Abstract
To alleviate the impact and vibrations to a driver in multiple directions during the driving of non-road vehicles, the authors of this paper proposed a multi-degree-of-freedom (MDOF) seat damping suspension that was based on the cubic Stewart mechanism and magnetorheological fluid (MRF) damper. A kinematics analysis of the cubic Stewart mechanism was carried out. The relative motion velocity of each leg of the Stewart mechanism was calculated from the center velocity of the upper and lower platforms, according to a reverse kinematics equation. Furthermore, forward and inverse dynamic models of the MRF damper were established, which laid the foundation for semi-active control of the seat suspension. Finally, a semi-active control method for multidimensional damping based on the optimized fuzzy skyhook control method was proposed. The research results showed that using this method could simultaneously improve the vibration damping performance of a seat suspension in the vertical, horizontal, and roll directions.
1. Introduction
Heavy commercial vehicles, tractors, and construction machinery are obviously excited by vibrations during their operation, due to the poor driving conditions they are in. A vehicle’s tires and suspension system can quickly attenuate the high-frequency vibrational excitations that come from the ground. In contrast, low-frequency vibrational excitations that significantly impact the human body are transmitted from the vehicle floor and seat to the driver or passenger. Therefore, during non-road vehicle driving, the driver must withstand low-frequency and high-intensity vibrations for long periods. These kinds of vibrations can affect the driver’s health, and even cause driving fatigue, leading to safety accidents [1]. In order to solve this problem, research on reductions in seating system vibrations is important. Seat damping is the simplest, most direct, and most economical method used to meet continually increasing requirements for people’s ride comfort in non-road vehicles. Therefore, research on vehicle seat damping is vital for improving the driving comfort of off-road vehicles.
Currently, the vibration-reduction methods of vehicle seats mainly include passive vibration reduction, semi-active control vibration reduction, and active control vibration reduction. A passive seat suspension has no feedback control system, but instead relies on the spring and damper of the suspension to attenuate vibrational excitation. The differences between semi-active and passive control are that the stiffness or damping parameters of a semi-active control suspension are variable, and that the feedback control of vibrations can be achieved through the output control forces of stiffness or damping elements. An active suspension also achieves strong damping effects through feedback control. The difference between active and semi-active control is that the control forces of an active control suspension are output by a dedicated actuator.
The passive vibration-reduction method is widely used because of its simple structure and low cost. However, the stiffness and damping coefficients of a passive seat cannot change with changing working conditions, and it is difficult to attenuate low-frequency vibrations with a passive vibration-reduction method [2]. The active control method can effectively suppress low-frequency vibrations and adapt to various working conditions; however, active control devices are expensive, and require highly reliable actuators. The semi-active vibration-reduction method has better adaptability than the passive vibration-reduction method to changing conditions, and has lower costs than the active vibration-reduction method. Therefore, it has strong application prospects [3].
A magnetorheological fluid (MRF) damper is a new type of semi-active damper that is based on smart materials. This damper is suitable for vehicle suspensions because of its variable damping coefficient and strong vibration-reduction effect. As a result of these advantages, the magnetorheological fluid damper is widely used in vehicle seat vibration-reduction applications. Phu, D. [4] developed a seat suspension that used an MRF damper combined with a switching adaptive fuzzy controller, and the research results showed that this seat suspension could effectively reduce vibrations transmitted to the driver. Deng [5] developed a novel compact rotary magnetorheological damper with variable stiffness and variable damping characteristics that could reduce the amplitudes of vibrations effectively. Zhang [6] developed an innovative seat suspension that operated with an MRF damper combined with a back-stepping sliding mode controller, and the results showed that using this seat suspension could control low-frequency vibrations and achieve better robustness.
For commercial and off-road vehicles, driving behaviors such as cornering, acceleration, and obstacle avoidance, as well as other vibrational excitations resulting from harsh working conditions, cause vibrations in multiple directions. Therefore, it is necessary to carry out multi-degree-of-freedom (MDOF) vibration-reduction research on vehicle seats.
The traditional multi-dimensional vibration-reduction methods are mainly divided into two categories. One type uses elastic materials, such as rubber and sponge, to realize multi-dimensional vibration reduction via the elasticity of flexible materials. However, these materials have shortcomings, such as poor heat dissipation and rapid aging, which may lead to unstable vibration-damping performance and low service life [7]. Another multi-dimensional vibration-reduction method combines a mechanical structure with a damping element to reduce vibration. For example, Ning developed a two-layer MDOF vehicle seat suspension that can simultaneously control vibration in the vertical direction and two rotational directions [8]. This suspension can effectively attenuate multi-dimensional vibration. However, it is necessary to adopt a multi-layer structure to realize multi-dimensional vibration reduction, and its structure is complex.
A parallel mechanism can simultaneously move in different directions, and can attenuate vibrations in multiple degrees of freedom. This kind of mechanism has been in development for decades. In 1965, Stewart studied the mechanism that was designed by Gough, and invented the Stewart mechanism as a flight simulator [9]. In 2007, Preumont et al. [10] developed a six-axis vibration isolation system that used the Stewart platform, which demonstrated a strong damping effect. Behrouz Afzali-Far [11] developed a Stewart platform with a symmetric structure, and analyzed the dynamic characteristics of the platform. In 2015, Li [12] developed a 6 DOF vibration-reducing platform using Stewart’s mechanism, and showed that the platform had a strong damping effect on 6 degrees of freedom. In 2020, He et al. [13] designed a Stewart platform-based parallel support bumper to alleviate the vibrations of inertially stabilized platforms.
While the Stewart mechanism has many advantages in multi-dimensional vibration reduction, it still has some problems. Movement between the legs of a common Stewart mechanism is coupled, making its kinematic and kinetic analyses complex. In order to solve this problem, Geng first proposed a special-house Stewart mechanism, which is a cubic Stewart mechanism. Any two adjacent legs of this mechanism are perpendicular to each other [14]. A cubic Stewart platform not only simplifies control algorithms and achieves controller decoupling, but also simplifies calculations of kinematics, and mechanical structural design.
Due to the above-described structural characteristics, the sensors installed along each portion’s axis have orthogonality, as do the vibration signals of each leg. That means that we can transform a multi-input, multi-output (MIMO) vibration control problem into a single-input, single-output control problem [15,16].
The authors of this article propose a vehicle seat suspension that is based on a cubic configuration Stewart platform and an MRF damper. The main structure of the paper is described below.
In the first section, we introduce the research background of the multi-dimensional damping of vehicle seats, establish the necessity of this research, and introduce the research scheme adopted in this study. In the second section, we establish a dynamic model of the MRF damper, carry out the kinematics analysis of the cubic configuration Stewart platform, and simplify the control measurement parameters according to the symmetrical characteristics of the platform. In the third section, we establish a virtual prototype model of the damping seat platform, and verify the feasibility of simplifying the control measurement. In the fourth section, we describe our experimental research on a multi-DOF seat damping suspension. In the fifth section, we consider semi-active vibration control, and show that the vibration-reduction effect in multiple directions could be effectively improved. In the final section, we summarize the research of the paper and potential future research directions. The research route of the article is shown in Figure 1.
Figure 1.
The research route of the article.
2. Structure and Principle of the Seat Suspension System
2.1. Design of the MRF Dampers
The structure of the studied MRF damper is shown in Figure 2; it comprises a cylinder block, piston, magnetorheological fluid, coil, sealing ring, gas chamber, and coil lead wire. The piston has throttling holes, and a winding coil is used to generate a strong magnetic field that wraps around the piston.
Figure 2.
The structure of magnetorheological damper.
MRF dampers use a smart material, magnetorheological fluid (MRF), that can change the damping force by changing the magnetic field [17]. Without a magnetic field, the magnetic particles in the MRF are distributed in the base liquid in a disordered state; shear stress is only related to the shear rate, and the MRF can be regarded as a Newtonian fluid. In the presence of a magnetic field, the magnetic particles condense into a chain structure along the direction of the magnetic field, causing the whole suspension system to produce a phase change that causes the stress force of the MRF to increase with an increase in the magnetic field. When the magnetic field is withdrawn, the MRF returns to a Newtonian fluid state [18].
Due to these characteristics of magnetorheological fluids, an MRF damper uses this material as its working medium. During operation, the controller controls the magnetic field strength by changing the current. This operation can change the molecular arrangement of the magnetorheological fluid, thereby realizing the adjustment of the damping force of the magnetorheological damper [19]
2.2. Dynamic Model of the MRF Damper
2.2.1. Mechanical Test of the MRF Damper
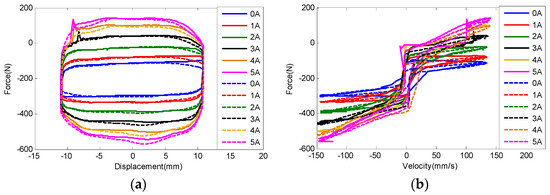
To obtain the damping characteristics of the MRF damper, it was necessary to test its dynamic features. The Instron E10000 electronic dynamic tester for testing MRF dampers is shown in Figure 3. In the test, the input current of the damper was controlled by a direct current (DC) power supply. In the experiment, the excitation displacements used were 5 mm and 10 mm; the excitation currents were 0, 1, 2, 3, 4, and 5 A; and the excitation frequencies were 1 Hz, 2 Hz, and 3 Hz, comprising a total of 36 working conditions. Due to the many working conditions, we used the 10 mm–2 Hz working condition as an example for analysis, as shown in Figure 4.
Figure 3.
Dynamics test of the MRF damper. (a) E10000 electronic dynamic testing machine; (b) MRF damper installed on the test machine.
Figure 4.
Damping characteristic diagrams of the MRF damper. (a) 10 mm–2 Hz displacement–force diagram; (b) 10 mm–2 Hz velocity–force characteristic diagram.
Figure 4a shows that the damping force–displacement curve was rectangular and fully circulated, which shows that the damper had a strong energy dissipation effect and strong vibration attenuation ability. Figure 4b shows that the velocity–force curve was a line with an approximately central symmetry, indicating that the magnetorheological damper had prominent hysteresis characteristics. Some of the damping force, which obviously increased as the current increased, was part of the viscous damping force of the MRF damper, which was part of the controllable proportion of the damping force.
2.2.2. Dynamic Model of the MRF Damper
To fully utilize the semi-active characteristics of the MRF damper, we needed to build an accurate dynamic model to simulate the real-time performance of semi-active control. The Bouc–Wen model is a mathematical model that was proposed by Bouc R and Wen Y K [20] to describe the hyperbolic hysteretic characteristics of an MRF damper. It is composed of a spring, a damper, and a hysteretic system, in parallel. The damping force of the MRF damper can be obtained by the following equation:
where F is the damping force; c0 is the viscosity coefficient; k0 is the stiffness coefficient; x and are the relative displacement and relative velocity at both ends of the damper, respectively; x0 is the relative equilibrium displacement; and 0 is the output force of the damping element. represents the output force of the spring element, and αz is the output force of the hysteretic system; these three parts together constitute the damping force of the MRF damper. Furthermore, α is the proportion adjustment parameter of the hysteretic force in the damping force, z is the hysteretic variable, n is the smoothing coefficient, and γ, β, and A are parameters that are used to adjust the smoothness of the model, and the linear characteristics from the yield area to the post-yield area of the curve.
In the Bouc–Wen model, eight parameters need to be identified, for which the authors of this paper used the Simulink Design Optimization toolbox. These parameters have different effects on the model. Wen found that γ and β in the model only affect the shape of the hysteretic curve, but not the damping force, and n only affects the smoothness of the transition curve from the elastic zone to the plastic zone [21]. It can be seen from Figure 3 that the magnitude of current has a significant influence on the amplitude of the damping force. According to the preliminary identification, the values of parameters α and c0 significantly vary with a change in current; thus, it was assumed that there is a specific relationship between α, c0, and the current. The other parameters were fixed as constants. The determined model parameters are shown in Table 1.
Table 1.
Bouc-Wen model parameters.
In Table 1, I is the input current. The identification results were plotted and compared with the test results in Figure 5. In Figure 5, the experimental data are shown as solid lines, and the simulation results are shown as dotted lines.
Figure 5.
Comparisons of simulation results with experimental results. (a) 10 mm–2 Hz displacement–force diagram; (b) 10 mm–2 Hz velocity–force characteristic diagram.
Figure 5 shows that the calculated displacement–force curve and the velocity–force curve calculated with the Bouc–Wen model identified in this article were consistent with the test results.
2.2.3. Inverse Dynamic Model of the MRF Damper
During the semi-active control process, the control force is output through the variable damping force of an MRF damper. Therefore, the inverse dynamic model of an MRF damper had to be established to calculate the control current, according to the expected damping force. Since the forward dynamic model of an MRF damper is complex, it is difficult to directly calculate the inverse model from a forward model. A BP (back propagation) neural network is a feed-forward neural network with error back propagation that can solve nonlinear problems when the relationship between the input and output of a system is unknown. This characteristic is suitable for solving the problem of the control current for an MRF damper. Therefore, a BP neural network was used to establish the inverse model of the MRF damper in this study.
The first step in using a neural network to establish an inverse model of an MRF damper is to select the training data. The neural network inverse model of an MRF damper consists of three inputs: damping force, relative displacement, and velocity; the output is control current. Combined with the structural parameters of the studied MRF damper, a random excitation signal with an amplitude of less than ±15 mm was used as the displacement input training sample, and its derivative was used as the velocity input training sample. A random white noise signal in the range of 0–5 A was used as the training sample of the control current. These training samples were input to the Bouc–Wen MRF damper dynamic model, and the output damping force was obtained as the training sample data. The basic training process of the BP neural network is shown in Figure 6.
Figure 6.
BP neural network training process.
After completing training of the BP neural network inverse model of the MRF damper, a section of data was selected to input to a neural network for testing, in order to verify the effectiveness of the BP network. The predictive control current of the neural network inverse model was compared with the actual control current, and the current prediction error was also calculated, as shown in Figure 7 and Figure 8.
Figure 7.
The predicted values of the current using the BP network.
Figure 8.
Current errors using the BP networks.
From the prediction results and errors given in Figure 7 and Figure 8, we can see that the fitting effect of the control current predicted by the BP neural network on the original current sample was good. The root mean square (RMS) value of the neural network’s current prediction error was 0.167 A, which met the control requirements of the MRF damper. After establishing the dynamic model and the inverse dynamic model of the MRF damper, the control current could be calculated according to the expected control force that was obtained by the control algorithm in semi-active control.
2.3. Design of the Multi-Dimensional Seat Platform
A multi-dimensional seat platform comprises a cubic configuration Stewart platform structure and an MRF damper. There are two platforms and six legs in a seat platform. Each leg includes two universal pairs (U) that are connected with two platforms, and the upper and lower parts of the branch leg are connected through a cylindrical pair (C) [22]. The upper and lower platform’s side lengths are the same, and any two adjacent legs are perpendicular to each other. The main structure of the seat platform is shown in Figure 9.
Figure 9.
The configuration and structure of the cube Stewart platform.
2.3.1. Kinematics Analysis of the Stewart Platform
For kinetic analysis, two coordinate systems were defined. The (P-xyz) was set as the moving coordinate system, and the (B-xyz) was set as the static coordinate system. The origin of the static coordinate system (Ob) was set to be located in the center of the triangular outer circle formed by three intersection points that were connected on the lower platform (base platform). The origin of the moving coordinate system (Op) was set to be located in the center of the outer circle of the triangle formed by the three intersections that were connected in turn on the upper platform (load platform), as shown in Figure 10.
Figure 10.
Vectorial representation of the cube Stewart platform. (a) Axonometric view of cube Stewart platform; (b) top view of cube Stewart platform.
In Figure 10, t represents the vector from point Ob to point Op, pi is the connection vector from OP to each leg of the upper platform, and bi is the connection vector from Ob to each leg of the base platform.
The Jacobi matrix is related to the sliding velocity vi of each leg and the velocity vector χ = (vT, ωT), while the position of the upper platform is a function of (x, y, z, α, β, γ), as follows [23]:
The sliding speed of each leg is shown as follows:
where s is the linear displacement of the center position of the upper platform, θ is the angular displacement of the upper platform, pi is the connection vector from OP to each leg of the upper platform, v is the linear velocity of the center position of the upper platform, ω is the angular velocity of the upper platform (in this article, a dot above a variable indicates the time derivative), and si is the displacement of each leg. Then, an antisymmetric matrix can be used to express a cross product:
This equation forms the i-column of the Jacobian matrix:
If v and ω are expressed in the upper platform reference system, then the following applies:
where li is the length vector of each leg, and R is the rotation matrix of the two coordinate systems of the upper and lower platforms. Since the x and y coordinates of the origin of the two coordinate systems of the lower platform and the upper platform are the same, the rotation matrix R of the two coordinate systems is a third-order unit matrix.
The velocity Jacobian matrix is as follows:
For a Stewart mechanism with a cubic configuration, if the legs are perpendicular to each other and the length of the rod is L, then /3)∗L, and the connection vectors, pi of the legs on the upper platform, and bi of the legs on the lower platform, are as follows:
Then, the Jacobian matrix can be obtained from Formula (8):
After obtaining the Jacobian matrix, the velocity of each leg of the Stewart platform can be calculated according to the velocity and angular velocity of the center position of the upper platform.
2.3.2. Measurement Simplification of the Stewart Platform
In a semi-active control seat platform, an MRF damper needs to exert control forces by changing the damping force. Therefore, in actual control, one needs to measure the motion parameters of each leg, in order to control the damping force output. The above-described analysis shows that according to the kinematic inverse equation, we can calculate the sliding speed of each leg by the motion parameters at the center of the upper platform.
However, the calculation results in the previous section were based on the assumption that the lower platform was fixed, while the upper platform moved. Both the upper and lower platforms are in motion when a vibration-reduction seat platform is in operation. Therefore, we needed to obtain a Jacobian matrix of the lower platform, in order to calculate the relative sliding speed of each leg damper.
Since a Stewart mechanism with a cubic configuration has symmetry, the Jacobian matrix J’ of the lower platform is consistent with that of the upper platform. In order to ensure the consistency of coordinates, the coordinate system needed to be transformed. After rotating the original coordinate system 180 degrees around the x- and z-axes, we changed the position of the upper and lower plates of the Stewart mechanism. The lower rod velocity of each leg of the Stewart platform could be calculated at this time. Then, the relative velocity of each leg was obtained by subtracting the upper and lower velocities of each leg.
3. Virtual Prototype Model of the Seat Suspension Platform
3.1. Virtual Prototype Model of the Seat Suspension Platform
In this study, the SimMechanics module in Simulink software was used to build a virtual prototype model of the seat suspension to perform vibration control simulation. The virtual prototype model of the seat suspension included two platforms and six legs. Each leg consisted of an upper rod and a lower rod. The upper and lower platforms and six legs were connected together with universal joints. The upper and lower rods of each leg were connected together with cylindrical joints. Then, the U-C-U legs in the cubic Stewart seat suspension platform were formed after connection. The virtual prototype model of the seat suspension platform is shown in Figure 11. The main parameters of the virtual prototype model are shown in Table 2.
Figure 11.
Virtual prototype model of the cubic Stewart parallel mechanism.
Table 2.
Virtual prototype model parameters.
3.2. Kinematic Verification of the Cubic Stewart Seat Suspension Platform
In the study, an inverse kinematics method was used to obtain the relative velocity of each leg. The relative velocity of each MRF damper installed on the six legs of the platform was obtained by the velocity and angular velocity of the upper and lower platforms’ center positions, so that the measurement of parameters could be simplified in semi-active control. To verify the accuracy of this method, a simulation analysis was applied. During the simulation, vertical random excitation (translated along the z-axis) and roll random excitation (rotated along the x-axis) were added to the lower platform at the same time, and the displacement input of the excitation signal is shown in Figure 12.
Figure 12.
Simulated excitation displacement. (a) Roll displacement (rotation along the x-axis); (b) vertical displacement (translation along the z-axis).
Following setup, the virtual prototype model of the Stewart platform was simulated. The simulated velocity and angular velocity of the center position of the lower and upper platforms are shown in Figure 13 and Figure 14.
Figure 13.
The velocity and angular velocity of the center position of the lower platform: (a) x-axis displacement; (b) y-axis displacement; (c) z-axis displacement; (d) rotation around the x-axis; (e) rotation around the y-axis; (f) rotation around the z-axis.

Figure 14.
The velocity and angular velocity of the center position of the upper platform: (a) x-axis displacement; (b) y-axis displacement; (c) z-axis displacement; (d) rotation around the x-axis; (e) rotation around the y-axis; (f) rotation around the z-axis.
After obtaining the velocity and angular velocity of the center position of the upper and lower platforms according to the method proposed above, the speed of the upper and lower rods of each leg could be obtained through kinematic inversion. Then, we subtracted the speeds of the lower rods from the speeds of the upper rods of each leg to calculate the relative speed of each leg. In Figure 15, the calculated results are compared with the Simulink software-measured results of each leg.
Figure 15.
The relative velocities of each leg. (a) The velocity of leg1. (b) The velocity of leg2. (c) The velocity of leg3. (d) The velocity of leg4. (e) The velocity of leg5. (f) The velocity of leg6.
Figure 15 shows that the movement speed of each leg that was calculated by the inverse kinematics method, according to the center position of the Stewart platform, was consistent with the measured results, which indicated that the method presented in the article can feasibly simplify the measurement of parameters in the active control.
4. Experimental Research on the Multi-DOF Seat Damping Suspension
4.1. Experimental Prototype of the Multi-Dimensional Damping Seat and the Vibration Test System
A multi-dimensional damping seat test prototype was developed. A multi-degrees-of-freedom vibration test was carried out, in order to test the multi-dimensional performance of the multi-DOF damping seat suspension based on the cubic Stewart platform and the MRF damper. As shown in Figure 16, the test prototype comprised a lower platform, lower joint, MRF damper, spring, upper joint, load plane, and other parts. In the test prototype, each leg contained an MRF damper and a spring to form an elastic vibration-damping system.
Figure 16.
Experimental prototype of multi-DOF seat damping suspension.
To realize a multi-degree freedom vibration test, it was necessary to excite the seat damping platform in multiple directions. A 6 DOF vibration test bed was used to generate multi-dimensional vibrational excitation. In the vibration test bed, six servo motors drove the lead screw to control the movement of six leg actuators, in order to realize the six degrees of freedom vibration. The test bed is shown in Figure 17.
Figure 17.
Vibration test system of the multi-dimensional damping seat test platform. (a) 6-DOF vibration test bench; (b) vibration test bench control system.
During the test, an 80 kg experimenter sat on the experimental prototype of the multi-dimensional damping seat to simulate a vehicle driver. Furthermore, two PCB three-axis acceleration sensors were installed in the center of the upper and lower plates of the damping seat, in order to measure the vibration acceleration of the upper and lower plates. In the roll direction vibration test, we calculated the roll acceleration from the vertical acceleration of the two positions. The specific method used was as follows: during the roll acceleration test, two accelerometers were installed on the upper and lower plates, and the roll acceleration measurement was obtained by subtracting the vertical acceleration values of the two points, and dividing the remaining value by the distance between the sensors [23].
4.2. Test Results
Since a vehicle damping seat mainly works at medium and low frequencies, the test excitation frequencies were set to 1 Hz, 1.5 Hz, 2 Hz, 2.1 Hz, 2.2 Hz, 2.3 Hz, 2.4 Hz, 2.5 Hz, 2.6 Hz, 2.7 Hz, 2.8 Hz, 2.9 Hz, 3 Hz, 3.5 Hz, 4 Hz, 4.5 Hz, and 5 Hz, and each excitation test used 0 A current, 1 A current, 3 A current, and 5 A current. During the test, the acceleration values at the center of the upper and lower platforms were simultaneously measured, and the vibration transmission rate was calculated as the test result. The seat platform was tested in the vertical, horizontal, and lateral directions. The test results are shown in Figure 18.
Figure 18.
Test results of the multi-dimensional damping seat platform. (a) Vertical direction test results; (b) horizontal direction test results; (c) roll direction test results.
Figure 18 shows the multi-dimensional vibration-damping seat suspension test results for the 0 A, 1 A, 3 A, and 5 A currents. Figure 18a–c show the test results of the vertical, horizontal, and roll directions. As seen from Figure 18, with an increase in the excitation frequency, the vibration-damping seat’s vibration transmission rate in the three directions initially increased, and then decreased. When the vibrational excitation was more than 4 Hz, the vibration transmission rate in the three directions was less than 1, indicating that the vibration-damping seat entered the vibration-damping area, and could realize vibration damping in the three directions.
In the resonance region of 1–3 Hz, the vibration transmission rate in three directions was greater than 1, indicating that vibration amplification occurred. After adding the fixed current, the vibration amplification amplitude gradually decreased, due to an increase in damping. After the current increased to 5 A, the vibration transmission rate in the resonance region was close to 1. This result shows that the current applied to the MRF damper effectively improved the low-frequency vibration response in all directions. However, it was also found that increasing the MRF damper’s current in the high-frequency damping region increased the vibration transmission rate, and reduced the damping effect. Therefore, further research on semi-active vibration control is necessary to obtain better damping effects.
5. Semi-Active Control Analysis of the Multi-DOF Seat Damping Suspension
For a passive vibration isolation system, the vibration transmissibility can be shown in the following equation:
In this formula, Td is the vibration transmissibility of the passive vibration isolation system, λ is the ratio of the excitation frequency and natural frequency, and ζ is the damping ratio.
Figure 19 shows that when the excitation frequency was 1.414 times higher than the natural frequency (λ > 1.414), the vibration transmissibility Td was less than 1, meaning that the vibration isolation system could effectively reduce vibration. However, when λ < 1.414, Td > 1, indicating that the vibration was amplified.
Figure 19.
Vibration transmission characteristics of the passive vibration isolation system.
Therefore, to achieve better damping performance, it was necessary to reduce the natural frequency of the seat as much as possible. However, if the natural frequency is too low, the deflection of the vibration isolation system will be too large, so it is not easy to reach a low natural frequency. Therefore, it is necessary to use active or semi-active control methods, in order to attenuate low-frequency vibrational excitation.
5.1. Design of the Semi-Active Controller
5.1.1. Semi-Active Control Algorithm
Since the seat suspension platform was based on the cubic Stewart structure, it could achieve dynamic decoupling between the legs of the structure. This meant that the multi-dimensional vibration-reduction problem could be converted into one-way vibration damping for each leg of the vibration-damping platform problem. The one-way vibration model is shown in Figure 20 and in Equation (13).
Figure 20.
The one-way vibration model.
In Formula (13), x1 is the load displacement, x2 is the excitation displacement, m is the load mass one-way vibration model, k is the spring stiffness of the model, and c is the damping coefficient. For the legs of a seat suspension platform, the damping element in the model is an MRF damper. Therefore, a semi-active control method can be designed for a single leg. The dynamic formula of a single leg is simplified in the following:
where m is the load mass acting on each leg of the seat suspension platform, k is the spring stiffness of the leg, and fMRF is the output damping force of the MRF damper. In semi-active control, this force includes two parts: the passive damping force fpassive when the input current is 0A, and the semi-active control force fcontrol realized by the input control current, calculated by the control algorithm.
5.1.2. Fuzzy Skyhook Control Method
Since an MRF damper was used as the output control force in this study, the output control force had to conform to the output law of the MRF damper. That is, the output control force had to be the opposite to the relative velocity of the MRF damper. As a classical control strategy for semi-active suspensions, the control force output of the skyhook control method conforms to this rule. This method has many advantages, such as simple implementation, few control variables, and easy measurement.
The basis of the skyhook control method is the ideal skyhook control method. The principle of the ideal skyhook control method is shown in Figure 21.
Figure 21.
The ideal skyhook control model.
As shown in Figure 21, the ideal skyhook control method assumes that a damper (csky) is installed between the sky inertial system and the platform on a seat. During movement of the seat, the method generates a skyhook damping force with an amplitude of csky × v2 (v2 is the movement speed of the seat load m), and the direction is opposite to the direction of the seat load movement; thus, the vibration can be reduced in the seat load. However, in actual use, there is no damper connected with the sky inertial system, and the skyhook damping force needs to be output by the MRF damper. Therefore, in the actual skyhook control strategy, when the output damping force of the MRF damper is opposite to the direction of motion of the seat load, the current is added to output the skyhook damping force in order to generate the damping effect; otherwise, the skyhook damping force will not be output. The skyhook control strategy comprises the following equation:
where csky is the skyhook damping controlled by the current, vrel is the relative velocity of the MRF damper (upper rod velocity minus the lower rod), and vs is the upper rod velocity of the damper. For traditional skyhook control, the damping force is generated by a fixed current; that is, when the motion of the suspension meets the requirements of the output damping force as shown in Equation (15), the current switch is turned on, a fixed current is input, and the damping force is output. Otherwise, the current switch is turned off, and only the minimum damping force is output.
However, skyhook control also has disadvantages: (1) it produces an impact load on the suspension system during damping force switching; (2) the MRF damper can only change between fixed current and no current under skyhook control, so it is unable to fully utilize the ability of the MRF damper to continuously adjust the damping force; as a result, it consumes more electric energy. Therefore, a fuzzy algorithm-based skyhook control was examined, to maximize the MRF damper’s continuously adjustable damping advantage.
The input variables of a fuzzy controller are the upper rod velocity vs and the relative velocity vrel, and the output is the damping force factor [24]. This factor is multiplied by the skyhook damping coefficient to obtain the desired damping force. Through multiple calculations on the suspension model, the skyhook damping coefficient was selected as 3000 Ns/m. This study controlled the damping force by the sign of vs × vrel. The fuzzifications of vrel and vs are Negative Big (NB), Negative Small (NS), Zero (ZE), Positive Small (PS), and Positive Big (PB), and the fuzzifications of the desired output are Zero (ZE), Small (S), Middle (M), and Big (B). The fuzzy logic control rules are based on the skyhook strategy, and when the vs and vrel are NB, the output is the maximum damping force that corresponds to B in the fuzzy control algorithm, and so forth. The final control rules are shown in Table 3, and the structure of the fuzzy controller is shown in Figure 22.
Table 3.
Fuzzy control rule table.
Figure 22.
Structure of fuzzy controller.
As shown in Figure 20, the inputs of the fuzzy control were vrel and vs, which were then multiplied by the quantization factors Ka and Kv, respectively, to obtain the actual fuzzy control inputs. The fuzzy output was set as [0, 1], and then the output was multiplied by the scale factor Ku, in order to obtain the actual fuzzy control output.
5.1.3. Optimization of the Control Algorithm
The control rules and reasoning mechanism of a designed fuzzy controller cannot be adjusted, but the quantization factors Ka and Kv and the scale factor Ku can be adjusted, which significantly influences the controller’s performance. The experience-based selection of those factors was based on trial and error; it was challenging to obtain an optimum. Therefore, the best combination of the quantization factors Ka and Kv and the scale factor Ku of the fuzzy controller were searched using an optimized algorithm to obtain better control.
The grey wolf optimizer (GWO) algorithm is an intelligent population optimization algorithm that was first proposed by Mirjalili in 2014 [25]. The GWO algorithm has a simple principle, uses fewer adjustment parameters, and little calculation, and has been applied in face recognition, traffic flow prediction, power system control, and other fields. Therefore, we used the GWO algorithm to quantify factors Ka and Kv and the scale factor Ku, to obtain the best control effect.
The optimization process of the GWO algorithm is described below.
The GWO algorithm defines the best result, second best result, and the third best result as α wolf, β wolf, and δ wolf, respectively, which guide hunting; other candidate results are defined as ω wolf, which follows α wolf, β wolf, and δ wolf. The predation behavior of gray wolves is divided into encircling, hunting, and attacking. Hunting by the gray wolf is expressed as follows [25]:
where D is the distance between the wolf and its prey; X(t) and Xp(t) are the current positions of the wolf and prey, respectively; t is the current number of iterations; and A and C are the coefficient vectors.
The specific definitions of A and C are as follows:
where a is a linearly decreasing vector from 2 to 0. rand1 and rand2 are a randomly generated vector assignment in the interval [0, 1].
In these formulas, Dα, Dβ, and Dδ are the distances of α, β, and δ wolf from other gray wolves, respectively; Xα, Xβ, and Xδ are the positions of α, β, and δ wolf, respectively; A1, A2, and A3 are coefficient vectors; C1, C2, and C3 are random vectors; and X is the position of the current gray wolf individual.
Finally, the wolf pack assaults the prey. The value of the convergence factor a in Formula 17 linearly decreases from 2 to 0 with the value of a. If |A|≤ 1, the wolf pack assaults the prey, highlighting the local search; if A > 1, the wolf pack gives up hunting the current prey and spreads out, highlighting the global search.
5.2. Input Signal for the Road Driving Simulation
In order to simulate the vibration-reduction effect of a multi-dimensional damping seat platform when driving on the road, it is necessary to establish a vibrational excitation input channel. Considering that non-road vehicles are often subject to vibration in multiple directions when driving on a bumpy road, the force situation of the seat in this context is shown in Figure 18. In this figure, ml, mr, mv, and mb are the masses of the left tire, the right tire, the chassis, and the driver’s body, respectively, and k and c are the corresponding stiffness and damping coefficients, respectively. The vehicle chassis is excited by the vertical and roll vibrations of the ground. Vibrations are transmitted to the suspension through the tires, and to the chassis by the suspension. In general, because of the slight roughness of the road, the roll vibration is minimal and can be ignored. In this case, the vertical vibration of the seat is reduced, and the ride comfort is significantly improved. Under terrible road conditions, the roll vibration amplitude also increases with an increase in road roughness, and with the different road excitations on the left and right wheels. At this time, the driver’s body can be regarded as the top mass of an inverted pendulum system [26]. Therefore, this roll vibration causes high lateral accelerations at high speed, which seriously affects the driver’s riding comfort.
Following the analysis results shown in Figure 23, to simulate the multi-dimensional vibrational excitation encountered by non-road vehicles during driving, the authors of this paper established a semi-active control simulation model of the multi-DOF seat damping platform, as shown in Figure 24.
Figure 23.
Simplified half-vehicle model of vehicle seat suspension.
Figure 24.
Semi-active control simulation model of multi-dimensional vibration-damping seat.
As shown in Figure 24, a flat plate was built under the lower platform of the seat suspension, in order to simulate the floor of the vehicle’s cab. Random vertical vibration signals were simultaneously applied at both ends of the floor, in order to simulate the vibrational excitation of the cab floor when the vehicle passed over rough road. Random vertical vibrations were generated through the power spectrum density of commercial vehicle seat excitation, as specified in the GB/T8419-2007 national standard [27]. The random vibration signals are shown in Figure 25.
Figure 25.
The seat excitation input of control simulation. (a) vibration excitation 1 (b) vibration excitation 2.
5.3. Simulation of the Multi-DOF Seat Damping Suspension
After inputting the vibrational excitation, the optimal fuzzy semi-active control method and the passive vibration-reduction method were used to simulate vibrations of the multi-dimensional damping seat platform. First, the GWO algorithm was applied to optimize the quantization factors Ka and Kv, and the scale factor Ku of the fuzzy semi-active control. According to ISO-2631-1:1997 (E) [27], the six degrees of freedom of the center position of the upper platform of a damping seat had different weights on the comfort evaluation of the vehicle seat. In this study, the weights of translation along the x-, y-, and z-axes were all 1, rotation along the x-axis was 0.63, rotation along the y-axis was 0.4, and rotation along the z-axis was 0.2. Since the vibration input of this simulation involved the vertical, horizontal, and roll directions; that is, the translational direction along the y- and z-axes and the rotational direction along the x-axis, the optimization objective function was set as follows:
where av is the optimization objective of the fuzzy control, ay is the translational acceleration along the y-axis, az is the translational acceleration along the z-axis, and arx is the angular acceleration along the x-axis. After gray wolf algorithm optimization, the fuzzy control parameters Ka = 6.88, Kv = 9.18, and Ku =9.67 were obtained, and the vibration control simulation was carried out according to the parameters. The simulation output the acceleration in the vertical, horizontal, and roll directions of the upper and lower platforms on the seat damping suspension. The results are shown in Figure 26, Figure 27 and Figure 28.
Figure 26.
The z-axis direction simulation results.
Figure 27.
The y-axis direction simulation results.
Figure 28.
Simulation results of the angular acceleration around the x-axis direction.
The blue and red curves in Figure 26, Figure 27 and Figure 28 show the acceleration results of the upper platform of the damping seat under passive damping and semi-active controlled damping, respectively, in three directions: rotation around the x-axis and translation along the z-axis and y-axis. The black curves in Figure 26, Figure 27 and Figure 28 show the vibration acceleration signals of the lower platform of the damping seat in the three directions. The root mean square (RMS) values of the simulation results are shown in Table 4.
Table 4.
Simulation results (RMS value) of the multi-DOF damping seat platform.
Figure 26, Figure 27 and Figure 28 show that under random displacement excitation, due to the low excitation frequency of the vibration, when the passive damping method was used, the maximum values of vibration accelerations of the upper platform rotating around the x-axis, translating along the z-axis, and translating along the y-axis, appeared to be amplified in all three directions. After using the optimized fuzzy skyhook semi-active control method proposed in this paper, the vibration accelerations in all three directions were reduced. As can be seen from Table 4, when the passive damping method was adopted, the RMS values of the vibration accelerations were amplified in all three directions. After using the semi-active control method proposed in this paper, the angular acceleration, and the accelerations in the three directions of rotation around the x-axis, translation along the z-axis, and translation along the y-axis, were reduced by 25.3%, 13.4%, and 20.0%, respectively, compared with the passive damping method. Furthermore, after semi-active control, relative to the lower platform of the seat, the upper platform achieved vibration reductions in all three directions. Rotation around the x-axis, translation along the z-axis, and translation along the y-axis reduced vibrations by 9.4%, 8.9%, and 5.9%, respectively.
6. Conclusions
The authors of this paper proposed a new multi-degree-of-freedom seat damping suspension that was based on the cubic Stewart mechanism and an MRF damper. Furthermore, a virtual prototype model and test prototype model of the seat vibration-damping platform were established. Through theoretical analysis, experimental research, and numerical simulation, both passive and semi-active control of the seat suspension were studied. The main conclusions are as follows:
- The cubic Stewart mechanism was subject to kinematic analysis. The relative motion velocity of each leg of the Stewart mechanism was calculated from the center velocity of the upper and lower platforms, according to the reverse kinematics equation. Using this method, the measurement of parameters was simplified. When semi-active control was implemented, we used just two sensors to control six legs separately.
- Forward and inverse dynamic models of the MRF damper were built. The experiment and simulation results showed that the forward dynamic model could accurately reflect the mechanical characteristics of the MRF damper; the inverse model developed by the BP neural network could accurately calculate the control current from the expected damping force.
- Experimental research on the test prototype model showed that for high-frequency excitations, the seat damping suspension proposed in this paper could achieve vibration damping in the vertical, horizontal, and roll directions. Moreover, increasing the MRF damper’s current for low-frequency excitations could effectively improve the low-frequency vibration response of the seat suspension in all directions.
- A semi-active control method for multi-dimensional damping, based on the optimized fuzzy skyhook control method, was proposed. On this basis, the control algorithm was applied to the multi-dimensional seat vibration-damping platform, combined with the characteristics of the cubic Stewart mechanism; through the individual control of each leg, the vibration-damping performance of the platform on the seat was improved in all directions. The research results showed that using this method could simultaneously improve vibration-damping performance of the seat suspension in the vertical, horizontal, and roll directions, and relative to the lower platform of the seat suspension, the upper platform achieved vibration reduction in all three directions.
In this study, a semi-active control method for multi-dimensional damping based on the optimized fuzzy skyhook control method was proposed. This method was based on the skyhook control method, and its control force output mode is consistent with the damping force output mode of a magnetorheological fluid damper, which is convenient to achieve. However, its control effects still have room for further improvement. Therefore, the control method should be further studied to obtain better control effects.
Author Contributions
Formal analysis, T.M.; Funding acquisition, G.J.; Methodology, T.L. and H.L.; Writing—original draft, T.M.; Writing—review & editing, F.B. All authors have read and agreed to the published version of the manuscript.
Funding
This research received no external funding.
Institutional Review Board Statement
Informed consent was obtained from all subjects involved in the study.
Informed Consent Statement
Not applicable.
Data Availability Statement
Not applicable.
Conflicts of Interest
The authors declare no conflict of interest.
References
- Xu, W.; Bi, F.; Du, H. Reduction of low frequency vibration of truck driver and seating system through system parameter identification, sensitivity analysis and active control. Mech. Syst. Signal Process. 2018, 105, 16–35. [Google Scholar]
- Pierrick, J.; Ohayon, R.; Bihan, D.L.; Clark, W.W.; Ahmadian, M.; Lumsdaine, A. Semi-active control using magnetorheological dampers for payload launch vibration isolation. In Smart Structures and Materials 2006: Damping and Isolation; International Society for Optics and Photonics: Washington, DC, USA, 2006; Volume 6169, pp. 113–122. [Google Scholar]
- Morales, A.L.; Nieto, A.J.; Chicharro, J.M.; Pintado, P. A semi-active vehicle suspension based on pneumatic springs and magnetorheological dampers. J. Vib. Control JVC 2018, 24, 808–821. [Google Scholar] [CrossRef]
- Phu, D.; Mien, V.; Choi, S.B. A New Switching Adaptive Fuzzy Controller with an Application to Vibration Control of a Vehicle Seat Suspension Subjected to Disturbances. Appl. Sci. 2021, 11, 2244. [Google Scholar] [CrossRef]
- Deng, L.; Jiang, P.; Christie, M.; Ning, D.; Jin, S.; Du, H.; Zhang, S.; Li, W. Investigation of a seat suspension installed with compact variable stiffness and damping rotary magnetorheological dampers. Mech. Syst. Signal Process. 2022, 171, 1036–1049. [Google Scholar] [CrossRef]
- Zhang, N.; Zhao, Q. Back-Stepping Sliding Mode Controller Design for Vehicle Seat Vibration Suppression Using Magnetorheological Damper. J. Vib. Eng. Technol. 2021, 9, 1885–1902. [Google Scholar] [CrossRef]
- Kyung, G.; Nussbaum, M.A. Driver sitting comfort and discomfort (part II): Relationships with and prediction from interface pressure. Int. J. Ind. Ergon. 2008, 38, 526–538. [Google Scholar] [CrossRef]
- Ning, D.; Du, H.; Sun, S.; Li, W.; Zhang, B. An innovative two-layer multiple-dof seat suspension for vehicle whole body vibration control. IEEE/ASME Trans. Mechatron. 2018, 23, 1787–1799. [Google Scholar] [CrossRef]
- Stewart, D. A Platform with Six Degrees of Freedom. Proc. Inst. Mech. Eng. 1965, 180, 371–386. [Google Scholar] [CrossRef]
- Preumont, A.; Horodinca, M.; Romanescu, I.; de Marneffe, B.; Avraam, M.; Deraemaeker, A.; Bossens, F.; Haniehc, A.A. A six-axis single-stage active vibration isolator based on stewart platform. J. Sound Vib. 2007, 300, 644–661. [Google Scholar] [CrossRef]
- Afzali-Far, B.; Lidström, P.; Nilsson, K. Parametric damped vibrations of Gough–Stewart platforms for symmetric configurations. Mech. Mach. Theory 2014, 80, 52–69. [Google Scholar] [CrossRef]
- Li, D.; Zhang, J.; Li, D.; Bi, F. Transverse vibration analysis of concentrated mass-loaded thin circular plate based on strcutural circumferential periodicity. Trans. Tianjin Univ. 2015, 21, 147–152. [Google Scholar] [CrossRef]
- He, Q.E.; Zeng, C.J.; Gao, Z.Y.; Wu, Z. Analysis and Design of the Stewart Platform-Based Parallel Support Bumper for Inertially Stabilized Platforms. IEEE Trans. Ind. Electron. 2020, 67, 4203–4215. [Google Scholar] [CrossRef]
- Geng, Z.; Haynes, L.S. Multiple Degree-of-Freedom Active Vibration Control Using a Stewart Platform. Int. Conf. Adapt. Struct. 1994, 2, 45–53. [Google Scholar]
- Geng, Z.J.; Pan, G.G.; Haynes, L.S.; Wada, B.K.; Garba, J.A. An intelligent control system for multiple degree-of-freedom vibration isolation. J. Intell. Mater. Syst. Struct. 1995, 6, 787–800. [Google Scholar] [CrossRef]
- Li, Y.; Yang, X.; Wu, H.; Chen, B. Optimal design of a six-axis vibration isolator via Stewart platform by using homogeneous Jacobian matrix formulation based on dual quaternions. J. Mech. Sci. Technol. 2018, 32, 11–19. [Google Scholar] [CrossRef]
- Bai, X.X.; Wereley, N.M.; Hu, W. Maximizing semi-active vibration isolation utilizing a magnetorheological damper with an inner bypass configuration. J. Appl. Phys. 2015, 117, 17C711. [Google Scholar] [CrossRef]
- Li, W.H.; Chen, G.; Yeo, S.H. Viscoelastic properties of MR fluids. Smart Mater. Struct. 1999, 8, 460. [Google Scholar] [CrossRef]
- Jia, Y.; Zhou, K.; Xu, X. Design and experimental research on the vehicle twin-tube magnetorheological fluids damper based on pressure driven flow mode. J. Mech. Eng. 2012, 48, 103–108. [Google Scholar] [CrossRef]
- Wen, Y.K. Method for random vibration of hysteretic systems. J. Eng. Mech. Div. 1976, 102, 249–263. [Google Scholar] [CrossRef]
- Wang, C. Active Control Method and Experiment on the Stewart Platform for Micro Vibration Isolation. Ph.D. Thesis, Shanghai Jiao Tong University, Shanghai, China, 2017. [Google Scholar]
- Hanieh, A.A. Active Isolation and Damping of Vibrations via Stewart Platform. Ph.D. Thesis, Univ. Libre Brux, Brussels, Belgium, 2003. [Google Scholar]
- Hinz, B.; Menzel, G.; Blüthner, R.; Seidel, H. Seat-to-head transfer function of seated men-determination with single and three axis excitations at different magnitudes. Ind. Health 2010, 48, 565. [Google Scholar] [CrossRef]
- Sun, S.S.; Ning, D.H.; Yang, J.; Du, H.; Zhang, S.W.; Li, W.H. A seat suspension with a rotary magnetorheological damper for heavy duty vehicles. Smart Mater. Struct. 2016, 25, 105032. [Google Scholar] [CrossRef]
- Sm, A.; Smm, B.; Al, A. Grey wolf optimizer. Adv. Eng. Softw. 2014, 69, 46–61. [Google Scholar]
- Ning, D.; Sun, S.; Du, H.; Li, W.; Li, W. Control of a multiple-dof vehicle seat suspension with roll and vertical vibration. J. Sound Vib. 2018, 435, 170–191. [Google Scholar] [CrossRef]
- ISO 7096; Earth-Moving Machinery—Laboratory Evaluation of Operator Seat Vibration. American National Standards Institute: New York, NY, USA, 2007; GB/T 8419-2007.
Publisher’s Note: MDPI stays neutral with regard to jurisdictional claims in published maps and institutional affiliations. |
© 2022 by the authors. Licensee MDPI, Basel, Switzerland. This article is an open access article distributed under the terms and conditions of the Creative Commons Attribution (CC BY) license (https://creativecommons.org/licenses/by/4.0/).