Abstract
Collision between a moving ship and a bridge in inner rivers is a frequent occurrence that seriously endanger the safety of the bridge. Existing studies mostly address the action of a ship colliding with a bridge pier that is used as a substitution of the associated whole bridge. Such a simplification necessarily induces errors in reflecting the mechanical mechanism and dynamic characteristics of ship–whole bridge collisions. To circumvent this problem, the mechanical behavior of collision between a barge and a whole bridge was studied via elaborating a delicate barge–whole bridge collision simulation underpinned by impact mechanics and materials theories. The main contributions of this study are fourfold: (i) the entire process of the collision between the barge and a whole bridge was fully inspected; (ii) the progressive evolution of collision-induced damage in the bridge pier as well as in the barge was investigated; (iii) the effect of impact velocity, impact angle and barge mass on the collision behavior were elucidated, and (iv) the influences of the superstructure of the whole bridge on the peak value and temporal feature of the impact force, evolution of damage, and top displacement of the bridge pier were clarified. This study yielded more accurate, comprehensive, and reliable results on dynamics and damage evolution of collision in comparison with the outcome of a barge colliding a pier. These findings collectively reveal the mechanical mechanism and dynamic characteristics of collision, providing a scientific basis for developing post-collision damage assessment methods and anti-collision facilities.
1. Introduction
With the rapid development of inner-river transportation along with growth of shipping economy, e.g., the total mileage of inland waterways in China reaching 127,600 km by 2021, the occurrence frequency of accidental collision between a ship and a bridge is in an increasing trend. Accidental collisions between a ship and a bridge are exemplified by the cargo ship colliding Willemsbrug Bridge (The Netherlands, 2020), the collision induced collapse of Eggner Ferry Bridge (American, 2012), and the collapse of Jiujiang Bridge that resulted in eight deaths in 2007 [1,2]. Collision between a ship and a bridge is a significant factor jeopardizing the safety of the bridge [3]. In this situation, it is of important significance to perform an insightful inspection of ship–bridge collision so as to reveal the mechanical mechanisms and dynamic characteristics of the collision behavior, from which methods to prevent collisions could be developed.
Collision between a ship and a bridge is a complicated mechanical behavior which is difficult to elucidate relying on a theoretical or experimental means. In contrast, finite-element (FE) simulation provides a potential method to numerically clarify the problem of a ship impacting a bridge [4,5]. Chen et al. [6] numerically simulated 54 prototype barge–pier collision cases and developed impact force expressions involving triangular and multiple linear distributions. Sha and Hao [7] numerically investigated the barge–pier collision using FE methods, with which the influences of impact velocity, barge mass on collision-induced dynamic responses were investigated and a simplified formula of the impact force was formulated. Wang and Morgenthal [8] developed a numerical model of square-shaped pier with fixed bearings by using link elements to couple the simplified mass-spring model with the concrete pier. The model was employed to predict the dynamic response of concrete pier subjected to barge impact. Kantrales et al. [9] utilized numerical simulations along with scale experimental models to inspect the dynamic response of barge–pier collisions, with a linear-elastic constitutive law adopted in the simulation. Guo et al. [10] used the additional-mass method and fluid-solid coupling method to study the behavior of a ship impacting a bridge. The influence of different simplification methods on collision results were examined, and the correctness of the FE model was verified using a scale model test. Fan and Yuan [11] developed a high-resolution FE model of multi-system interactions between barge, pier, and soil, and discussed the bending failure behavior of bridge pile-foundations under barge impact. Jiang and Wang [12] introduced a material constitutive model and a FE failure criterion for simulating the ship impact-induced collapse of a reinforced concrete bridge. They built a high-resolution FE model of a ship and a bridge, revealing the ship-impact collapse mechanism of a continuous girder bridge structure. Gholipour et al. [13] numerically studied the nonlinear failure mode of concrete piers of bridges by establishing an impact-induced progressive damage model of barge-cable stayed bridge pier. The results demonstrated that a local shear failure occurred in the contact area between the barge and the pier, and a severe section fracture was observed, inducing a shear-bending composite failure in the free vibration phase of the pier.
The above studies have achieved valuable observations on a ship impacting a bridge, whereas they exhibit some imperfections: (1) the numerical simulation of the ship impacting the bridge mostly focuses on characterizing collisions between a ship and a single pier but not a whole bridge. The single pier, with the neglected superstructure of a whole bridge or simplified superstructure, e.g., an additional mass, leads to unrealistic collision behavior, e.g., inaccurate dynamic responses and imprecise damage to the bridge [7,8,9]; (2) the existing studies are basically concentrated on evaluating impact force using rough or refined numerical simulations, rather than elucidating the entire process of the collision. The entire process needs to be further inspected to ascertain the nonlinear behavior of collision and damage evolution in the bridge [2,3,6,14]; and (3) the factors influencing the analysis results of a ship colliding a bridge, in particular the barge-impact angle and superstructure of the whole bridge, need to be clarified [7,10,13]. To address these issues, this investigation established a delicate nonlinear FE model to elucidate barge–whole bridge collision behavior. Four influential factors–impact velocity, impact angle, barge mass, and superstructure–are investigated, with a particular emphasis on the influence of the superstructure on the dynamic response and damage characteristics. This study clarifies the dynamic characteristics of the bridge, depicts the progressive evolution of damage in the bridge and the ship, with the resultant findings revealing the mechanism of a ship–whole bridge collision.
2. Materials and Methods
2.1. Material Constitutive Models and Failure Criterion
In the process of a ship impacting a bridge, the concrete pier of the bridge mainly undergoes the extruding force arising from the ship. The Holmquist-Johnson-Cook (HJC) constitutive model [15] properly express the constitutive law of concrete materials subjected to large strains, high strain rates and high pressures, with the advantages of comparatively precise simulation, convenient calibration of material parameters, and high calculation efficiency. It is capable of taking the compression effect, strain rate effect and damage softening effect into account, and it is regarded as one of the most reasonable constitutive models for characterizing collision-induced damage problems in concrete structures. The yield surface equation and damage evolution equation of the HJC constitutive model [16,17] are the followings:
where is the quasi-static uniaxial compressive strength is the actual equivalent stress; and is the normalized equivalent stress, defined by [16,17]:
where, refers to the normalized pressure, with , the hydrostatic stress tensor; , the normalized strain rate, with being the reference strain rate; , normalized cohesion strength; , normalized pressure hardness coefficient; , hydrostatic pressure hardening coefficient; , strain rate variation coefficient; the damage coefficient, , considering equivalent plastic strain and plastic volumetric strain, expressed by [16,17]:
where and are the equivalent plastic strain and plastic volumetric strain in each cycle of integration, respectively; is the plastic strain to fracture under constant pressure,; and are both damage constants; , the maximum normalized tensile force; , minimum of plastic strain before fracture.
The diagrams of yield surface and the damage evolution are plotted in Figure 1 [16,17] with the relevant material parameters presented in Table 1.
Figure 1.
Description of HJC constitutive model: (a) representation of yield surfaces; (b) visualization of damage evolution function [16,17].
Table 1.
Material parameters of HJC constitutive model.
In the FE collision simulation, the elements of the pier are distorted due to the impact, which does not conform to the reality [18,19]. With the HJC constitutive model, the concrete failure criterions were added in this study. The maximum pressure of 35 MPa and the maximum principal strain of 0.02 were set as the failure criteria of concrete for obtaining more realistic damage effects. The actual simulation indicates that adding failure criterion can provoke more reasonable dynamic responses and characterization of damage evolution process of the barge impacting the bridge.
The material of the barge bow was characterized by the plastic kinematic model [20]. This model can describe the behavior of isotropic hardening and the kinematic hardening plastic model, as well as the effect of strain rate. Without considering the influence of strain rate, the stress-strain relationship of the model is shown below:
where is the yield strength; is the initial yield strength; is the plastic hardening modulus; , hardening parameter; and is the effective plastic strain.
In this model, the Cowper Symonds model [21] is used to reflect the influence of strain rate, expressed as
where denotes the strain rate with C and P constant parameters related to the strain rate. The plastic kinematic model arising from Cowper Symonds model, used in this investigation, is expressed as
The relevant material parameters of this material model are listed in Table 2, and the elastic-plastic behavior of kinematic hardening and isotropic hardening [22] is depicted in Figure 2.
Table 2.
Material parameters of the plastic kinematic model.
Figure 2.
Elastic-plastic behavior with kinematic and isotropic hardening where 𝑙0 and 𝑙 are undeformed and deformed lengths of uniaxial tension specimen. 𝐸𝑡 is the slope of the bilinear stress strain curve.
A piecewise linear plastic constitutive model was adopted for the steel reinforcement. When the steel reinforcement reaches its yield stress, it changes into linear hardening. The relevant material parameters of the model are presented in Table 3.
Table 3.
Material parameters of the piecewise linear plastic model.
2.2. Compositions of Barge and Whole Bridge
The barge model, as a prevalent ship type in inland-river basins, was established based on AASHTO specifications [23,24] for the dimension and structure of Jumbo Hopper (JH) barge. The complex internal components of the barge bow were simplified into a 14-layer truss structure (see portion O in Figure 3). Considering that the barge hull is far away from the collision area, it is not necessary to involve it in the collision. Hence, the barge hull was set as a rigid structure to save on calculation processes [25]. Geometrical dimensions of the barge model are displayed in Figure 3 along with Table 4.
Figure 3.
Geometrical dimensions of barge and whole bridge models.
Table 4.
The size of JH barge.
The total length of the two-span whole bridge model is 120 m. This model includes a bridge superstructure, rubber bearing, reinforced concrete pier, pile cap and pile foundation. The longitudinal steel reinforcement and stirrups, with a diameter of 30 mm, are placed at a depth of 250 mm under the surface of pier. The longitudinal reinforcement distance is 250 mm, and the stirrup distance is 400 mm. The steel reinforcement and pier were established separately before joining them using the node coupling method, with the bond-slip effect between steel reinforcement and concrete ignored [26].
The pile foundation used an eight-fold pile diameter model to simplify the simulation of pile–soil interactions [27]. Meanwhile, an additional water mass coefficient [28,29] of 0.038 is used to simulate the influence of a fluid medium on collision, and additional water mass was added by changing the density of the barge hull.
2.3. Mesh Generation and Contact Definition
Meshing quality directly determines the validity of an FE simulation. High-quality meshing is conducive to controlling the extent of system hourglass energy [30]. Consequently, it is extremely necessary to consider the mesh convergence of FE models so as to achieving high- quality meshing. In this model, the minimum mesh size of the model was set 200 mm to endow the ship–whole bridge collision simulation with high efficiency and precision in convergence. As presented in Table 5, SHELL163 element was adopted for the outer plate of the barge bow, BEAM161 element was used in the internal trusses of barge bow, and SOLID164 element was adopted to model the barge hull. During the collision process, the barge bow produces a large deformation that needs refined meshes to depict details of the deformation. Therefore, we set 200 mm for each side of barge–bow elements while 1000 mm for the length of the hull elements (Figure 4a). For the bridge, SHELL163 element was utilized to reflect the bridge superstructure, BEAM161 element was adopted for the steel reinforcement, and the rest of bridge, such as the pier and pile foundation, was modelled with SOLID164 element, as displayed in Table 6. In terms of the meshing of the whole bridge, the common-node method was used to connect the circular pile foundation with the rectangular pile cap (Figure 4c), and the pile cap with the pier column. This method can effectively reduce the contact setting, improve the calculation efficiency, and enable the converge of numerical calculation. The mesh size of the pier as well as pile cap that is involved in the collision is 200 mm, and that of the rest portions is 1000 mm. Collectively, there are 247,419 elements in the barge–whole bridge FE model with 42,107 barge elements and 205,312 whole bridge elements. The barge–whole bridge FE model is illustrated in Figure 4.
Table 5.
Element types and material parameters of barge model.
Figure 4.
The FE models of barge and whole bridge: (a) trusses; (b) steel reinforcement; (c) mesh dividing of the connection between pile cap and pile foundation.
Table 6.
Elements types and material parameters of whole bridge model.
There were two contact types set in this FE model to prevent mutual penetration of barge and whole bridge models and excessive sliding energy during the course of collision [31]. The contact type between barge bow and bridge pier was the surface-to-surface contact [22], with the barge bow being the contact surface and the pier being the target surface. The kinetic and static friction coefficients were 0.3 and 0.28, respectively. The contact type between the internal trusses and outer plate of barge bow was the single-surface contact, exhibiting high calculation efficiency. The kinetic and static friction coefficients of this contact type were both 0.3.
3. Dynamic Responses and Damage Evolution
3.1. Energy Exchange
The total energy of the barge–whole bridge collision simulation is conserved, as described in Figure 5. The moment when the barge impacts the bridge at 0.25 s, the kinetic energy of the barge is quickly converted into internal energy of the barge–whole bridge collision system. At 2 s, the hourglass energy can reach the maximum value of 3.617 × 105 J, accounting for 3.1% (<5%) of the total internal energy of the system. The slipping energy can also reach the maximum value of 1.919 × 104 J, representing 1.6% of the total internal energy of the system. In the explicit dynamic analysis, the established FE model is invalid if the hourglass energy exceeds 10% of the internal energy [32]. It is seen that the proportion of the hourglass energy and slipping energy is controlled within 5% of the internal energy in this simulation. This confirms the validity of barge–whole bridge collision simulation. Based on this FE model, the dynamic responses and damage evolution of barge–whole bridge collision are analyzed when a 6000 dwt (deadweight tonnage) barge impacts the whole bridge at 2 m/s.
Figure 5.
Energy conversion of barge impacting whole bridge.
3.2. Four-Phase Characteristic of Impact Force
In general, the variation of impact force during the process of collision involves four successive phases: (1) linear elastic phase: a fairly short time at the beginning of collision, of which the material of barge bow is loaded linearly, as illustrated in Figure 6 where the impact force quickly reaches a peak value of 38.66 MN; (2) buckling unstable phase: when the stress of trusses exceeds their yield stress, these trusses buckle and lose stability, resulting in a rapid drop of impact force; (3) plastic deformation phase: the outer plate and internal trusses of barge bow produce plastic deformations, causing a nonlinear increase of impact force. Meanwhile, the impact force increases slowly in this phase, finally reaching an extreme value of 17.15 MN; and (4) unloading phase: in this phase, the barge and whole bridge begin to separate from each other; the elastic deformation recovers with the impact force decreases rapidly. Nevertheless, owing to the back-and-forth vibration of the pier, the barge and the pier have a short-term relative movement, slightly increasing the impact force and delaying the unloading process. Eventually, the impact force decreases to 0 when barge loses contact with pier at 1.105 s. Such an occurrence is also found in [33]. Figure 7 shows the relationship between the impact force and the barge crush depth. As depicted in Figure 7, the largest impact depth in the barge is 766 mm. Due to the recovery of elastic deformation in the unloading phase, this value finally returns to 731.268 mm. The four phases of impact force can also be clearly observed in Figure 7.
Figure 6.
Four phases of impact force for collision.
Figure 7.
Relationship between impact force and crush depth in barge.
3.3. Displacement of Pier Top
The displacement of pier top is a fairly essential index to assess the condition of the whole bridge undergone the collision. Figure 8 illustrates the displacement of the Point A at the pier top along the collision direction (positive along the barge-driving direction). Before 1.105 s, the pier keeps in contact with the barge bow, and the pier is always in a forced vibration phase. The displacement values are all greater than zero and reach a peak value of 17.739 mm at 0.494 s. After 1.105 s, the barge is out of contact with the pier and the pier is in a free vibration phase. The maximum of free vibration amplitude is about 5.064 mm and gradually decreases toward zero.
Figure 8.
Collision-induced displacement from Point A (Node 108514) at the pier top: (a) the location of Point A (Node 108514); (b) the vibration-displacement curve of Point A.
3.4. Damage and Deformation
During the process of collision, the bow of barge comprising outer plates and internal trusses mainly is folded, torn, and bent [33,34]. A stress nephogram is employed to represent the stress distribution as a result of barge–whole bridge collision at a certain instant. The contour area of a stress nephogram characterizes the local stress state induced by the collision, which designates the potentially damageable parts of the bridge and the barge. Collectively, a sequence of stress nephograms (Figure 9) denotes the variation of stress distributions of the collision process, while a sequence of contour areas represents the variation of local stress states due to the collision behavior. In the figure, damage in the pier caused by collision is represented by vanished elements of the contour area in the FE model. Such an occurrence is illustrated in the subfigure of Figure 9 at 0.571 s, where the vanished element marked by a rectangular depicts the collision-caused damage in the pier. On the other hand, damage in the bow of the barge is represented by continuous plastic buckling deformation of the bow as a result of intensively increased and successively varied stress states of the contour areas during the course of collision, as shown in Figure 9. Clearly, the bow of the barge remains intact at 0.25 s, the initial instant of collision, after which the deformation of the bow gradually increases with the progress of collision behavior. The plastic deformation of the barge bow is mainly concentrated on the collision position with the pier, demonstrating a strong locality. Combining the information from Figure 7, after the bow structure reaches the maximum impact depth of 0.766 m at 0.871 s, a small amount of elastic deformation gradually recovers until the end of collision at 1.105 s.
Figure 9.
Barge–whole bridge stress nephograms.
The pier structure is prone to cracking damage in the contact area with the ship. For square piers, high-stress concentration occurs at the edges [35]. Figure 9 shows that the collision starts at 0.250 s, and the element at the edge of the pier becomes a vanished element at 0.571 s, because it reaches the setting concrete failure threshold, indicating pier damage. Subsequently, the damage degree of the pier deepens, and the damage area expands until the collision ends at 1.105 s.
4. Factors Influencing Behaviors of Barge–Whole Bridge Collision
Four influencing factors were selected: impact velocity, impact angle, barge mass, and superstructure. In addition, the corresponding cases were set to discuss and analyze the dynamic response and structural damage evolution, such as similarities and differences of impact force trend, pier damage, etc.
4.1. Influence of Barge Impact Velocity on Collision
The influence of the barge impact velocity was analyzed with regard to the dynamic behavior of the barge–whole bridge collision, and only the barge impact velocity was changed, while other impact conditions remain unchanged. The impact velocity was set to five cases: 1, 2, 3, 4, and 5 m/s. The time-history curves of impact force at different barge impact velocities were obtained, as shown in Figure 10:
Figure 10.
Comparison of impact forces at different impact velocities.
As the barge impact velocity augments, the time of the barge–whole bridge collision response advances, the peak value of impact force increases, and the duration of the barge–whole bridge collision upsurges. The peak value and duration of impact force under different cases are demonstrated in Figure 11 and Figure 12. The peak value of impact force exhibits an approximately linear relationship with the impact velocity, and the duration of the barge–whole bridge collision nonlinearly increases with increased velocity.
Figure 11.
Variation of peak values of impact force at different impact velocities.
Figure 12.
Collision durations at different impact velocities.
Moreover, as Figure 10 displays, the roughness of the time-history curve of impact force differs in the varying impact velocities. The greater the barge impact velocity, the rougher the time history curve of impact force. The roughness of the curve represents its nonlinearity, which indicates the buckling and failure of the barge structure. The significant nonlinearity implies that the barge is frequently loaded and unloaded during the collision, and the bow structure is severely damaged by buckling [36]. As manifested in Figure 13, the increased impact velocity not only causes buckling damage to the barge bow but also badly influences the safety and stability of the pier structure. As the barge impact velocity increases, the pier of the whole bridge as well as the barge bow produces serious damage and deformation. At the velocity of 1 m/s, no damage occurs to the pier; correspondingly, the barge bow is nearly undeformed. In contrast, at the velocity of 4 m/s, significant damage in the pier can be observed from numerous vanished FE elements of the pier edge, while the barge bow undergoes remarkable deformation, almost entirely squeezed, seriously endangering the safety of both whole bridge and barge.
Figure 13.
Barge–whole bridge stress nephograms at different impact velocities.
4.2. Influence of Barge-Impact Angle on Collision
The impact angle is defined as the angle between the barge-driving direction and the direction perpendicular to the central axis of the bridge, expressed as α. The schematic diagram is displayed in Figure 14.
Figure 14.
Schematic diagram of barge-impact angle α.
The impact angle as a single factor was analyzed on the dynamic behaviors of the barge–whole bridge collision, and the included angle α was set as 0°, 5°, 10°, 20°, and 30° in five cases. Additionally, the barge still impacts the bridge at 2 m/s. The time-history curves of impact force at each impact angle are illustrated in Figure 15.
Figure 15.
Comparison of impact forces at different impact angles.
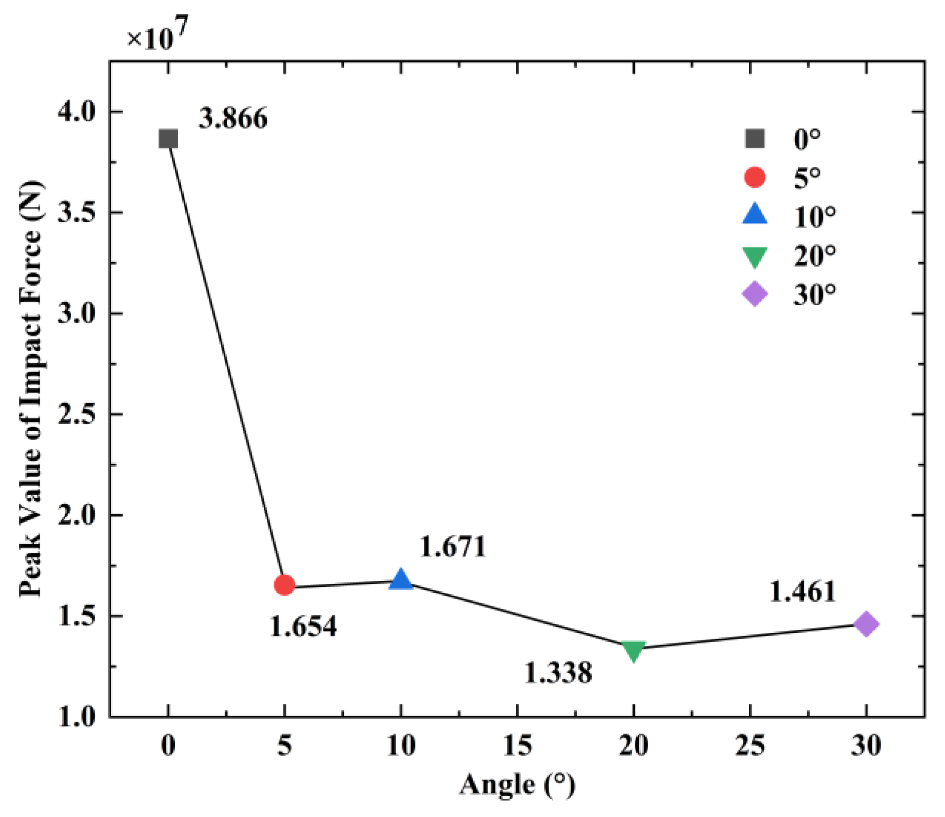
As Figure 15 displays, for zero-angle impact, the case of which impact angle is 0°, the initial contact area between the barge and the pier is the largest at the moment of barge impacting the whole bridge, and the bow structures participating in the collision are linearly loaded, almost entering the buckling unstable phase simultaneously. Therefore, the impact force curve significantly changes in the first two phases during the zero-angle impact. However, the existence of the impact angle reduces the initial contact area between the barge and the pier, and the internal trusses of the barge bow successively participate in the collision, resulting in a peak value of impact force substantially lower than that of the zero-angle impact, as shown in Figure 16. Furthermore, the barge is more difficult to disengage from the bridge, increasing the impact force duration, which can be clearly described in Figure 17. In addition, the loading phase, buckling unstable phase, and plastic deformation phase of different components of barge bow are staggered, incurring no obvious buckling unstable phase in the impact force curve. Hence, the curve of impact force remains stable between the loading phase and the unloading phase.
Figure 16.
Variation of peak values of impact force with respect to impact angles.
Figure 17.
Collision durations at different impact angles.
As the impact angle increases, the location of barge-bow buckling damage gradually moves from both sides to the center, and the stress of the concrete pier is concentrated on one edge side, which is at the risk of damage. As displayed in Figure 18, in the case of zero-angle impact, the damage of the pier is located in both edges. The impact angle leads to intensively increased stress shifted to one edge side of the pier, and when the impact angle reaches 20°, the damage of the bridge pier occurs.
Figure 18.
Barge–whole bridge stress nephograms at different barge impact angles.
4.3. Influence of Barge Mass on Collision
The influence of barge mass was analyzed with regard to the dynamic behaviors of the barge–whole bridge collision. When other conditions remain unchanged, the barge mass was set as the following five cases: 1723 dwt (zero load), 3000 dwt, 4000 dwt, 5000 dwt, and 6000 dwt (fully load). The impact force curves under different barge masses are depicted in Figure 19.
Figure 19.
Comparison of impact forces under different barge mass.
The initial kinetic energy of the barge varies with the barge mass, and then, the initial kinetic energy affects the dynamic response of the barge–whole bridge collision. The greater the barge mass is, the more obvious the nonlinearity of its time-history curve of impact force is, indicating more serious buckling damage to the bow structure. Figure 20 displays that with increased barge mass, the peak value of impact force demonstrates an overall upward trend but increases by a tiny margin, for example, the peak value of impact force of the fully load is just 1.4% higher than that of the zero load. The impact duration positively correlates with the barge mass and the duration of the fully-loaded impact is about 4.85 times that of the zero-loaded impact, growing rapidly as plotted in Figure 21.
Figure 20.
Variation of peak values of impact force under different barge masses.
Figure 21.
Collision durations under different barge masses.
The barge mass also affects the damage of the barge–whole bridge collision, Figure 22 presents no element of concrete pier is vanished in the 1723 dwt case of the barge, which means no damage occurs. As the barge mass increases, the collision becomes more complicated, and the buckling damage of internal components of the barge bow becomes more serious. When the barge mass reaches 5000 dwt, damage occurs at the collision region between the barge and the concrete pier. The damage area of the concrete pier expands with increasing barge mass, influencing the condition of the concrete bridge.
Figure 22.
Barge–whole bridge stress nephograms under different barge masses.
4.4. Influence of Superstructure on Collision
The existing researches of a ship impacting a bridge mainly focus on analyzing the evaluation of impact force. The barge–pier FE model is substantially identical to the barge–whole bridge FE model in peak value of impact force. Furthermore, the barge–pier FE model has fewer meshes, reducing operation calculation time. Hence, for studying the ship–whole bridge collision problem, many scholars ignore the superstructure of the whole bridge or use the equivalent idea to simplify the constraint effect of the superstructure on the pier top [37]. Based on this situation, it is critical to study the effect of the bridge superstructure on the dynamic response and damage evolution of ship–whole bridge collisions.
The barge-pier FE model is established, which is consistent with the barge-whole bridge FE model except that there is no superstructure, as illustrated in Figure 23.
Figure 23.
The barge–pier FE model.
The influence of the superstructure on the dynamic response of the collision is analyzed from the two aspects: impact force and the displacement of pier top. The barge with 6000 dwt impacts the pier column at a velocity of 2 m/s. In this situation, three broadly applied methods of superstructure simplification in the current study of pier model were selected, and four cases were set: (1) it is the whole bridge; (2) it ignores the superstructure without any simplification; (3) it simplifies the superstructure and exerts a restraint of equivalent surface force on the upper part of the pier during the barge–whole bridge collision. The loading curve of equivalent surface force is illustrated in Figure 24, including the lateral surface force of equivalent friction and the vertical pressure of simplified superstructure mass; and (4) it simplifies the superstructure and makes it equivalent to a mass point, which is applied to the center of the pier top. Figure 25 displays the settings under different cases.
Figure 24.
Diagram of equivalent surface force of superstructure.
Figure 25.
Simplified description of superstructure in case 2, 3 and 4 (from left to right).
The displacement of pier top is a key factor to reflect the performance of post-collision bridge. At case 2 3 and 4, the collision simulations of barge and pier were implemented and the results of top displacement were compared with that of the whole bridge in case 1, with differences presented in Figure 26a–c, respectively.
Figure 26.
Comparison of pier-top displacement under different working conditions: (a) case 1 and case 2; (b) case 1 and case 3; (c) case 1 and case 4.
The displacement of pier top varies with different cases. The peak value of the positive displacement in the case 2 is 2.37 times that of the whole bridge in the case 1, as depicted in Figure 26a. Meanwhile, a large negative displacement of pier top occurs in the case 2, inconsistent with the forced vibration phase in the case 1. This is because the top of the single pier is free and unconstrained. The amplitude of pier-top displacement is markedly higher than that in the case 1. The peak value of the positive displacement in the case 3 is significantly smaller than that in the case 2, consistent with the amplitude of the case 1. However, due to the direction of equivalent surface force, the negative pier-top displacement significantly increases. In the Figure 26c, the mass of the superstructure is converted into a mass point, and the peak value of the positive displacement is about 1.5 times than the case 1. The trend of the displacement of pier top in the forced vibration phase is more consistent with the whole bridge, but in the subsequent free vibration phase, the vibration of pier is suppressed and the amplitude of displacement decreases, with obvious differences with the case 1.
The superstructure has a slight influence on the impact force of the barge–whole bridge collision. Figure 27 displays the time-history curve of the impact force in cases 1, 2, 3 and 4. The trend of the impact force curves in different cases basically coincide with each other, but in the unloading phase, the magnitude of impact force increases by different degrees due to the difference with simplification methods of superstructure in different cases.
Figure 27.
Impact forces in four simplified superstructure cases.
The peak value of impact force varies slightly in different cases: 38.66, 38.63, 38.72, and 38.69 MN, as depicted by Figure 28. The peak value of impact force in the case 2 which is without superstructure is only 0.07% less than that of the whole bridge in the case 1. As a consequence, for the peak value calculation of impact force, only the barge–pier model can be established without considering the constraint effect of the superstructure to save the calculation time, and taking this peak value as a reference of impact force is more conducive to assess the condition of the bridge. For pier-top displacement, the peak value of pier-top displacement can be obtained by selecting reasonable equivalent and simplified conditions. However, the time-history variation trend of pier-top displacement significantly differs from that of the whole bridge. Hence, it is necessary to establish superstructure for the study of a ship impacting a bridge.
Figure 28.
Peak values of impact force in different cases.
The vanished element represents damage generation. The contour area of the stress nephogram in case 1 is compared to that of the case 2 3 and 4. Under the same concrete failure criterion, it can be easily seen from the Figure 29 that the pier has local stress concentration but no damage in the case 2 and 3. As an alternative to the superstructure, the mass point method alters the location of the damage, causing the damage shifted to one edge side of the pier. Consequently, with the intention to obtain a more realistic pier damage evolution, the superstructure is necessary.
Figure 29.
Stress nephograms of bridge pier in different cases.
5. Conclusions
The barge–whole bridge collision was numerically investigated based on a delicate FE simulation, with the mechanism and dynamic characteristics of collision behavior explored. The general findings of this study were the followings:
- This elaborated simulation of a barge–whole bridge collision provides more accurate impact force and dynamic responses, e.g., pier-top displacement, and more realistic characteristics of damage evolution in comparison with the barge–pier collision;
- This barge–whole bridge collision investigation discloses that, in general, the process of collision involves four typical phases in view of the state of the barge: the linear-elastic impact of the barge; the buckling instability of the barge; plastic deformation of the barge; and unloading of the barge. The first and the third phases designate a linearly abrupt and nonlinearly gradual increase of impact forces, respectively, while the second as well as the fourth phases corresponds to a decrease of impact forces;
- The dynamically accumulated plastic deformation of the outer plate and the internal trusses of the barge bow leads to successive impacts to the bridge pier, which consumes significant energy in the collision and causes a complicated vibration of the whole bridge;
- The effects of the superstructure of the whole bridge, impact velocity, impact angle, and mass of the barge on the collision behavior along with the resultant damage are clarified with the following observations: the superstructure exhibits little influence on the peak value of impact force but a significant effect on the damage and top displacement of the bridge pier, and the temporal profile of the impact force; the peak value as well as the duration of impact force is positively correlated with the impact velocity and the mass of the barge; the impact angle impairs the peak magnitude while increasing the duration of the impact force.
Author Contributions
Conceptualization, C.X., Y.W. and M.C.; Data curation, J.G. and H.Z.; Formal analysis, C.X. and Y.W.; Funding acquisition, J.G., H.Z. and J.W.; Investigation, H.Z., J.W. and E.S.M.; Methodology, C.X. and Y.W.; Resources, J.W. and M.C.; Software, C.X. and E.S.M.; Super-vision, H.Z. and J.W.; Visualization, J.G. and M.C.; Writing—original draft, C.X. and Y.W.; Writing—review & editing, E.S.M. and M.C. All authors have read and agreed to the published version of the manuscript.
Funding
The Key R&D Project of Anhui Science and Technology Department: 202004b11020026; the Jiangsu International Joint Research and Development Program: No. BZ2022010; the Nanjing International Joint Research and Development Program: No. 202112003; the Nantong Science and Technology Opening Cooperation Project: No. BW2021001.
Institutional Review Board Statement
Not applicable.
Informed Consent Statement
Not applicable.
Data Availability Statement
The study did not report any data.
Acknowledgments
The authors are grateful for the support from the Key R&D Project of Anhui Science and Technology Department (202004b11020026), the Jiangsu International Joint Research and Development Program (No. BZ2022010), the Nanjing International Joint Research and Development Program (No. 202112003), and the Nantong Science and Technology Opening Cooperation Project (No. BW2021001).
Conflicts of Interest
The authors declare no conflict of interest. The funders had no role in the design of the study; in the collection, analyses, or interpretation of data; in the writing of the manuscript; or in the decision to publish the results.
References
- Yan, B.; Dai, G.L. Investigation and Countermeasures of Ship-Bridge Collision Accidents in China in Recent Years. Adv. Mater. Res. 2010, 168–170, 167–174. [Google Scholar] [CrossRef]
- Zhang, J.F.; Chen, X.Z.; Liu, D.J.; Li, X.Z. Analysis of Bridge Response to Barge Collision: Refined Impact Force Models and Some New Insights. Adv. Struct. Eng. 2016, 19, 1224. [Google Scholar] [CrossRef]
- Fan, W.; Sun, Y.; Yang, C.C.; Sun, W.B.; He, Y. Assessing the Response and Fragility of Concrete Bridges under Multi-Hazard Effect of Vessel Impact and Corrosion. Eng. Struct. 2020, 225, 111279. [Google Scholar] [CrossRef]
- Peruma, L.; Mon, D.T.T. Finite Elements for Engineering Analysis: A Brief Review. In Proceedings of the 2011 2nd International Conference on Modeling, Simulation and Control, Singapore, 19–21 October 2011. [Google Scholar]
- Guo, X.; Zhang, C.; Chen, Z.Q. Dynamic Performance and Damage Evaluation of a Scoured Double-Pylon Cable-Stayed Bridge under Ship Impact. Eng. Struct. 2020, 216, 110772. [Google Scholar] [CrossRef]
- Chen, T.L.; Wu, H.; Fang, Q. Impact Force Models for Bridge under Barge Collisions. Ocean. Eng. 2022, 259, 111856. [Google Scholar] [CrossRef]
- Sha, Y.Y.; Hao, H. Nonlinear Finite Element Analysis of Barge Collision with a Single Bridge Pier. Eng. Struct. 2012, 41, 63–76. [Google Scholar] [CrossRef]
- Wang, W.; Morgenthal, G. Dynamic Analyses of Square RC Pier Column Subjected to Barge Impact Using Efficient Models. Eng. Struct. 2017, 151, 20–32. [Google Scholar] [CrossRef]
- Kantrales, G.C.; Consolazio, G.R.; Wagner, D.; Fallaha, S. Experimental and Analytical Study of High-Level Barge Deformation for Barge-bridge Collision Design. J. Bridge Eng. 2016, 21, 04015039. [Google Scholar] [CrossRef]
- Guo, J.; Zheng, Y.F.; Song, S.Y. Fluid-Structure Coupling During Ship-Bridge Collision Process Considering Sea Level Variations. Bridge Constr. 2019, 49, 24–29. [Google Scholar]
- Fan, W.; Yuan, W.C. Numerical Simulation and Analytical Modeling of Pile-Supported Structures Subjected to Ship Collisions Including Soil-structure Interaction. Ocean. Eng. 2014, 91, 11–27. [Google Scholar] [CrossRef]
- Jiang, H.; Wang, J.J. Numerical Simulation on Continuous Collapse of Reinforced Concrete Girder Bridge Subjected to Vessel Collision. Shock. Vib. 2012, 31, 68–73. [Google Scholar]
- Gholipour, G.; Zhang, C.W.; Mousavi, A.A. Nonlinear Numerical Analysis and Progressive Damage Assessment of a Cable-Stayed Bridge Pier Subjected to Ship Collision. Mar. Struct. 2020, 69, 102662. [Google Scholar] [CrossRef]
- Wang, W.; Morgenthal, G. Development and assessment of efficient models for barge impact processes based on nonlinear dynamic finite element analyses. Eng. Struct. 2018, 175, 617–627. [Google Scholar] [CrossRef]
- Cui, J.; Hao, H.; Shi, Y.C. Discussion on the Suitability of Concrete Constitutive Models for High-Rate Response Predictions of RC Structures. Int. J. Impact Eng. 2017, 106, 202–216. [Google Scholar] [CrossRef]
- Holmquist, T.J.; Johnson, G.R.; Cook, W.H. A Computational Constitutive Model for Concrete Subjected to Large Strains, High Strain Rates, and High Pressures. In Proceedings of the 14th International Symposium on Ballistics Quebec, Quebec, QC, Canada, 26–29 September 1993; pp. 591–600. [Google Scholar]
- Kucewicz, M.; Baranowski, P.; Malachowski, J. Dolomite Fracture Modeling Using the Johnson-Holmquist Concrete Material Model: Parameter Determination and Validation. JRMGE 2021, 13, 335–350. [Google Scholar] [CrossRef]
- Wan, Y.L.; Zhu, L.; Fang, H.; Liu, W.Q.; Mao, Y.F. Experimental Testing and Numerical Simulations of Ship Impact on Axially Loaded Reinforced Concrete Piers. Int. J. Impact Eng. 2018, 125, 246–262. [Google Scholar] [CrossRef]
- Luo, Q.; Liu, R.; Fan, W.; Jiang, Y.; Zhang, Z.W. Performance of Anti-Collision Device Made from Steel and Composite Material Under Different Types of Vessel Collisions. Bridge Constr. 2020, 50, 67–73. [Google Scholar]
- Pawel, K. Numerical Analysis of the Deep Drawing Process Including the History of Stress and Strain. J. Theor. App. Mech.-Pol. 2018, 56, 781–792. [Google Scholar]
- Cowper, G.R.; Symonds, P.S. Strain Hardening and Strain-Rate Effects in the Impact Loading of Cantilever Beams; Brown University Division of Applied Mathematics Report No. 28: Providence, RI, USA, 1957. [Google Scholar]
- Livermore Software Technology (LSTC). LS-DYNA Keyword User’s Manual; Livermore Software Technology Corporation: Livermore, CA, USA, 2017. [Google Scholar]
- Whitney, M.W.; Hank, I.E. Dynamic Design of Bridges Susceptible to Barge Impact. WIT Trans. Ecol. Environ. 1996, 22, 161–170. [Google Scholar]
- AASHTO. Guide Specification and Commentary for Vessel Collision Design of Highway Bridges; American Association of State Highway and Transportation Officials: Washington, DC, USA, 1990. [Google Scholar]
- Consolazio, G.R.; Cowan, D.R. Numerically Efficient Dynamic Analysis of Barge Collisions with Bridge Piers. J. Struct. Eng. 2005, 131, 1256–1266. [Google Scholar] [CrossRef]
- Sha, Y.Y.; Hao, H. Laboratory Tests and Numerical Simulations of Barge Impact on Circular Reinforced Concrete Piers. Eng. Struct. 2013, 46, 593–605. [Google Scholar] [CrossRef]
- Sotolongo, J.G.; Davidson, M.T.; Consolazio, G.R. Design Loads and Pier Responses for Oblique Side Barge Impacts on Bridges. J. Bridge Eng. 2022, 27, 04022041. [Google Scholar] [CrossRef]
- Minorsky, V.U. An Analysis of Ship Collisions with Reference to Protection of Nuclear-Powered Plants. J. Ship Res. 1959, 3, 1–4. [Google Scholar]
- Seizo, M. On the Measurement of Added Mass and Added Moment of Inertia for ship Motions. J-Stage 1960, 106, 59–62. [Google Scholar]
- Kim, J.; Kang, S.J.; Kang, B.S. A Comparative Study of Implicit and Explicit FEM for the Wrinkling Prediction in the Hydroforming Process. Int. J. Adv. Manuf. Tech. 2003, 22, 547–552. [Google Scholar] [CrossRef]
- Consolazio, G.R.; Cook, R.A.; Biggs, A.E.; Cowan, D.R.; Bollmann, H.T. Barge Impact Testing of the St. George Island Causeway Bridge. Phase II: Design of Instrumentation Systems; University of Gainesville: Gainesville, FL, USA, 2003. [Google Scholar]
- Cowan, D.R.; Consolazio, G.R.; Davidson, M.T. Response-Spectrum Analysis for Barge Impacts on Bridge Structures. J. Bridge Eng. 2015, 20, 1–10. [Google Scholar] [CrossRef]
- Liu, B.; Villavicencio, R.; Zhang, S.M.; Soares, C.G. Assessment of External Dynamics and Internal Mechanics in Ship Collisions. Ocean. Eng. 2017, 141, 326–336. [Google Scholar] [CrossRef]
- Luperi, F.J.; Pinto, F. Structural Behavior of Barges in High-Energy Collisions against Bridge Piers. J. Bridge Eng. 2015, 21, 04015049. [Google Scholar] [CrossRef]
- Gholipour, G.; Zhang, C.W.; Mousavi, A.A. Effects of Axial Load on Nonlinear Response of RC Columns Subjected to Lateral Impact Load: Ship-Pier Collision. Eng. Fail. Anal. 2018, 91, 397–418. [Google Scholar] [CrossRef]
- Leheta, H.W.; Elhewy, A.M.; El Sayed Mohamed, W. Finite Element Simulation of Barge Impact into a Rigid Wall. Alex. Eng. 2014, 53, 11–21. [Google Scholar] [CrossRef][Green Version]
- Gholipour, G.; Zhang, C.W.; Mousavi, A.A. Analysis of Girder Bridge Pier Subjected to Barge Collision Considering the Superstructure Interactions: The Case Study of a Multiple-Pier Bridge System. Struct. Infrastruct. E 2019, 15, 392–412. [Google Scholar] [CrossRef]
Publisher’s Note: MDPI stays neutral with regard to jurisdictional claims in published maps and institutional affiliations. |
© 2022 by the authors. Licensee MDPI, Basel, Switzerland. This article is an open access article distributed under the terms and conditions of the Creative Commons Attribution (CC BY) license (https://creativecommons.org/licenses/by/4.0/).




























