Next Article in Journal
Detection of Pits by Conjugate Lines: An Algorithm for Segmentation of Overlapping and Adhesion Targets in DE-XRT Sorting Images of Coal and Gangue
Previous Article in Journal
Identification of Vehicle Loads on an Orthotropic Deck Steel Box Beam Bridge Based on Optimal Combined Strain Influence Lines
 
 
Font Type:
Arial Georgia Verdana
Font Size:
Aa Aa Aa
Line Spacing:
Column Width:
Background:
Article

The Simulation of the Dynamic Characteristics of Friction Stir Welding and the Structural Deflection of Base Materials

1
Department of Mechanical Engineering, Sunmoon University, Asan 31460, Korea
2
Research Institute, YOUNG HWA TECH Co., Ltd., Asan 31409, Korea
*
Author to whom correspondence should be addressed.
Appl. Sci. 2022, 12(19), 9847; https://doi.org/10.3390/app12199847
Submission received: 28 August 2022 / Revised: 24 September 2022 / Accepted: 27 September 2022 / Published: 30 September 2022
(This article belongs to the Section Mechanical Engineering)

Abstract

:
Friction stir welding requires an optimized process because the quality of the weld can vary depending on the dynamic characteristics of the welding tool. In addition, controlling the structural deflection of the base material according to the load of the welding tool is important. In this study, the structural deflection of thin base material according to the dynamic characteristics of the welding tool was confirmed using dynamic simulation. The generated deflection was controlled through the fixing clamp, and the results according to the rotation and progress speed of the welding tool were compared and analyzed through finite volume analysis. Thus, factors of the welding tools were obtained based on computational data without accompanying experimental data, and a process guide for efficient friction stir welding for thin base materials was presented.

1. Introduction

Friction stir welding (FSW) technology was developed by TWI in the UK in 1991 [1]. This type of welding can compensate for defects such as holes, solidification, and cracks caused by the bubbles generated during welding, and it can easily weld materials that are not good conductors of electricity. In addition, FSW is attracting attention as a next-generation welding technology from various industrial fields because material deformation due to FSW is small, and the mechanical properties of the weld, such as tensile strength and yield strength, are superior [2,3,4]. In particular, FSW provides reliable bonding when applied to lightweight nonferrous metallic materials with low melting points that transition from the solid to the liquid phase. Friction stir welding in the manufacturing field has defect problems to be solved [5]; however, because it has excellent characteristics in terms of mechanical properties of the weld and the management of the welding environment, it is actively used for lightweight materials for railways, aircraft, and automobiles [6,7]. In automobiles, the importance of power converters is rising as eco-friendly cars are increasingly being equipped with autonomous driving and connected car technologies. Because power converters are directly related to vehicle operation [8,9], they must adhere to a high standard of quality. Power converter devices come in various forms, but the structural form targeted in this study is shown in Figure 1. The core module of the power converter is placed at the top of the housing, and the coolant flows through the valve at the bottom to protect it against high temperatures. The coolant flows through the designed path, and a cover is mounted on the lower part to prevent coolant leakage. Because the pressure generated on the cover by the coolant is as low as 2–3 bar, the thickness of the cover is set to 2 mm to reduce the overall weight of the housing. Therefore, FSW is used to bond the 2 mm thick cover to the housing to reduce defects and achieve superior mechanical properties.
The housing of the power converter is prepared using a mold, and to avoid contact with adjacent structures, it is necessary to match the its flatness with that of the cover before they are bonded. In addition, an optimized FSW process is required because the weld quality may vary depending on the dynamic characteristics of the welding tool. To develop an FSW process, considerable know-how based on experimental data is required, and the development process is time and cost intensive. The efficiency of process development can be increased if data can be obtained by conducting simulations. Considering the rapid flow of the automobile market, it is important to quickly secure the technology for the preceding stage to produce high-quality power converters within a short period. Therefore, in this study, the dynamic characteristics of FSW are analyzed by conducting simulations, and the structural deflection of the base material due to welding is analyzed. On the basis of the analysis results, a technical template is created for developing an accurate and efficient FSW model for power converters.
In principle, FSW involves placing a rotating welding tool between the two base materials to be welded, as shown in Figure 2, and performing the welding along a line [10]. At this time, the welding tool generates frictional heat through rapid rotation. Consequently, the temperatures of the two base materials increase, and the materials soften, resulting in bonding. The temperature increase due to friction can vary depending on the dynamic characteristics of the welding tool, but in existing studies, the temperature increased by approximately 600 °C [11,12,13]. Since the housing cover targeted in this study is thin, deformation due to heat or deflection due to the load of the welding tool may occur. Therefore, it is necessary to prepare a design guide that can minimize degradation of the structural characteristics of the cover by analyzing the dynamic characteristics of FSW.
Many studies on FSW have been conducted worldwide [14,15,16], and the representative factors for obtaining a good weld include the rotational velocity and progress velocity of the welding tool. Defects that occur after welding or the mechanical characteristics of the welded part can be verified visually by conducting experiments. However, the only way to visually verify the internal characteristics of parent metal that is softened and welded is to examine a cut surface after welding. Therefore, in this study, a welding process post-softening of the base material is implemented through simulation. Then, the results obtained depending on the rotation and progress velocity of the welding tool are compared and analyzed.
Sufficient physical time must be secured to confirm the dynamic characteristics of FSW through simulation and analyze the structural characteristics of the base material. In addition, continuous contact conditions must be established, and the analysis required to solve complex related problems such as the dynamic behavior of the welding tool and deflection of the base material is extremely difficult. Specifically, the implementation of the welding process inside the base material post-softening using a general finite element method (FEM) is time intensive, and the probability of data divergence is high. To solve these problems, in this study, structural dynamic analysis was conducted using the FEM, and flow analysis to confirm the welding process inside the base material was performed by finite volume method (FVM) rather than FEM. Various studies have been conducted using FVM as a simulation method to implement and analyze friction stir welding [17,18]. In addition, several studies on friction stir welding have been conducted through structural and flow analysis [19,20,21,22]. Structural/dynamic analysis and flow analysis are performed using different specialized programs to obtain related data. The focus of this study was to analyze the FSW process for producing a high-quality power converter within a short period. Therefore, to minimize physical experiments, which involve prototype fabrication, the structural deflection of the base material and the dynamic characteristics of FSW were analyzed by conducting simulations.

2. Dynamic System Model

To analyze the structural characteristics of the base material during FSW, the load and dynamic behavior of the welding tool should be expressed, and continuous contact with the base material should be maintained. For the power converter considered in this study, the cover was thinner than the housing, and deflection-related problems could be encountered. Therefore, as shown in Figure 3, the housing and welding tool were set as a rigid body, and the cover was modeled using finite elements. At this time, the total number of elements in the cover was 56,888, and the quality of the elements was confirmed through quality check. Regarding the quality check in the program, the maximum aspect ratio value was confirmed to be 1.2, where the aspect ratio denotes the ratio of the maximum length to the minimum length of the element. The closer the aspect ratio is to 1, the better the quality; it was confirmed that the element shape of the cover created in this study was correctly configured. To analyze the structural characteristics of the FE bodies by considering the dynamic characteristics of the rigid body, a specialized program for structural/dynamic analysis is required. Therefore, we used RecurDyn in this study. In addition, to compare the data depending on changes in the rotation and progress velocity of the welding tool, the softened base material was implemented as a flow program in the Particleworks software environment. These two applications have been used to conduct research in various industrial fields and have been sufficiently verified by comparison with experimental data [23,24,25,26]. For these reasons, they were suitable for use in this study to validate the tendency data available in the FSW literature.

2.1. Application of Boundary Conditions

To realize the dynamic behavior of the welding tool, motion conditions were applied such that the tool could move along the welding line of the base material, as shown in Figure 3. As basic settings, the rotation velocity and progress velocity of the welding tool were set to 2000 RPM and 600 mm/min, respectively. The load of the welding tool is transferred to the base material through vertical descent, and the transferred load increases as the vertical descent displacement increases. The total length of the welding line was 663.45 mm, as shown in Figure 4, and 0–1 s was set as the settling time to stabilize the analysis. After increasing the velocity for 1 s, dynamic behavior was implemented along the welding line at a constant velocity starting from 2 s. Accordingly, the total physical time required for welding the entire line was calculated as 67.85 s.
The welding tool was divided into a shoulder and a pin, and the size of the welding tool was modeled by referring to the prototype tool fabricated for testing. To confirm the structural deflection of the base material, in this study, the lower surface of the shoulder and the upper surface of the base material were set in contact in the structural/dynamic analysis. Accordingly, the vertical downward displacement of the shoulder was forcibly applied to facilitate the calculation of the reaction force generated from the base material. According to the Hertzian contact law, for the elements in contact between bodies, the stiffness need not exceed 100,000 N/m if the Young’s modulus is lower than that of steel [27]. As summarized in Table 1, the Young’s modulus of each body used in this study was lower than that of steel, and the range of stiffness and damping coefficient was calculated as summarized in Table 2. If the coefficient is too high, the analysis time increases greatly. By contrast, if it is too low, appropriate contact between the bodies is not ensured. The appropriate range of the coefficient was calculated by referring to the Hertzian contact law. The standard of the calculated range is the range obtained through case runs depending on the variable, such that the correct dynamic motion is achieved.

2.2. Parameter Setting for Loads

The magnitude of the load for which the welding tool presses against the base material was analyzed, and the vertical downward displacement of the welding tool was calculated as a reaction force of 1.2 tons generated, as shown in Figure 5. Except for an interval of 1 mm set for the stabilization of the analysis, the vertical downward displacement for which a reaction force of 1.2 ton occurred was calculated to be 0.342 mm. The load range of the welding tool to be applied for FSW of the power converter was 0.8–1.2 tons, and the vertical downward displacement of the welding tool for this load range was calculated, as summarized in Table 3. In addition, to check for the deflection due to frictional heat, a temperature condition of 600 °C was applied to the welding line of the cover and the part in contact with the shoulder. Frictional heat varies depending on the rotation speed (RPM) of the welding tool and the characteristics of the base material. In this study, a temperature of 600 °C was applied as a reference value. Thereafter, we compared the structural deflection data of the base metal depending on the load range of the welding tool in the state where frictional heat of 600 °C was applied.
Because the cover considered in this study is a thin plate, deflection may occur due to the load of the welding tool or frictional heat. In the manufacture of high-quality power converter products, there should be little error in the flatness of the housing and the cover. Therefore, it is necessary to install a fixing clamp that can control the deflection of the cover generated during FSW. As shown in Figure 1, because the overall size of the power converter was not large, there was a limit in terms of the space where the fixing clamps could be applied. The fixing clamps were applied as shown in Figure 6, such that they could be fixed as close to the welding line as possible, and we confirmed the data according to whether or not the fixing clamp was applied.

3. Confirmation of Structural Data According to Dynamic Characteristics

3.1. Structural Deflection Data of Base Metal

The power conversion device and the contact part between the cover and the housing are shown in Figure 7. The edge and six central points of the cover were in contact with the housing, and this was set as a contact condition in the analysis. The stiffness and damping coefficients depending on the contact conditions were applied, as summarized in Table 2, and pre-welding was performed with respect to the six points of the center part of the cover to control the overall displacement. Because the deflection generated during cover edge welding was more dominant than that generated during center welding, pre-welding of the six points in the center was not significant in this study. In the process, after pre-welding at the center, welding proceeded along the welding line located on the edge of the cover. When the upper and lower directions of the cover were defined as +Z and −Z, respectively, the deflection data of the cover under the 1.2 ton load of the welding tool were recorded, as shown in Figure 8. The data in Figure 8 represent the deflection values of the cover generated only by the load of the welding tool in the state where the frictional heat condition is not applied. Moreover, because the cover plate was thin, we were able to confirm that upward displacement occurred around the welding tool, as shown in Figure 9. The maximum displacement values of the cover in the +Z and −Z directions were confirmed as 0.079 mm and 0.305 mm, respectively.
According to the deflection data, the maximum displacement in the −Z direction was generated at the position pressed by the load of the welding tool, and because the center was welded, it was viewed as a cantilever-type structural system. Therefore, it was possible to numerically calculate the displacement in the −Z direction depending on the load of the welding tool. Given that the welding tool applied a vibrational load through continuous contact, it was expressed as Equation (1) based on the equation of motion. When each term was divided by mass, it was transformed, as in Equation (2), and a particular solution could be assumed, as in Equation (3), when expressed as an external force, as in Equation (1). Equation (2) can be summarized by substituting Equation (3). In the organizing process, time t was satisfied all the time; therefore, if ω t θ = 0 and ω t θ = π / 2 were to be substituted, the displacement value X can be obtained, as shown in Equation (4). At this time, f 0 was calculated as the maximum normal force acting on the FE body by considering the load of the welding tool, as shown in Figure 10. Moreover, as shown in Figure 9, when the maximum displacement occurred in the −Z direction, the distance from the point close to the pre-welded part to the welding tool was 62.9 mm. When calculating the shoulder diameter as the width, the value of ω n was calculated as 2.15 rad/s by using Equation (5), which is the equivalent spring constant in the form of a cantilever. For the exciting frequency ω , it was calculated as 209.33 rad/s by means of conversion form 2000 RPM.
m x ¨ + c x ˙ + k x = f 0 c o s ω t
x ¨ + 2 ξ ω n x ˙ + ω n 2 x = f 0 c o s ω t
x p ( t ) = X c o s ( ω t θ )
X = f 0 ( ω n 2 ω 2 ) 2 + ( 2 ξ ω n ω ) 2
k e q = 3 E I L 3
According to Figure 10, the maximum normal force is 10.76 N. Because the confirmed f 0 of 10.76 N is dominant in Equation (4), the damping ratio ξ has little effect on the displacement X when its value is 0–2. Consequently, the theoretical value calculated using Equation (4) is 0.303 mm, and it has a relatively small error rate of 0.7%, as summarized in Table 4. This result confirmed that the modeling conditions implemented in the analysis program were correct.
Figure 11 shows the stress data and stress distribution image of the cover subjected to the 1.2-ton load of the welding tool. The yield strength of the cover material is 193 MPa, as summarized in Table 1. Because the maximum stress identifiable from the graph is 83.53 MPa, according to Equation (6), the S F (safety factor) exceeds 2.
S F = σ y i e l d   s t r e n g t h / σ r e s u l t
Therefore, for a welding tool load of 1.2 tons, there is no structural problem because the cover is in the elastic region. In addition, according to Table 5, it can be seen in the stress data that under the welding tool loads of 0.8–1.2 tons reduces the stress by an average of 6.5 % per 0.1 ton. Based on this, designers can infer the maximum stress acting on the cover for the load value of the welding tool.
In the case of frictional heat, there is a method of setting the temperature condition using the welding tool as the FE body and performing an FE analysis. However, this requires excessive analysis time, and it is difficult to ensure that the resulting data are correct because of the instability due to contact between elements. Therefore, the welding tool was set as a rigid body to calculate the deflection along the upper and lower directions of the cover according to the load. Then, the total deflection in the section with the largest displacement was calculated by considering the frictional heat. In this manner, it was possible to proceed with a comparison of the results obtained in the cases with and without the application of frictional heat.
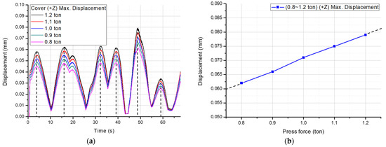
The deflection data of the cover depending on the load when the welding tool was considered a rigid body are shown in Figure 12 and summarized in Table 6. As the welding tool load decreased by 0.1 ton, the average displacement values decreased by 5.5% and 4.8% in the +Z and −Z directions, respectively. The displacement value generated in the +Z direction may decrease if a fixing clamp is used, and along the −Z direction, the welding tool load should be selected considering the depth of the welding pin relative to the deflection. The welding pin depth applied in this study was 1.5 mm, as shown in Figure 3, and the shoulder penetrated 0.2 mm into the upper surface of the base material to proceed with FSW; when the welding tool load was 1.2 tons, the shrinkage was 0.305 mm. Therefore, when a load of 1.2 tons was applied, unnecessary defects could have occurred during the welding process because the welding pin was inserted with a thickness of 2 mm or more of the cover. For this reason, the case in which frictional heat is in play was applied to the 1.1-ton welding tool load, and the designer could select the depth of the welding pin or the welding tool load based on these data.
Because the flatness of the housing and the cover is not affected in the −Z direction when displacement is generated by frictional heat, it is necessary to check the displacement generated in the +Z direction, which is the upper direction of the cover. In this study, by referring to Figure 12 and as shown in Figure 13, six points with the largest deflection in the +Z direction were selected.
A thermal load of 600 °C was applied at the 6 points, and the displacement due to this thermal load was calculated using Equations (7) and (8) [28]. Here, α refers to the ratio of the original length to the stretched length according to the temperature, and it was used as the thermal coefficient. In addition, T o is a user defined reference temperature value, and it was used as the thermal reference temperature. The material properties were set by referring to Table 1, and as a result, it was possible to calculate the displacement according to the temperature difference of the FE body:
ε t h e r m a l = Δ L L 0 = α Δ T
Δ T = T c u r r e n t T o
To check the results obtained in the presence or absence of frictional heat, the conditions were set such that the frictional heat increased by 580 °C from 20 °C to 600 °C over 1 s, as shown in the upper left panel of Figure 14. Frictional heat was applied at the six points with the maximum displacement in the +Z direction, and the data with and without the application of frictional heat are presented in Figure 14.
The top right panel of Figure 14 shows the maximum displacement in the +Z direction that occurred when only frictional heat was applied without any welding tool load, and the bottom left panel shows the maximum displacement that occurred when frictional heat and a 1.1-ton welding tool load were applied simultaneously. The lower right panel of Figure 14 shows the total displacement that occurred when only a 1.1-ton welding tool load was applied. When the frictional heat and the welding tool load were applied simultaneously, the overall deflection generated in the +Z direction increased along the dotted line. The data obtained in the presence and absence of frictional heat are comprehensively summarized in Figure 15 and Table 7. According to these data, when only the thermal load was applied, the displacement generated in the +Z direction of the cover was the highest. Moreover, when the frictional heat and the welding tool load were applied simultaneously, the displacement generated in the +Z direction decreased because the cover was pressed by the welding tool.
Figure 16 shows the deflection that occurred when the welding tool load and friction heat were applied simultaneously. Figure 16 is not the image of the maximum value in Figure 15. Instead, it is an image of the deflection depending on the welding tool load when the frictional heat of 600 °C was applied. At each point, the region in which the maximum displacement along the +Z direction occurred is displayed in red, and the range of legends is set such that it shows displacements of 0.05 mm or more in red.

3.2. Performance Analysis of Fixing Clamp

The fixing clamp uses eight arms, as shown in Figure 6, to control the displacement generated in the +Z direction of the cover. First, the performance of the fixing clamp according to the dynamic characteristics of the welding tool was checked, and the “on/off” interval of the arm was set such that it would not overlap with the fixing clamp when the welding tool proceeded. At this time, the “on” setting was the state in which the arm was in contact with the cover, and the “off” setting was the state in which the arm was raised to allow the welding tool to pass through. According to Figure 17, the deflection range generated by 0.3 mm in the −Z direction when the welding tool load was 1.1 tons was confirmed to be at least 70 mm. For deflection occurring in the −Z direction, because the fixing clamp did not need to be on, the arm was set to be off when the gap between the welding tool and the fixing clamp reached 70 mm.
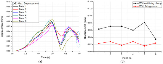
Based on an analysis of the dynamic behavior of the welding tool, it was confirmed that the overall displacement generated in the +Z direction in the presence of the fixing clamp decreased, as shown in Figure 18. Moreover, Table 8 shows that the maximum displacement in the +Z direction decreased by 31% in the presence of a fixing clamp, and the overall average decreased by 39 %. These results confirmed that the fixing clamp could control the displacement generated in the +Z direction of the cover.
Because the performance of the fixing clamp was verified under various welding tool loads, we furthered the analysis by applying frictional heat, as shown in Figure 14, and the fixing clamp was made to come into contact with the cover by setting the arm to the on state when the frictional heat of 600 °C was applied. On the basis of the analysis data, the time point at which the frictional heat was 600 °C was selected as the effective value.
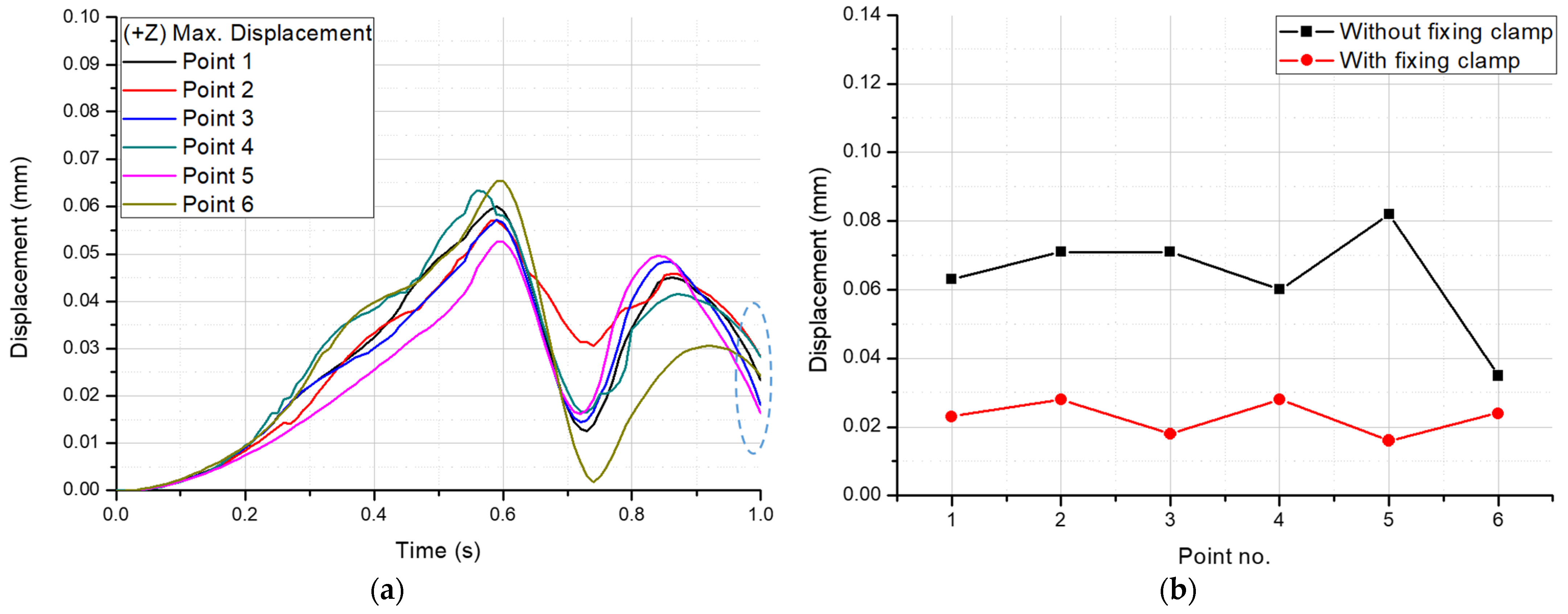
As shown in Figure 13, data were obtained for six points, and to compare the results depending on whether the fixing clamp was applied, all the fixing clamps were set to the on state, regardless of the position of the welding tool. The analysis results obtained in the state where the welding tool load and frictional heat were applied simultaneously confirmed that the displacement generated by the fixing clamp in the +Z direction decreased considerably when the frictional heat was 600 °C, as shown in Figure 19. At 1 s, when the frictional heat was 600 °C, the displacement was lower than that in Figure 14, and it can be seen in Table 9 that the displacement reduction rate at each point ranged from a minimum of 31% to a maximum of 80%. The average displacement reduction rate was 61%. The deflection images obtained with the fixing clamp in place were compared with Figure 16, as shown in Figure 20. This figure visually confirms the decrease in the overall deflection value and range. On the basis of these data, the designer can predict and calculate the extent to which the flatness error can be reduced by using the fixing clamp.

4. Confirmation of Flow Data According to Dynamic Characteristics

In this study, FVM analysis was performed to obtain the flow data of the softened base material by considering the dynamic characteristics of the welding tool. The FVM analysis confirmed the velocity distribution and data generated around the welding tool pin. These data were then used to determine the uniformity of mixing of the base material. FVM is a conservative method that solves the skewness effect of a lattice by calculating it as a flux passing through a finite volume surface. Because the purpose is to check the velocity data along the periphery of the pin by considering the dynamic characteristics of the welding tool, the FVM analysis was performed over a short span of 50 mm. The FVM-generated cell reflected the material in the softened state when the physical properties presented in Table 10 were applied. All domain cells along the path through which the welding tool passed were applied to the softened material, which made it possible to compare the velocity data around the pin by considering the dynamic characteristics of the welding tool.
Because frictional heat was set as a factor affecting the deflection of the base material, it was not applied in the FVM analysis, where the physical properties of the material in its softened state were used. In addition, because the base materials targeted in this study were thin (2 mm), tilting the welding tool was not considered to ensure adequate friction bridge welding. When tilting is applied to a welding tool and the base material is thin, the base material tears, which makes it difficult to supply an adequate amount of heat because of the small friction component. Therefore, in this study, the data were compared and analyzed by conducting a case run in which the rotation and progression velocity were considered, as summarized in Table 11, for the same welding tool shape.
The cell interval for the FVM was set to 0.1 mm, and the velocity data were measured at the periphery of the pin. As shown in Figure 21, a data box offset by 0.3 mm from the pin was created, and the velocity was dataized in the box. In the 0–0.5 s period, the rotation and progress velocity of the welding tool increased to the set value. After that, the welding tool was transferred by 50 mm from 1 s. Therefore, the data were secured from 1 s for uniform data comparison in the analysis. The velocity data were calculated along the Y direction with respect to the traveling direction of the welding tool and the X direction perpendicular to the traveling direction of the welding tool.
In the scenario where the rotational velocity changed while the progression velocity did not, the velocity distribution around the pin is shown in Figure 22. The higher the rotational velocity of the welding tool, the wider was the velocity distribution generated around the pin. Moreover, a high RPM was more effective for FSW than a low RPM under the same conditions. In addition, as the progress velocity of the welding tool increased, the velocity distribution generated around the pin diminished.
Based on Figure 22, the maximum value over time for each velocity distribution was calculated, as shown in Figure 23. As the rotational velocity of the welding tool increased, the velocity generated around the pin increased. Figure 24 shows the correlations between the progress velocity and rotation velocity. As the progress velocity increased, the difference in the velocity generated along the periphery of the pin was not large, but it did increase marginally. That the velocity near the pin was large can be considered advantageous because it could facilitate uniform mixing of the base material. Therefore, the velocity distribution in Figure 22 and the data in Figure 24 confirm that high RPM and low progress velocity are effective for FSW.
Figure 25 shows the velocity distribution around the pin in the Y direction, which is the moving direction of the welding tool. The welding tool moves from left to right, and the velocity distribution diminishes in the right peripheral part of the pin because the progress velocity is higher. In addition, the higher the RPM for the same moving velocity, the broader is the range of the velocity distribution along the periphery of the pin. These findings are summarized in data form in Figure 26, and the front data and rear data of the pin are compared with respect to the progress direction.
At the same velocity, the higher the RPM, the wider the gap between the front and rear data of the pin. It has the same tendency even when the progress velocity changes. These data are comprehensively organized in Figure 27. According to this figure, the higher the moving velocity of the welding tool, the smaller the velocity difference around the pin along the moving direction. The lower the rotational speed, the smaller the velocity difference. When welding was performed at a uniform velocity around the pin, mixing of the base material could proceed uniformly. However, considering that the overall velocity distribution around the pin was inadequate at a low RPM and high progress velocity, welding at a high RPM and a low progress velocity can be considered effective for FSW, even in the presence of a velocity gap.

5. Conclusions

In this study, we implemented FSW for manufacturing power converters in a simulation environment to facilitate efficient process development. The structural characteristics of the base metal were confirmed with respect to the load, progress velocity, and rotational velocity of the welding tool, as well as the velocity distribution around the softened base material. On the basis of these data, an actual prototype was fabricated by means of FSW.
The structural deflection data of the base material depending on the welding tool load were recorded by performing structural/dynamic analysis. Moreover, as a result of sample welding at several selected points, the structural deflection of the base material was confirmed, as shown in Figure 28. This deflection problem can reduce the displacement caused by applying the fixing clamp presented in this study. In addition, FVM analysis confirmed that if the progression velocity and rotational velocity of the welding tool are increased and decreased, respectively, in a situation where the deflection problem is not resolved, the base material is not mixed adequately, and defects may occur in the weld, as shown in Figure 28.
Therefore, based on the data obtained herein, a factor depending on the dynamic characteristics of the welding tool was selected, and a sample weld was conducted. As a result, a welding part with superior flatness and quality was obtained, as shown in Figure 29. The deflection problem caused by the base material was controlled by using a fixing clamp, and based on the FVM analysis data, the dynamic factors of the welding tool were set to 2000 RPM and 10–15 mm/s.
In sum, we developed a process guide for efficient FSW on thin base material of power converters by conducting simulations, and the prior step technology was ensured within a short period. The data obtained in this study confirmed that high-quality and efficient FSW is possible if large volumes of data are obtained by conducting various case runs and process development is conducted by comparing these data with relevant experimental results.

Author Contributions

Conceptualization, W.-Y.C., S.-B.I., J.-W.K. and D.-G.K.; methodology, W.-Y.C., S.-B.I., J.-W.K. and D.-G.K.; software, W.-Y.C.; validation, W.-Y.C. and S.-B.I.; formal analysis, W.-Y.C. and S.-B.I.; investigation, W.-Y.C., S.-B.I. and J.-W.K.; resources, W.-Y.C.; data curation, W.-Y.C.; writing—original draft preparation, W.-Y.C.; writing—review and editing, W.-Y.C.; visualization, W.-Y.C.; supervision, W.-Y.C., S.-B.I. and J.-W.K.; project administration, W.-Y.C., S.-B.I., J.-W.K. and D.-G.K.; funding acquisition, W.-Y.C., S.-B.I. and J.-W.K. All authors have read and agreed to the published version of the manuscript.

Funding

This research was funded by Ministry of Trade, Industry and Energy, Korea (20015307) and supported by RecurDyn of FunctionBay, Inc., Korea and the Particleworks program of Prometech Software, Inc., Japan.

Institutional Review Board Statement

Not applicable.

Informed Consent Statement

Not applicable.

Data Availability Statement

Not applicable.

Conflicts of Interest

Not author declares no conflict of interest.

References

  1. Hattingh, D.G.; Blignault, C.; Niekerk, T.I.; James, M.N. Characterization of the influences of FSW tool geometry on welding forces and weld tensile strength using an instrumented tool. J. Mater. Process. Technol. 2008, 203, 46–57. [Google Scholar] [CrossRef]
  2. Magalhães, V.M.; Leitão, C.; Rodrigues, D.M. Friction stir welding industrialization and research status. Sci. Technol. Weld. Join. 2018, 23, 400–409. [Google Scholar] [CrossRef]
  3. Li, K.; Liu, X.; Zhao, Y. Research status and prospect of friction stir processing technology. Coatings 2019, 9, 129. [Google Scholar] [CrossRef]
  4. Glaissa, M.A.A.; Asmael, M.; Zeeshan, Q. Recent applications of residual stress measurement techniques for FSW joints: A. J. Kejuruter. 2020, 32, 357–371. [Google Scholar]
  5. Meng, X.; Huang, Y.; Cao, J.; Shen, J.; dos Santos, J.F. Recent progress on control strategies for inherent issues in friction stir welding. Prog. Mater. Sci. 2021, 115, 100706. [Google Scholar] [CrossRef]
  6. Boitsov, A.G.; Kuritsyn, D.N.; Siluyanova, M.V.; Kuritsyna, V.V. Friction stir welding in the aerospace Industry. Russ. Eng. Res. 2018, 38, 1029–1033. [Google Scholar] [CrossRef]
  7. Kawasaki, T.; Makino, T.; Masai, K.; Ohba, H.; Ina, Y.; Ezumi, M. Application of friction stir welding to construction of railway vehicles. JSME Int. J. Ser. A Solid Mech. Mater. Eng. 2004, 47, 502–511. [Google Scholar] [CrossRef]
  8. Lipu, M.S.H.; Faisal, M.; Ansari, S.; Hannan, M.A.; Karim, T.F.; Ayob, A.; Hussain, A.; Miah, M.S.; Saad, M.H.M. Review of electric vehicle converter configurations, control schemes and optimizations: Challenges and suggestions. Electronics 2021, 10, 477. [Google Scholar] [CrossRef]
  9. Ferreira, A.A.; Pomilio, J.A.; Spiazzi, G.; de Araujo Silva, L. Energy management fuzzy logic supervisory for electric vehicle power supplies system. IEEE Trans. Power Electron. 2008, 23, 107–115. [Google Scholar] [CrossRef]
  10. Sato, Y.S.; Kokawa, H. Friction stir welding (FSW) process. Weld. Int. 2003, 17, 852–855. [Google Scholar] [CrossRef]
  11. Maeda, M.; Liu, H.; Fujii, H.; Shibayanagi, T. Temperature field in the vicinity of FSW-tool during friction stir welding of aluminium alloys. Weld. World 2005, 49, 69–75. [Google Scholar] [CrossRef]
  12. Threadgill, P.L.; Leonard, A.J.; Shercliff, H.R.; Withers, P.J. Friction stir welding of aluminium alloys. Int. Mater. Rev. 2009, 54, 49–93. [Google Scholar] [CrossRef]
  13. Akabari, M.; Aliha, M.R.M.; Keshavarz, S.M.E.; Bonyadi, A. Effect of tool parameters on mechanical properties, temperature, and force generation during FSW. Proc. Inst. Mech. Eng. Part L J. Mater. Des. Appl. 2019, 233, 1033–1043. [Google Scholar] [CrossRef]
  14. Memon, S.; Fydrych, D.; Fernandez, A.C.; Derazkola, H.A.; Derazkola, H.A. Effects of FSW tool plunge depth on properties of an Al-Mg-Si alloy T-joint: Thermomechanical modeling and experimental evaluation. Materials 2021, 14, 4754. [Google Scholar] [CrossRef]
  15. Murr, L.E. A review of FSW research on dissimilar metal and alloy systems. J. Mater. Eng. Perform. 2010, 19, 1071–1089. [Google Scholar] [CrossRef]
  16. Krasnowski, K.; Hamilton, C.; Dymek, S. Influence of the tool shape and weld configuration on microstructure and mechanical properties of the Al 7082 alloy FSW joints. Arch. Civ. Mech. Eng. 2015, 15, 133–141. [Google Scholar] [CrossRef]
  17. Cho, H.H.; Hong, S.T.; Roh, J.H.; Choi, H.S.; Kang, S.H.; Steel, R.J.; Han, H.N. Three-dimensional numerical and experimental investigation on friction stir welding process of ferritic stainless steel. Acta Mater. 2013, 61, 2649–2661. [Google Scholar] [CrossRef]
  18. Kadian, A.K.; Biswas, P. A comparative study of material flow behavior in friction stir welding using laminar and turbulent models. J. Mater. Eng. Perform. 2015, 24, 4119–4127. [Google Scholar] [CrossRef]
  19. Xie, Y.; Meng, X.; Huang, Y. Entire-process simulation of friction stir welding—Part 1: Experiments and simulation. Weld. J. 2022, 101, 144-s–159-s. [Google Scholar] [CrossRef]
  20. Xie, Y.; Meng, X.; Huang, Y. Entire-process simulation of friction stir welding—Part 2: Implementation of neural networks. Weld. J. 2022, 101, 172–177. [Google Scholar] [CrossRef]
  21. Huang, Y.; Xie, Y.; Meng, X.; Li, J.; Zhou, L. Joint formation mechanism of high depth-to-width ratio friction stir welding. J. Mater. Sci. Technol. 2019, 35, 1261–1269. [Google Scholar] [CrossRef]
  22. Huang, Y.; Xie, Y.; Meng, X.; Lv, Z.; Cao, J. Numerical design of high depth-to-width ratio friction stir welding. J. Mater. Process. Technol. 2018, 252, 233–241. [Google Scholar] [CrossRef]
  23. Gummer, A.; Sauer, B. Modeling planar slider-crank mechanisms with clearance joints in RecurDyn. Multibody Syst. Dyn. 2014, 31, 127–145. [Google Scholar] [CrossRef]
  24. Yun, S.M.; Kim, S.P.; Chung, S.M.; Shin, W.J.; Cho, D.S.; Park, J.C. Structural Safety Assessment of Connection between Sloshing Tank and 6-DOF Platform Using Co-Simulation of Fluid and Multi-Flexible-Body Dynamics. Water 2020, 12, 2108. [Google Scholar] [CrossRef]
  25. Yamasaki, N.; Shima, S.; Tsunenari, L.; Hayashi, S.; Doki, M. Particle-based numerical analysis of spray water flow in secondary cooling of continuous casting machines. ISIJ Int. 2015, 55, 976–983. [Google Scholar] [CrossRef]
  26. Zhu, X.; Sun, M.; He, T.; Yu, K.; Zong, L.; Choi, J.H. Study of the Cone-Shaped Drogue for a Deep-Towed Multi-Channel Seismic Survey System Based on Data-Driven Simulations. J. Mar. Sci. Eng. 2021, 9, 1367. [Google Scholar] [CrossRef]
  27. Fischer-Cripps, A.C. The Hertzian contact surface. J. Mater. Sci. 1999, 34, 129–137. [Google Scholar] [CrossRef]
  28. RecurDyn Online Help. Available online: http://dev.functionbay.com/RecurDynOnlineHelp/V9R5 (accessed on 27 August 2022).
Figure 1. Power converter model.
Figure 1. Power converter model.
Applsci 12 09847 g001
Figure 2. Principle of friction stir welding.
Figure 2. Principle of friction stir welding.
Applsci 12 09847 g002
Figure 3. Friction stir welding analysis model.
Figure 3. Friction stir welding analysis model.
Applsci 12 09847 g003
Figure 4. Physical time required to achieve the velocity of 600 mm/min.
Figure 4. Physical time required to achieve the velocity of 600 mm/min.
Applsci 12 09847 g004
Figure 5. Reaction force depending on the vertical downward displacement of the welding tool: (a) Reaction force of the cover; (b) vertical downward displacement of the welding tool.
Figure 5. Reaction force depending on the vertical downward displacement of the welding tool: (a) Reaction force of the cover; (b) vertical downward displacement of the welding tool.
Applsci 12 09847 g005
Figure 6. 8 Fixing clamps applied.
Figure 6. 8 Fixing clamps applied.
Applsci 12 09847 g006
Figure 7. Contact area between housing and cover.
Figure 7. Contact area between housing and cover.
Applsci 12 09847 g007
Figure 8. Deflection data of cover under a 1.2 ton load: (a) +Z direction; (b) −Z direction.
Figure 8. Deflection data of cover under a 1.2 ton load: (a) +Z direction; (b) −Z direction.
Applsci 12 09847 g008
Figure 9. Maximum deflection of the cover along the upward and downward directions: (a) Deflection along +Z direction; (b) Deflection along −Z direction.
Figure 9. Maximum deflection of the cover along the upward and downward directions: (a) Deflection along +Z direction; (b) Deflection along −Z direction.
Applsci 12 09847 g009
Figure 10. Normal force of FE body due to welding tool load.
Figure 10. Normal force of FE body due to welding tool load.
Applsci 12 09847 g010
Figure 11. Stress data of the cover according to welding tool load: (a) maximum stress under the 1.2 ton load; (b) maximum stress data under the 1.2 ton load; (c) stress data by load; (d) maximum stress value by load.
Figure 11. Stress data of the cover according to welding tool load: (a) maximum stress under the 1.2 ton load; (b) maximum stress data under the 1.2 ton load; (c) stress data by load; (d) maximum stress value by load.
Applsci 12 09847 g011
Figure 12. Deflection data of the cover depending on the welding tool load: (a) deflection data in the +Z direction under load; (b) maximum displacement in the +Z direction under load; (c) deflection data in the −Z direction under load; (d) maximum displacement in the −Z direction under load.
Figure 12. Deflection data of the cover depending on the welding tool load: (a) deflection data in the +Z direction under load; (b) maximum displacement in the +Z direction under load; (c) deflection data in the −Z direction under load; (d) maximum displacement in the −Z direction under load.
Applsci 12 09847 g012aApplsci 12 09847 g012b
Figure 13. Six points at which frictional heat is applied, and flatness line.
Figure 13. Six points at which frictional heat is applied, and flatness line.
Applsci 12 09847 g013
Figure 14. Deflection data of the cover in the +Z direction according to the presence or absence of frictional heat: (a) frictional heat data; (b) displacement in the +Z direction when only frictional heat is applied; (c) displacement in the +Z direction when welding tool load of 1.1 tons and frictional heat are applied simultaneously; (d) comparison of data with displacement that occurs when only the 1.1-ton welding tool load is applied.
Figure 14. Deflection data of the cover in the +Z direction according to the presence or absence of frictional heat: (a) frictional heat data; (b) displacement in the +Z direction when only frictional heat is applied; (c) displacement in the +Z direction when welding tool load of 1.1 tons and frictional heat are applied simultaneously; (d) comparison of data with displacement that occurs when only the 1.1-ton welding tool load is applied.
Applsci 12 09847 g014
Figure 15. Organized form results obtained in the presence and absence of frictional heat at the six points.
Figure 15. Organized form results obtained in the presence and absence of frictional heat at the six points.
Applsci 12 09847 g015
Figure 16. +Z directional deflection image of each point.
Figure 16. +Z directional deflection image of each point.
Applsci 12 09847 g016
Figure 17. Deflection range in the −Z direction under the 1.1 ton welding tool load.
Figure 17. Deflection range in the −Z direction under the 1.1 ton welding tool load.
Applsci 12 09847 g017
Figure 18. Comparison of fixing clamp application results.
Figure 18. Comparison of fixing clamp application results.
Applsci 12 09847 g018
Figure 19. Comparison of data based on application of a fixing clamp: (a) displacement in the +Z direction when welding tool load of 1.1 tons and frictional heat are applied simultaneously; (b) organized results obtained at the six points in the presence and absence of the fixing clamp.
Figure 19. Comparison of data based on application of a fixing clamp: (a) displacement in the +Z direction when welding tool load of 1.1 tons and frictional heat are applied simultaneously; (b) organized results obtained at the six points in the presence and absence of the fixing clamp.
Applsci 12 09847 g019
Figure 20. +Z directional deflection image of each point.
Figure 20. +Z directional deflection image of each point.
Applsci 12 09847 g020
Figure 21. FVM modeling.
Figure 21. FVM modeling.
Applsci 12 09847 g021
Figure 22. Velocity distribution along X direction in the constant velocity state: (a) velocity distribution; (b) area with a velocity of 0.1 m/s or higher.
Figure 22. Velocity distribution along X direction in the constant velocity state: (a) velocity distribution; (b) area with a velocity of 0.1 m/s or higher.
Applsci 12 09847 g022
Figure 23. X direction velocity data: (a) progress velocity of 10 mm/s; (b) progress velocity of 25 mm/s.
Figure 23. X direction velocity data: (a) progress velocity of 10 mm/s; (b) progress velocity of 25 mm/s.
Applsci 12 09847 g023
Figure 24. Correlations between progress velocity and rotation velocity of welding tool in the X direction.
Figure 24. Correlations between progress velocity and rotation velocity of welding tool in the X direction.
Applsci 12 09847 g024
Figure 25. Y direction velocity distribution in constant velocity state: (a) velocity distribution; (b) area with a velocity of 0.1 m/s or higher.
Figure 25. Y direction velocity distribution in constant velocity state: (a) velocity distribution; (b) area with a velocity of 0.1 m/s or higher.
Applsci 12 09847 g025
Figure 26. Y direction velocity data: (a) progress velocity of 10 mm/s; (b) progress velocity of 25 mm/s.
Figure 26. Y direction velocity data: (a) progress velocity of 10 mm/s; (b) progress velocity of 25 mm/s.
Applsci 12 09847 g026
Figure 27. Correlations of progress and rotation velocities of welding tool along the Y direction: (a) front and rear data of pin; (b) velocity difference between front and rear data.
Figure 27. Correlations of progress and rotation velocities of welding tool along the Y direction: (a) front and rear data of pin; (b) velocity difference between front and rear data.
Applsci 12 09847 g027
Figure 28. Sample weld and welding defects.
Figure 28. Sample weld and welding defects.
Applsci 12 09847 g028
Figure 29. High-quality weld.
Figure 29. High-quality weld.
Applsci 12 09847 g029
Table 1. Material properties.
Table 1. Material properties.
PropertyAL5052
(Housing, Cover)
Titanium Alloy
(Welding Tool)
Density ( kg / m 3 )26804500
Young’s Modulus (GPa)69.3110
Poisson’s Ratio0.330.33
Yield Strength (MPa)193800
Tensile Strength (MPa)228860
Thermal Coefficient (1/°C)2.38 × 10−5-
Thermal Reference Temp. (°C)20-
Specific Heat (J/(kg °C))880-
Thermal Conductivity (W/(m °C))138-
Table 2. Contact conditions.
Table 2. Contact conditions.
TargetCoefficient
Stiffness (N/mm)50,000–100,000
Damping (kg/s)5–10
Table 3. Displacement data of the welding tool for the reaction force generated after contact.
Table 3. Displacement data of the welding tool for the reaction force generated after contact.
Reaction Force (N)Vertical Downward Displacement (mm)
11,772 (1.2 ton)0.342
10,791 (1.1 ton)0.328
9810 (1.0 ton)0.313
8829 (0.9 ton)0.297
7848 (0.8 ton)0.280
Table 4. Comparison of the theoretically calculated and analytically determined data.
Table 4. Comparison of the theoretically calculated and analytically determined data.
DataNumericalAnalysisError Rate
−Z direction max. displacement (mm)0.3030.3050.7%
Table 5. Comparison of stress data for different welding tool loads.
Table 5. Comparison of stress data for different welding tool loads.
Welding Tool Load (N)Max. Stress (MPa)Decrease Rate (%)
11,772 (1.2 ton)83.53default
10,791 (1.1 ton)79.665
9810 (1.0 ton)72.1914
8829 (0.9 ton)67.6719
7848 (0.8 ton)61.6226
Table 6. Comparison of deflection data according to welding tool load.
Table 6. Comparison of deflection data according to welding tool load.
Welding Tool Load (N)+Z Direction
Max. Displacement (mm)
Decrease Rate (%)−Z Direction
Max. Displacement (mm)
Decrease Rate (%)
11,772 (1.2 ton)0.079default0.305default
10,791 (1.1 ton)0.07550.2924
9810 (1.0 ton)0.071100.2779
8829 (0.9 ton)0.066160.26314
7848 (0.8 ton)0.062220.24719
Table 7. Comparison of +Z direction deflection data in the presence and absence of frictional heat.
Table 7. Comparison of +Z direction deflection data in the presence and absence of frictional heat.
Point No.+Z Direction Max. Displacement (mm)
Thermal Load1.1 tonThermal Load + 1.1 ton
10.0940.0550.063
20.0860.0590.071
30.0910.060.071
40.0910.0580.064
50.0830.0750.082
60.0990.0320.065
Table 8. Comparison of deflection data due to dynamic behavior of welding tools.
Table 8. Comparison of deflection data due to dynamic behavior of welding tools.
Data+Z Direction Max. Displacement (mm)Decrease Rate (%)
Without Fixing ClampWith Fixing Clamp
Max0.0750.05231
Average0.0360.02239
Table 9. Comparison of data obtained in the cases with without the fixing clamp.
Table 9. Comparison of data obtained in the cases with without the fixing clamp.
Point No.+Z Direction Max. Displacement (mm)Decrease Rate (%)
Without Fixing ClampWith Fixing Clamp
10.0630.02363
20.0710.02861
30.0710.01875
40.060.02853
50.0820.01680
60.0350.02431
Table 10. Base material properties in softened state.
Table 10. Base material properties in softened state.
PropertyBase Metal (Aluminum)
Density ( kg / m 3 )2350
Kinematic Viscosity ( m 2 /s)2.34 × 10−7
Surface Tension Coefficient (N/m)0.52
Table 11. Analysis case.
Table 11. Analysis case.
CaseValue Range
Rotation Velocity (RPM)1100–2000
Progress Velocity (mm/s)10–25
Publisher’s Note: MDPI stays neutral with regard to jurisdictional claims in published maps and institutional affiliations.

Share and Cite

MDPI and ACS Style

Cha, W.-Y.; Im, S.-B.; Kim, J.-W.; Kang, D.-G. The Simulation of the Dynamic Characteristics of Friction Stir Welding and the Structural Deflection of Base Materials. Appl. Sci. 2022, 12, 9847. https://doi.org/10.3390/app12199847

AMA Style

Cha W-Y, Im S-B, Kim J-W, Kang D-G. The Simulation of the Dynamic Characteristics of Friction Stir Welding and the Structural Deflection of Base Materials. Applied Sciences. 2022; 12(19):9847. https://doi.org/10.3390/app12199847

Chicago/Turabian Style

Cha, Woon-Yong, Se-Bin Im, Jae-Won Kim, and Dae-Gwan Kang. 2022. "The Simulation of the Dynamic Characteristics of Friction Stir Welding and the Structural Deflection of Base Materials" Applied Sciences 12, no. 19: 9847. https://doi.org/10.3390/app12199847

APA Style

Cha, W.-Y., Im, S.-B., Kim, J.-W., & Kang, D.-G. (2022). The Simulation of the Dynamic Characteristics of Friction Stir Welding and the Structural Deflection of Base Materials. Applied Sciences, 12(19), 9847. https://doi.org/10.3390/app12199847

Note that from the first issue of 2016, this journal uses article numbers instead of page numbers. See further details here.

Article Metrics

Back to TopTop