A Novel Mixed-Attribute Fusion-Based Naive Bayesian Classifier
Abstract
:1. Introduction
2. Naive Bayesian Classifier for Mixed-Attribute Classification
3. Mixed-Attribute Fusion-Based Naive Bayesian Classifier
4. Experimental Settings and Results
4.1. Feasibility Validation of MAF-NBC
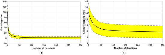
4.2. Rationality Validation of MAF-NBC
4.3. Effectiveness Validation of MAF-NBC
5. Conclusions and Future Works
- Preserving the information. The autoencoder neural network transforms mixed attributes into independent encoded attributes, which can also be decoded to restore the original mixed attributes. Thus, useful information from the original data set is conserved as much as possible.
- Simple model structure. MAF-NBC effectively handles the attribute dependence problem between discrete attributes and continuous attributes by transforming original attributes into encoded attributes. The simple structure of the NBC was not modified by providing a data transformation-oriented preprocessing strategy.
- Stable training process. The efficient weight updating strategy guarantees the convergence of the autoencoder neural network and thus provided stable data transformation results. In addition, the quasi-normal distribution of independent encoded attributes provided accurate calculations for the joint conditional probability in the NBC.
- Low computation complexity. A single hidden-layer encoder neural network was used to fuse the original mixed attributes. Training to find optimal network weights has a low computational complexity. As mentioned in Section 3, a shallow learning mechanism was able to satisfy the demand of NBC construction. Hence, it is unnecessary to explore the availability of deep learning for data transformation-oriented NBC training.
Author Contributions
Funding
Institutional Review Board Statement
Informed Consent Statement
Data Availability Statement
Acknowledgments
Conflicts of Interest
References
- Wu, X.; Kumar, V.; Quinlan, J.R.; Ghosh, J.; Yang, Q.; Motoda, H.; McLachlan, G.J.; Ng, A.; Liu, B.; Yu, P.S.; et al. Top 10 algorithms in data mining. Knowl. Inf. Syst. 2008, 14, 1–37. [Google Scholar]
- Gil-Begue, S.; Bielza, C.; Larrañaga, P. Multi-dimensional Bayesian network classifiers: A survey. Artif. Intell. Rev. 2021, 54, 519–559. [Google Scholar]
- John, G.; Langley, P. Estimating continuous distributions in Bayesian classifiers. In Proceedings of the 11th Conference on Uncertainty in Artificial Intelligence, Montreal, QC, Canada, 18–20 August 1995; pp. 1–8. [Google Scholar]
- Friedman, N.; Geiger, D.; Goldszmidt, M. Bayesian network classifiers. Mach. Learn. 1997, 29, 131–163. [Google Scholar]
- Webb, G.I.; Boughton, J.R.; Wang, Z. Not so naive Bayes: Aggregating one-dependence estimators. Mach. Learn. 2005, 58, 5–24. [Google Scholar]
- Jiang, L.; Zhang, H.; Cai, Z. A novel Bayes model: Hidden naive Bayes. IEEE Trans. Knowl. Data Eng. 2009, 21, 1361–1371. [Google Scholar]
- Jiang, L.; Li, C.; Wang, S.; Zhang, L. Deep feature weighting for naive Bayes and its application to text classification. Eng. Appl. Artif. Intell. 2016, 52, 26–39. [Google Scholar]
- Jiang, L.; Zhang, L.; Li, C.; Wu, J. A correlation-based feature weighting filter for Naive Bayes. IEEE Trans. Knowl. Data Eng. 2018, 31, 201–213. [Google Scholar]
- Bressan, M.; Vitria, J. Improving naive Bayes using class-conditional ICA. In Proceedings of the 2022 Ibero-American Conference on Artificial Intelligence, Seville, Spain, 12–15 November 2002; pp. 1–10. [Google Scholar]
- Qin, F.; Ren, S.L.; Cheng, Z.K.; Luo, H. Bayes classification model based on ICA. Comput. Eng. Des. 2007, 28, 4873–4877. [Google Scholar]
- Fan, L.; Poh, K.L. A comparative study of PCA, ICA and class-conditional ICA for naive Bayes classifier. In Proceedings of the 2007 International Work-Conference on Artificial Neural Networks, Porto, Portugal, 9–13 September 2007; pp. 16–22. [Google Scholar]
- Jayanthi, S.K.; Sasikala, S. Naive Bayesian classifier and PCA for web link spam detection. Comput. Sci. Telecommun. 2014, 41, 3–15. [Google Scholar]
- Zhang, B.; Liu, Z.; Jia, Y.; Ren, J.; Zhao, X. Network intrusion detection method based on PCA and Bayes algorithm. Secur. Commun. Netw. 2018, 2018, 1914980. [Google Scholar]
- Kurgan, L.A.; Cios, K.J. CAIM discretization algorithm. IEEE Trans. Knowl. Data Eng. 2004, 16, 145–153. [Google Scholar]
- Li, M.; Zhao, S.; Chen, S.; Huang, D. A new method of online fault diagnosis based on incremental continuous attribute naive Bayesian. In Proceedings of the 2018 IEEE International Conference on Prognostics and Health Management, Seattle, WA, USA, 11–13 June 2018; pp. 1–7. [Google Scholar]
- Scanagatta, M.; Salmerón, A.; Stella, F. A survey on Bayesian network structure learning from data. Prog. Artif. Intell. 2019, 8, 425–439. [Google Scholar]
- Parzen, E. On estimation of a probability density function and mode. Ann. Math. Stat. 1962, 33, 1065–1076. [Google Scholar]
- Yang, Y.; Webb, G.I. A comparative study of discretization methods for naive-Bayes classifiers. In Proceedings of the 2002 Pacific Rim Knowledge Acquisition Workshop, Tokyo, Japan, 18–22 August 2002; pp. 159–173. [Google Scholar]
- Yang, Y.; Webb, G.I. On why discretization works for naive-Bayes classifiers. In Proceedings of the 2003 Australasian Joint Conference on Artificial Intelligence, Perth, Australia, 3–5 December 2003; pp. 440–452. [Google Scholar]
- Yang, Y.; Webb, G.I. Discretization for naive-Bayes learning: Managing discretization bias and variance. Mach. Learn. 2009, 74, 39–74. [Google Scholar]
- He, Y.L.; Ye, X.; Haung, D.F.; Fournier-Viger, P.; Huang, J.Z. A hybrid method to measure distribution consistency of mixed attribute data sets. IEEE Trans. Artif. Intell. 2022. [Google Scholar] [CrossRef]
- Qi, Z.; Wang, B.; Tian, Y.; Zhang, P. When ensemble learning meets deep learning: A new deep support vector machine for classification. Knowl.-Based Syst. 2016, 107, 54–60. [Google Scholar]
- Feng, J.; Yu, Y.; Zhou, Z.H. Multi-layered gradient boosting decision trees. In Proceedings of the 32nd Conference on Neural Information Processing Systems, Montreal, QC, Canada, 3–8 December 2018; pp. 1–11. [Google Scholar]
- Guo, M.; Fei, J.; Meng, Y. Deep nearest neighbor website fingerprinting attack technology. Secur. Commun. Netw. 2021, 2021, 5399816. [Google Scholar]
- De Freitas, J.F.; Niranjan, M.; Gee, A.H.; Doucet, A. Sequential Monte Carlo methods to train neural network models. Neural Comput. 2000, 12, 955–993. [Google Scholar]
- Alcalá-Fdez, J.; Fernández, A.; Luengo, J.; Derrac, J.; García, S.; Sánchez, L.; Herrera, F. KEEL data-mining software tool: Data set repository, integration of algorithms and experimental analysis framework. J.-Mult.-Valued Log. Soft Comput. 2011, 17, 255–287. [Google Scholar]
- Helal, A.; Otero, F.E. A mixed attribute approach in ant-miner classification rule discovery algorithm. In Proceedings of the Genetic and Evolutionary Computation Conference, Denver, CO, USA, 20–24 July 2016; pp. 13–20. [Google Scholar]
- Demšar, J. Statistical comparisons of classifiers over multiple data sets. J. Mach. Learn. Res. 2006, 7, 1–30. [Google Scholar]
- Wang, X.Z.; He, Y.L.; Wang, D.D. Non-naive Bayesian classifiers for classification problems with continuous attributes. IEEE Trans. Cybern. 2013, 44, 21–39. [Google Scholar]





| Data sets | Abalone_3_4 | Abalone_9_10 | Adult * | Band * |
| Number of samples | 423 | 1073 | 5000 | 540 |
| Number of continuous attributes | 6 | 6 | 9 | 18 |
| Number of discrete attributes | 2 (2, 4) | 2 (2, 4) | 5 (5, 7, 5, 4, 2) | 5 (3, 5, 2, 3, 3) |
| Number of classes | 2 | 2 | 2 | 2 |
| Data sets | Bd | Bp | Heart | Ionosphere |
| Number of samples | 569 | 198 | 270 | 351 |
| Number of continuous attributes | 23 | 25 | 9 | 25 |
| Number of discrete attributes | 7 (4, 6, 5, 3, 2, 4, 3) | 8 (6, 3, 5, 4, 5, 3, 4, 2) | 4 (4, 3, 3, 4) | 7 (4, 6, 5, 3, 4, 3, 5) |
| Number of classes | 2 | 2 | 2 | 2 |
| Data sets | Libras | Page blocks | Parkinsons | Ring |
| Number of samples | 360 | 547 | 195 | 500 |
| Number of continuous attributes | 85 | 7 | 17 | 15 |
| Number of discrete attributes | 15 (4, 5, 7, 5, 8, 4, 5, 6, 4, 5, 6, 7, 3, 4, 5) | 3 (3, 5, 4) | 5 (4, 5, 6, 5, 3) | 5 (3, 4, 5, 3, 4) |
| Number of classes | 15 | 5 | 2 | 2 |
| Data sets | Segment | Sonar | SPECTF | Vehicle |
| Number of samples | 2310 | 208 | 267 | 846 |
| Number of continuous attributes | 14 | 50 | 36 | 6 |
| Number of discrete attributes | 5 (3, 6, 5, 4, 3) | 10 (6, 4, 3, 5, 6, 7, 5, 3, 4, 6) | 8 (4, 6, 5, 5, 3, 6, 7, 4) | 2 (4, 3) |
| Number of classes | 7 | 2 | 2 | 4 |
| Data sets | Vowel | Wine | WineQR | WineQW |
| Number of samples | 528 | 178 | 1599 | 489 |
| Number of continuous attributes | 7 | 10 | 8 | 8 |
| Number of discrete attributes | 3 (3, 3, 4) | 3 (4, 5, 4) | 3 (4, 4, 3) | 3 (3, 3, 3) |
| Number of classes | 11 | 3 | 6 | 6 |
| Data Set | MAF-NBC | Dis-NBC | FNBC | TAN | AODE | HNB | DFW-NBC | CFW-NBC | ICA-NBC |
|---|---|---|---|---|---|---|---|---|---|
| Abalone_3_4 | 0.803 ± 0.036 | 0.721 ± 0.032 | 0.736 ± 0.026 | 0.767 ± 0.038 | 0.755 ± 0.032 | 0.744 ± 0.029 | 0.747 ± 0.018 | 0.755 ± 0.017 | 0.781 ± 0.045 |
| Abalone_9_10 | 0.607 ± 0.029 | 0.597 ± 0.012 | 0.592 ± 0.021 | 0.595 ± 0.025 | 0.596 ± 0.024 | 0.587 ± 0.041 | 0.617 ± 0.008 | 0.605 ± 0.014 | 0.619 ± 0.017 |
| Adult | 0.870 ± 0.013 | 0.782 ± 0.014 | 0.792 ± 0.015 | 0.807 ± 0.013 | 0.829 ± 0.008 | 0.811 ± 0.017 | 0.805 ± 0.011 | 0.813 ± 0.006 | 0.851 ± 0.015 |
| Band | 0.718 ± 0.027 | 0.669 ± 0.028 | 0.637 ± 0.034 | 0.671 ± 0.035 | 0.663 ± 0.024 | 0.681 ± 0.028 | 0.703 ± 0.015 | 0.718 ± 0.017 | 0.714 ± 0.016 |
| Bd | 0.991 ± 0.002 | 0.919 ± 0.004 | 0.938 ± 0.010 | 0.961 ± 0.009 | 0.959 ± 0.008 | 0.953 ± 0.011 | 0.959 ± 0.007 | 0.970 ± 0.004 | 0.983 ± 0.007 |
| Bp | 0.852 ± 0.022 | 0.788 ± 0.023 | 0.793 ± 0.027 | 0.803 ± 0.029 | 0.801 ± 0.034 | 0.791 ± 0.041 | 0.841 ± 0.036 | 0.824 ± 0.033 | 0.837 ± 0.027 |
| Heart | 0.924 ± 0.014 | 0.699 ± 0.013 | 0.824 ± 0.017 | 0.858 ± 0.015 | 0.849 ± 0.021 | 0.867 ± 0.029 | 0.886 ± 0.013 | 0.905 ± 0.015 | 0.901 ± 0.017 |
| Ionosphere | 0.981 ± 0.005 | 0.901 ± 0.006 | 0.917 ± 0.011 | 0.934 ± 0.009 | 0.932 ± 0.013 | 0.926 ± 0.021 | 0.928 ± 0.012 | 0.941 ± 0.015 | 0.974 ± 0.004 |
| Libras | 0.905 ± 0.007 | 0.938 ± 0.015 | 0.857 ± 0.019 | 0.899 ± 0.015 | 0.847 ± 0.016 | 0.864 ± 0.015 | 0.911 ± 0.016 | 0.910 ± 0.015 | 0.908 ± 0.011 |
| Page_small | 0.952 ± 0.010 | 0.915 ± 0.005 | 0.911 ± 0.007 | 0.909 ± 0.018 | 0.919 ± 0.014 | 0.914 ± 0.017 | 0.931 ± 0.006 | 0.933 ± 0.008 | 0.937 ± 0.007 |
| Parkinsons | 0.872 ± 0.029 | 0.782 ± 0.021 | 0.801 ± 0.022 | 0.808 ± 0.025 | 0.814 ± 0.027 | 0.821 ± 0.021 | 0.827 ± 0.022 | 0.841 ± 0.025 | 0.852 ± 0.024 |
| Ring | 0.937 ± 0.015 | 0.801 ± 0.017 | 0.836 ± 0.015 | 0.855 ± 0.028 | 0.869 ± 0.024 | 0.858 ± 0.027 | 0.916 ± 0.010 | 0.948 ± 0.006 | 0.956 ± 0.008 |
| Segment | 0.940 ± 0.007 | 0.878 ± 0.010 | 0.889 ± 0.019 | 0.897 ± 0.016 | 0.895 ± 0.014 | 0.901 ± 0.016 | 0.928 ± 0.006 | 0.945 ± 0.009 | 0.959 ± 0.005 |
| Sonar | 0.865 ± 0.019 | 0.823 ± 0.029 | 0.834 ± 0.027 | 0.839 ± 0.025 | 0.844 ± 0.018 | 0.840 ± 0.025 | 0.841 ± 0.027 | 0.847 ± 0.029 | 0.851 ± 0.024 |
| Spectf | 0.908 ± 0.011 | 0.768 ± 0.023 | 0.771 ± 0.017 | 0.783 ± 0.019 | 0.779 ± 0.015 | 0.756 ± 0.029 | 0.779 ± 0.016 | 0.789 ± 0.014 | 0.883 ± 0.019 |
| Vehicle | 0.771 ± 0.016 | 0.537 ± 0.005 | 0.544 ± 0.011 | 0.576 ± 0.016 | 0.589 ± 0.019 | 0.567 ± 0.026 | 0.604 ± 0.022 | 0.611 ± 0.021 | 0.705 ± 0.017 |
| Vowel | 0.869 ± 0.017 | 0.829 ± 0.021 | 0.839 ± 0.017 | 0.836 ± 0.019 | 0.840 ± 0.016 | 0.847 ± 0.019 | 0.843 ± 0.021 | 0.848 ± 0.016 | 0.833 ± 0.023 |
| Wine | 0.999 ± 0.001 | 0.963 ± 0.021 | 0.967 ± 0.017 | 0.975 ± 0.006 | 0.981 ± 0.004 | 0.968 ± 0.007 | 0.999 ± 0.001 | 0.999 ± 0.001 | 0.968 ± 0.019 |
| WineQR | 0.738 ± 0.023 | 0.563 ± 0.014 | 0.578 ± 0.034 | 0.580 ± 0.033 | 0.591 ± 0.031 | 0.602 ± 0.037 | 0.638 ± 0.020 | 0.717 ± 0.019 | 0.688 ± 0.036 |
| WineQW | 0.584 ± 0.028 | 0.487 ± 0.014 | 0.524 ± 0.016 | 0.537 ± 0.024 | 0.533 ± 0.016 | 0.541 ± 0.021 | 0.551 ± 0.028 | 0.561 ± 0.025 | 0.577 ± 0.021 |
| Average | 0.854 ± 0.017 | 0.768 ± 0.016 | 0.779 ± 0.019 | 0.795 ± 0.021 | 0.794 ± 0.016 | 0.792 ± 0.024 | 0.813 ± 0.016 | 0.824 ± 0.015 | 0.839 ± 0.018 |
| Data Set | MAF-NBC | Dis-NBC | FNBC | TAN | AODE | HNB | DFW-NBC | CFW-NBC | ICA-NBC |
|---|---|---|---|---|---|---|---|---|---|
| Abalone_3_4 | 0.759 ± 0.030 | 0.685 ± 0.042 | 0.701 ± 0.049 | 0.742 ± 0.032 | 0.733 ± 0.037 | 0.728 ± 0.029 | 0.723 ± 0.031 | 0.751 ± 0.027 | 0.755 ± 0.043 |
| Abalone_9_10 | 0.603 ± 0.028 | 0.587 ± 0.024 | 0.588 ± 0.026 | 0.587 ± 0.027 | 0.589 ± 0.028 | 0.581 ± 0.030 | 0.589 ± 0.031 | 0.582 ± 0.031 | 0.602 ± 0.032 |
| Adult | 0.842 ± 0.014 | 0.795 ± 0.011 | 0.788 ± 0.019 | 0.801 ± 0.025 | 0.817 ± 0.012 | 0.807 ± 0.027 | 0.804 ± 0.012 | 0.811 ± 0.014 | 0.824 ± 0.009 |
| Band | 0.647 ± 0.045 | 0.606 ± 0.028 | 0.601 ± 0.028 | 0.626 ± 0.036 | 0.618 ± 0.038 | 0.609 ± 0.031 | 0.619 ± 0.034 | 0.630 ± 0.036 | 0.619 ± 0.041 |
| Bd | 0.973 ± 0.011 | 0.915 ± 0.017 | 0.921 ± 0.013 | 0.956 ± 0.012 | 0.950 ± 0.010 | 0.946 ± 0.014 | 0.933 ± 0.015 | 0.944 ± 0.016 | 0.948 ± 0.014 |
| Bp | 0.764 ± 0.040 | 0.739 ± 0.047 | 0.746 ± 0.039 | 0.740 ± 0.057 | 0.739 ± 0.052 | 0.737 ± 0.065 | 0.755 ± 0.036 | 0.747 ± 0.041 | 0.746 ± 0.049 |
| Heart | 0.876 ± 0.028 | 0.703 ± 0.022 | 0.711 ± 0.025 | 0.739 ± 0.037 | 0.728 ± 0.034 | 0.789 ± 0.039 | 0.859 ± 0.032 | 0.864 ± 0.035 | 0.851 ± 0.038 |
| Ionosphere | 0.947 ± 0.027 | 0.894 ± 0.024 | 0.906 ± 0.021 | 0.917 ± 0.017 | 0.907 ± 0.025 | 0.901 ± 0.027 | 0.923 ± 0.029 | 0.927 ± 0.020 | 0.931 ± 0.026 |
| Libras | 0.778 ± 0.039 | 0.743 ± 0.047 | 0.756 ± 0.058 | 0.751 ± 0.021 | 0.749 ± 0.048 | 0.748 ± 0.039 | 0.759 ± 0.036 | 0.764 ± 0.039 | 0.759 ± 0.038 |
| Page_small | 0.901 ± 0.019 | 0.896 ± 0.015 | 0.889 ± 0.013 | 0.891 ± 0.016 | 0.881 ± 0.019 | 0.898 ± 0.017 | 0.912 ± 0.015 | 0.913 ± 0.011 | 0.899 ± 0.012 |
| Parkinsons | 0.826 ± 0.042 | 0.756 ± 0.043 | 0.769 ± 0.049 | 0.779 ± 0.059 | 0.771 ± 0.047 | 0.782 ± 0.039 | 0.786 ± 0.034 | 0.807 ± 0.044 | 0.779 ± 0.030 |
| Ring | 0.928 ± 0.017 | 0.781 ± 0.041 | 0.831 ± 0.038 | 0.849 ± 0.049 | 0.834 ± 0.041 | 0.879 ± 0.049 | 0.870 ± 0.028 | 0.910 ± 0.011 | 0.925 ± 0.016 |
| Segment | 0.913 ± 0.016 | 0.869 ± 0.019 | 0.874 ± 0.014 | 0.886 ± 0.018 | 0.895 ± 0.016 | 0.889 ± 0.020 | 0.899 ± 0.015 | 0.906 ± 0.013 | 0.922 ± 0.010 |
| Sonar | 0.816 ± 0.036 | 0.758 ± 0.046 | 0.769 ± 0.053 | 0.779 ± 0.038 | 0.806 ± 0.034 | 0.787 ± 0.023 | 0.796 ± 0.036 | 0.801 ± 0.042 | 0.837 ± 0.029 |
| Spectf | 0.823 ± 0.023 | 0.716 ± 0.037 | 0.727 ± 0.027 | 0.778 ± 0.041 | 0.794 ± 0.030 | 0.757 ± 0.041 | 0.748 ± 0.035 | 0.757 ± 0.030 | 0.801 ± 0.029 |
| Vehicle | 0.611 ± 0.029 | 0.483 ± 0.037 | 0.506 ± 0.039 | 0.529 ± 0.032 | 0.520 ± 0.049 | 0.518 ± 0.054 | 0.537 ± 0.029 | 0.549 ± 0.032 | 0.589 ± 0.028 |
| Vowel | 0.859 ± 0.023 | 0.781 ± 0.057 | 0.781 ± 0.052 | 0.799 ± 0.058 | 0.795 ± 0.057 | 0.801 ± 0.033 | 0.811 ± 0.029 | 0.821 ± 0.024 | 0.816 ± 0.027 |
| Wine | 0.961 ± 0.019 | 0.928 ± 0.024 | 0.926 ± 0.029 | 0.937 ± 0.027 | 0.946 ± 0.021 | 0.939 ± 0.026 | 0.958 ± 0.017 | 0.945 ± 0.022 | 0.931 ± 0.016 |
| WineQR | 0.637 ± 0.018 | 0.489 ± 0.025 | 0.509 ± 0.038 | 0.519 ± 0.037 | 0.528 ± 0.034 | 0.524 ± 0.031 | 0.563 ± 0.028 | 0.587 ± 0.030 | 0.559 ± 0.041 |
| WineQW | 0.534 ± 0.036 | 0.477 ± 0.043 | 0.503 ± 0.033 | 0.508 ± 0.038 | 0.501 ± 0.041 | 0.509 ± 0.029 | 0.508 ± 0.041 | 0.515 ± 0.028 | 0.529 ± 0.039 |
| Average | 0.800 ± 0.027 | 0.730 ± 0.032 | 0.740 ± 0.033 | 0.756 ± 0.034 | 0.755 ± 0.034 | 0.756 ± 0.033 | 0.768 ± 0.027 | 0.777 ± 0.027 | 0.781 ± 0.028 |
Publisher’s Note: MDPI stays neutral with regard to jurisdictional claims in published maps and institutional affiliations. |
© 2022 by the authors. Licensee MDPI, Basel, Switzerland. This article is an open access article distributed under the terms and conditions of the Creative Commons Attribution (CC BY) license (https://creativecommons.org/licenses/by/4.0/).
Share and Cite
Ou, G.; He, Y.; Fournier-Viger, P.; Huang, J.Z. A Novel Mixed-Attribute Fusion-Based Naive Bayesian Classifier. Appl. Sci. 2022, 12, 10443. https://doi.org/10.3390/app122010443
Ou G, He Y, Fournier-Viger P, Huang JZ. A Novel Mixed-Attribute Fusion-Based Naive Bayesian Classifier. Applied Sciences. 2022; 12(20):10443. https://doi.org/10.3390/app122010443
Chicago/Turabian StyleOu, Guiliang, Yulin He, Philippe Fournier-Viger, and Joshua Zhexue Huang. 2022. "A Novel Mixed-Attribute Fusion-Based Naive Bayesian Classifier" Applied Sciences 12, no. 20: 10443. https://doi.org/10.3390/app122010443
APA StyleOu, G., He, Y., Fournier-Viger, P., & Huang, J. Z. (2022). A Novel Mixed-Attribute Fusion-Based Naive Bayesian Classifier. Applied Sciences, 12(20), 10443. https://doi.org/10.3390/app122010443

