 ξ 5 j + μ ξ 7 j = 1 2 ξ 7 j = j = 1 2 β 1 j 2 ξ 1 j 2 j = 1 2 β 3 j 2 ξ 3 j 2 j = 1 2 β 5 j 2 ξ 5 j 2 j = 1 2 β 7 j 2 ξ 7 j 2 j = 1 2 λ 1 j ξ 1 j 3 / 2 j = 1 2 λ 3 j ξ 3 j 3 / 2 j = 1 2 λ 5 j ξ 5 j 3 / 2 j = 1 2 λ 7 j ξ 7 j 3 / 2 + ( δ ζ 1 + μ ξ 1 ) ξ 11 + ( δ ζ 3 + μ ξ 3 ) ξ 31 + ( δ ζ 5 + μ ξ 5 ) ξ 51 + ( δ ζ 7 + μ ξ 7 ) ξ 71 + μ ξ 1 ξ 12 + μ ξ 3 ξ 32 + μ ξ 5 ξ 52 + μ ξ 7 ξ 72 ( β 11 2 1 2 ) ξ 11 2 ( β 31 2 1 2 ) ξ 31 2 ( β 51 2 1 2 ) ξ 51 2 ( β 71 2 1 2 ) ξ 71 2 ( β 12 2 1 2 ) ξ 12 2 ( β 32 2 1 2 ) ξ 32 2 ( β 52 2 1 2 ) ξ 52 2 ( β 72 2 1 2 ) ξ 72 2 j = 1 2 λ 1 j ξ 1 j 3 / 2 j = 1 2 λ 3 j ξ 3 j 3 / 2 j = 1 2 λ 5 j ξ 5 j 3 / 2 j = 1 2 λ 7 j ξ 7 j 3 / 2 + Δ ,
where Δ = 1 2 [ ( δ ζ 1 + μ ξ 1 ) 2 + ( δ ζ 3 + μ ξ 3 ) 2 + ( δ ζ 5 + μ ξ 5 ) 2 + ( δ ζ 7 + μ ξ 7 ) 2 + μ ξ 1 2 + μ ξ 3 2 + μ ξ 5 2 + μ ξ 7 2 ] , δ i , 1 are positive constants to satisfy ζ i , 1 α i , 1 δ i , 1 , and μ ξ j are positive constants to satisfy k = 1 Γ ( 1 + γ ¯ 1 ) Γ ( 1 k + γ ¯ 1 ) Γ ( 1 + k ) D γ ¯ 1 ξ i j D γ ¯ 1 k ξ i j μ i ξ i j . Therefore, (101) can be expressed under the condition of β i , j 2 1 2 as
D γ ¯ 1 V ξ j = 1 2 λ 1 j ξ 1 j 3 / 2 j = 1 2 λ 3 j ξ 3 j 3 / 2 j = 1 2 λ 5 j ξ 5 j 3 / 2 j = 1 2 λ 7 j ξ 7 j 3 / 2 + Δ Ξ ξ V ξ 3 / 4 + Δ ,
with Ξ ξ = min [ 2 3 λ i j ] . (102) can be written by
D γ ¯ 1 V ξ ϖ Ξ ξ V ξ 3 / 4 ( 1 ϖ ) Ξ ξ V ξ 3 / 4 + Δ ,
under the condition that there exists a scalar 0 < ϖ < 1 . If V ξ 3 / 4 Δ ( 1 ϖ ) Ξ ξ is satisfied, (103) is expressed as follows:
D γ ¯ 1 V ξ ϖ Ξ ξ V ξ 3 / 4 ,
Therefore, the finite time convergence of ξ i j is guaranteed because V ξ ( t ) reaches zero in a finite time t ξ f , which is expressed as follows:
t ξ f V ξ γ ¯ 1 1 ( t ξ r ) Γ ( γ ¯ 1 ) ϖ Ξ ξ L ξ 1 / ( 1 γ ¯ 1 ) ,
where L ξ is a positive constant that satisfies D γ ¯ 1 ξ i j 3 / 2 L ξ and t ξ r denotes a rising time. This concludes the proof. □

6. Simulation Results

In this section, the performance of the proposed controller and disturbance observer systems including the nominal system, perturbed system without/with the observer are evaluated by a simulation conducted on the quadrotor UAV system. For the case of nominal system, we designed four control systems: the standard BSC system (BSC); the BSC system adopting Levant’s tracking differentiator [29,30] (LBSC); the BSC system adopting Zong’s tracking differentiator [27,28] (ZBSC), and the BSC system adopting the proposed tracking differentiator (Proposed). The parameters of the quadrotor UAV system are presented in Table 1.

6.1. Conducted Simulation Results of the Quadrotor USV System under Nominal Mass

The parameters of the controller and observer were selected appropriately using the trial-and-error method by checking the output performance. The parameter values are listed in Table 2, Table 3 and Table 4.
The fractional orders were selected as γ 1 = 0.8 and γ 2 = 0.1 . The positioning command were taken as follows:
x d ( t ) = 2 m , 0 < t 40 5 m , 40 < t 60 1 m , 60 < t 100 , y d ( t ) = 1 m , 0 < t 30 2 m , 30 < t 80 0.5 m , 80 < t 100 , z d ( t ) = 5 m , 0 < t 78 2 m , 78 < t 100 , ψ d ( t ) = 0 rad , 0 < t 28 0.25 rad , 28 < t 78 0.125 rad , 78 < t 100 , ϕ d ( t ) = 0 rad , θ d ( t ) = 0 rad .
The other perturbations are as follows:
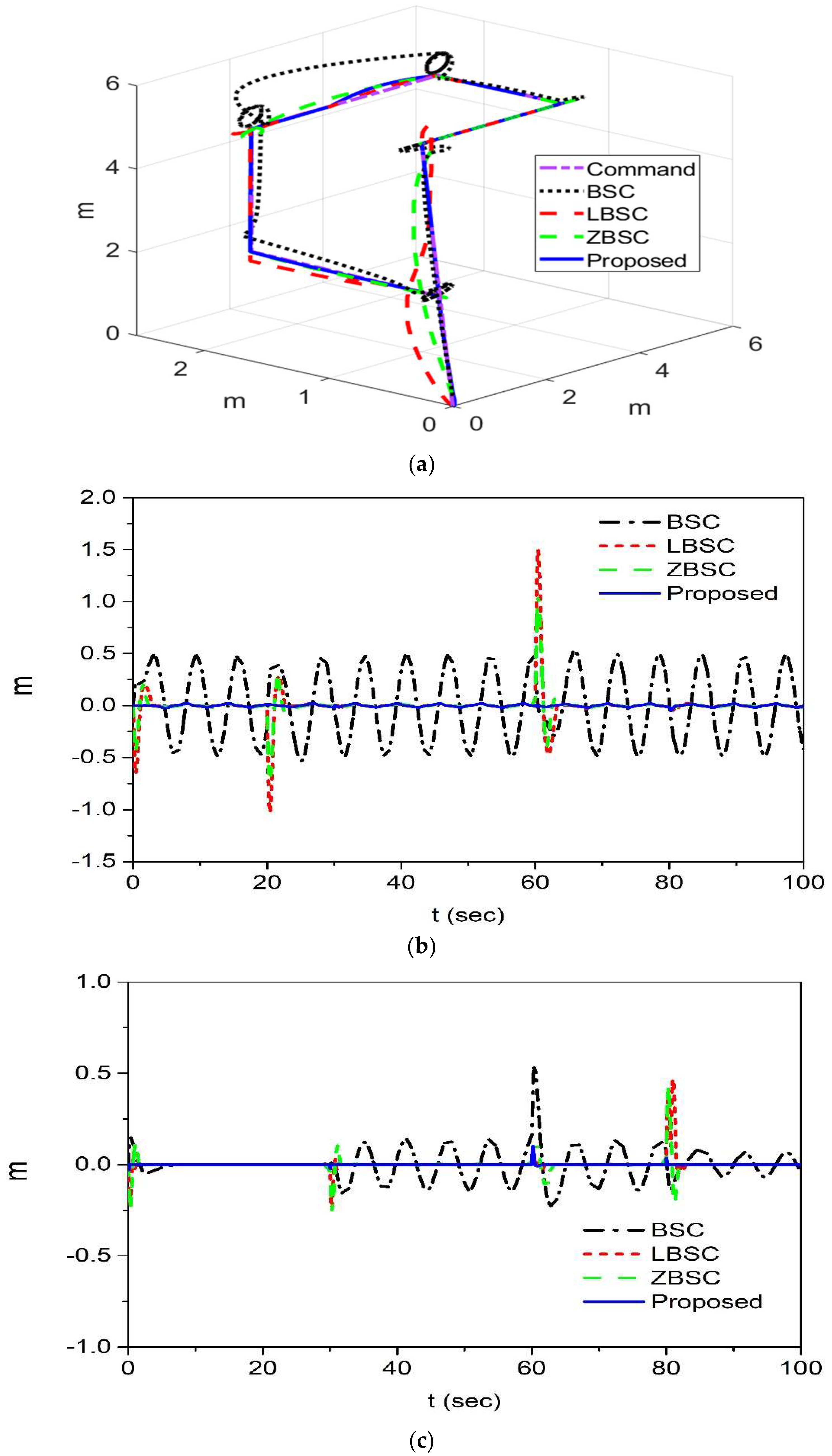
f d x = ( Δ m x ¨ d x x ˙ + 1.5 sin t ) / m 0 , f d y = ( Δ m y ¨ D y y ˙ ) / m 0 , f d z = ( Δ m x ¨ D z z ˙ ) / m 0 , τ d ϕ = d ϕ l ϕ ˙ / J x , τ d θ = d θ l θ ˙ / J y , τ d ψ = d ψ l ψ ˙ / J z , d x = 0.1 N sec / m , d y = 0.01 N sec / m , d z = 0.1 N sec / m , d ϕ = d θ = d ψ = 0.012 N sec / rad .
For the nominal UAV system, Figure 4 shows the simulation results. Figure 4a shows the position tracking result in 3-D space. To express clearly the tracking performance of each control system, the position tracking errors of the three translation axes and the heading angle tracking error are presented in Figure 4b–e, respectively. As shown in Figure 4b,c, the size of the total tracking errors of the LBSC is smaller than that of the BSC system, but the LBSC system has a larger overshoot in the direction change range.
The positioning performance of the ZBSC system is improved than those of the BSC and LBSC systems. However, the proposed system has better tracking performance than the ZBSC system. The positioning results in the z- and ψ -axes of the proposed system outperforms that of the other three systems as illustrated in Figure 4h–k. The control inputs generated from the altitude and heading controllers are presented in Figure 4f,g, respectively.

6.2. Conducted Simulation Results of the Unknown System with Disturbance Observer

Next, a simulation was conducted to assess the robustness with respect to the load perturbation for the case that the load mass of the quadrotor increases a 200%. Additionally, a wind gust of 1.5 sin ( t ) m / sec 2 was disturbed to the x-axis. A simulation of the unknown system with the controller equipped with the disturbance observers of (90) (proposed), (91) (Levant [29,30]), and (92) (Zong [27,28]), was conducted to evaluate the estimation performance (Table 5).
In Figure 5a,b, the simulation results of the 3-D positioning and z-axis positioning error are shown, respectively. The consequences of these figures imply that the positioning performance of the control system equipped with the proposed observer is superior to those of the other control system equipped with other observers.
The estimated results for the observer states and disturbances of the proposed observer shown in Figure 5c,d, respectively, indicate that the proposed observer outperforms the Levant and Zong observers. This can be confirmed from the root mean square (RMS) values of the positioning error and estimation errors for the observer state and uncertainty shown in Table 6, where the RMS value of the estimation error for the proposed system decreases to a maximum 5% that for the Levant’s system.
As the second disturbance case, when the quadrotor mass including the load mass increases to a 300%, a simulation under the same other conditions was conducted to evaluate the estimation performance for the three disturbance observers of (87) (proposed), (88) (Levant [29,30]), and (89) (Zong [27,28]). The 8-shape positioning command trajectory is selected as
P d ( t ) = x d y d z d T = 0 0 4 1 e 0.3 t T ( m ) , t 4 s , ( 98 ) P d ( t ) = x d y d z d = 8 8 cos 2 π ( t 4 ) 12 4 sin 4 π ( t 4 12 4 1 e 0.3 t , t 4 s
where other rotation commands are set to be zero.
In the first flight step, the quadrotor UAV moved vertically for 4 s for take-off flight. As the second step, an 8-shaped path flight was conducted while continuing to lift. In the second flight step, three flight performances for the lift, sideslip, and forward flights of the quadrotor UAV were continuously evaluated. Figure 5 shows the simulation results for these flights, where Figure 6a presents the 3-D positioning result, and the positioning errors on the x-, y-, z-axes are presented in Figure 6b–d, respectively. These results imply that the positioning performance of the proposed control system equipped with the proposed observer outperformed than those of the traditional controllers with other observers like the previous cases. The RMS values and the mean absolute error (MAE) values of the positioning error of three systems were shown in Table 7 and Table 8, respectively, where the RMS and MAE values of the proposed system decreases to an average 32% and 10% of those for the Levant’s system. The MAE is defined as follows:
M A E = 1 n i = 1 n e i .

7. Conclusions

In this paper, a fractional-order robust backstepping control system combined with fractional-order tracking differentiator and fractional-order disturbance observer utilizing the sine hyperbolic function was designed to achieve robust positioning performance of a quadrotor UAV system. The fractional-order filtered error surfaces and the fractional-order tracking differentiator were blended into the recursive design procedure in traditional backstepping control scheme to enforce robustness to high nonlinearities and alleviate the repeated differentiation issue resulting in a smooth derivative of the virtual controller.
A new nonlinear disturbance observer based on the fractional-order sine hyperbolic function was then designed to obtain the enhanced estimation performance and unknown perturbations of quadrotor UAV systems. Equipping this observer enabled the outperformed control system over the traditional control scheme for the uncertainties of the quadrotor UAV system. Sequential simulations for the nominal system and perturbed cases with load mass variation and wind gust were conducted and the efficacy of the proposed control system was demonstrated from the obtained results. A further experimental examination is needed to ensure that the proposed controller and disturbance observer are implemented into more feasible control systems under various real flight conditions of UAVs.

Author Contributions

Data curation, validation, software, and writing, S.P.; methodology, formal analysis, review and editing, S.H. All authors have read and agreed to the published version of the manuscript.

Funding

This work was funded by Korea Hydro & Nuclear Power Co. (2021) and the Dongguk University Research Fund of 2020.

Institutional Review Board Statement

Not Applicable.

Informed Consent Statement

Not Applicable.

Data Availability Statement

Data sharing is not applicable.

Acknowledgments

This work was supported by Korea Hydro & Nuclear Power Co (2021) and was supported by the Dongguk University Research Fund of 2020.

Conflicts of Interest

The authors declare no conflict of interest.

References

  1. Chao, H.Y.; Cao, Y.; Chen, Y. Autopilots for small unmanned aerial vehicles: A survey. Inter. J. Control Autom. Syst. 2010, 8, 36–44. [Google Scholar] [CrossRef]
  2. Shakhartreh, H.; Sawalmeh, A.; Al-Fuqaha, A.; Dou, Z.; Almaita, E.; Khalil, I.; Othman, N.S.; Khreishah, A.; Guizani, M. Unmanned aerial vehicles (UAVs): A survey on civil application and key research challenges. IEEE Access 2019, 7, 48572–48634. [Google Scholar] [CrossRef]
  3. Kim, J.; Kim, S.; Ju, C.; Son, H. Unmanned aerial vehicles in agriculture: A review of perspective of platform control, and applications. IEEE Access 2019, 7, 105100–105115. [Google Scholar] [CrossRef]
  4. Jasim, O.A.; Veres, S.M. A robust controller for multi rotor UAVs. Aerosp. Sci. Technol. 2020, 105, 106010. [Google Scholar] [CrossRef]
  5. Idrssi, M.; Salami, M.; Annaz, F. A review of quadrotor unmanned aerial vehicles: Applications, architectual design and control algorithms. J. Intell. Robot. Syst. 2022, 104, 22. [Google Scholar] [CrossRef]
  6. Salih, A.L.; Moghavvemi, M.; Mohamed, H.A.F.; Gaeid, K.S. Flight PID controller design for a UAV quadrotor. Sci. Res. Essays 2010, 5, 3660–3667. [Google Scholar]
  7. Sahul, M.P.V.; Chander, V.N.; Kurian, T. A novel method on disturbance rejection PID controller for quadcopter based on optimization algorithm. IFAC Proc. 2014, 47, 192–199. [Google Scholar] [CrossRef]
  8. Rosales, C.; Soria, C.M.; Rossomando, F.G. Identication and adaptive PID control of a hexacopeter UAV based on neural networks. Int. J. Adapt. Signal Process. 2019, 33, 74–91. [Google Scholar] [CrossRef]
  9. Leal, I.S.; Abeykoon, C.; Perera, Y.S. Design, simulation, analysis and optimization of PID and fuzzy based control systems for a quadcopter. Electronics 2021, 10, 2218. [Google Scholar] [CrossRef]
  10. Rinaldi, F.; Chiesa, S.; Quagliotti, F. Linear quadratic control for quadrotors UAVs dynamics and formation flight. J. Intell. Robot Syst. 2013, 70, 203–220. [Google Scholar] [CrossRef]
  11. Shauque, M.N.; Rajendran, P.; Suhadis, N.M. Proportional double derivative linear quadratic regulator controller using, improvised Grey wolf optimization technique to control quadrotor. Appl. Sci. 2021, 11, 2699. [Google Scholar] [CrossRef]
  12. Abdolhosseini, M.; Zhang, Y.; Rabbath, C. An efficient model predictive control scheme for an unmanned quadrotor helicopter. J. Intell. Robot Syst. 2013, 70, 27–38. [Google Scholar] [CrossRef]
  13. Ma, D.; Xia, Y.; Li, T.; Chang, K. Active disturbance rejection and predictive control strategy for a quadrotor helicopter. IET Control Theory Appl. 2016, 10, 2213–2222. [Google Scholar] [CrossRef]
  14. Jiang, B.; Li, B.; Zhou, W.; Lo, L.; Chen, C.; Wen, C. Neural network based model predictive control for a quadrotor UAV. Aerospace 2022, 9, 460. [Google Scholar] [CrossRef]
  15. Kristic, M.; Kanellakopoulos, I.; Kokotovic, P.V. Nonlinear and Adaptive Control Design; Wiley: New York, NY, USA, 1995. [Google Scholar]
  16. Li, Y.; Tong, S. Command-filtered-based fuzzy adaptive control design for MIMO-switched nonstrict-feedback nonlinear systems. IEEE Trans. Fuzzy Syst. 2017, 25, 668–680. [Google Scholar] [CrossRef]
  17. Liu, C.; Huang, J.; Wen, C.; Su, X. Distributed control of nonlinear systems with unknown time-varying control coefficients: A novel Nussbaum function approach. IEEE Trans. Autom. Control 2022. [Google Scholar] [CrossRef]
  18. Zhou, L.; Zhang, J.; Dou, J.; Wen, B. A fuzzy adaptive backstepping control based on mass observer for trajectory tracking of a quadrotor UAV. Int. J. Adapt. Control. Signal Process 2018, 32, 1675–1693. [Google Scholar] [CrossRef]
  19. Zhou, L.; Zhang, J.; She, H.; Jin, H. Quadrotor UAV flight control via a novel saturation integral backstepping controller. Automatika 2019, 60, 193–206. [Google Scholar] [CrossRef]
  20. Yu, G.; Cabecinhas, D.; Cunha, R.; Silvers, C. Nonlinear backstepping control of a quadrotor-slung load system. IEEE/ASME Trans. Mechatron. 2019, 24, 2304–2315. [Google Scholar] [CrossRef]
  21. Omar, R.A.; Juan, M.G.; Rodrigo, H.A.; Alejandro, D.R.; Carlos, F.S. Genetic algorithm-based tunning of backstepping controller for a quadrotor-type unmanned aerial vehicle. Electronics 2020, 9, 1735. [Google Scholar]
  22. Liu, P.; Ye, R.; Shi, K.; Yan, B. Full backstepping control in dynamic systems with air disturbances optimal estimation of a quadrotor. IEEE Access 2021, 9, 34206–34220. [Google Scholar] [CrossRef]
  23. Abro, G.E.M.; ZulkifliS, S.A.; Ali, Z.A.; Asirvadam, V.S.; Chowdhry, B.S. Fuzzy based backstepping control design for stabilizing an underacutated quadrotor craft under unmodelled dynamic factors. Electoronics 2022, 11, 999. [Google Scholar]
  24. Guo, B.Z.; Zhao, Z.L. On convergence of tracking differentiator. Int. J. Control 2011, 84, 693–701. [Google Scholar] [CrossRef]
  25. Bu, X.W.; Wu, X.Y.; Zhang, R.; Ma, Z.; Huang, J. Tracking differentiator design for the robust backstepping control of flexible air-breathing hypersonic vehicle. J. Frankl. Inst. 2015, 352, 1739–1765. [Google Scholar] [CrossRef]
  26. Yang, Z.; Ji, J.; Sun, J.; Zhu, H.; Zhao, Q. Active disturbance rejection control for backstepping induction motor based on hyperbolic tangent tracking differentiator. IEEE J. Emerg. Sel. Top. Power Electron. 2020, 8, 2623–2633. [Google Scholar] [CrossRef]
  27. Zong, X.; Chen, Z.; Zheng, J.; Cheng, X. Design of a rapid tangent sigmoid function tracking differentiator. In Proceedings of the 2020 IEEE 4th Information Technology, Networking, Electronic and Automation Control Conference (ITNEC), Chongqing, China, 12–14 June 2020; pp. 15–19. [Google Scholar]
  28. Zhou, W.; Xu, H.; Zong, X. Research on tracking system of optoelectronic pod based on a rapid tangent sigmoid function tracking differentiator. In Proceedings of the 2021 IEEE 5th Information Technology, Networking, Electronic and Automation Control Conference (ITNEC), Xi’an, China, 15–17 October 2021; pp. 217–221. [Google Scholar]
  29. Levant, A. Robust exact differentiation via sliding mode technique. Automatica 1998, 34, 379–384. [Google Scholar] [CrossRef]
  30. Levant, A. Higher-order sliding modes, differentiation and output-feedback control. Int. J. Control 2003, 76, 9–10. [Google Scholar] [CrossRef]
  31. Yu, J.; Shi, P.; Zhao, L. Finite-time command filtered backstepping control for a class of nonlinear systems. Automatica 2018, 92, 173–180. [Google Scholar] [CrossRef]
  32. Zhao, L.; Yu, J.; Shi, P. Command filtered backstepping-based attitude containment control for spacecraft formation. EEE Trans. Syst. Man, Cybern. Syst. 2021, 51, 1278–1287. [Google Scholar] [CrossRef]
  33. O’Reilly, J. A nonlinear disturbance observer for robotic manipulator. IEEE Trans. Ind. Electron. 2000, 47, 932–938. [Google Scholar]
  34. Yang, J.; Chen, W.H.; Li, S. Nonlinear disturbance observer based robust control for systems with mismatched disturbances/uncertainties. IET Control Theory Appl. 2011, 5, 2053–2062. [Google Scholar] [CrossRef]
  35. Li, S.; Yang, J.; Chen, H.; Chen, X. Generalized extended state observer based control for systems with mismatched uncertainties. IEEE Trans. Ind. Electron. 2012, 59, 4792–4802. [Google Scholar] [CrossRef]
  36. Yang, J.; Li, S.; Sun, L. Nonlinear-disturbance-observer-based robust flight control for airbreathing hypersonic vehicles. IEEE Trans. Aerosp. Electron. Syst. 2013, 49, 1263–1274. [Google Scholar] [CrossRef]
  37. Bu, X.W.; Wu, X.Y.; Chen, Y.X.; Bai, R.Y. Design of a class of new nonlinear disturbance observers based on tracking differentiators for uncertain dynamic systems. Int. J. Control. Autom. Syst. 2015, 13, 595–602. [Google Scholar] [CrossRef]
  38. Podlubny, I. Fractional Differential Equations; Academic Press: London, UK, 1999. [Google Scholar]
  39. Demirci, W.; Ozalp, N. A method for solving differential equations of fractional order. J. Comput. Appl. Math. 2012, 235, 2754–2762. [Google Scholar] [CrossRef]
  40. Podlubny, I. Fractional-order systems and PID controllers. IEEE Trans. Autom. Control. 1999, 44, 208–214. [Google Scholar] [CrossRef]
  41. Ma, C.B.; Hori, Y. Fractional-order control: Theory and applications in motion control. IEEE Trans. Industrial Electrononics Mag. 2007, 1, 35–40. [Google Scholar]
  42. Monje, C.A.; Vinagre, B.M.; Feliu, V.; Chen, Y. Tuning and auto-tuning of fractional order controllers for industry applications. Control Eng. Prac. 2008, 16, 798–812. [Google Scholar] [CrossRef]
  43. Zamani, M.; Karimi-Ghartemani, M.; Sadati, N.; Parniani, M. Design of a fractional order PID controller for an AVR using particle swarm optimization. Control. Eng. Pract. 2009, 17, 1380–1387. [Google Scholar] [CrossRef]
  44. Padula, F.; Visioli, A. Tunning rules for optimal PID and fractional-order PID controllers. J. Process Control. 2011, 21, 69–81. [Google Scholar] [CrossRef]
  45. Sondhi, S.; Hote, Y. Fractional order PID controller for load frequency control. Energy Convers. Manag. 2014, 85, 343–353. [Google Scholar] [CrossRef]
  46. Efe, M.O. Integral sliding mode control of a quadrotor with fractional order reaching dynamics. Trans. Inst. Meas. Control 2010, 33, 985–1003. [Google Scholar] [CrossRef]
  47. Delavari, H.; Ghaderi, R.; Ranjbar, A.; Momani, S. Fuzzy fractional order sliding mode controller for nonlinear systems. Commun. Nonlinear Sci. Numer. Simul. 2010, 15, 963–978. [Google Scholar] [CrossRef]
  48. Tang, Y.; Zhang, X.; Zhang, D.; Zhao, G.; Guan, X. Fractional order sliding mode controller design from antilock braking system. Neurocomputing 2013, 111, 122–130. [Google Scholar] [CrossRef]
  49. Fei, J.; Lu, C. Adaptive fractional order sliding mode controller with neural estimator. J. Frankl. Inst. 2018, 355, 2369–2391. [Google Scholar] [CrossRef]
  50. Xie, Y.; Zhang, X.; Meng, W.; Zheng, S.; Jiang, L.; Meng, J.; Wang, S. Coupled fractional-order sliding mode control and obstacle avoidance of a four-wheeled steerable mobile robot. ISA Trans. 2021, 108, 282–294. [Google Scholar] [CrossRef]
  51. Fei, J.; Wang, H.; Fang, Y. Novel neural network fractional order sliding-mode control with application to active power filter. IEEE Trans. Syst. Man Cybern. Syst. 2022, 52, 3508–3518. [Google Scholar] [CrossRef]
  52. Shumin, H.; Heng, L.; Shenggang, L. Adaptive fuzzy backstepping control of fractional-order chaotic systems with input saturation. J. Intell. Fuzzy Syst. 2019, 37, 6513–6525. [Google Scholar]
  53. Ha, S.; Liu, H.; Li, S.; Liu, A. Backstepping-based adaptive fuzzy synchronization control for a class of fractional-order chaotic systems with input saturation. Int. J. Fuzzy Syst. 2019, 21, 1571–1584. [Google Scholar] [CrossRef]
  54. Luo, S.; Lewis, F.L.; Song, Y.; Vamvoudakis, K.G. Adaptive backstepping optimal control of a fractional-order chaotic magnetic-field electromechanical transducer. Nonlinear Dyn. 2020, 100, 523–540. [Google Scholar] [CrossRef]
  55. Nikdel, N.; Badamchizadeh, M.; Azimirad, V.; Ali Nazari, M. Fractional-order adaptive backstepping control of robotic manipulators in the presence of model uncertainties and external disturbances. IEEE Trans. Ind. Electron. 2016, 63, 6249–6256. [Google Scholar] [CrossRef]
  56. Yu, Z.; Zhang, Y.; Jiang, B.; Su, C.; Fu, J.; Jin, Y.; Chai, T. Decentralized fractional-order backstepping control fault-tolerant control of multi-UAVs against actuator faults and wind effects. Aerosp. Sci. Technol. 2020, 104, 105939. [Google Scholar] [CrossRef]
  57. Guettal, L.; Chelihi, A.; Ajgou, R.; Touba, M.M. Robust tracking control for quadrotor with unknown nonlinear dynamics using adaptive neural network based fractional-order backstepping control. J. Frankl. Inst. 2022, 359, 7337–7364. [Google Scholar] [CrossRef]
  58. Yin, C.; Hu, B.; Cheng, Y.; Xue, J.; Shi, X. Design of fractional-order backstepping sliding mode controller for the quadrotor unmanned aerial vehicles. In Proceedings of the 2018 37th Chinese Control Conference (CCC), Wuhan, China, 25–27 July 2018; pp. 69–702. [Google Scholar]
  59. Shi, X.; Cheng, Y.; Yin, C.; Dadras, S.; Huang, X. Design of fractional-order backstepping sliding mode control for quadrotor UAV. Asian J. Control 2019, 21, 156–171. [Google Scholar] [CrossRef]
  60. Maurya, H.L.; Singh, P.; Behera, L.; Verma, N.K. Control design for unmanned aerial vehicle using fractional order backstepping control and extended homogenous control. In Proceedings of the 2021 International Symposium of Asian Control Association on Intelligent Robotics and Industrial Automation (IRIA), Goa, India, 20–22 September 2021; pp. 63–69. [Google Scholar]
  61. Bandyopadhyay, B.; Kamal, S. Stabilization and Control of Fractional Order Systems: A Sliding Mode Approach; Springer: Berlin/Heidelberg, Germany, 2015; p. 317. [Google Scholar]
Figure 1. Description of the quadrotor UAV.
Figure 1. Description of the quadrotor UAV.
Applsci 12 11637 g001
Figure 2. Comparative results for the four tracking differentiators. (a) ζ 1 . (b) ζ 2 .
Figure 2. Comparative results for the four tracking differentiators. (a) ζ 1 . (b) ζ 2 .
Applsci 12 11637 g002
Figure 3. Comparative results for four fractional-order filtered error surfaces.
Figure 3. Comparative results for four fractional-order filtered error surfaces.
Applsci 12 11637 g003
Figure 4. Conducted simulation results of the quadrotor system under nominal mass: (a) 3–D positioning result; (b) positioning error of x–axis; (c) positioning error of y–axis; (d) positioning error of z–axis; (e) angular positioning error of ψ –axis; (f) control input of the altitude controller; and (g) control input of heading controller.
Figure 4. Conducted simulation results of the quadrotor system under nominal mass: (a) 3–D positioning result; (b) positioning error of x–axis; (c) positioning error of y–axis; (d) positioning error of z–axis; (e) angular positioning error of ψ –axis; (f) control input of the altitude controller; and (g) control input of heading controller.
Applsci 12 11637 g004aApplsci 12 11637 g004bApplsci 12 11637 g004c
Figure 5. Conducted simulation results of the unknown quadrotor system with the controller equipped with the disturbance observer: (a) 3–D positioning result; (b) positioning error for z–axis of three control system; (c) σ ˜ 2 of three observers; and (d) ρ ˜ z of three observers.
Figure 5. Conducted simulation results of the unknown quadrotor system with the controller equipped with the disturbance observer: (a) 3–D positioning result; (b) positioning error for z–axis of three control system; (c) σ ˜ 2 of three observers; and (d) ρ ˜ z of three observers.
Applsci 12 11637 g005aApplsci 12 11637 g005b
Figure 6. Conducted simulation results of the unknown system for 300% increase in the load mass with the controller equipped with the disturbance observer: (a) 3–D positioning result; (b) positioning error on x–axis; (c) positioning error on y–axis; and (d) positioning error on z–axis.
Figure 6. Conducted simulation results of the unknown system for 300% increase in the load mass with the controller equipped with the disturbance observer: (a) 3–D positioning result; (b) positioning error on x–axis; (c) positioning error on y–axis; and (d) positioning error on z–axis.
Applsci 12 11637 g006aApplsci 12 11637 g006b
Table 1. Parameter values of the quadrotor UAV.
Table 1. Parameter values of the quadrotor UAV.
SymbolQuantityValue
m 0 nominal mass of the body 2   k g
l length of arm 0.2   m
J x , J y , J z moment of inertia at each axis 1.25 , 1.25 , 2.2 N s 2 / rad
J r moment of inertia at propeller 1 N s 2 / rad
b , d constant 5 N s 2 , 5 N m s 2
Table 2. Parameter values of the filtered error signal.
Table 2. Parameter values of the filtered error signal.
AxisValue
Altitude k 1 = 0.25 , b 11 = 0.1 , b 12 = 0.1
k 2 = 0.25 , b 21 = 0.1 , b 22 = 0.1
Longitudinal and Lateral k 3 = 0.5 , b 31 = 2 , b 32 = 2
k 4 = 0.5 , b 32 = 2 , b 32 = 2
Heading k 5 = 1 , b 51 = 2 , b 52 = 2
k 6 = 1 , b 61 = 1 , b 62 = 1
k 7 = 1.2 , b 71 = 1 , b 72 = 1
k 8 = 1.2 , b 81 = 1 , b 82 = 1
Table 3. Parameter values of the tracking differentiator.
Table 3. Parameter values of the tracking differentiator.
AxisValue
Altitude Λ 1 = 7 , c 11 = 2 , c 12 = 2 , r 11 = 20 , r 12 = 20 , κ 1 = 1.1
Longitudinal and Lateral Λ 3 = 50 , c 31 = 2 , c 32 = 2 , r 31 = 20 , r 32 = 20 , κ 3 = 1.1
Λ 5 = 50 , c 51 = 2 , c 52 = 2 , r 51 = 10 , r 52 = 10 , κ 5 = 1.1
Heading Λ 7 = 20 , c 71 = 2 , c 72 = 2 , r 71 = 20 , r 72 = 20 , κ 6 = 1.1
Table 4. Parameter values of the compensating signal.
Table 4. Parameter values of the compensating signal.
AxisValue
Altitude β 11 = 0.8 , β 12 = 0.1 , λ 11 = 1 , λ 12 = 1
Longitudinal and Lateral β 31 = 0.5 , β 32 = 0.5 , λ 31 = 1 , λ 32 = 1
β 51 = 0.5 , β 52 = 0.5 , λ 51 = 1 , λ 52 = 1
Heading β 71 = 0.5 , β 72 = 0.5 , λ 71 = 0.5 , λ 72 = 0.5
Table 5. Parameter values of the disturbance observer.
Table 5. Parameter values of the disturbance observer.
ObserverValue
Altitude axis Λ z = 8 , η ρ z 1 = 0.2 , η ρ z 2 = 0.2 , c ρ z 1 = 2.5 , c ρ z 2 = 2.5 , κ z = 1.1
Longitudinal axis Λ x = 10 , η ρ x 1 = 0.25 , η ρ x 2 = 0.2 , c ρ x 1 = 2.5 , c ρ x 2 = 2.5 , κ x = 1.1
Table 6. RMS value of the positioning error and estimation error of each system.
Table 6. RMS value of the positioning error and estimation error of each system.
QuantityLevantZongProposed
e z 0.190 (100%)0.127 (67%)0.021 (11%)
σ ˜ 2 0.305 (100%)0.096 (32%)0.020 (7%)
ρ ˜ z 1.356 (100%)0.652 (49%)0.068 (5%)
Table 7. RMS value of the positioning error of three systems.
Table 7. RMS value of the positioning error of three systems.
AxisLevantZongProposed
x (m)0.132 (100%)0.091 (69%)0.065 (49%)
y (m)0.419 (100%)0.154 (38%)0.125 (30%)
z (m)0.206 (100%)0.063 (31%)0.032 (16%)
Average value0.252 (100%)0.103 (41%)0.074 (32%)
Table 8. MAE value of the positioning error of three systems.
Table 8. MAE value of the positioning error of three systems.
AxisLevantZongProposed
x (m)0.303 (100%)0.259 (85%)0.048 (16%)
y (m)0.432 (100%)0.261 (60%)0.028 (11%)
z (m)0.310 (100%)0.179 (58%)0.010 (3%)
Average value0.348 (100%)0.233 (67%)0.029 (10%)
Publisher’s Note: MDPI stays neutral with regard to jurisdictional claims in published maps and institutional affiliations.

Share and Cite

MDPI and ACS Style

Park, S.; Han, S. Robust Backstepping Control Combined with Fractional-Order Tracking Differentiator and Fractional-Order Nonlinear Disturbance Observer for Unknown Quadrotor UAV Systems. Appl. Sci. 2022, 12, 11637. https://doi.org/10.3390/app122211637

AMA Style

Park S, Han S. Robust Backstepping Control Combined with Fractional-Order Tracking Differentiator and Fractional-Order Nonlinear Disturbance Observer for Unknown Quadrotor UAV Systems. Applied Sciences. 2022; 12(22):11637. https://doi.org/10.3390/app122211637

Chicago/Turabian Style

Park, Sungbum, and Seongik Han. 2022. "Robust Backstepping Control Combined with Fractional-Order Tracking Differentiator and Fractional-Order Nonlinear Disturbance Observer for Unknown Quadrotor UAV Systems" Applied Sciences 12, no. 22: 11637. https://doi.org/10.3390/app122211637

APA Style

Park, S., & Han, S. (2022). Robust Backstepping Control Combined with Fractional-Order Tracking Differentiator and Fractional-Order Nonlinear Disturbance Observer for Unknown Quadrotor UAV Systems. Applied Sciences, 12(22), 11637. https://doi.org/10.3390/app122211637

Note that from the first issue of 2016, this journal uses article numbers instead of page numbers. See further details here.

Article Metrics

Back to TopTop