Training of an Extreme Learning Machine Autoencoder Based on an Iterative Shrinkage-Thresholding Optimization Algorithm
Abstract
:1. Introduction
- We present a novel method for computing the output layer weights of the ELM-AE network that avoids the need for the Moore–Penrose inverse. Instead of solving the linear system analytically, we use first-order iterative algorithms from the class of shrinkage-thresholding algorithms to minimize the output weights of the ELM-AE.
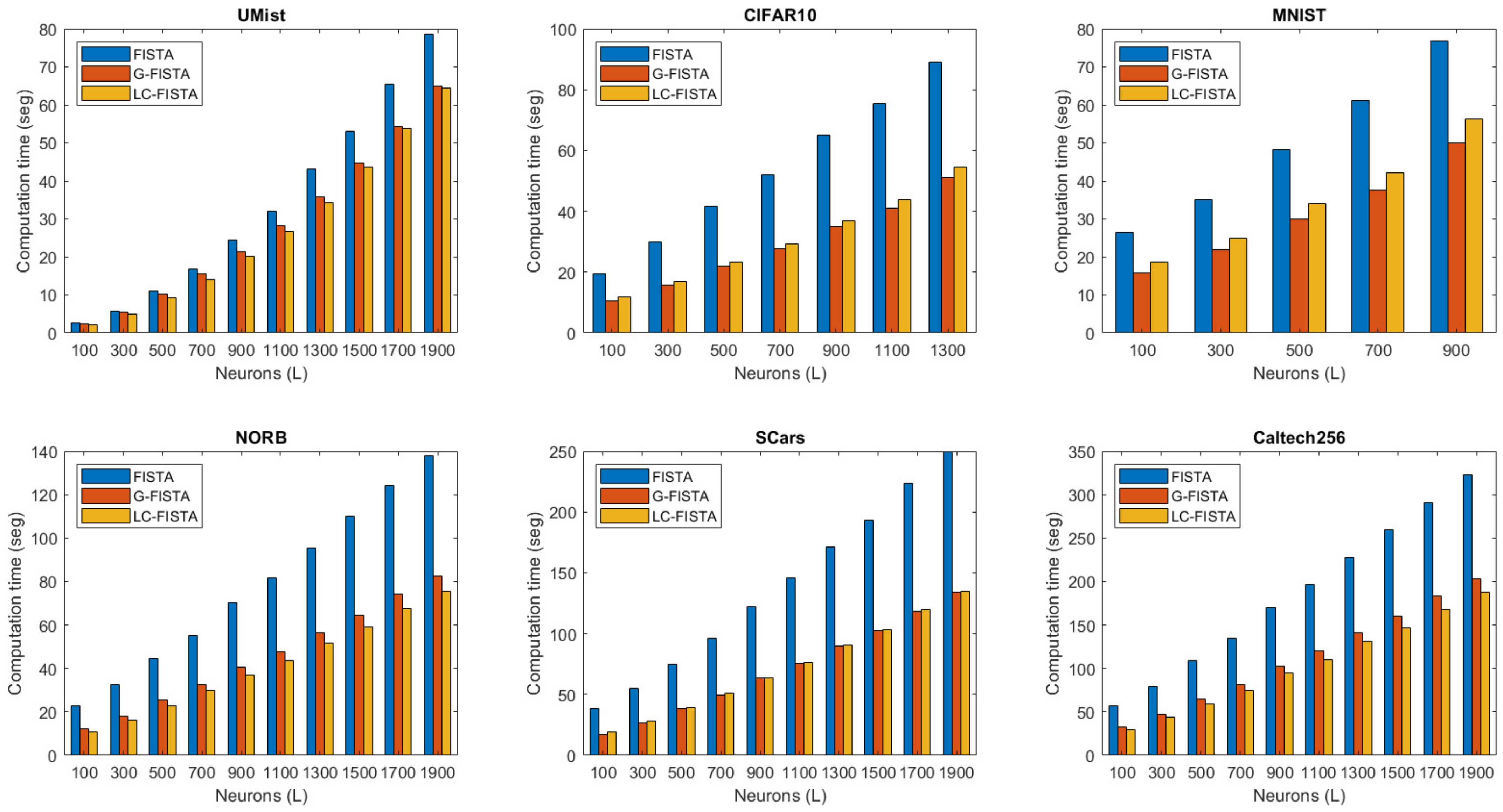
- We demonstrate experimentally that the proposed method can effectively improve the computational time of the FISTA algorithm while maintaining its generalization capability. According to the theory presented in [47], the ELM-AE experiences a better performance when it achieves the lowest training error.
- Compared to FISTA, the G-FISTA, and LC-FISTA algorithms show a considerable improvement in the training time of the ELM-AE, for all of the databases, and a very competitive reconstruction capability. Thus, applying this mathematical tool in other contexts would constitute a significant scientific contribution.
2. ELM-AE and Shrinkage-Thresholding Algorithms
2.1. Extreme Learning Machine Autoencoder
2.2. The Shrinkage-Thresholding Class of Optimization Algorithms
2.2.1. Fast Iterative Shrinkage Thresholding Algorithm
- (1)
- Update: .
- (2)
- Execute the intermediate step: .
- (3)
- Update: .
2.2.2. Greedy FISTA
- (1)
- Update: .
- (2)
- Update: .
- (3)
- Restart: if , then .
- (4)
- Safeguard: if , then .
2.2.3. Linearly Convergent FISTA
- (1)
- Set both , and , , y .
- (2)
- Update: .
- (3)
- Update: .
- (4)
- Update: .
3. Proposed Method of Training ELM-AEs Based on G-FISTA and LC-FISTA
4. Experimental Evaluation
4.1. Hardware, Software and Databases
- (1)
- MNIST. This dataset contains 70,000 images of handwritten digits from zero to nine. These are grayscale images of size pixels which generate a vector of 784 components.
- (2)
- NORB. This consists of 48,600 grayscale stereo images of 50 toys from five generic classes: cars, four-legged animals, human figures, airplanes, and trucks. The size of the images is pixels, and the output is a vector of = 18,432 components.
- (3)
- CIFAR10. This dataset consists of 60,000 color images distributed into 10 classes: airplanes, birds, automobiles, cats, dogs, frogs, deer, ships, horses, and trucks. The number of images per class is 6000, with 5000 used for training and the remainder for testing. In this experiment, the color images were converted to grayscale and had a size of pixels.
- (4)
- UMist. This contains 575 grayscale images of 20 people, showing individuals in different positions. The images are rectangular, with a size of pixels.
- (5)
- Caltech256. This dataset contains 30,607 color images grouped into 257 categories, each of which contain at least 80 images. For the purposes of this study, the images were converted to grayscale and had a size of pixels.
- (6)
- Stanford Cars (SCars). The Stanford Cars dataset contains 16,185 images of 196 categories of automobiles. For training, the color images were converted to grayscale images of size pixels.
| Algorithm 1 Training of the ELM-AE with FISTA, G-FISTA, and LC-FISTA. |
| Require: training set , maximum number of iterations I, stopping criterion P, number of neurons L, regularization parameter . 1: Random and orthogonal assignment of weights and biases in the hidden layer. 2: Calculation of the matrix evaluating g in the terms . 3: while P does not occur do 4: Calculate the optimal value of (4) using the G-FISTA or LC-FISTA algorithms for and . 5: end while |
4.2. Selection of Evaluation Metrics
4.3. Experimental Setup
4.4. Representation of Features with Different Numbers of Neurons
5. Discussion
6. Conclusions
Author Contributions
Funding
Institutional Review Board Statement
Informed Consent Statement
Data Availability Statement
Acknowledgments
Conflicts of Interest
Abbreviations
| ELM | Extreme learning machine |
| ELM-AE | Extreme learning machine autoencoder |
| K-ELM | Kernel-ELM |
| FISTA | Fast iterative shrinkage-thresholding algorithm |
| G-FISTA | Greedy FISTA |
| LC-FISTA | Linearly convergent FISTA |
| RMSE | Root mean square error |
| MAE | Mean absolute error |
| R | R score |
| IA | Index of agreement |
| TIC | Theil inequality coefficient |
| MIN | Minimum error |
| MAX | Maximum error |
| PSO | Particle swarm optimization |
| CPU | Central processing unit |
| GPU | Graphics processing unit |
References
- He, X.; Ji, M.; Zhang, C.; Bao, H. A variance minimization criterion to feature selection using laplacian regularization. IEEE Trans. Pattern Anal. Mach. Intell. 2011, 33, 2013–2025. [Google Scholar] [PubMed]
- Dong, G.; Liao, G.; Liu, H.; Kuang, G. A review of the autoencoder and its variants: A comparative perspective from target recognition in synthetic-aperture radar images. IEEE Geosci. Remote Sens. Mag. 2018, 6, 44–68. [Google Scholar] [CrossRef]
- Leijnen, S.; Veen, F.V. The Neural Network Zoo. Proceedings 2020, 47, 9. [Google Scholar]
- Baldi, P.; Sadowski, P.; Lu, Z. Learning in the machine: Random backpropagation and the deep learning channel. Artif. Intell. 2018, 260, 1–35. [Google Scholar] [CrossRef]
- Meng, L.; Ding, S.; Xue, Y. Research on denoising sparse autoencoder. Int. J. Mach. Learn. Cybern. 2017, 8, 1719–1729. [Google Scholar] [CrossRef]
- Meng, L.; Ding, S.; Zhang, N.; Zhang, J. Research of stacked denoising sparse autoencoder. Neural Comput. Appl. 2018, 30, 2083–2100. [Google Scholar] [CrossRef]
- Li, R.; Li, S.; Xu, K.; Li, X.; Lu, J.; Zeng, M. A Novel Symmetric Stacked Autoencoder for Adversarial Domain Adaptation Under Variable Speed. IEEE Access 2022, 10, 24678–24689. [Google Scholar] [CrossRef]
- Luo, X.; Li, X.; Wang, Z.; Liang, J. Discriminant autoencoder for feature extraction in fault diagnosis. Chemom. Intell. Lab. Syst. 2019, 192, 103814. [Google Scholar] [CrossRef]
- Soydaner, D. Hyper Autoencoders. Neural Process. Lett. 2020, 52, 1395–1413. [Google Scholar] [CrossRef]
- Huang, G.B.; Zhu, Q.Y.; Siew, C.K. Extreme learning machine: Theory and applications. Neurocomputing 2006, 70, 489–501. [Google Scholar] [CrossRef]
- Huang, G.; Song, S.; Gupta, J.N.D.; Wu, C. Semi-Supervised and Unsupervised Extreme Learning Machines. IEEE Trans. Cybern. 2014, 44, 2405–2417. [Google Scholar] [CrossRef] [PubMed]
- Chen, J.; Zeng, Y.; Li, Y.; Huang, G.B. Unsupervised feature selection based extreme learning machine for clustering. Neurocomputing 2020, 386, 198–207. [Google Scholar] [CrossRef]
- Huang, G.; Huang, G.B.; Song, S.; You, K. Trends in extreme learning machines: A review. Neural Netw. 2015, 61, 32–48. [Google Scholar] [CrossRef] [PubMed]
- Huang, G.B.; Zhou, H.; Ding, X.; Zhang, R. Extreme learning machine for regression and multiclass classification. IEEE Trans. Syst. Man Cybern. Part B-Cybern. 2012, 42, 513–529. [Google Scholar] [CrossRef]
- Bai, Z.; Huang, G.B.; Wang, D.; Wang, H.; Westover, M.B. Sparse extreme learning machine for classification. IEEE Trans. Cybern. 2014, 44, 1858–1870. [Google Scholar] [CrossRef]
- Liang, N.Y.; Huang, G.B.; Saratchandran, P.; Sundararajan, N. A fast and accurate online sequential learning algorithm for feedforward networks. IEEE Trans. Neural Netw. 2006, 17, 1411–1423. [Google Scholar] [CrossRef]
- Ma, J.; Yu, S.; Cheng, W. Composite Fault Diagnosis of Rolling Bearing Based on Chaotic Honey Badger Algorithm Optimizing VMD and ELM. Machines 2022, 10, 469. [Google Scholar] [CrossRef]
- Cui, H.; Guan, Y.; Chen, H. Rolling element fault diagnosis based on VMD and sensitivity MCKD. IEEE Access 2021, 9, 120297–120308. [Google Scholar] [CrossRef]
- An, Z.; Wang, X.; Li, B.; Xiang, Z.; Zhang, B. Robust visual tracking for UAVs with dynamic feature weight selection. Appl. Intell. 2022. [Google Scholar] [CrossRef]
- Eshtay, M.; Faris, H.; Obeid, N. Metaheuristic-based extreme learning machines: A review of design formulations and applications. Int. J. Mach. Learn. Cybern. 2019, 10, 1543–1561. [Google Scholar] [CrossRef]
- Li, G.; Li, Y.; Chen, H.; Deng, W. Fractional-order controller for course-keeping of underactuated surface vessels based on frequency domain specification and improved particle swarm optimization algorithm. Appl. Sci. 2022, 12, 3139. [Google Scholar] [CrossRef]
- Zhou, X.; Ma, H.; Gu, J.; Chen, H.; Deng, W. Parameter adaptation-based ant colony optimization with dynamic hybrid mechanism. Eng. Appl. Artif. Intell. 2022, 114, 105–139. [Google Scholar] [CrossRef]
- Ali, M.; Deo, R.C.; Xiang, Y.; Prasad, R.; Li, J.; Farooque, A.; Yaseen, Z.M. Coupled online sequential extreme learning machine model with ant colony optimization algorithm for wheat yield prediction. Sci. Rep. 2022, 12, 5488. [Google Scholar] [CrossRef]
- Chen, H.; Miao, F.; Chen, Y.; Xiong, Y.; Chen, T. A hyperspectral image classification method using multifeature vectors and optimized KELM. IEEE J. Sel. Top. Appl. Earth Observ. Remote Sens. 2021, 14, 2781–2795. [Google Scholar] [CrossRef]
- Chamara, L.; Zhou, H.; Huang, G.B.; Vong, C.M. Representation learning with extreme learning machine for big data. IEEE Intell. Syst. 2013, 28, 31–34. [Google Scholar]
- Tang, J.; Deng, C.; Huang, G.B. Extreme learning machine for multilayer perceptron. IEEE Trans. Neural Netw. Learn. Syst. 2016, 27, 809–821. [Google Scholar] [CrossRef]
- Sun, K.; Zhang, J.; Zhang, C.; Hu, J. Generalized extreme learning machine autoencoder and a new deep neural network. Neurocomputing 2017, 230, 374–381. [Google Scholar] [CrossRef]
- Ge, H.; Sun, W.; Zhao, M.; Yao, Y. Stacked denoising extreme learning machine autoencoder based on graph embedding for feature representation. IEEE Access 2019, 7, 13433–13444. [Google Scholar] [CrossRef]
- Wang, J.; Guo, P.; Li, Y. DensePILAE: A feature reuse pseudoinverse learning algorithm for deep stacked autoencoder. Complex Intell. Syst. 2021, 8, 2039–2049. [Google Scholar] [CrossRef]
- Li, R.; Wang, X.; Lei, L.; Wu, C. Representation learning by hierarchical ELM auto-encoder with double random hidden layers. IET Comput. Vis. 2019, 13, 411–419. [Google Scholar] [CrossRef]
- Li, R.; Wang, X.; Song, Y.; Lei, L. Hierarchical extreme learning machine with L21-norm loss and regularization. Int. J. Mach. Learn. Cybern. 2021, 12, 1297–1310. [Google Scholar] [CrossRef]
- Liangjun, C.; Honeine, P.; Hua, Q.; Jihong, Z.; Xia, S. Correntropy-based robust multilayer extreme learning machines. Pattern Recognit. 2018, 84, 357–370. [Google Scholar] [CrossRef] [Green Version]
- Wong, C.M.; Vong, C.M.; Wong, P.K.; Cao, J. Kernel-based multilayer extreme learning machines for representation learning. IEEE Trans. Neural Netw. Learn. Syst. 2018, 29, 757–762. [Google Scholar] [CrossRef] [PubMed]
- Vong, C.M.; Chen, C.; Wong, P.K. Empirical kernel map-based multilayer extreme learning machines for representation learning. Neurocomputing 2018, 310, 265–276. [Google Scholar] [CrossRef]
- Paul, A.N.; Yan, P.; Yang, Y.; Zhang, H.; Du, S.; Wu, Q. Non-iterative online sequential learning strategy for autoencoder and classifier. Neural Comput. Appl. 2021, 33, 16345–16361. [Google Scholar] [CrossRef]
- Mirza, B.; Kok, S.; Dong, F. Multi-layer online sequential extreme learning machine for image classification. In Proceedings of ELM-2015 Volume 1; Springer: Berlin/Heidelberg, Germany, 2016; pp. 39–49. [Google Scholar]
- Tibshirani, R. Regression shrinkage and selection via the Lasso. J. R. Stat. Soc. B Methodol. 1996, 58, 267–288. [Google Scholar] [CrossRef]
- Beck, A.; Teboulle, M. A fast iterative shrinkage-thresholding algorithm for linear inverse problems. SIAM J. Imaging Sci. 2009, 2, 183–202. [Google Scholar] [CrossRef]
- Jiang, X.; Yan, T.; Zhu, J.; He, B.; Li, W.; Du, H.; Sun, S. Densely connected deep extreme learning machine algorithm. Cogn. Comput. 2020, 12, 979–990. [Google Scholar] [CrossRef]
- Zhao, H.; Ding, S.; Li, X.; Huang, H. Deep neural network structured sparse coding for online processing. IEEE Access 2018, 6, 74778–74791. [Google Scholar] [CrossRef]
- Liu, D.; Liang, C.; Chen, S.; Tie, Y.; Qi, L. Auto-encoder based structured dictionary learning for visual classification. Neurocomputing 2021, 438, 34–43. [Google Scholar] [CrossRef]
- Janngam, K.; Wattanataweekul, R. A New Accelerated Fixed-Point Algorithm for Classification and Convex Minimization Problems in Hilbert Spaces with Directed Graphs. Symmetry 2022, 14, 1059. [Google Scholar] [CrossRef]
- Chumpungam, D.; Sarnmeta, P.; Suantai, S. An Accelerated Convex Optimization Algorithm with Line Search and Applications in Machine Learning. Mathematics 2022, 10, 1491. [Google Scholar] [CrossRef]
- Liang, J.; Luo, T.; Schönlieb, C.B. Improving “Fast Iterative Shrinkage-Thresholding Algorithm”: Faster, Smarter, and Greedier. SIAM J. Sci. Comput. 2022, 44, A1069–A1091. [Google Scholar] [CrossRef]
- Bussaban, L.; Kaewkhao, A.; Suantai, S. Inertial s-iteration forward-backward algorithm for a family of nonexpansive operators with applications to image restoration problems. Filomat 2021, 35, 771–782. [Google Scholar] [CrossRef]
- Chambolle, A.; Dossal, C. On the convergence of the iterates of the “fast iterative shrinkage/thresholding algorithm”. J. Optim. Theory Appl. 2015, 166, 968–982. [Google Scholar] [CrossRef]
- Bartlett, P. The sample complexity of pattern classification with neural networks: The size of the weights is more important than the size of the network. IEEE Trans. Inf. Theory 1998, 44. [Google Scholar] [CrossRef]
- Beck, A.; Teboulle, M. Gradient-based algorithms with applications to signal recovery. In Convex Optimization in Signal Processing and Communications; Cambridge University Press: Cambridge, UK, 2009; pp. 42–88. [Google Scholar]
- Chen, L.; Xiao, Y.; Yang, T. Application of the improved fast iterative shrinkage-thresholding algorithms in sound source localization. Appl. Acoust. 2021, 180, 108101. [Google Scholar] [CrossRef]
- Calatroni, L.; Chambolle, A. Backtracking strategies for accelerated descent methods with smooth composite objectives. SIAM J. Optim. 2019, 29, 1772–1798. [Google Scholar] [CrossRef]
- Sun, P.; Yang, L. Generalized eigenvalue extreme learning machine for classification. Appl. Intell. 2022, 52, 6662–6691. [Google Scholar] [CrossRef]
- Tikhonov, A.N.; Arsenin, V.Y. Solutions of Ill-Posed Problems; V.H. Winston: Washington, DC, USA, 1977. [Google Scholar]
- Niu, X.; Wang, J.; Zhang, L. Carbon price forecasting system based on error correction and divide-conquer strategies. Appl. Soft. Comput. 2022, 118, 107935. [Google Scholar] [CrossRef]
- Hao, Y.; Niu, X.; Wang, J. Impacts of haze pollution on China’s tourism industry: A system of economic loss analysis. J. Environ. Econ. Manag. 2021, 295, 113051. [Google Scholar] [CrossRef] [PubMed]


| Dataset | # Training | # Testing | # Features | # Category |
|---|---|---|---|---|
| UMist | 400 | 175 | 10,304 | 20 |
| CIFAR10 | 50,000 | 10,000 | 1024 | 10 |
| MNIST | 60,000 | 10,000 | 784 | 10 |
| NORB | 24,300 | 24,300 | 18,432 | 5 |
| SCars | 8144 | 8041 | 9312 | 196 |
| Caltech256 | 21,314 | 9293 | 10,000 | 257 |
| Metric | Definition | Mathematical Expression |
|---|---|---|
| RMSE | Root mean square error | |
| MAE | Mean absolute error | |
| score | ||
| IA | Willmott’s index of agreement | |
| TIC | Theil inequality coefficient | |
| MIN | Minimum error | |
| MAX | Maximum error |
| Algorithm | Regularization Parameter | |||
|---|---|---|---|---|
| UMist | NORB | SCars | Caltech256 | |
| FISTA | 0.001 | 10 | 0.001 | 1 |
| G-FISTA | 0.001 | 100 | 0.01 | 0.1 |
| LC-FISTA | 0.01 | 100 | 0.1 | 0.01 |
| L | Algorithm | RMSE | Training Time (Seg) | ||||||||||
|---|---|---|---|---|---|---|---|---|---|---|---|---|---|
| CIFAR10 | UMist | MNIST | NORB | SCars | Caltech256 | CIFAR10 | UMist | MNIST | NORB | SCars | Caltech256 | ||
| 100 | FISTA | 0.0751 | 0.0583 | 0.0856 | 0.0385 | 0.1284 | 0.1205 | 21.92 | 2.92 | 25.47 | 22.33 | 38.22 | 63.61 |
| G-FISTA | 0.0753 | 0.0580 | 0.0856 | 0.0385 | 0.1285 | 0.1205 | 12.31 | 2.40 | 16.73 | 12.09 | 18.73 | 35.73 | |
| LC-FISTA | 0.0751 | 0.0579 | 0.0855 | 0.0385 | 0.1285 | 0.1205 | 12.91 | 2.34 | 18.97 | 11.17 | 20.61 | 33.03 | |
| 500 | FISTA | 0.0242 | 0.0368 | 0.0096 | 0.0193 | 0.088 | 0.0836 | 48.46 | 11.42 | 51.24 | 48.40 | 83.23 | 122.15 |
| G-FISTA | 0.0242 | 0.0373 | 0.0096 | 0.0193 | 0.088 | 0.0836 | 26.97 | 10.27 | 32.06 | 26.49 | 42.16 | 75.94 | |
| LC-FISTA | 0.0242 | 0.0370 | 0.0096 | 0.0193 | 0.088 | 0.0837 | 27.61 | 9.49 | 35.92 | 24.26 | 42.52 | 69.93 | |
| 1000 | FISTA | 0.0019 | 0.0288 | — | 0.0044 | 0.0718 | 0.0681 | 78.80 | 29.78 | — | 80.18 | 153.88 | 211.51 |
| G-FISTA | 0.0019 | 0.0298 | — | 0.0044 | 0.0718 | 0.0681 | 43.14 | 26.82 | — | 46.54 | 80.08 | 125.85 | |
| LC-FISTA | 0.0019 | 0.0294 | — | 0.0044 | 0.0718 | 0.0681 | 44.83 | 25.07 | — | 42.34 | 78.60 | 118.25 | |
| 1500 | FISTA | — | 0.0244 | — | 0.0015 | 0.0617 | 0.0589 | — | 57.79 | — | 116.54 | 221.72 | 285.91 |
| G-FISTA | — | 0.0257 | — | 0.0015 | 0.0617 | 0.0589 | — | 48.39 | — | 69.18 | 117.10 | 176.85 | |
| LC-FISTA | — | 0.0253 | — | 0.0015 | 0.0617 | 0.0589 | — | 46.48 | — | 63.09 | 116.60 | 162.03 | |
| 2000 | FISTA | — | 0.0214 | — | 0.0003 | 0.0543 | 0.0522 | — | 96.09 | — | 161.86 | 297.65 | 379.08 |
| G-FISTA | — | 0.0229 | — | 0.0003 | 0.0543 | 0.0522 | — | 78.74 | — | 95.27 | 158.85 | 239.25 | |
| LC-FISTA | — | 0.0225 | — | 0.0003 | 0.0543 | 0.0522 | — | 75.55 | — | 86.17 | 162.87 | 222.65 | |
| L | Algorithm | MAE | Score | ||||||||||
|---|---|---|---|---|---|---|---|---|---|---|---|---|---|
| CIFAR10 | UMist | MNIST | NORB | SCars | Caltech256 | CIFAR10 | UMist | MNIST | NORB | SCars | Caltech256 | ||
| 100 | FISTA | 0.0546 | 0.0415 | 0.0489 | 0.0184 | 0.0921 | 0.0837 | 0.9009 | 0.9209 | 0.9241 | 0.9533 | 0.7896 | 0.8426 |
| G-FISTA | 0.0547 | 0.0413 | 0.0488 | 0.0185 | 0.0921 | 0.0837 | 0.9005 | 0.9217 | 0.9240 | 0.9533 | 0.7895 | 0.8426 | |
| LC-FISTA | 0.0547 | 0.0412 | 0.0488 | 0.0185 | 0.0921 | 0.0838 | 0.9005 | 0.9218 | 0.9241 | 0.9532 | 0.7896 | 0.8425 | |
| 500 | FISTA | 0.0181 | 0.0256 | 0.0046 | 0.0101 | 0.0625 | 0.0566 | 0.9894 | 0.9684 | 0.9991 | 0.9883 | 0.8994 | 0.9241 |
| G-FISTA | 0.0181 | 0.0258 | 0.0046 | 0.0101 | 0.0625 | 0.0566 | 0.9894 | 0.9677 | 0.9991 | 0.9883 | 0.8993 | 0.9241 | |
| LC-FISTA | 0.0181 | 0.0256 | 0.0047 | 0.0102 | 0.0625 | 0.0566 | 0.9894 | 0.9681 | 0.9991 | 0.9883 | 0.8994 | 0.9241 | |
| 1000 | FISTA | 0.0014 | 0.0201 | — | 0.0018 | 0.0508 | 0.0461 | 0.9999 | 0.9807 | — | 0.9994 | 0.9342 | 0.9497 |
| G-FISTA | 0.0014 | 0.0208 | — | 0.0018 | 0.0508 | 0.0461 | 0.9999 | 0.9793 | — | 0.9994 | 0.9342 | 0.9497 | |
| LC-FISTA | 0.0014 | 0.0205 | — | 0.0018 | 0.0508 | 0.0461 | 0.9999 | 0.9798 | — | 0.9994 | 0.9342 | 0.9497 | |
| 1500 | FISTA | — | 0.0172 | — | 0.0005 | 0.0440 | 0.0401 | — | 0.9861 | — | 0.9999 | 0.9515 | 0.9624 |
| G-FISTA | — | 0.0181 | — | 0.0005 | 0.0440 | 0.0401 | — | 0.9846 | — | 0.9999 | 0.9515 | 0.9624 | |
| LC-FISTA | — | 0.0178 | — | 0.0005 | 0.0440 | 0.0401 | — | 0.9851 | — | 0.9999 | 0.9515 | 0.9624 | |
| 2000 | FISTA | — | 0.0152 | — | 0.0001 | 0.0391 | 0.0358 | — | 0.9893 | — | 1.0000 | 0.9624 | 0.9704 |
| G-FISTA | — | 0.0163 | — | 0.0001 | 0.0391 | 0.0358 | — | 0.9878 | — | 1.0000 | 0.9624 | 0.9704 | |
| LC-FISTA | — | 0.0160 | — | 0.0001 | 0.0391 | 0.0358 | — | 0.9882 | — | 1.0000 | 0.9624 | 0.9704 | |
| L | Algorithm | IA | TIC | ||||||||||
|---|---|---|---|---|---|---|---|---|---|---|---|---|---|
| CIFAR10 | UMist | MNIST | NORB | SCars | Caltech256 | CIFAR10 | UMist | MNIST | NORB | SCars | Caltech256 | ||
| 100 | FISTA | 0.9734 | 0.9790 | 0.9799 | 0.9879 | 0.9386 | 0.9559 | 0.0700 | 0.0712 | 0.1288 | 0.0247 | 0.1207 | 0.0981 |
| G-FISTA | 0.9732 | 0.9793 | 0.9799 | 0.9879 | 0.9386 | 0.9559 | 0.0701 | 0.0708 | 0.1288 | 0.0247 | 0.1208 | 0.0981 | |
| LC-FISTA | 0.9733 | 0.9793 | 0.9800 | 0.9879 | 0.9386 | 0.9559 | 0.0701 | 0.0708 | 0.1288 | 0.0247 | 0.1208 | 0.0981 | |
| 500 | FISTA | 0.9973 | 0.9917 | 0.9998 | 0.9971 | 0.9729 | 0.9800 | 0.0228 | 0.0449 | 0.0121 | 0.0123 | 0.0829 | 0.0678 |
| G-FISTA | 0.9973 | 0.9917 | 0.9998 | 0.9971 | 0.9729 | 0.9800 | 0.0228 | 0.0454 | 0.0121 | 0.0123 | 0.0829 | 0.0678 | |
| LC-FISTA | 0.9973 | 0.9918 | 0.9998 | 0.9971 | 0.9729 | 0.9800 | 0.0228 | 0.0451 | 0.0121 | 0.0123 | 0.0829 | 0.0678 | |
| 1000 | FISTA | 1.0000 | 0.9951 | — | 0.9999 | 0.9827 | 0.9869 | 0.0018 | 0.0350 | — | 0.0028 | 0.0668 | 0.0551 |
| G-F ISTA | 1.0000 | 0.9948 | — | 0.9999 | 0.9827 | 0.9870 | 0.0018 | 0.0363 | — | 0.0028 | 0.0668 | 0.0551 | |
| LC-FISTA | 1.0000 | 0.9949 | — | 0.9999 | 0.9827 | 0.9869 | 0.0018 | 0.0358 | — | 0.0028 | 0.0669 | 0.0551 | |
| 1500 | FISTA | — | 0.9965 | — | 1.0000 | 0.9874 | 0.9903 | — | 0.0297 | — | 9.81 × 10 | 0.0573 | 0.0476 |
| G-FISTA | — | 0.9961 | — | 1.0000 | 0.9874 | 0.9903 | — | 0.0313 | — | 9.79 × 10 | 0.0573 | 0.0476 | |
| LC-FISTA | — | 0.9962 | — | 1.0000 | 0.9874 | 0.9903 | — | 0.0308 | — | 9.81 × 10 | 0.0573 | 0.0476 | |
| 2000 | FISTA | — | 0.9973 | — | 1.0000 | 0.9903 | 0.9924 | — | 0.0261 | — | 2.16 × 10 | 0.0505 | 0.0422 |
| G-FISTA | — | 0.9969 | — | 1.0000 | 0.9903 | 0.9924 | — | 0.0279 | — | 2.15 × 10 | 0.0505 | 0.0422 | |
| LC-FISTA | — | 0.9970 | — | 1.0000 | 0.9903 | 0.9924 | — | 0.0273 | — | 2.16 × 10 | 0.0505 | 0.0422 | |
| L | Algorithm | MIN | MAX | ||||||||||
|---|---|---|---|---|---|---|---|---|---|---|---|---|---|
| CIFAR10 | UMist | MNIST | NORB | SCars | Caltech256 | CIFAR10 | UMist | MNIST | NORB | SCars | Caltech256 | ||
| 100 | FISTA | 0.0093 | 0.0251 | 0.022 | 0.066 | 0.0204 | 0.0059 | 0.1225 | 0.0743 | 0.933 | 0.0531 | 0.1843 | 0.2533 |
| G-FISTA | 0.0095 | 0.0254 | 0.0224 | 0.0065 | 0.0206 | 0.0061 | 0.1211 | 0.0742 | 0.0953 | 0.0530 | 0.1818 | 0.2505 | |
| LC-FISTA | 0.0093 | 0.0250 | 0.0227 | 0.0066 | 0.0206 | 0.0060 | 0.1227 | 0.0742 | 0.0917 | 0.0533 | 0.1809 | 0.2528 | |
| 500 | FISTA | 0.0028 | 0.0127 | 0.0010 | 0.0038 | 0.0143 | 0.0040 | 0.0563 | 0.0465 | 0.0277 | 0.0346 | 0.1292 | 0.1814 |
| G-FISTA | 0.0027 | 0.0114 | 0.0009 | 0.0034 | 0.0143 | 0.0040 | 0.0564 | 0.0471 | 0.075 | 0.0348 | 0.1283 | 0.1811 | |
| LC-FISTA | 0.0028 | 0.0112 | 0.0009 | 0.0033 | 0.0144 | 0.0040 | 0.0563 | 0.0465 | 0.0278 | 0.0349 | 0.1290 | 0.1815 | |
| 1000 | FISTA | 0.0006 | 0.0069 | — | 0.0005 | 0.0124 | 0.0028 | 0.0175 | 0.0357 | — | 0.0176 | 0.1141 | 0.1599 |
| G-FISTA | 0.0006 | 0.0063 | — | 0.0005 | 0.0123 | 0.0028 | 0.0177 | 0.0373 | — | 0.0178 | 0.1138 | 0.1605 | |
| LC-FISTA | 0.0006 | 0.0058 | — | 0.0005 | 0.0123 | 0.0028 | 0.0176 | 0.0368 | — | 0.0177 | 0.1136 | 0.1602 | |
| 1500 | FISTA | — | 0.0038 | — | 5.3 × 10 | 0.0105 | 0.0020 | — | 0.0281 | — | 0.0084 | 0.1010 | 0.1382 |
| G-FISTA | — | 0.0037 | — | 5.4 × 10 | 0.0105 | 0.0020 | — | 0.0303 | — | 0.0082 | 0.1010 | 0.1380 | |
| LC-FISTA | — | 0.0033 | — | 5.4 × 10 | 0.0105 | 0.0020 | — | 0.0295 | — | 0.0082 | 0.1012 | 0.1375 | |
| 2000 | FISTA | — | 0.0028 | — | 1.7 × 10 | 0.0095 | 0.0017 | — | 0.0252 | — | 0.0047 | 0.0950 | 0.1244 |
| G-FISTA | — | 0.0029 | — | 1.7 × 10 | 0.0095 | 0.0017 | — | 0.0274 | — | 0.0048 | 0.0948 | 0.1249 | |
| LC-FISTA | — | 0.0025 | — | 1.6 × 10 | 0.0094 | 0.0017 | — | 0.0267 | — | 0.0047 | 0.0950 | 0.1244 | |
| Algorithm | RMSE | Training Time (Minutes) | ||||||
|---|---|---|---|---|---|---|---|---|
| UMist | NORB | SCars | Caltech256 | UMist | NORB | SCars | Caltech256 | |
| FISTA | 0.0211 | 0.0001 | 0.0537 | 0.0494 | 49 | 21 | 44 | 139 |
| G-FISTA | 0.0225 | 0.0001 | 0.0537 | 0.0494 | 40 | 12 | 27 | 85 |
| LC-FISTA | 0.0220 | 0.0001 | 0.0537 | 0.0494 | 37 | 11 | 26 | 70 |
| L | Algorithm | Training Time (Seg) | |||||
|---|---|---|---|---|---|---|---|
| CIFAR10 | UMist | MNIST | NORB | SCars | Caltech256 | ||
| 100 | G-FISTA | 43.84 | 17.80 | 34.31 | 45.85 | 50.99 | 43.82 |
| LC-FISTA | 41.10 | 19.86 | 25.52 | 49.97 | 46.07 | 48.07 | |
| 500 | G-FISTA | 44.34 | 10.07 | 37.43 | 45.26 | 49.34 | 37.83 |
| LC-FISTA | 43.02 | 16.90 | 29.89 | 49.87 | 48.91 | 42.75 | |
| 1000 | G-FISTA | 45.25 | 9.93 | — | 41.95 | 47.95 | 40.49 |
| LC-FISTA | 43.10 | 15.81 | — | 47.19 | 48.92 | 44.09 | |
| 1500 | G-FISTA | — | 16.26 | — | 40.63 | 47.18 | 38.14 |
| LC-FISTA | — | 19.57 | — | 45.86 | 47.41 | 43.32 | |
| 2000 | G-FISTA | — | 18.05 | — | 41.14 | 46.63 | 36.88 |
| LC-FISTA | — | 21.37 | — | 46.76 | 45.28 | 41.26 | |
| Av. time | G-FISTA | 44.48% | 14.42% | 35.87% | 42.97% | 48.42% | 39.43% |
| Av. time | LC-FISTA | 42.41% | 18.71% | 27.70% | 47.93% | 47.32% | 43.90% |
Publisher’s Note: MDPI stays neutral with regard to jurisdictional claims in published maps and institutional affiliations. |
© 2022 by the authors. Licensee MDPI, Basel, Switzerland. This article is an open access article distributed under the terms and conditions of the Creative Commons Attribution (CC BY) license (https://creativecommons.org/licenses/by/4.0/).
Share and Cite
Vásquez-Coronel, J.A.; Mora, M.; Vilches, K. Training of an Extreme Learning Machine Autoencoder Based on an Iterative Shrinkage-Thresholding Optimization Algorithm. Appl. Sci. 2022, 12, 9021. https://doi.org/10.3390/app12189021
Vásquez-Coronel JA, Mora M, Vilches K. Training of an Extreme Learning Machine Autoencoder Based on an Iterative Shrinkage-Thresholding Optimization Algorithm. Applied Sciences. 2022; 12(18):9021. https://doi.org/10.3390/app12189021
Chicago/Turabian StyleVásquez-Coronel, José A., Marco Mora, and Karina Vilches. 2022. "Training of an Extreme Learning Machine Autoencoder Based on an Iterative Shrinkage-Thresholding Optimization Algorithm" Applied Sciences 12, no. 18: 9021. https://doi.org/10.3390/app12189021
APA StyleVásquez-Coronel, J. A., Mora, M., & Vilches, K. (2022). Training of an Extreme Learning Machine Autoencoder Based on an Iterative Shrinkage-Thresholding Optimization Algorithm. Applied Sciences, 12(18), 9021. https://doi.org/10.3390/app12189021

