Abstract
The characterization of electromagnetic metamaterials (MMs) plays a fundamental role in their engineering processes. To this end, the Nicolson–Ross–Weir (NRW) method is intensively used to recover the effective parameters of MMs, even though this is affected by the branch ambiguity problem. In this paper, we face this issue in the context of global analytic functions and Riemann surfaces. This point of view allows us to rigorously demonstrate the mathematical foundations of an algorithmic approach for avoiding the branch ambiguity problem, in which the phase unwrapping method is merged with K-K relations for recovering the effective parameters of an MM. In addition, exploiting the intimate relationship between the K-K relations and the Hilbert transform, a simple variant of the above algorithm is presented.
1. Introduction
Tailoring a material by adjusting its internal microstructure is the key to controlling the interaction between electromagnetic waves and the material itself, i.e., the key to ruling the properties of electromagnetic waves [1]. Electromagnetic metamaterials (MMs) are synthetic composites precisely based on this concept [1,2,3]. The MM’s ability to show exotic properties is due to its intimate structure and based on subwavelength-engineered units called meta-atoms [1,2,3]. However, for analysis and design purposes, an MM is modeled as a continuous medium [1,3]. This viewpoint, called homogenization procedure [1,3], allows replacing the detailed description of an electromagnetic MM with a small set of averaged parameters, named effective parameters [1,2,3,4]. Among the different approaches used for achieving this aim [5,6], the Nicolson–Ross–Weir (NRW) method is the most generally employed because of its theoretical simplicity and ease in algorithmic implementations [7,8,9,10,11,12,13,14,15]. However, despite the above considerations, it is well known that NRW is affected by some shortcomings that limit the validity of its findings, thus demanding special attention when the effective parameters are retrieved [16,17]. In particular, the branch ambiguity issue, i.e., the lack of uniqueness in the evaluation of the effective refractive index, [18,19], turns out to be the most critical and problematic of all, even though all the conditions for the employment of the NRW method are fully satisfied [18,19]. In the literature, a number of techniques based on Kramers–Kronig (K-K) relations [20,21,22,23,24] and on the phase unwrapping approach [25,26,27,28] have been developed to counter this problem. Concerning the rationale behind the use of K-K relations, it is a direct consequence of the causality principle, which makes it possible to determine the real part of the effective complex refraction index without any ambiguity, , from the knowledge of its imaginary part, [29]. Regarding the phase unwrapping approach, its formal equivalence with the operation of analytic continuation of holomorphic functions has been demonstrated very recently in [30]. As clearly shown in [30], the branch ambiguity issue is rooted in the use of the multivalued complex logarithm for solving the NRW relationship. To this aim, an analytic continuation is crucial for performing the proper inversion operation to solve it, thus avoiding any ambiguity in evaluating the effective refractive index . Starting with the above-mentioned considerations, we extend the analysis conducted in [30], placing the NRW relation in the context of the global analytic functions and the Riemann surfaces. The main results of our study can be summarized as follows: (i) we provide a rigorous mathematical framework within handling the NRW relationship; (ii) we exploit this framework to derive a couple of phase unwrapping-based analytic continuation algorithms, with the first being based on the K-K relations and the second on the Hilbert transform, and they are both capable of solving the NRW equation while avoiding any ambiguity. The idea behind these algorithmic approaches, in the intuitive form, is that the Riemann surface of the global analytic logarithm contains all exact solutions of the NRW equation. More precisely, these solutions are regions of its Riemann surface. Hence, the K-K relations or the Hilbert transform can be used to localize these regions so that the principal complex logarithmic function, appropriately reshaped, can extract the solution of the NRW relationship based on their indications. Furthermore, the theory we propose in this study allows us to rigorously demonstrate some algorithmic procedures empirically proposed in the literature [20,21], broadening their interpretation. The paper is organized as follows: in Section 2, we review the cause of branch ambiguity in the NRW method (Section 2.1) and present a brief discussion on the K-K approach (Section 2.1.1) and the phase unwrapping method (Section 2.1.2) currently used to solve this issue. Afterward, (Section 2.2) we introduce the concept of a global analytic function and Riemann surfaces. First, we discuss the relationship between analytic continuation and global analytic functions (Section 2.2.1) and then the connection between global analytic functions and Riemann surfaces (Section 2.2.2). Finally, we use these theoretical tools to derive a couple of phase unwrapping methods for overcoming the NRW branch ambiguity issue, with the first being based on K-K relations and the second on the Hilbert transform (Section 2.3). In Section 3, their numerical performances are investigated by retrieving the effective refraction index of a couple of hypotetical MM samples and comparing their findings with those provided by the K-K relations and the phase unwrapping approach [30]. In Section 4, conclusions are drawn.
2. Theory
2.1. The Cause of Branch Ambiguity
The Nicolson–Ross–Weir (NRW) method is a well-established procedure first introduced to characterize electromagnetic materials [7] and later employed in the MM field [31]. Using the NRW method, the effective complex refractive index of an MM slab with effective thickness is recovered via the inversion of the following relation (the time convention is assumed and suppressed):
in which , , , and are, respectively, the free-space propagation constant, scattering parameters, and the reflection coefficient belonging to the effective medium slab related to the MM at hand [30]. Routinely, Equation (1) is solved by using the complex logarithm , where is the principal logarithm and is the branch index [32], from which we obtain, for and , the following expressions.
Because of the presence of term p, which ranges in the set of integer numbers, refractive index turns out to be not uniquely determined, giving rise to the so-called branch ambiguity issue [18,19].
2.1.1. Surmounting the Branch Ambiguity Issue: Kramers–Kronig Relations
Since the effective dielectric permittivity and the effective magnetic permeability of an MM must be causal quantities [29,33], we have it that their real and imaginary parts must obey Kramers–Kronig (K-K) relations [29,33]. This result suggests a way to overcome the lack of uniqueness afflicting Equation (2). The rationale can be outlined as follows: because of causality, we have it that the effective complex refraction index, , must be analytic on the complex upper plane , with no zeros on this region [29,33]. This fact allows relating the real and the imaginary part of via K-K relations. More precisely, since the term is uniquely determined from relation (3), it allows to be expressed as follows:
from which can be computed without any ambiguity [30,33]. Exploiting the intimate relationship between K-K relations and the Hilbert transform:
it is possible to rewrite relation (4) as follows [29,34].
2.1.2. Surmounting the Branch Ambiguity Issue: Phase Unwrapping as Analytic Continuation
As discussed in [30], the branch ambiguity problem afflicting is caused by the incorrect handling of Equation (1). Here, we summarize the main theoretical considerations and results from that study. If we set the following:
relation (1) then becomes
Now, if the complex exponential turns out to be a univalent function [32], it will be invertible, and its inverse will be unique [32]. Accordingly, relation (9) can be solved without ambiguity. However, it has been highlighted in [30] that holds this property only when the path (8) lies strictly inside a semi-open stright-line strip of , with width , parallel to . However, since the place where this image lies is tied to , which is the unknown we are searching for, we must handle as if it was a non-univalent function [30]. Therefore, relation (9) can be only right-inverted [30,35]; i.e., relation (9) can be solved by evaluating an analytic function such as the following.
Unlike the inverse function, right-inverse function is not unique [35]. Therefore, when is handled in this way, it is fundamental to use a suitable constraint condition to obtain a unique solution from inverting Equation (9) (i.e., from inverting (1)) [30]. In [30], it has been demonstrated that can be computed via an analytic continuation of the principal complex logarithm on the path traced in by term (8), which guarantees the fulfillment of condition that ensures the causality of the refractive index [30]. As a further result, in [30], it has been shown that the analytic continuation operation can be carried out by a phase unwrapping method using the algorithm developed by Oppenheim and Schafer for the homomorphic filtering, PUNWOS, [36]. It restores the continuity of the imaginary part of along path (8) [30], thus unambiguously providing as follows.
2.2. Analytic Continuation, Global Analytic Functions, and Riemann Surfaces
In this section, we will introduce the theoretical concepts of the global analytic function and Riemann surface. Using these mathematical tools, the K-K and phase unwrapping approaches can be merged together, thus providing an analytic continuation algorithmic methodology to solve Equation (1). Roughly speaking, the rationale is the following: In [30], it was shown that the solution of Equation (9) is given by the analytic continuation of the principal complex logarithm over the domain defined by the path described by Equation (8). Hence, different solutions of Equation (9) correspond to different analytic function elements. At this stage, the idea to exploit the global analytic functions and Riemann surface has its origin. A global analytic function is a pool containing all analytic continuations of its essential components—the analytic function elements, i.e., precisely the objects that are solutions of Equation (9). Accordingly, in Section 2.2.1, we will show that the set of all solutions of Equation (9) realizes the global analytic logarithm. In Section 2.2.2, we will discuss the concepts of Riemann surfaces and the lift operation (or lifting operation). We will show how the Riemann surface for the global analytic logarithm is realized by the Cartesian product between solutions of Equation (9) and points of the complex plane and how the lifting operation allows placing, in correspondence, the values assumed by the global analytic logarithm on regions of the Riemann surface with the values taken by the solution of Equation (9) on its domain of definition, i.e, the path (8). From this fundamental relation, we derive an algorithmic approach to solve Equation (9) in which the phase unwrapping method (i.e., the analytic continuation) is merged with the K-K relations and a variant based on the Hilbert transform. All topics will be presented in-depth, although topological details will be omitted to simplify the discussion.
2.2.1. Analytic Continuation and Global Analytic Functions
Roughly speaking, the analytic continuation is the operation with which it is possible to enlarge the domain of an analytic function , . To formalize this idea, we provide the following definition [32].
Definition 1.
An ordered pair where Ω is a domain () and is an analytic function is called an analytic function element. A pair is the direct analytic continuation of a pair if the following is the case.
Alternatively, they are indirect analytic continuations of each other if the following set of analytic function elements exist between elements and :
where is the direct analytic continuation of for [32].
Based on the above statements, a global analytic function is a non-empty set of pairs that are the direct or indirect analytic continuation of each other [32,35].The union of all domains of all analytic function elements belonging to is the domain of existence of [32]. Each analytic function elements is called a branch of [35]. The value provided by a pair at , i.e., , is called the value of at [32]. A global analytic function can have several branches over the same domain. This behavior follows directly from the indirect analytic continuation’s working, which can provide different results using different sequences of analytic function elements [32,35]. In that case, is a multivalued function from to [32,35].
Remark 1.
The set of all analytic function elements for which the following equation
holds is a global analytic function, , and is named the global analytic logarithm [32]. Its domain of existence is . Any branch of has the form , where and are the natural logarithm of the absolute value function and the principal argument function, respectively. Two distinct branches of differ by where [32,35].
2.2.2. Global Analytic Functions and Riemann Surfaces
To handle a multivalued global analytic function as a function in the ordinary sense, it becomes mandatory to redefine a suitable domain for and to operate in a way that it becomes an ordinary single-valued function from the new domain to . To this aim, instead of dealing with analytic function elements , where is an arbitrary domain, we have to consider pairs of the form where is a disk [35]. Between these elements, it is possible to introduce an equivalence relation [35,37].
Definition 2.
Two pairs and , with disks and centered in and , respectively, are equivalent if the following is the case:
in some neighborhood of the point
From it, we derive the possibility to partition into particular subsets, called germs [37].
Definition 3.
The set of all the equivalent pairs is called germ, centered at z, and denoted by the symbol . The value of a germ at its center z, , is the value given by any of its elements at z.
The germs can be collected together as sets [37].
Definition 4.
The set of all germs in which all elements belonging to a global analytic function can be collected is denoted by . The set of all germs in with the same center z is denoted by .
Using the concept of a set of germs, we can introduce a theorem that formalizes what was first said about the number of values that a global analytic function could assume in correspondence to a given point z of its domain of existence (for its demonstration, see [32]).
Theorem 1
(Poincaré–Volterra). Let be a global analytic function. For all and , the cardinality of is at most countable.
Based on the Poincaré-Volterra theorem, we are in the condition to introduce the concept of Riemann surface for a global analytic function . It consists of a number of abstract sheets lying above . These sheets (or layers) can be built by associating an array to each , for which its elements are germs belonging to set with the center at z. The array can be empty (no germs at all) or, at most, have an infinite (countable) dimension [35,37]. In a more formal language, we have the following.
Definition 5.
The set
is the Riemann surface related to .
Remark 2.
In the case of the global analytic logarithm , its Riemann surface is realized by all pairs where and where . The p-th sheet of , , consists of all couples of with p fixed.
In other words, is a subset of the Cartesian product between and . Using the Riemann surface in lieu of , it is possible to redefine in a way that it realizes a function from its Riemann surface to [37].
Definition 6.
The function is as follows:
where is called the lift of on its Riemann surface .
Another function of paramount importance is the following.
Definition 7.
The function
is called the projection of to .
To clarify the idea behind the lift operation, let us consider set of all pairs such that , and is germ-derived by . This set, , is a copy of on (we recall that ). Let be an element of ; then, according to definition (6), we have the following.
In otherwords, assigns to each point in precisely the same value that assigns to each point in . In sum, we have that the lift of on its Riemann surface, , and it is restricted to and behaves exactly as on [37].
Remark 3.
The lift of on is given by the following.
If , the set of all pairs
is a copy of Ω on . The integers p fulfilling Equation (21) define sheets where lies.
2.3. Kramers–Kronig Relations and Phase Unwrapping Approach: A Unique Point of View within the Framework of the Global Analytic Functions on Riemann Surfaces
As stated in Section 2.1.1 and Section 2.1.2, Equation (1) is solved by evaluating via the K-K relations or by the phase unwrapping approach, and both methods are equivalent to analytic continuation. It is quite straightforward to encompass these methods in the theoretical framework given in Section 2.2.2. Specifically, from Remark 1, the set of all the solutions of Equation (9) is a global analytic function, i.e, the global analytic logarithm ; from Remark 2, we have the explict structure of its Riemann surface ; finally, from Remark 3, the values assumed by the lift of the global analytic logarithm on sub-domain established by pairs are equal to the values taken by on ; i.e., between the lift of global analytic logarithm, , and the right inverse , relation (20) must hold.
That is, we have the following.
Only in the context of the theory described above can the equalities (22) and (23) be derived and have meaning. Since , we can write the following.
Considering Equation (8), the above relation can be written as follows.
With respect to integers p that specify the sheets of where is embedded, they are unknowns that have to be determined. By means of Equation (11), we can write Equation (25) as follows.
Equation (25) highlights an important concept: can be determined from the knowledge of the argument of the principal logarithm, , properly compensated by phase term , where unknown integer p can be evaluated by using K-K relations by using Equation (27). Once we determined , the effective refractive index can be evaluated via Equation (11). In sum, using the framework of global analytic functions, we rigorously demonstrated and derived a phase unwrapping approach based on Kramers–Kronig relations, which provides an analytic continuation solution for Equation (1) based on and restoring the continuity of its imaginary part, [30], given by . As an alternative, using the Hilbert transform of from Equation (5), we have the following.
3. Results
As derived in the above section, relations (27) and (28) represent two phase unwrapping approaches based on the K-K relation (4) and the Hilbert transform (6), respectively. We named PUNW and PUNW the related numerical procedures. Regarding the PUNW method, the numerical evaluation of the involved K-K integral has been performed using the Simpson quadrature method described in [38], while for the PUNW procedure, the Hilbert Transform has been computed by using the FFT technique described in [34]. For both methods, the parameter p has been determined, forcing it to assume an integer value selected to ensure the continuity of [36]. To assess their numerical performances, we compared these with those provided by the numerical evaluation of the K-K relation (4) using the same numerical integration algorithm adopted for PUNW [38] and the phase unwrapping PUNWOS method [36] using the implementation described in [30]. To this end, we have considered recovering the effective refractive index of two theoretical double negative MM slabs, in which relative permeability and permittivity are described by the following Lorentzian model [3].
The parameters of the two models are reported in Table 1. This modeling choice is justified because: (i) Lorentzian models describe the dispersive nature of split-ring resonators and strip wires [3], and (ii) the superposition of Lorentzian functions describes every causal function [39]. The MATLAB environment has been employed to code all methods. All numerical experiments were performed on a 2.0 GHz Intel Xeon workstation. The percentage error (PE) is defined as follows:
where is the 2-norm [40], and are the exact and recovered refractive indexes, respectively, which have been used as criteria to evaluate the efficiency of the considered recovering procedures. Moreover, computational time t has been evaluated. However, this last datum has to be considered as only indicative of the order of magnitude rather than the exact time involved in each considered retrieval procedure since such knowledge would require the development of numerical codes optimized for a given CPU in order to achieve the best possible computational performances [41]. Figure 1 shows path traced by Equation (8) for the first slab, with nm, which is characterized by a single pole Lorentzian model for pair . As pointed out in [30], this trend for confirms that this is an electrically thick slab because repeatedly intersects ray , i.e., the branch cut for the principal complex logarithm [30,32]. Accordingly, the complex exponential function in equation in (1) lacks univalence for the considered case, thus indicating that must be evaluated via the right-inverse operation [30]. Table 2 shows the values of PE and t as a function of the number of sample points in frequency band PHz for all the considered recovering methods.
Table 1.
Parameters for the Lorentzian model adopted in this study.
Figure 1.
Path traced by Equation (8) on the complex punctured plane for the slab with nm. Green diamond marker: path starting point, Hz. Red diamond marker: path end point, PHz.
Table 2.
Percentage Error (PE) and computational time t for the slab with nm.
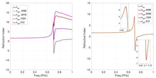
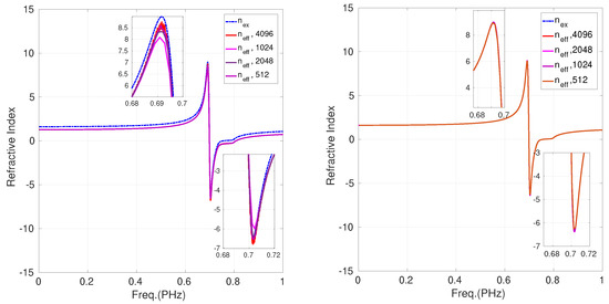
In correspondence to starting value , we can note that the PE value turns out to be high for the K-K approach and very high for the PUNWOS method, whereas in the cases of the PUNW and PUNW methods, it is already factually negligible. In correspondence to , the value of this parameter related to the PUNW and the PUNW methods is still factually insignificant, whereas in the cases of the PUNWOS and K-K methods, it turns out to be comparable to the previous case. While increasing to , the above trend remains stationary for all methods. Finally, for , we have three unwrapping methods (PUNWOS, PUNW and PUNW) that provide a factually insignificant PE, whereas we have no improvements for the PE in the case of the K-K method. As indicated by the PE parameter, values reported in Table 2 are confirmed by the results shown in Figure 2, which reports the plot of the retrieved refractive index compared with the exact refractive index for the four recovering methods for all the considered values. Figure 3 shows the sequence of p integers needed to give continuity to provided by PUNWOS, PUNW, and PUNW for . The high PE related to the PUNWOS method is clearly due to its incorrect calculation of the p sequence until an adequate number of sample points is used. Figure 4 shows path traced by Equation (8) for the slab with nm. This last case we analyzed is characterized by a double pole Lorentzian model for its pair . Since for this slab, the resulting path intersects many times more than in the previously considered case, the number of integers p that has to be computed to recover the continuity of will be higher than previously performed, thus providing a more challenging test for the considered recovering approaches. The results reported in Table 3 validate the above hypothesis. For this test case, only the PUNW method provides values for PE that are factually negligible for all considered values of . Lower performances characterize all other remaining methods. More precisely, the PUNWOS method reaches a value of PE equal to those characterizing PUNW only when the number of sample point in the PHz band increases to 16,384. On the other hand, for K-K and PUNW methods, the PE is always high, thus providing a recovered of lower quality, as demonstrated by the results reported in Figure 5, which shows the plot of compared with , as a function of over the PHz frequency range. The results shown in Figure 6 confirm what has been stated about the number of p integers needed to ensure the continuity of the argument of , meaning that the number of Riemann sheets involved by increase (as expected) with an increase in the slab’s thickness. Moreover, in this case, the high PE related to the PUNWOS method is clearly due to its incorrect calculation of the p sequence until an adequate number of sample points is used.

Figure 2.
Plot of , as a function of , and for the MM with nm over the frequency band PHz. Top left: PUNWOS method; top right: PUNW method; bottom left: K-K relations; bottom right: PUNW method. The insets magnify around its peaks.
Figure 3.
Values of the integer p over the band PHz (). Left: PUNWOS; centre: PUNW; right: PUNW.
Figure 4.
Path traced by (8) on the complex punctured plane for the slab with nm. Green diamond marker: path starting point, Hz. Red diamond marker: path end point, PHz.
Table 3.
Percentage error (PE) and computational time t for the slab with nm.
Figure 5.
Plot of , as a function of and for the MM with nm over frequency band PHz. Top left: PUNWOS method; top right: PUNW method; bottom left: K-K relations; bottom right: PUNW method. The insets magnify around its peaks.
Figure 6.
Values of the integer p over the PHz (). Left: PUNWOS; centre: PUNW; right: PUNW.
4. Conclusions
In this work, we extend the analysis conducted in [30], placing the NRW relation in the context of the global analytic functions and the Riemann surfaces, thus providing a rigorous mathematical framework for handling the NRW relationship. In this context, the branch ambiguity problem finds its correct interpretation in terms of the number of Riemann surface sheets on which the right-inverse , the solution of the NRW Equation (1), lies. Furthermore, we exploit this framework to derive a couple of phase unwrapping-based analytic continuation algorithms: the first, named PUNW, is based on K-K relations, and the second, named PUNW, is based on the Hilbert transform; both are capable of solving the NRW equation and avoid any ambiguity. To validate their numerical performances, some numerical experiments conducted on a couple of theoretical negative refractive index (NRI) slabs have been carried out. The close agreement obtained between the recovered and the exact refraction index provided by the PUNW approach demonstrates its superiority over the other recovery methods considered in this study and confirms the validity of our theoretical analyses. Although the results provided by the PUNW were less satisfactory than those given by PUNW, the use of K-K relations merged with the phase unwrapping approach enhances the results these relations provides. Finally, to conclude, we point out that the theory we have given in this work rigorously demonstrates some algorithmic procedures empirically proposed in the literature [20,21], broadening their meaning.
Author Contributions
Conceptualization, G.A.; methodology, G.A. and M.V.; software, G.A.; validation, M.V.; formal analysis, G.A.; investigation, G.A. and M.V.; resources, M.V.; writing—original draft preparation, G.A. and M.V. All authors have read and agreed to the published version of the manuscript.
Funding
This research received no external funding.
Institutional Review Board Statement
Not applicable.
Informed Consent Statement
Not applicable.
Data Availability Statement
Not applicable.
Conflicts of Interest
The authors declare no conflict of interest.
Abbreviations
| Complex logarithm; | |
| Principal logarithm; | |
| Natural logarithm function; | |
| Absolute value function; | |
| Principal argument function; | |
| p | Branch index; |
| Complex exponential; | |
| Right inverse function; | |
| Hilbert transform; | |
| Cauchy principal value; | |
| Complex plane; | |
| Complex punctured plane; | |
| Positive real axis; | |
| Upper complex plane; | |
| A global analytic function; | |
| Germ centered at z; | |
| Value of the germ at z; | |
| Set of all the germs of ; | |
| Set of all the germs centered at z; | |
| Domain of existence of a global analytic functionv | |
| Global analytic logarithm; | |
| Lift of the global analytic logarithm; | |
| Riemann surface of ; | |
| Lift of on ; | |
| Projection from the Riemann surface to . |
References
- Xiaojian, F.; Cui, T.-J. Recent progress on metamaterials: From effective medium model to real-time information processing system. Prog. Quantum Electron. 2019, 67, 100223. [Google Scholar]
- Padilla, W.J.; Averitt, R.D. Imaging with metamaterials. Nat. Rev. Phys. 2022, 4, 85–100. [Google Scholar] [CrossRef]
- Cui, T.J.; Smith, D.R.; Liu, R. Metamaterials; Springer: Berlin/Heidelberg, Germany, 2010. [Google Scholar]
- Cui, T.J.; Tang, W.X.; Yang, X.M.; Mei, Z.L.; Jiang, W.X. Metamaterials: Beyond Crystals, Noncrystals, and Quasicrystals; CRC Press: Boca Raton, FL, USA, 2017. [Google Scholar]
- Smith, D.R.; Pendry, J.B. Homogenization of metamaterials by field averaging. JOSA B 2006, 23, 391–403. [Google Scholar] [CrossRef]
- Alú, A. First-principles homogenization theory for periodic metamaterials. Phys. Rev. B 2011, 84, 075153. [Google Scholar] [CrossRef]
- Chen, L.F.; Ong, C.K.; Neo, C.P.; Varadan, V.V.; Varadan, V.K. Microwave Electronics: Measurement and Materials Characterization; John Wiley & Sons: Hoboken, NJ, USA, 2004. [Google Scholar]
- Ujan, R.; Bahadur, A.; Shabir, G.; Iqbal, S.; Saeed, A.; Channar, P.A.; Mahmood, Q.; Shoaib, M.; Arshad, I.; Saifullah, M.; et al. Facile synthesis of novel fluorescent thiazole coumarinyl compounds: Electrochemical, time resolve fluorescence, and solvatochromic study. J. Mol. Struct. 2021, 1227, 129422. [Google Scholar] [CrossRef]
- Bahadur, A.; Iqbal, S.; Ujan, R.; Channar, P.A.; AL-Anazy, M.M.; Saeed, A.; Mahmood, Q.; Shoaib, M.; Shah, M.; Arshad, I.; et al. Effect of organic solvents on solvatochromic, fluorescence, and electrochemical properties of synthesized thiazolylcoumarin derivatives. Luminescence 2021, 36, 1189–1197. [Google Scholar] [CrossRef]
- Hakim, M.L.; Alam, T.; Islam, M.T.; Baharuddin, M.H.; Alzamil, A.; Islam, M.S. Quad-Band Polarization-Insensitive Square Split-Ring Resonator (SSRR) with an Inner Jerusalem Cross Metamaterial Absorber for Ku-and K-Band Sensing Applications. Sensors 2022, 22, 4489. [Google Scholar] [CrossRef]
- Idrus, I.N.; Faruque, M.R.I.; Abdullah, S.; Khandaker, M.U.; Tamam, N.; Sulieman, A.A. An Oval-Square Shaped Split Ring Resonator Based Left-Handed Metamaterial for Satellite Communications and Radar Applications. Micromachines 2022, 13, 578. [Google Scholar] [CrossRef]
- Sgró, A.; De Carlo, D.; Angiulli, G.; Morabito, F.C.; Versaci, M. Accurate computation of Drude-Lorentz model coefficients of single negative magnetic metamaterials using a micro-genetic algorithm approach. In Multidisciplinary Approaches to Neural Computing; Springer: Cham, Switzerland, 2018; pp. 47–55. [Google Scholar]
- Hannan, S.; Islam, M.T.; Almutairi, A.F.; Faruque, M.R.I. Wide bandwidth angle-and polarization-insensitive symmetric metamaterial absorber for X and Ku band applications. Sci. Rep. 2020, 10, 10338. [Google Scholar] [CrossRef]
- Ajewole, B.; Kumar, P.; Afullo, T. I-Shaped Metamaterial Using SRR for Multi-Band Wireless Communication. Crystals 2022, 12, 559. [Google Scholar] [CrossRef]
- Islam, M.R.; Islam, M.T.; Moniruzzaman, M.; Samsuzzaman, M.; Bais, B.; Arshad, H.; Muhammad, G. Square enclosed circle split ring resonator enabled epsilon negative (ENG) near zero index (NZI) metamaterial for gain enhancement of multiband satellite and radar antenna applications. Results Phys. 2020, 19, 103556. [Google Scholar] [CrossRef]
- Simovski, C.R. On electromagnetic characterization and homogenization of nanostructured metamaterials. J. Opt. 2010, 13, 013001. [Google Scholar] [CrossRef]
- Simovski, C.R. Material parameters of metamaterials (a review). Opt. Spectrosc. 2009, 107, 726–753. [Google Scholar] [CrossRef]
- Arslanagić, S.; Hansen, T.V.; Mortensen, N.A.; Gregersen, A.H.; Sigmund, O.; Ziolkowski, R.W.; Breinbjerg, O. A review of the scattering-parameter extraction method with clarification of ambiguity issues in relation to metamaterial homogenization. IEEE Antennas Propag. Mag. 2013, 55, 91–106. [Google Scholar] [CrossRef]
- Chen, X.; Grzegorczyk, T.M.; Wu, B.I.; Pacheco, J.; Kong, J.A. Robust method to retrieve the constitutive effective parameters of metamaterials. Phys. Rev. E 2004, 70, 016608. [Google Scholar] [CrossRef]
- Szabó, Z.; Park, G.; Hedge, R.; Li, S.L. A unique extraction of metamaterial parameters based on Kramers–Kronig relationship. IEEE Trans. Microw. Theory Tech. 2010, 58, 2646–2653. [Google Scholar] [CrossRef]
- Varadan, V.V.; Ro, R. Unique retrieval of complex permittivity and permeability of dispersive materials from reflection and transmitted fields by enforcing causality. IEEE Trans. Microw. Theory Tech. 2007, 55, 2224–2230. [Google Scholar] [CrossRef]
- Angiulli, G.; Versaci, M.; Calcagno, S.; Di Barba, P. Metamaterial unit cell characterization by using a multi-fidelity surrogate modelling approach. In Proceedings of the 19th International Symposium on Electromagnetic Fields in Mechatronics, Electrical and Electronic Engineering (ISEF), Nancy, France, 29–31 August 2019; pp. 1–2. [Google Scholar]
- Angiulli, G.; Versaci, M.; Calcagno, S.; Di Barba, P. Quick retrieval of effective electromagnetic metamaterial parameters by using a Multi-fidelity Surrogate Modelling approach. Eur. Phys. J. Appl. Phys. 2020, 90, 20901. [Google Scholar] [CrossRef]
- Yoo, S.; Lee, S.; Choe, J.H.; Park, Q.H. Causal homogenization of metamaterials. Nanophotonics 2019, 8, 1063–1069. [Google Scholar] [CrossRef]
- Cao, Z.X.; Yuan, F.G.; Li, L.H. An automated phase correction algorithm for retrieving permittivity and permeability of electromagnetic metamaterials. AIP Adv. 2014, 4, 067115. [Google Scholar] [CrossRef]
- Shi, Y.; Li, Z.Y.; Li, L.; Liang, C.H. An electromagnetic parameters extraction method for metamaterials based on phase unwrapping technique. Waves Random Complex Media 2016, 4, 417–433. [Google Scholar] [CrossRef]
- Angiulli, G.; Versaci, M. An Analytic Continuation Algorithm for Recovering the Electromagnetic Parameters of Metamaterials. In Proceedings of the 2021 Photonics & Electromagnetics Research Symposium (PIERS), Hangzhou, China, 21–25 November 2021; IEEE: Piscataway, NJ, USA, 2021; pp. 2648–2652. [Google Scholar]
- Hasar, U.C.; Muratoglu, A.; Bute, M.; Barroso, J.J.; Ertugrul, M. Effective constitutive parameters retrieval method for bianisotropic metamaterials using waveguide measurements. IEEE Trans. Microw. Theory Tech. 2017, 65, 1488–1497. [Google Scholar] [CrossRef]
- Peiponen, K.E.; Vartiainen, E.M.; Asakura, T. Dispersion, Complex Analysis and Optical Spectroscopy: Classical Theory; Springer Science & Business Media: Berlin/Heidelberg, Germany, 1998; Volume 147. [Google Scholar]
- Angiulli, G.; Versaci, M. Retrieving the Effective Parameters of an Electromagnetic Metamaterial Using the Nicolson-Ross-Weir Method: An Analytic Continuation Problem along the Path Determined by Scattering Parameters. IEEE Access 2021, 9, 77511–77525. [Google Scholar] [CrossRef]
- Smith, D.R.; Vier, D.C.; Koschny, T.C.; Soukoulis, M. Electromagnetic parameter retrieval from inhomogeneous metamaterials. Phys. Rev. E 2005, 71, 036617. [Google Scholar] [CrossRef] [PubMed]
- Markushevich, A.I. Theory of Functions of a Complex Variable, 2nd ed.; Chelsea Publishing Company: New York, NY, USA, 1985. [Google Scholar]
- Peiponen, K.E.; Lucarini, V.; Vartiainen, E.M.; Saarinen, J.J. Kramers-Kronig relations and sum rules of negative refractive index media. Eur. Phys. J. Condens. Matter Complex Syst. 2004, 41, 61–65. [Google Scholar] [CrossRef]
- Francisco, C.; Nabet, B. Numerical computation of the complex dielectric permittivity using Hilbert transform and FFT techniques. J. Frankl. Inst. 1999, 336, 53–64. [Google Scholar]
- Palka, B.P. An Introduction to Complex Function Theory; Springer Science & Business Media: Berlin/Heidelberg, Germany, 1991. [Google Scholar]
- Oppenheim, A.; Schafer, R.W. Discrete Time Signal Processing; Prentice Hall: Hoboken, NJ, USA, 2009. [Google Scholar]
- Wegert, E. Visual Complex Functions: An Introduction with Phase Portraits; Springer Science & Business Media: Berlin/Heidelberg, Germany, 2012. [Google Scholar]
- Lucarini, V.; Saarinen, J.J.; Peiponen, K.E.; Vartiainen, E.M. Kramers-Kronig relations in Optical Materials Research; Springer Science & Business Media: Berlin/Heidelberg, Germany, 2005. [Google Scholar]
- Dirdal, C.A.; Skaar, J. Superpositions of Lorentzians as the class of causal functions. Phys. Rev. A 2013, 88, 033834. [Google Scholar] [CrossRef]
- Groetsch, C.W. Element of Applicable Functional Analysis; Marcel Dekker: New York, NY, USA, 1980. [Google Scholar]
- Chellappa, S.; Franchetti, F.; Puschel, M. How to write fast numerical code: A small introduction. In International Summer School on Generative and Transformational Techniques in Software Engineering; Springer: Berlin/Heidelberg, Germany, 2007. [Google Scholar]
Publisher’s Note: MDPI stays neutral with regard to jurisdictional claims in published maps and institutional affiliations. |
© 2022 by the authors. Licensee MDPI, Basel, Switzerland. This article is an open access article distributed under the terms and conditions of the Creative Commons Attribution (CC BY) license (https://creativecommons.org/licenses/by/4.0/).