IoT-Ready Temperature Probe for Smart Monitoring of Forest Roads
Abstract
:1. Introduction
2. Materials and Methods
- study housing for use in severe settings with mechanical, chemical, and environmental stress;
- sensor elements at predetermined distances;
- internal wiring with minimized influence on measurements;
- connecting cabling with minimal impact on measurements; and
- hermetically sealed mechanical elements.
2.1. Probe Electrical Design
2.2. Probe Mechanical Design
- polypropylene as a thermoplastic polymer, which is one of the commonly used plastics in many areas of industry. It is suitable for our intended use as a probe housing due to its temperature, mechanical, and chemical resistance. A range of pipes of various diameters is available for use in plumbing installations. Various fittings are also available and the principle of joining them is with the use of a plastic welding machine,
- polyethylene is a commonly used thermoplastic polymer. It is characterized by high resistance to acids, alkalis, and some other chemicals. It is suitable as a probe housing for measuring the temperature profile, also due to its temperature resistance. Fittings and accessories are mostly available, joining is realized by thermal fusion or by using an appropriate adhesive.
2.3. Probe Internal Connection Proposal
2.4. Individual Sensors Position Identification
2.5. Probe System Architecture and Design for Forest Road Measurements
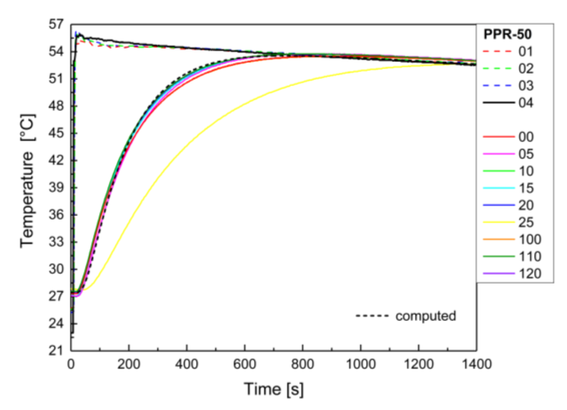
3. Simulation Model and Experimental Measurement Proposal
- (A)
- Measurement in a water bath to verify the measurement procedure during a step temperature change.
- The measurement starts at ambient temperature.
- The probe is immersed in a water bath at a temperature approximately 55 °C (domestic hot water).
- The measurement is completed after approaching the temperatures measured by sensors 00, 05, 10, 15, 20, 25 and the auxiliary thermometer 04.
- (B)
- Measurement in a climate chamber to verify the measurement procedure in case of gradual temperature change.
- The probe is placed into the climate chamber and the measurement starts.
- The temperature increases by 10 °C comparing the initial temperature is adjusted in the climate chamber, followed by a dwell time of approximately 6–8 min at maximum temperature. Then the climate chamber is switched off [34].
- The measurement is completed after approaching the temperatures measured by sensors 00, 05, 10, 15, 20, 25 and auxiliary thermometer 04.
3.1. Simulation Model Proposal
3.2. Simulation Results
4. Simulation and Experimental Result Comparison and Discussion
Novelty of Proposed Solution and Future Research
- analysis of the effect of PUR sealant aging on the response time and measurement accuracy. It is assumed that due to aging, the PUR sealant will shrink and thus the contact between the individual components of the probe will be lost. From a thermal point of view, this will increase the thermal resistance, e.g., between the probe housing and the PUR sealant, thus extending the response time;
- investigation of temperature fields, mainly the temperature gradients along the height of the probe, which occur due to variation in the surrounding temperature depending on the time and depth in the soil layer. This research will require the preparation and solution of a 3D simulation model, including the definition of the temperature profile in the soil depending on the depth below the earth’s surface in different seasons, as well as a description of temperature changes during the day;
- optimization of the internal probe layout with respect to self-heating of the measuring elements, space requirements and dimensions; and
- analysis of several available sealants to design specific probe solutions for environments with special requirements.
5. Conclusions
6. Patents
Author Contributions
Funding
Institutional Review Board Statement
Informed Consent Statement
Data Availability Statement
Conflicts of Interest
References
- Roberts, R.; Inzerillo, L.; di Mino, G. Using UAV Based 3D Modelling to Provide Smart Monitoring of Road Pavement Conditions. Information 2020, 11, 568. [Google Scholar] [CrossRef]
- Trubia, S.; Severino, A.; Curto, S.; Arena, F.; Pau, G. Smart Roads: An Overview of What Future Mobility Will Look Like. Infrastructures 2020, 5, 107. [Google Scholar] [CrossRef]
- Akay, A.; Serin, H.; Sessions, J.; Bilici, E.; Pak, M. Evaluating the Effects of Improving Forest Road Standards on Economic Value of Forest Products. Croat. J. For. Eng. 2021, 42, 245–258. [Google Scholar] [CrossRef]
- Zhang, F.; Dong, Y.; Xu, S.; Yang, X.; Lin, H. An approach for improving firefighting ability of forest road network. Scand. J. For. Res. 2020, 35, 547–561. [Google Scholar] [CrossRef]
- Florková, Z.; Pepucha, L. Microtexture diagnostics of asphalt pavement surfaces. IOP Conf. Ser. Mater. Sci. Eng. 2017, 236, 12–25. [Google Scholar] [CrossRef] [Green Version]
- Kneib, G. Non-destructive Pavement Testing for Sustainable Road Management. In Proceedings of the 9th International Conference on Maintenance and Rehabilitation of Pavements—Mairepav9; Springer: Cham, Switzerland, 2020; pp. 675–685. [Google Scholar]
- Fidelus-Orzechowska, J.; Strzyżowski, D.; Cebulski, J.; Wrońska-Wałach, D. A Quantitative Analysis of Surface Changes on an Abandoned Forest Road in the Lejowa Valley (Tatra Mountains, Poland). Remote Sens. 2020, 12, 3467. [Google Scholar] [CrossRef]
- Kruchinin, I.N.; Pobedinsky, V.V.; Kovalev, R.N. Fuzzy simulation of forest road surface parameters. IOP Conf. Ser. Earth Environ. Sci. 2019, 316, 012026. [Google Scholar] [CrossRef]
- Stepanova, D.; Sukuvaara, T.; Karsisto, V. Intelligent Transport Systems–Road weather information and forecast system for vehicles. In Proceedings of the 2020 IEEE 91st Vehicular Technology Conference (VTC2020-Spring), Antwerp, Belgium, 25–28 May 2020; pp. 1–5. [Google Scholar] [CrossRef]
- Erhan, L.; di Mauro, M.; Anjum, A.; Bagdasar, O.; Song, W.; Liotta, A. Embedded Data Imputation for Environmental Intelligent Sensing: A Case Study. Sensors 2021, 21, 7774. [Google Scholar] [CrossRef]
- Wong, M.; Wang, T.; Ho, H.; Kwok, C.; Lu, K.; Abbas, S. Towards a Smart City: Development and Application of an Improved Integrated Environmental Monitoring System. Sustainability 2018, 10, 623. [Google Scholar] [CrossRef] [Green Version]
- Baire, M.; Melis, A.; Lodi, M.B.; Tuveri, P.; Dachena, C.; Simone, M.; Fanti, A.; Fumera, G.; Pisanu, T.; Mazzarella, G. A Wireless Sensors Network for Monitoring the Carasau Bread Manufacturing Process. Electronics 2019, 8, 1541. [Google Scholar] [CrossRef] [Green Version]
- Anderson, M.P. Heat as a Ground Water Tracer. Groundwater 2005, 43, 951–968. [Google Scholar] [CrossRef]
- García, L.; Parra, L.; Jimenez, J.M.; Parra, M.; Lloret, J.; Mauri, P.V.; Lorenz, P. Deployment Strategies of Soil Monitoring WSN for Precision Agriculture Irrigation Scheduling in Rural Areas. Sensors 2021, 21, 1693. [Google Scholar] [CrossRef]
- Júnior, R.D.N.; Amaral, G.C.D.; Pezzopane, J.E.M.; Toledo, J.V.; Xavier, T.M.T. Ecophysiology of C3 and C4 plants in terms of responses to extreme soil temperatures. Theor. Exp. Plant Physiol. 2018, 30, 261–274. [Google Scholar] [CrossRef]
- Chunpeng, H.; Yanmin, J.; Peifeng, C.; Guibo, R.; Dongpo, H. Automatic Measurement of Highway Subgrade Temperature Fields in Cold Areas. In Proceedings of the 2010 International Conference on Intelligent System Design and Engineering Application, Changsha, China, 13–14 October 2010; Volume 1, pp. 409–412. [Google Scholar] [CrossRef]
- Programmable Resolution 1-Wire Digital Thermometer DS18B20; Maxim Integrated Products, Inc.: San Jose, CA, USA, 2019; Available online: https://datasheets.maximintegrated.com/en/ds/DS18B20.pdf (accessed on 5 June 2021).
- Morais, R.; Mendes, J.; Silva, R.; Silva, N.; Sousa, J.J.; Peres, E. A Versatile, Low-Power and Low-Cost IoT Device for Field Data Gathering in Precision Agriculture Practices. Agriculture 2021, 11, 619. [Google Scholar] [CrossRef]
- Liu, C.; Ren, W.; Zhang, B.; Lv, C. The application of soil temperature measurement by LM35 temperature sensors. In Proceedings of the 2011 International Conference on Electronic & Mechanical Engineering and Information Technology, Harbin, China, 12–14 August 2011; Volume 4, pp. 1825–1828. [Google Scholar] [CrossRef]
- Izquierdo, C.G.; Garcia-Benadí, A.; Corredera, P.; Hernandez, S.; Calvo, A.G.; Fernandez, J.D.R.; Nogueres-Cervera, M.; De Torres, C.P.; Del Campo, D. Traceable sea water temperature measurements performed by optical fibers. Measurement 2018, 127, 124–133. [Google Scholar] [CrossRef] [Green Version]
- Othman, A.; Maga, D. Indoor Photovoltaic Energy Harvester with Rechargeable Battery for Wireless Sensor Node. In Proceedings of the 2018 18th International Conference on Mechatronics-Mechatronika (ME), Brno, Czech Republic, 5–7 December 2018; pp. 1–6. [Google Scholar]
- Andreadis, A.; Giambene, G.; Zambon, R. Monitoring Illegal Tree Cutting through Ultra-Low-Power Smart IoT Devices. Sensors 2021, 21, 7593. [Google Scholar] [CrossRef]
- Gaspar, G.; Sedivy, S.; Dudak, J.; Skovajsa, M. Meteorological support in research of forest roads conditions monitoring. In Proceedings of the 2021 2nd International Conference on Smart Electronics and Communication (ICOSEC), Trichy, India, 7–9 October 2021; pp. 1265–1269. [Google Scholar] [CrossRef]
- Saavedra, E.; del Campo, G.; Santamaria, A. Smart Metering for Challenging Scenarios: A Low-Cost, Self-Powered and Non-Intrusive IoT Device. Sensors 2020, 20, 7133. [Google Scholar] [CrossRef]
- Kampczyk, A.; Dybeł, K. The Fundamental Approach of the Digital Twin Application in Railway Turnouts with Innovative Monitoring of Weather Conditions. Sensors 2021, 21, 5757. [Google Scholar] [CrossRef]
- Rosero-Montalvo, P.D.; Erazo-Chamorro, V.C.; López-Batista, V.F.; Moreno-García, M.N.; Peluffo-Ordóñez, D.H. Environment Monitoring of Rose Crops Greenhouse Based on Autonomous Vehicles with a WSN and Data Analysis. Sensors 2020, 20, 5905. [Google Scholar] [CrossRef]
- Croce, S.; Tondini, S. Urban microclimate monitoring and modelling through an open-source distributed network of wireless low-cost sensors and numerical simulations. In Proceedings of the 7th International Electronic Conference on Sensors and Applications, Basel, Switzerland, 15–30 November 2020; p. 8270. [Google Scholar] [CrossRef]
- Fabo, P.; Sedivy, S.; Kuba, M.; Buchholcerova, A.; Dudak, J.; Gaspar, G. PLC based weather station for experimental measurements. In Proceedings of the 2020 19th International Conference on Mechatronics-Mechatronika (ME), Prague, Czech Republic, 2–4 December 2020; pp. 1–4. [Google Scholar] [CrossRef]
- Gaspar, G.; Sedivy, S.; Mikulova, L.; Dudak, J.; Fabo, P. Local Weather Station for Decision Making in Civil Engineering. In Informatics and Cybernetics in Intelligent Systems; Springer: Cham, Switzerland, 2021; pp. 199–206. [Google Scholar]
- Blázquez, C.S.; Piedelobo, L.; Fernández-Hernández, J.; Nieto, I.M.; Martín, A.F.; Lagüela, S.; González-Aguilera, D. Novel Experimental Device to Monitor the Ground Thermal Exchange in a Borehole Heat Exchanger. Energies 2020, 13, 1270. [Google Scholar] [CrossRef] [Green Version]
- Lewis, G.D.; Merken, P.; Vandewal, M. Enhanced Accuracy of CMOS Smart Temperature Sensors by Nonlinear Curvature Correction. Sensors 2018, 18, 4087. [Google Scholar] [CrossRef] [Green Version]
- Koritsoglou, K.; Christou, V.; Ntritsos, G.; Tsoumanis, G.; Tsipouras, M.G.; Giannakeas, N.; Tzallas, A.T. Improving the Accuracy of Low-Cost Sensor Measurements for Freezer Automation. Sensors 2020, 20, 6389. [Google Scholar] [CrossRef]
- Elan-tron PU 310/PH 27. ELANTAS Group. Available online: https://www.elantas.com (accessed on 16 August 2021).
- Vötsch Industrietechnik GmbH, “Climate Test Chambers.” March 2021. Available online: https://www.weiss-technik.com/fileadmin/Redakteur/Mediathek/Broschueren/WeissTechnik/Umweltsimulation/Voetsch/Voetsch-Technik-VC3-VCS3-EN.pdf (accessed on 15 May 2021).
- Incropera, F.P.; DeWitt, D.P. Fundamentals of Heat and Mass Transfer; Wiley: Hoboken, NJ, USA, 1996; Available online: https://books.google.sk/books?id=UAZRAAAAMAAJ (accessed on 16 August 2021).
- ANSYS, Inc. Ansys Mechanical | Structural FEA Analysis Software; Ansys: Canonsburg, PA, USA; Available online: https://www.ansys.com/products/structures/ansys-mechanical (accessed on 5 September 2021).
- “HDPE Data Sheet.pdf”. Available online: https://www.directplastics.co.uk/pub/pdf/datasheets/HDPE%20Data%20Sheet.pdf (accessed on 16 August 2021).
- “Raw Material/PPR”. Available online: http://ppr.almatherm.de/index.php?option=com_content&view=article&id=%208&Itemid=139 (accessed on 16 August 2021).
- Yazdi, A.; Zebarjad, S.; Sajjadi, S.; Esfahani, J. On the sensitivity of dimensional stability of high densitypolyethylene on heating rate. Express Polym. Lett. 2007, 1, 92–97. [Google Scholar] [CrossRef]
- Dudak, J.; Fabo, P.; Skovajsa, M.; Dvorský, L.; Kurota, P. Acta Logistica Moravica. Syst. Monit. Environ. Parameters Road Infrastruct. 2014, 4, 1804–8315. [Google Scholar]
- Dudak, J.; Gaspar, G.; Sedivy, S.; Pepucha, L.; Florkova, Z. Road structural elements temperature trends diagnostics using sensory system of own design. IOP Conf. Ser. Mater. Sci. Eng. 2017, 236, 012036. [Google Scholar] [CrossRef] [Green Version]
- Šedivý, Š.; Gašpar, G.; Fabo, P.; Farbák, M. Temperature Probe with Adjustable Position of the Installed Sensors. SK122021U1. Available online: https://worldwide.espacenet.com/patent/search/family/075979890/publication/SK122021U1?q=Gabriel%20Ga%C5%A1par (accessed on 26 May 2021).


























| Scratchpad | EEPROM | |
|---|---|---|
| Byte 0–1 | Temperature registers | Not Available |
| Byte 2 | TH Register or User Byte 1 | User Byte 1 (UBH) |
| Byte 3 | TL Register or User Byte 1 | User Byte 2 (UBL) |
| Byte 4 | Configuration register | Configuration register |
| Byte 5–8 | Reserved | Not Available |
Publisher’s Note: MDPI stays neutral with regard to jurisdictional claims in published maps and institutional affiliations. |
© 2022 by the authors. Licensee MDPI, Basel, Switzerland. This article is an open access article distributed under the terms and conditions of the Creative Commons Attribution (CC BY) license (https://creativecommons.org/licenses/by/4.0/).
Share and Cite
Gaspar, G.; Dudak, J.; Behulova, M.; Stremy, M.; Budjac, R.; Sedivy, S.; Tomas, B. IoT-Ready Temperature Probe for Smart Monitoring of Forest Roads. Appl. Sci. 2022, 12, 743. https://doi.org/10.3390/app12020743
Gaspar G, Dudak J, Behulova M, Stremy M, Budjac R, Sedivy S, Tomas B. IoT-Ready Temperature Probe for Smart Monitoring of Forest Roads. Applied Sciences. 2022; 12(2):743. https://doi.org/10.3390/app12020743
Chicago/Turabian StyleGaspar, Gabriel, Juraj Dudak, Maria Behulova, Maximilian Stremy, Roman Budjac, Stefan Sedivy, and Boris Tomas. 2022. "IoT-Ready Temperature Probe for Smart Monitoring of Forest Roads" Applied Sciences 12, no. 2: 743. https://doi.org/10.3390/app12020743
APA StyleGaspar, G., Dudak, J., Behulova, M., Stremy, M., Budjac, R., Sedivy, S., & Tomas, B. (2022). IoT-Ready Temperature Probe for Smart Monitoring of Forest Roads. Applied Sciences, 12(2), 743. https://doi.org/10.3390/app12020743

