Generation of Synthetic Compressional Wave Velocity Based on Deep Learning: A Case Study of Ulleung Basin Gas Hydrate in the Republic of Korea
Abstract
:1. Introduction
2. Field Description
3. Methodology
3.1. Artificial Neural Network (ANN)
3.2. Long Short-Term Memory (LSTM)
3.3. Data Pre-Processing
3.4. Generation of Synthetic Vp Log
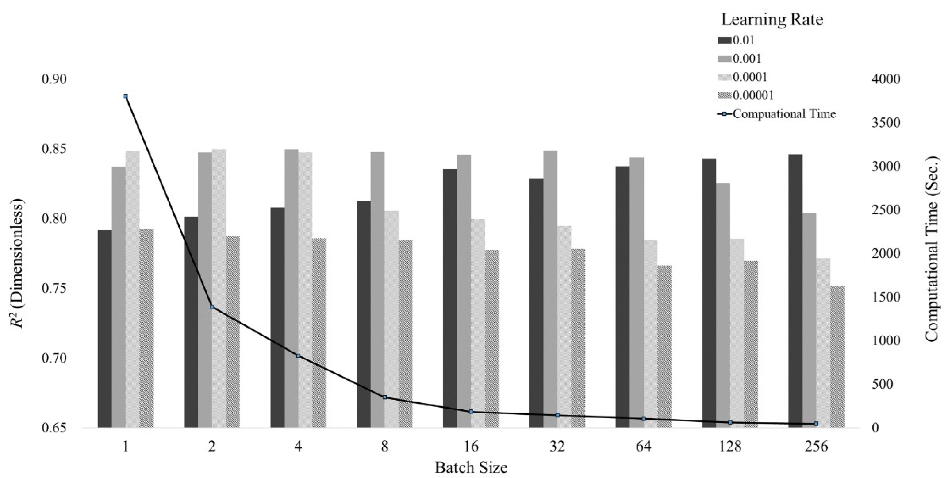
4. Results and Discussion
4.1. Structure of the LSTM Model
4.2. Performance Evaluation of the LSTM Model
4.3. k-Fold Cross-Validation
4.4. Discussion
5. Conclusions
Author Contributions
Funding
Data Availability Statement
Acknowledgments
Conflicts of Interest
Appendix A. Training, Validation, and Test Results of the LSTM Model
| Input | Performance | Number of Neurons in the Hidden Layer | ||||||||
|---|---|---|---|---|---|---|---|---|---|---|
| 1 | 2 | 4 | 8 | 16 | 32 | 64 | 128 | |||
| GR | Train | R2 | 0.521 | 0.753 | 0.771 | 0.774 | 0.775 | 0.774 | 0.774 | 0.775 |
| RMSE | 0.487 | 0.343 | 0.316 | 0.312 | 0.309 | 0.312 | 0.309 | 0.310 | ||
| Valid | R2 | 0.168 | 0.409 | 0.434 | 0.508 | 0.518 | 0.545 | 0.503 | 0.481 | |
| RMSE | 1.410 | 1.248 | 1.193 | 1.117 | 1.099 | 1.078 | 1.093 | 1.134 | ||
| Test | R2 | 0.369 | 0.539 | 0.553 | 0.556 | 0.556 | 0.555 | 0.550 | 0.554 | |
| RMSE | 0.614 | 0.512 | 0.499 | 0.500 | 0.503 | 0.501 | 0.516 | 0.504 | ||
| RT | Train | R2 | 0.567 | 0.760 | 0.779 | 0.779 | 0.786 | 0.790 | 0.790 | 0.793 |
| RMSE | 0.447 | 0.334 | 0.310 | 0.307 | 0.303 | 0.299 | 0.300 | 0.296 | ||
| Valid | R2 | 0.188 | 0.267 | 0.370 | 0.354 | 0.485 | 0.463 | 0.524 | 0.480 | |
| RMSE | 1.414 | 1.324 | 1.251 | 1.252 | 1.150 | 1.172 | 1.093 | 1.141 | ||
| Test | R2 | 0.268 | 0.535 | 0.541 | 0.553 | 0.554 | 0.551 | 0.550 | 0.548 | |
| RMSE | 0.644 | 0.513 | 0.506 | 0.501 | 0.500 | 0.506 | 0.513 | 0.511 | ||
| RHOB | Train | R2 | 0.424 | 0.721 | 0.772 | 0.778 | 0.780 | 0.782 | 0.779 | 0.782 |
| RMSE | 0.511 | 0.363 | 0.317 | 0.311 | 0.306 | 0.305 | 0.306 | 0.304 | ||
| Valid | R2 | 0.112 | 0.462 | 0.538 | 0.593 | 0.588 | 0.528 | 0.450 | 0.429 | |
| RMSE | 1.445 | 1.204 | 1.105 | 1.045 | 1.036 | 1.106 | 1.156 | 1.172 | ||
| Test | R2 | 0.303 | 0.513 | 0.557 | 0.569 | 0.573 | 0.570 | 0.570 | 0.571 | |
| RMSE | 0.632 | 0.522 | 0.497 | 0.491 | 0.490 | 0.493 | 0.499 | 0.494 | ||
| TNPH | Train | R2 | 0.433 | 0.740 | 0.767 | 0.775 | 0.775 | 0.776 | 0.777 | 0.780 |
| RMSE | 0.518 | 0.359 | 0.318 | 0.310 | 0.309 | 0.308 | 0.307 | 0.314 | ||
| Valid | R2 | 0.266 | 0.378 | 0.512 | 0.491 | 0.541 | 0.561 | 0.562 | 0.562 | |
| RMSE | 1.362 | 1.267 | 1.117 | 1.132 | 1.077 | 1.051 | 1.055 | 1.087 | ||
| Test | R2 | 0.369 | 0.530 | 0.557 | 0.562 | 0.562 | 0.559 | 0.560 | 0.557 | |
| RMSE | 0.624 | 0.516 | 0.498 | 0.497 | 0.498 | 0.500 | 0.501 | 0.497 | ||
| PEF | Train | R2 | 0.530 | 0.766 | 0.772 | 0.773 | 0.774 | 0.774 | 0.773 | 0.774 |
| RMSE | 0.465 | 0.337 | 0.317 | 0.311 | 0.309 | 0.310 | 0.310 | 0.310 | ||
| Valid | R2 | 0.421 | 0.439 | 0.518 | 0.489 | 0.544 | 0.591 | 0.566 | 0.445 | |
| RMSE | 1.274 | 1.213 | 1.143 | 1.126 | 1.065 | 1.016 | 1.043 | 1.167 | ||
| Test | R2 | 0.391 | 0.551 | 0.558 | 0.556 | 0.555 | 0.555 | 0.554 | 0.555 | |
| RMSE | 0.589 | 0.502 | 0.496 | 0.502 | 0.505 | 0.505 | 0.505 | 0.508 | ||
| Input | Performance | Number of Neurons in the Hidden Layer | ||||||||
|---|---|---|---|---|---|---|---|---|---|---|
| 1 | 2 | 4 | 8 | 16 | 32 | 64 | 128 | |||
| GR RT | Train | R2 | 0.827 | 0.827 | 0.831 | 0.836 | 0.835 | 0.836 | 0.844 | 0.854 |
| RMSE | 0.311 | 0.293 | 0.274 | 0.264 | 0.264 | 0.263 | 0.257 | 0.249 | ||
| Valid | R2 | 0.589 | 0.594 | 0.602 | 0.579 | 0.565 | 0.551 | 0.525 | 0.482 | |
| RMSE | 1.126 | 1.095 | 1.060 | 1.055 | 1.072 | 1.071 | 1.098 | 1.142 | ||
| Test | R2 | 0.644 | 0.643 | 0.640 | 0.637 | 0.636 | 0.639 | 0.653 | 0.671 | |
| RMSE | 0.460 | 0.453 | 0.448 | 0.451 | 0.451 | 0.451 | 0.443 | 0.431 | ||
| GR RHOB | Train | R2 | 0.822 | 0.824 | 0.833 | 0.829 | 0.834 | 0.837 | 0.839 | 0.851 |
| RMSE | 0.314 | 0.283 | 0.270 | 0.271 | 0.265 | 0.263 | 0.261 | 0.252 | ||
| Valid | R2 | 0.613 | 0.626 | 0.644 | 0.607 | 0.621 | 0.600 | 0.582 | 0.558 | |
| RMSE | 1.097 | 1.030 | 0.992 | 1.015 | 0.988 | 1.013 | 1.035 | 1.065 | ||
| Test | R2 | 0.645 | 0.646 | 0.662 | 0.650 | 0.658 | 0.661 | 0.667 | 0.683 | |
| RMSE | 0.458 | 0.445 | 0.434 | 0.442 | 0.439 | 0.439 | 0.438 | 0.422 | ||
| GR TNPH | Train | R2 | 0.702 | 0.827 | 0.823 | 0.832 | 0.837 | 0.836 | 0.839 | 0.843 |
| RMSE | 0.425 | 0.298 | 0.281 | 0.268 | 0.263 | 0.266 | 0.262 | 0.258 | ||
| Valid | R2 | 0.259 | 0.607 | 0.585 | 0.633 | 0.618 | 0.631 | 0.604 | 0.523 | |
| RMSE | 1.365 | 1.080 | 1.062 | 0.981 | 0.996 | 0.981 | 0.995 | 1.080 | ||
| Test | R2 | 0.548 | 0.648 | 0.639 | 0.655 | 0.658 | 0.657 | 0.661 | 0.671 | |
| RMSE | 0.546 | 0.449 | 0.448 | 0.439 | 0.439 | 0.441 | 0.446 | 0.439 | ||
| GR PEF | Train | R2 | 0.822 | 0.823 | 0.824 | 0.827 | 0.833 | 0.830 | 0.828 | 0.844 |
| RMSE | 0.316 | 0.285 | 0.277 | 0.273 | 0.265 | 0.268 | 0.270 | 0.258 | ||
| Valid | R2 | 0.601 | 0.585 | 0.617 | 0.607 | 0.599 | 0.563 | 0.595 | 0.499 | |
| RMSE | 1.116 | 1.076 | 1.025 | 1.019 | 1.015 | 1.050 | 1.018 | 1.100 | ||
| Test | R2 | 0.643 | 0.644 | 0.647 | 0.647 | 0.656 | 0.650 | 0.648 | 0.679 | |
| RMSE | 0.459 | 0.447 | 0.444 | 0.445 | 0.441 | 0.447 | 0.448 | 0.429 | ||
| RT RHOB | Train | R2 | 0.824 | 0.829 | 0.833 | 0.830 | 0.836 | 0.857 | 0.857 | 0.854 |
| RMSE | 0.311 | 0.306 | 0.274 | 0.270 | 0.264 | 0.246 | 0.246 | 0.250 | ||
| Valid | R2 | 0.609 | 0.572 | 0.573 | 0.592 | 0.585 | 0.625 | 0.600 | 0.614 | |
| RMSE | 1.122 | 1.123 | 1.087 | 1.066 | 1.051 | 1.021 | 1.049 | 1.040 | ||
| Test | R2 | 0.629 | 0.652 | 0.651 | 0.638 | 0.654 | 0.674 | 0.673 | 0.678 | |
| RMSE | 0.472 | 0.451 | 0.442 | 0.450 | 0.441 | 0.429 | 0.430 | 0.431 | ||
| RT TNPH | Train | R2 | 0.825 | 0.818 | 0.829 | 0.840 | 0.847 | 0.845 | 0.846 | 0.836 |
| RMSE | 0.312 | 0.295 | 0.274 | 0.261 | 0.256 | 0.257 | 0.257 | 0.268 | ||
| Valid | R2 | 0.612 | 0.475 | 0.514 | 0.570 | 0.628 | 0.615 | 0.628 | 0.613 | |
| RMSE | 1.103 | 1.191 | 1.138 | 1.078 | 1.018 | 1.018 | 0.987 | 1.012 | ||
| Test | R2 | 0.635 | 0.642 | 0.640 | 0.656 | 0.659 | 0.670 | 0.665 | 0.675 | |
| RMSE | 0.465 | 0.451 | 0.448 | 0.438 | 0.437 | 0.432 | 0.441 | 0.432 | ||
| RT PEF | Train | R2 | 0.695 | 0.832 | 0.828 | 0.840 | 0.841 | 0.868 | 0.863 | 0.855 |
| RMSE | 0.429 | 0.282 | 0.272 | 0.262 | 0.261 | 0.237 | 0.240 | 0.248 | ||
| Valid | R2 | 0.258 | 0.605 | 0.567 | 0.557 | 0.593 | 0.617 | 0.665 | 0.571 | |
| RMSE | 1.366 | 1.091 | 1.082 | 1.103 | 1.046 | 1.025 | 0.958 | 1.066 | ||
| Test | R2 | 0.543 | 0.644 | 0.645 | 0.657 | 0.659 | 0.691 | 0.686 | 0.680 | |
| RMSE | 0.549 | 0.451 | 0.445 | 0.438 | 0.436 | 0.417 | 0.420 | 0.426 | ||
| RHOB TNPH | Train | R2 | 0.696 | 0.828 | 0.835 | 0.834 | 0.842 | 0.842 | 0.844 | 0.845 |
| RMSE | 0.426 | 0.283 | 0.269 | 0.268 | 0.260 | 0.259 | 0.258 | 0.256 | ||
| Valid | R2 | 0.257 | 0.562 | 0.586 | 0.597 | 0.629 | 0.565 | 0.587 | 0.660 | |
| RMSE | 1.365 | 1.095 | 1.055 | 1.036 | 0.997 | 1.061 | 1.021 | 0.937 | ||
| Test | R2 | 0.543 | 0.662 | 0.671 | 0.671 | 0.678 | 0.672 | 0.674 | 0.679 | |
| RMSE | 0.546 | 0.435 | 0.429 | 0.429 | 0.426 | 0.430 | 0.437 | 0.430 | ||
| RHOB PEF | Train | R2 | 0.698 | 0.828 | 0.832 | 0.851 | 0.844 | 0.840 | 0.845 | 0.847 |
| RMSE | 0.429 | 0.283 | 0.270 | 0.254 | 0.258 | 0.261 | 0.258 | 0.255 | ||
| Valid | R2 | 0.256 | 0.573 | 0.601 | 0.638 | 0.637 | 0.601 | 0.658 | 0.565 | |
| RMSE | 1.365 | 1.085 | 1.035 | 1.004 | 0.995 | 1.033 | 0.962 | 1.068 | ||
| Test | R2 | 0.549 | 0.670 | 0.671 | 0.692 | 0.687 | 0.678 | 0.689 | 0.691 | |
| RMSE | 0.546 | 0.430 | 0.429 | 0.414 | 0.419 | 0.426 | 0.421 | 0.418 | ||
| TNPH PEF | Train | R2 | 0.823 | 0.828 | 0.826 | 0.829 | 0.834 | 0.833 | 0.842 | 0.843 |
| RMSE | 0.311 | 0.282 | 0.276 | 0.270 | 0.266 | 0.266 | 0.259 | 0.262 | ||
| Valid | R2 | 0.612 | 0.622 | 0.598 | 0.596 | 0.590 | 0.633 | 0.610 | 0.612 | |
| RMSE | 1.086 | 1.047 | 1.052 | 1.041 | 1.044 | 0.980 | 1.014 | 1.027 | ||
| Test | R2 | 0.644 | 0.650 | 0.648 | 0.649 | 0.656 | 0.657 | 0.664 | 0.664 | |
| RMSE | 0.458 | 0.444 | 0.443 | 0.442 | 0.438 | 0.441 | 0.435 | 0.435 | ||
| Input | Performance | Number of Neurons in the Hidden Layer | ||||||||
|---|---|---|---|---|---|---|---|---|---|---|
| 1 | 2 | 4 | 8 | 16 | 32 | 64 | 128 | |||
| GR RT RHOB | Train | R2 | 0.679 | 0.805 | 0.837 | 0.849 | 0.864 | 0.866 | 0.871 | 0.872 |
| RMSE | 0.395 | 0.310 | 0.272 | 0.257 | 0.241 | 0.240 | 0.234 | 0.233 | ||
| Valid | R2 | 0.291 | 0.566 | 0.431 | 0.524 | 0.506 | 0.568 | 0.572 | 0.556 | |
| RMSE | 1.356 | 1.164 | 1.234 | 1.158 | 1.148 | 1.106 | 1.094 | 1.100 | ||
| Test | R2 | 0.481 | 0.635 | 0.668 | 0.684 | 0.691 | 0.710 | 0.709 | 0.708 | |
| RMSE | 0.571 | 0.466 | 0.433 | 0.423 | 0.416 | 0.402 | 0.403 | 0.404 | ||
| GR RT TNPH | Train | R2 | 0.457 | 0.687 | 0.831 | 0.849 | 0.858 | 0.859 | 0.866 | 0.867 |
| RMSE | 0.503 | 0.386 | 0.277 | 0.254 | 0.245 | 0.245 | 0.238 | 0.239 | ||
| Valid | R2 | 0.277 | 0.397 | 0.581 | 0.640 | 0.547 | 0.579 | 0.599 | 0.570 | |
| RMSE | 1.407 | 1.302 | 1.115 | 1.021 | 1.108 | 1.086 | 1.060 | 1.099 | ||
| Test | R2 | 0.233 | 0.512 | 0.635 | 0.665 | 0.681 | 0.687 | 0.692 | 0.694 | |
| RMSE | 0.673 | 0.551 | 0.455 | 0.432 | 0.422 | 0.418 | 0.415 | 0.414 | ||
| GR RT PEF | Train | R2 | 0.502 | 0.822 | 0.838 | 0.846 | 0.860 | 0.866 | 0.867 | 0.865 |
| RMSE | 0.481 | 0.290 | 0.267 | 0.260 | 0.245 | 0.239 | 0.240 | 0.240 | ||
| Valid | R2 | 0.123 | 0.610 | 0.624 | 0.608 | 0.626 | 0.568 | 0.580 | 0.574 | |
| RMSE | 1.427 | 1.074 | 1.052 | 1.062 | 1.035 | 1.088 | 1.078 | 1.065 | ||
| Test | R2 | 0.233 | 0.636 | 0.655 | 0.665 | 0.674 | 0.674 | 0.691 | 0.689 | |
| RMSE | 0.659 | 0.459 | 0.440 | 0.433 | 0.426 | 0.427 | 0.415 | 0.418 | ||
| GR RHOB TNPH | Train | R2 | 0.492 | 0.820 | 0.837 | 0.850 | 0.859 | 0.860 | 0.859 | 0.860 |
| RMSE | 0.497 | 0.308 | 0.272 | 0.255 | 0.244 | 0.244 | 0.247 | 0.251 | ||
| Valid | R2 | 0.158 | 0.399 | 0.557 | 0.581 | 0.604 | 0.661 | 0.633 | 0.555 | |
| RMSE | 1.407 | 1.240 | 1.109 | 1.080 | 1.042 | 0.978 | 1.012 | 1.095 | ||
| Test | R2 | 0.436 | 0.636 | 0.683 | 0.698 | 0.701 | 0.703 | 0.709 | 0.702 | |
| RMSE | 0.603 | 0.461 | 0.422 | 0.410 | 0.410 | 0.409 | 0.403 | 0.409 | ||
| GR RHOB PEF | Train | R2 | 0.553 | 0.826 | 0.821 | 0.845 | 0.852 | 0.859 | 0.863 | 0.863 |
| RMSE | 0.452 | 0.284 | 0.284 | 0.258 | 0.252 | 0.245 | 0.242 | 0.246 | ||
| Valid | R2 | 0.229 | 0.593 | 0.416 | 0.602 | 0.529 | 0.565 | 0.570 | 0.490 | |
| RMSE | 1.386 | 1.069 | 1.226 | 1.054 | 1.123 | 1.078 | 1.067 | 1.135 | ||
| Test | R2 | 0.451 | 0.673 | 0.671 | 0.687 | 0.696 | 0.709 | 0.711 | 0.713 | |
| RMSE | 0.570 | 0.431 | 0.431 | 0.419 | 0.412 | 0.404 | 0.402 | 0.402 | ||
| GR TNPH PEF | Train | R2 | 0.605 | 0.802 | 0.837 | 0.841 | 0.857 | 0.851 | 0.861 | 0.861 |
| RMSE | 0.434 | 0.325 | 0.272 | 0.261 | 0.246 | 0.254 | 0.243 | 0.243 | ||
| Valid | R2 | 0.274 | 0.399 | 0.545 | 0.629 | 0.587 | 0.604 | 0.578 | 0.587 | |
| RMSE | 1.376 | 1.276 | 1.112 | 1.032 | 1.051 | 1.037 | 1.049 | 1.035 | ||
| Test | R2 | 0.502 | 0.640 | 0.658 | 0.671 | 0.685 | 0.680 | 0.691 | 0.691 | |
| RMSE | 0.558 | 0.472 | 0.437 | 0.428 | 0.421 | 0.424 | 0.417 | 0.420 | ||
| RT RHOB TNPH | Train | R2 | 0.499 | 0.538 | 0.817 | 0.859 | 0.864 | 0.872 | 0.866 | 0.868 |
| RMSE | 0.478 | 0.456 | 0.284 | 0.246 | 0.240 | 0.239 | 0.238 | 0.236 | ||
| Valid | R2 | 0.412 | 0.382 | 0.433 | 0.574 | 0.568 | 0.600 | 0.595 | 0.540 | |
| RMSE | 1.286 | 1.299 | 1.208 | 1.078 | 1.086 | 1.068 | 1.044 | 1.099 | ||
| Test | R2 | 0.298 | 0.286 | 0.623 | 0.681 | 0.688 | 0.695 | 0.691 | 0.686 | |
| RMSE | 0.639 | 0.634 | 0.461 | 0.422 | 0.419 | 0.412 | 0.420 | 0.423 | ||
| RT RHOB PEF | Train | R2 | 0.456 | 0.653 | 0.840 | 0.854 | 0.861 | 0.865 | 0.873 | 0.873 |
| RMSE | 0.497 | 0.395 | 0.267 | 0.253 | 0.243 | 0.239 | 0.234 | 0.233 | ||
| Valid | R2 | 0.232 | 0.338 | 0.551 | 0.499 | 0.556 | 0.559 | 0.607 | 0.527 | |
| RMSE | 1.428 | 1.302 | 1.131 | 1.166 | 1.104 | 1.084 | 1.048 | 1.120 | ||
| Test | R2 | 0.267 | 0.403 | 0.655 | 0.683 | 0.677 | 0.697 | 0.703 | 0.693 | |
| RMSE | 0.654 | 0.583 | 0.439 | 0.421 | 0.425 | 0.414 | 0.409 | 0.419 | ||
| RT RNPH PEF | Train | R2 | 0.541 | 0.805 | 0.812 | 0.849 | 0.863 | 0.868 | 0.865 | 0.869 |
| RMSE | 0.458 | 0.308 | 0.294 | 0.255 | 0.242 | 0.237 | 0.239 | 0.236 | ||
| Valid | R2 | 0.300 | 0.551 | 0.490 | 0.536 | 0.595 | 0.549 | 0.596 | 0.579 | |
| RMSE | 1.351 | 1.152 | 1.201 | 1.116 | 1.065 | 1.094 | 1.047 | 1.067 | ||
| Test | R2 | 0.272 | 0.629 | 0.648 | 0.653 | 0.685 | 0.696 | 0.693 | 0.692 | |
| RMSE | 0.642 | 0.467 | 0.450 | 0.440 | 0.419 | 0.414 | 0.415 | 0.416 | ||
| RHOB TNPH PEF | Train | R2 | 0.662 | 0.787 | 0.836 | 0.857 | 0.868 | 0.863 | 0.859 | 0.867 |
| RMSE | 0.409 | 0.322 | 0.268 | 0.255 | 0.238 | 0.241 | 0.244 | 0.238 | ||
| Valid | R2 | 0.318 | 0.539 | 0.573 | 0.642 | 0.643 | 0.573 | 0.645 | 0.587 | |
| RMSE | 1.360 | 1.176 | 1.068 | 1.012 | 0.990 | 1.056 | 0.991 | 1.052 | ||
| Test | R2 | 0.518 | 0.602 | 0.671 | 0.691 | 0.705 | 0.700 | 0.695 | 0.701 | |
| RMSE | 0.535 | 0.484 | 0.428 | 0.417 | 0.406 | 0.412 | 0.416 | 0.410 | ||
| Input | Performance | Number of Neurons in the Hidden Layer | ||||||||
|---|---|---|---|---|---|---|---|---|---|---|
| 1 | 2 | 4 | 8 | 16 | 32 | 64 | 128 | |||
| GR RT RHOB TNPH | Train | R2 | 0.657 | 0.893 | 0.887 | 0.908 | 0.921 | 0.923 | 0.929 | 0.925 |
| RMSE | 0.420 | 0.260 | 0.225 | 0.200 | 0.183 | 0.180 | 0.173 | 0.179 | ||
| Valid | R2 | 0.354 | 0.517 | 0.593 | 0.715 | 0.759 | 0.703 | 0.703 | 0.660 | |
| RMSE | 1.319 | 1.181 | 1.086 | 0.956 | 0.857 | 0.939 | 0.941 | 0.985 | ||
| Test | R2 | 0.475 | 0.787 | 0.794 | 0.810 | 0.835 | 0.832 | 0.842 | 0.846 | |
| RMSE | 0.590 | 0.370 | 0.343 | 0.326 | 0.303 | 0.306 | 0.298 | 0.294 | ||
| GR RT RHOB PEF | Train | R2 | 0.877 | 0.895 | 0.900 | 0.917 | 0.921 | 0.927 | 0.924 | 0.916 |
| RMSE | 0.281 | 0.234 | 0.216 | 0.190 | 0.183 | 0.178 | 0.179 | 0.192 | ||
| Valid | R2 | 0.650 | 0.718 | 0.708 | 0.709 | 0.740 | 0.732 | 0.696 | 0.738 | |
| RMSE | 1.096 | 1.015 | 0.976 | 0.942 | 0.909 | 0.929 | 0.959 | 0.894 | ||
| Test | R2 | 0.771 | 0.783 | 0.795 | 0.817 | 0.828 | 0.836 | 0.838 | 0.844 | |
| RMSE | 0.397 | 0.363 | 0.344 | 0.319 | 0.310 | 0.303 | 0.301 | 0.296 | ||
| GR RT TNPH PEF | Train | R2 | 0.896 | 0.892 | 0.908 | 0.911 | 0.925 | 0.925 | 0.927 | 0.931 |
| RMSE | 0.266 | 0.236 | 0.205 | 0.196 | 0.180 | 0.180 | 0.177 | 0.171 | ||
| Valid | R2 | 0.691 | 0.734 | 0.649 | 0.692 | 0.754 | 0.731 | 0.689 | 0.689 | |
| RMSE | 1.049 | 0.932 | 1.021 | 0.956 | 0.879 | 0.919 | 0.948 | 0.931 | ||
| Test | R2 | 0.780 | 0.785 | 0.802 | 0.815 | 0.834 | 0.844 | 0.846 | 0.847 | |
| RMSE | 0.389 | 0.360 | 0.337 | 0.323 | 0.304 | 0.296 | 0.294 | 0.294 | ||
| GR RHOB TNPH PEF | Train | R2 | 0.894 | 0.910 | 0.911 | 0.907 | 0.929 | 0.930 | 0.930 | 0.926 |
| RMSE | 0.260 | 0.215 | 0.206 | 0.201 | 0.174 | 0.174 | 0.171 | 0.177 | ||
| Valid | R2 | 0.654 | 0.788 | 0.754 | 0.691 | 0.773 | 0.711 | 0.711 | 0.747 | |
| RMSE | 1.076 | 0.856 | 0.897 | 0.943 | 0.797 | 0.871 | 0.884 | 0.830 | ||
| Test | R2 | 0.784 | 0.820 | 0.828 | 0.810 | 0.843 | 0.845 | 0.848 | 0.840 | |
| RMSE | 0.374 | 0.325 | 0.315 | 0.326 | 0.297 | 0.299 | 0.294 | 0.291 | ||
| RT RHOB TNPH PEF | Train | R2 | 0.896 | 0.896 | 0.901 | 0.905 | 0.911 | 0.918 | 0.923 | 0.923 |
| RMSE | 0.262 | 0.231 | 0.213 | 0.201 | 0.195 | 0.186 | 0.181 | 0.181 | ||
| Valid | R2 | 0.648 | 0.692 | 0.712 | 0.643 | 0.729 | 0.728 | 0.701 | 0.712 | |
| RMSE | 1.091 | 0.988 | 0.940 | 0.985 | 0.886 | 0.900 | 0.918 | 0.894 | ||
| Test | R2 | 0.779 | 0.779 | 0.786 | 0.790 | 0.808 | 0.826 | 0.833 | 0.832 | |
| RMSE | 0.383 | 0.362 | 0.348 | 0.342 | 0.328 | 0.312 | 0.306 | 0.310 | ||
| Input | Performance | Number of Neurons in the Hidden Layer | ||||||||
|---|---|---|---|---|---|---|---|---|---|---|
| 1 | 2 | 4 | 8 | 16 | 32 | 64 | 128 | |||
| GR RT RHOB TNPH PEF | Train | R2 | 0.894 | 0.898 | 0.910 | 0.918 | 0.923 | 0.914 | 0.924 | 0.925 |
| RMSE | 0.263 | 0.242 | 0.205 | 0.190 | 0.181 | 0.192 | 0.180 | 0.178 | ||
| Valid | R2 | 0.632 | 0.692 | 0.744 | 0.714 | 0.766 | 0.724 | 0.645 | 0.673 | |
| RMSE | 1.109 | 1.013 | 0.937 | 0.933 | 0.848 | 0.921 | 0.999 | 0.960 | ||
| Test | R2 | 0.783 | 0.788 | 0.806 | 0.816 | 0.828 | 0.810 | 0.833 | 0.837 | |
| RMSE | 0.377 | 0.361 | 0.332 | 0.320 | 0.310 | 0.325 | 0.306 | 0.303 | ||
References
- Chand, S.; Minshull, T.A. Seismic Constraints on the Effects of Gas Hydrate on Sediment Physical Properties and Fluid Flow: A Review. Geofluids 2003, 3, 275–289. [Google Scholar] [CrossRef]
- Liang, H.; Guan, D.; Shi, K.; Yang, L.; Zhang, L.; Zhao, J.; Song, Y. Characterizing Mass-Transfer Mechanism during Gas Hydrate Formation from Water Droplets. Chem. Eng. J. 2022, 428, 132626. [Google Scholar] [CrossRef]
- Pang, X.-Q.; Chen, Z.-H.; Jia, C.-Z.; Wang, E.-Z.; Shi, H.-S.; Wu, Z.-Y.; Hu, T.; Liu, K.-Y.; Zhao, Z.-F.; Pang, B.; et al. Evaluation and Re-Understanding of the Global Natural Gas Hydrate Resources. Pet. Sci. 2021, 18, 323–338. [Google Scholar] [CrossRef]
- Wang, T.; Hu, T.; Pang, X.-Q.; Zhang, X.-W.; Liu, X.-H.; Xu, Z.; Wang, E.-Z.; Wu, Z.-Y. Distribution and Resource Evaluation of Natural Gas Hydrate in South China Sea by Combing Phase Equilibrium Mechanism and Volumetric Method. Pet. Sci. 2022, 19, 26–36. [Google Scholar] [CrossRef]
- Yang, J.; Lu, M.; Yao, Z.; Wang, M.; Lu, S.; Qi, N.; Xia, Y. A Geophysical Review of the Seabed Methane Seepage Features and Their Relationship with Gas Hydrate Systems. Geofluids 2021, 2021, 9953026. [Google Scholar] [CrossRef]
- Yoon, H.C.; Yoon, S.; Lee, J.Y.; Kim, J. Multiple Porosity Model of a Heterogeneous Layered Gas Hydrate Deposit in Ulleung Basin, East Sea, Korea: A Study on Depressurization Strategies, Reservoir Geomechanical Response, and Wellbore Stability. J. Nat. Gas Sci. Eng. 2021, 96, 104321. [Google Scholar] [CrossRef]
- Gornitz, V.; Fung, I. Potential Distribution of Methane Hydrates in the World’s Oceans. Global Biogeochem. Cycles 1994, 8, 335–347. [Google Scholar] [CrossRef]
- Boswell, R.; Collett, T.S. Current Perspectives on Gas Hydrate Resources. Energy Environ. Sci. 2011, 4, 1206–1215. [Google Scholar] [CrossRef]
- Meng, M.; Liang, J.; Lu, J.; Zhang, W.; Kuang, Z.; Fang, Y.; He, Y.; Deng, W.; Huang, W. Quaternary Deep-Water Sedimentary Characteristics and Their Relationship with the Gas Hydrate Accumulations in the Qiongdongnan Basin, Northwest South China Sea. Deep Sea Res. Part I Oceanogr. Res. Pap. 2021, 177, 103628. [Google Scholar] [CrossRef]
- Zhu, X.; Liu, X. Morphology Identification of Gas Hydrate from Pointwise Lipschitz Regularity for P- and S-Wave Velocity. Energy Rep. 2021, 7, 8062–8074. [Google Scholar] [CrossRef]
- Saggaf, M.M.; Nebrija, E.L. Estimation of Missing Logs by Regularized Neural Networks. Am. Assoc. Pet. Geol. Bull. 2003, 87, 1377–1389. [Google Scholar] [CrossRef]
- Bader, S.; Wu, X.; Fomel, S. Missing Log Data Interpolation and Semiautomatic Seismic Well Ties Using Data Matching Techniques. Interpretation 2019, 7, T347–T361. [Google Scholar] [CrossRef]
- Onalo, D.; Adedigba, S.; Khan, F.; James, L.A.; Butt, S. Data Driven Model for Sonic Well Log Prediction. J. Pet. Sci. Eng. 2018, 170, 1022–1037. [Google Scholar] [CrossRef]
- Wang, P.; Peng, S. On a New Method of Estimating Shear Wave Velocity from Conventional Well Logs. J. Pet. Sci. Eng. 2019, 180, 105–123. [Google Scholar] [CrossRef]
- Dalvand, M.; Falahat, R. A New Rock Physics Model to Estimate Shear Velocity Log. J. Pet. Sci. Eng. 2021, 196, 107697. [Google Scholar] [CrossRef]
- Gharbi, R.B.C.; Mansoori, G.A. An Introduction to Artificial Intelligence Applications in Petroleum Exploration and Production. J. Pet. Sci. Eng. 2005, 49, 93–96. [Google Scholar] [CrossRef]
- ZHANG, D.; CHEN, Y.; MENG, J. Synthetic Well Logs Generation via Recurrent Neural Networks. Pet. Explor. Dev. 2018, 45, 629–639. [Google Scholar] [CrossRef]
- Tang, L.; Li, J.; Lu, W.; Lian, P.; Wang, H.; Jiang, H.; Wang, F.; Jia, H. Well Control Optimization of Waterflooding Oilfield Based on Deep Neural Network. Geofluids 2021, 2021, 8873782. [Google Scholar] [CrossRef]
- Ji, M.; Kwon, S.; Park, G.; Min, B.; Nguyen, X.H. Prediction of Water Saturation from Well Log Data Using Deep Learning Algorithms. J. Korean Soc. Miner. Energy Resour. Eng. 2021, 58, 215–226. [Google Scholar] [CrossRef]
- Shewalkar, A.; Nyavanandi, D.; Ludwig, S.A. Performance Evaluation of Deep Neural Networks Applied to Speech Recognition: RNN, LSTM and GRU. J. Artif. Intell. Soft Comput. Res. 2019, 9, 235–245. [Google Scholar] [CrossRef] [Green Version]
- Kim, S.; Kim, K.H.; Min, B.; Lim, J.; Lee, K. Generation of Synthetic Density Log Data Using Deep Learning Algorithm at the Golden Field in Alberta, Canada. Geofluids 2020, 2020, 5387183. [Google Scholar] [CrossRef]
- Pham, N.; Wu, X.; Zabihi Naeini, E. Missing Well Log Prediction Using Convolutional Long Short-Term Memory Network. GEOPHYSICS 2020, 85, WA159–WA171. [Google Scholar] [CrossRef]
- Zhang, Y.; Zhong, H.-R.; Wu, Z.-Y.; Zhou, H.; Ma, Q.-Y. Improvement of Petrophysical Workflow for Shear Wave Velocity Prediction Based on Machine Learning Methods for Complex Carbonate Reservoirs. J. Pet. Sci. Eng. 2020, 192, 107234. [Google Scholar] [CrossRef]
- Lee, M.W.; Waite, W.F. Estimating Pore-Space Gas Hydrate Saturations from Well Log Acoustic Data. Geochem. Geophys. Geosystems 2008, 9, 7. [Google Scholar] [CrossRef]
- Haines, S.S.; Collett, T.; Boswell, R.; Lim, T.K.; Okinaka, N.; Suzuki, K.; Fujimoto, A. Gas Hydrate Saturation Estimation from Acoustic Log Data in the 2018 Alaska North Slope Hydrate-01 Stratigraphic Test Well. In Proceedings of the 10th International Conference on Gas Hydrates (ICGH10), Singapore, 21–26 June 2020. [Google Scholar]
- Helgerud, M.B.; Dvorkin, J.; Nur, A.; Sakai, A.; Collett, T. Elastic-Wave Velocity in Marine Sediments with Gas Hydrates: Effective Medium Modeling. Geophys. Res. Lett. 1999, 26, 2021–2024. [Google Scholar] [CrossRef]
- Lee, M.W.; Collett, T.S. In-Situ Gas Hydrate Hydrate Saturation Estimated from Various Well Logs at the Mount Elbert Gas Hydrate Stratigraphic Test Well, Alaska North Slope. Mar. Pet. Geol. 2011, 28, 439–449. [Google Scholar] [CrossRef]
- You, J.; Cao, J.; Wang, X.; Liu, W. Shear Wave Velocity Prediction Based on LSTM and Its Application for Morphology Identification and Saturation Inversion of Gas Hydrate. J. Pet. Sci. Eng. 2021, 205, 109027. [Google Scholar] [CrossRef]
- Chen, Y.; Zhang, D. Physics-Constrained Deep Learning of Geomechanical Logs. IEEE Trans. Geosci. Remote Sens. 2020, 58, 5932–5943. [Google Scholar] [CrossRef]
- Naim, F.; Cook, A. Estimating P-Wave Velocity and Bulk Density in Hydrate Systems Using Machine Learning. In Proceedings of the AGU Fall Meeting 2021, New Orleans, LA, USA, 13–17 December 2021; Volume 2021, p. OS22A-07. [Google Scholar]
- Karimpouli, S.; Tahmasebi, P. Physics Informed Machine Learning: Seismic Wave Equation. Geosci. Front. 2020, 11, 1993–2001. [Google Scholar] [CrossRef]
- Huh, D.-G.; Lee, J.Y. Overview of Gas Hydrates R&D. J. Korean Soc. Miner. Energy Resour. Eng. 2017, 54, 201–214. [Google Scholar] [CrossRef]
- Kim, G.Y.; Yi, B.Y.; Yoo, D.G.; Ryu, B.J.; Riedel, M. Evidence of Gas Hydrate from Downhole Logging Data in the Ulleung Basin, East Sea. Mar. Pet. Geol. 2011, 28, 1979–1985. [Google Scholar] [CrossRef]
- Lee, M.W.; Collett, T.S. Gas Hydrate and Free Gas Saturations Estimated from Velocity Logs on Hydrate Ridge, Offshore Oregon, USA. In Proceedings of the Ocean Drilling Program, 199 Scientific Results; Ocean Drilling Program: College Station, TX, USA, 2006. [Google Scholar]
- Moridis, G.J.; Kim, J.; Reagan, M.T.; Kim, S.-J. Feasibility of Gas Production from a Gas Hydrate Accumulation at the UBGH2-6 Site of the Ulleung Basin in the Korean East Sea. J. Pet. Sci. Eng. 2013, 108, 180–210. [Google Scholar] [CrossRef]
- Lee, T.; Lee, J.Y.; Ahn, T.; Son, H.A. Numerical Simulation of Gas Hydrate Production Using the Cyclic Depressurization Method in the Ulleung Basin of the Korea East Sea. Appl. Sci. 2021, 11, 9748. [Google Scholar] [CrossRef]
- Park, S.Y.; Son, B.-K.; Choi, J.; Jin, H.; Lee, K. Application of Machine Learning to Quantification of Mineral Composition on Gas Hydrate-Bearing Sediments, Ulleung Basin, Korea. J. Pet. Sci. Eng. 2022, 209, 109840. [Google Scholar] [CrossRef]
- Ryu, B.-J.; Collett, T.S.; Riedel, M.; Kim, G.Y.; Chun, J.-H.; Bahk, J.-J.; Lee, J.Y.; Kim, J.-H.; Yoo, D.-G. Scientific Results of the Second Gas Hydrate Drilling Expedition in the Ulleung Basin (UBGH2). Mar. Pet. Geol. 2013, 47, 1–20. [Google Scholar] [CrossRef]
- Lee, G.H.; Kim, H.J.; Suh, M.C.; Hong, J.K. Crustal Structure, Volcanism, and Opening Mode of the Ulleung Basin, East Sea (Sea of Japan). Tectonophysics 1999, 308, 503–525. [Google Scholar] [CrossRef]
- Horozal, S.; Bahk, J.-J.; Urgeles, R.; Kim, G.Y.; Cukur, D.; Kim, S.-P.; Lee, G.H.; Lee, S.H.; Ryu, B.-J.; Kim, J.-H. Mapping Gas Hydrate and Fluid Flow Indicators and Modeling Gas Hydrate Stability Zone (GHSZ) in the Ulleung Basin, East (Japan) Sea: Potential Linkage between the Occurrence of Mass Failures and Gas Hydrate Dissociation. Mar. Pet. Geol. 2017, 80, 171–191. [Google Scholar] [CrossRef]
- Horozal, S.; Kim, G.Y.; Bahk, J.J.; Wilkens, R.H.; Yoo, D.G.; Ryu, B.J.; Kim, S.P. Core and Sediment Physical Property Correlation of the Second Ulleung Basin Gas Hydrate Drilling Expedition (UBGH2) Results in the East Sea (Japan Sea). Mar. Pet. Geol. 2015, 59, 535–562. [Google Scholar] [CrossRef]
- Honarkhah, M.; Caers, J. Stochastic Simulation of Patterns Using Distance-Based Pattern Modeling. Math. Geosci. 2010, 42, 487–517. [Google Scholar] [CrossRef]
- Shin, H.-J.; Lim, J.-S.; Kim, S.-J. Estimation of Porosity and Saturation in Gas Hydrate Bearing Sediments Using Well Logs and Core Analysis Data of the 2nd Wells in Ulleung Basin, East Sea. Korea, J. Korean Soc. Miner. Energy Resour. Eng. 2012, 49, 175–185. [Google Scholar]
- Bahk, J.-J.; Kim, G.-Y.; Chun, J.-H.; Kim, J.-H.; Lee, J.Y.; Ryu, B.-J.; Lee, J.-H.; Son, B.-K.; Collett, T.S. Characterization of Gas Hydrate Reservoirs by Integration of Core and Log Data in the Ulleung Basin, East Sea. Mar. Pet. Geol. 2013, 47, 30–42. [Google Scholar] [CrossRef]
- Kim, A.-R.; Kim, H.-S.; Cho, G.-C.; Lee, J.Y. Estimation of Model Parameters and Properties for Numerical Simulation on Geomechanical Stability of Gas Hydrate Production in the Ulleung Basin, East Sea, Korea. Quat. Int. 2017, 459, 55–68. [Google Scholar] [CrossRef]
- Kim, J.-T.; Kang, C.-W.; Kim, A.-R.; Lee, J.Y.; Cho, G.-C. Effect of Permeability on Hydrate-Bearing Sediment Productivity and Stability in Ulleung Basin, East Sea, South Korea. Energies 2021, 14, 1752. [Google Scholar] [CrossRef]
- Abiodun, O.I.; Jantan, A.; Omolara, A.E.; Dada, K.V.; Mohamed, N.A.; Arshad, H. State-of-the-Art in Artificial Neural Network Applications: A Survey. Heliyon 2018, 4, e00938. [Google Scholar] [CrossRef] [PubMed]
- Kwon, S.; Park, G.; Jang, Y.; Cho, J.; Chu, M.; Min, B. Determination of Oil Well Placement Using Convolutional Neural Network Coupled with Robust Optimization under Geological Uncertainty. J. Pet. Sci. Eng. 2021, 201, 108118. [Google Scholar] [CrossRef]
- Hochreiter, S.; Schmidhuber, J. Long Short-Term Memory. Neural Comput. 1997, 9, 1735–1780. [Google Scholar] [CrossRef] [PubMed]
- Lee, H.W.; Kim, M.; Son, H.W.; Min, B.; Choi, J.H. Machine-Learning-Based Water Quality Management of River with Serial Impoundments in the Republic of Korea. J. Hydrol. Reg. Stud. 2022, 41, 101069. [Google Scholar] [CrossRef]
- Asoodeh, M.; Bagheripour, P. Prediction of Compressional, Shear, and Stoneley Wave Velocities from Conventional Well Log Data Using a Committee Machine with Intelligent Systems. Rock Mech. Rock Eng. 2012, 45, 45–63. [Google Scholar] [CrossRef]
- Zoveidavianpoor, M.; Samsuri, A.; Shadizadeh, S.R. Adaptive Neuro Fuzzy Inference System for Compressional Wave Velocity Prediction in a Carbonate Reservoir. J. Appl. Geophys. 2013, 89, 96–107. [Google Scholar] [CrossRef]
- Sun, X.; Liu, Y.; Li, J.; Zhu, J.; Chen, H.; Liu, X. Feature Evaluation and Selection with Cooperative Game Theory. Pattern Recognit. 2012, 45, 2992–3002. [Google Scholar] [CrossRef]
- Srivastava, N.; Hinton, G.; Krizhevsky, A.; Sutskever, I.; Salakhutdinov, R. Dropout: A Simple Way to Prevent Neural Networks from Overfitting. J. Mach. Learn. Res. 2014, 15, 1929–1958. [Google Scholar]
- Sheela, K.G.; Deepa, S.N. Review on Methods to Fix Number of Hidden Neurons in Neural Networks. Math. Probl. Eng. 2013, 2013, 425740. [Google Scholar] [CrossRef] [Green Version]
- Orabona, F.; Tommasi, T. Training Deep Networks without Learning Rates Through Coin Betting. In Advances in Neural Information Processing Systems; Guyon, I., von Luxburg, U., Bengio, S., Wallach, H., Fergus, R., Vishwanathan, S., Garnett, R., Eds.; Curran Associates, Inc.: Red Hook, NY, USA, 2017; Volume 30. [Google Scholar]
- Kandel, I.; Castelli, M. The Effect of Batch Size on the Generalizability of the Convolutional Neural Networks on a Histopathology Dataset. ICT Express 2020, 6, 312–315. [Google Scholar] [CrossRef]













| Wellbore Name | Input Variable | ||||
|---|---|---|---|---|---|
| GR | RT | RHOB | TNPH | PEF | |
| UBGH2-1_1 | 0.00004 | 0.00023 | 0.27144 | 0.21068 | 0.14138 |
| UBGH2-1_2 | 0.15054 | 0.33640 | 0.01392 | 0.02958 | 0.10049 |
| UBGH2-2_1 | 0.47748 | 0.02856 | 0.25503 | 0.52418 | 0.00063 |
| UBGH2-2_2 | 0.11022 | 0.07453 | 0.44090 | 0.47472 | 0.06503 |
| UBGH2-3 | 0.25000 | 0.36120 | 0.32149 | 0.29594 | 0.26214 |
| UBGH2-4 | 0.02789 | 0.01000 | 0.37577 | 0.32604 | 0.05856 |
| UBGH2-5 | 0.00518 | 0.41474 | 0.66912 | 0.64160 | 0.27040 |
| UBGH2-6 | 0.17140 | 0.08352 | 0.31584 | 0.29052 | 0.01103 |
| UBGH2-7 | 0.24404 | 0.33989 | 0.30250 | 0.27458 | 0.22090 |
| UBGH2-8 | 0.00012 | 0.19536 | 0.55801 | 0.41732 | 0.31923 |
| UBGH2-9 | 0.02690 | 0.16241 | 0.18490 | 0.22468 | 0.01210 |
| UBGH2-10 | 0.06812 | 0.10758 | 0.06350 | 0.12110 | 0.00130 |
| UBGH2-11 | 0.05063 | 0.22753 | 0.15524 | 0.12180 | 0.04040 |
| Average | 0.12173 | 0.18015 | 0.30213 | 0.30406 | 0.11566 |
| Minimum | 0.00004 | 0.00023 | 0.01392 | 0.02958 | 0.00063 |
| Maximum | 0.47748 | 0.41474 | 0.66912 | 0.64160 | 0.31923 |
| Standard Deviation | 0.13854 | 0.14451 | 0.18346 | 0.17392 | 0.11485 |
| Parameter | Value |
|---|---|
| Neural Network Algorithm | LSTM |
| Number of Layers (Input, Hidden, Output) | (1, 1, 1) |
| Optimizer | Adam |
| Dropout Rate | 0.25 |
| Ratio of Data (Training, Validation, Test) | (70%, 15%, 15%) |
| Fold Number | Data Type | Mean | Standard Deviation | Minimum | Maximum |
|---|---|---|---|---|---|
| Fold 1 | Training | 0.0870 | 0.6500 | −1.1556 | 6.4422 |
| Validation | 0.2624 | 1.4909 | −2.3569 | 12.4731 | |
| Test | 0.0071 | 0.7469 | −1.5295 | 3.1866 | |
| Fold 2 | Training | 0.1042 | 0.6668 | −1.083 | 6.4581 |
| Validation | 0.2731 | 1.3162 | −2.1941 | 12.2122 | |
| Test | 0.0071 | 0.7469 | −1.5295 | 3.1866 | |
| Fold 3 | Training | 0.1228 | 0.6995 | −1.5363 | 6.5456 |
| Validation | 0.0054 | 0.6352 | −1.5293 | 2.3126 | |
| Test | 0.0071 | 0.7469 | −1.5295 | 3.1866 | |
| Fold 4 | Training | 1.6254 | 0.8436 | −1.7872 | 8.3321 |
| Validation | 0.0488 | 0.6029 | −1.1615 | 3.9717 | |
| Test | 0.0071 | 0.7469 | −1.5295 | 3.1866 | |
| Fold 5 | Training | 0.1475 | 0.8598 | −1.9181 | 9.0759 |
| Validation | −0.1290 | 0.7534 | −1.5396 | 6.1157 | |
| Test | 0.0071 | 0.7469 | −1.5295 | 3.1866 | |
| Fold 6 | Training | 0.1372 | 0.7552 | −0.4369 | 7.6077 |
| Validation | 0.1283 | 0.7686 | −1.1311 | 6.9952 | |
| Test | 0.0071 | 0.7469 | −1.5295 | 3.1866 | |
| Fold 7 | Training | −0.1565 | 0.8117 | −1.7292 | 8.1865 |
| Validation | 0.0776 | 0.7495 | −1.4006 | 3.3819 | |
| Test | 0.0071 | 0.7469 | −1.5295 | 3.1866 | |
| Fold 8 | Training | 0.1349 | 0.8198 | −1.8158 | 8.3387 |
| Validation | 0.0327 | 0.6069 | −0.9845 | 2.5030 | |
| Test | 0.0071 | 0.7469 | −1.5295 | 3.1866 | |
| Fold 9 | Training | 0.1435 | 0.7756 | −1.6429 | 7.5061 |
| Validation | 0.0513 | 0.6240 | −0.9654 | 2.1172 | |
| Test | 0.0071 | 0.7469 | −1.5295 | 3.1866 | |
| Fold 10 | Training | 0.1328 | 0.7367 | −1.6206 | 7.0720 |
| Validation | 0.1702 | 0.7270 | −1.1042 | 2.9059 | |
| Test | 0.0071 | 0.7469 | −1.5295 | 3.1866 |
Publisher’s Note: MDPI stays neutral with regard to jurisdictional claims in published maps and institutional affiliations. |
© 2022 by the authors. Licensee MDPI, Basel, Switzerland. This article is an open access article distributed under the terms and conditions of the Creative Commons Attribution (CC BY) license (https://creativecommons.org/licenses/by/4.0/).
Share and Cite
Ji, M.; Kwon, S.; Kim, M.; Kim, S.; Min, B. Generation of Synthetic Compressional Wave Velocity Based on Deep Learning: A Case Study of Ulleung Basin Gas Hydrate in the Republic of Korea. Appl. Sci. 2022, 12, 8775. https://doi.org/10.3390/app12178775
Ji M, Kwon S, Kim M, Kim S, Min B. Generation of Synthetic Compressional Wave Velocity Based on Deep Learning: A Case Study of Ulleung Basin Gas Hydrate in the Republic of Korea. Applied Sciences. 2022; 12(17):8775. https://doi.org/10.3390/app12178775
Chicago/Turabian StyleJi, Minsoo, Seoyoon Kwon, Min Kim, Sungil Kim, and Baehyun Min. 2022. "Generation of Synthetic Compressional Wave Velocity Based on Deep Learning: A Case Study of Ulleung Basin Gas Hydrate in the Republic of Korea" Applied Sciences 12, no. 17: 8775. https://doi.org/10.3390/app12178775
APA StyleJi, M., Kwon, S., Kim, M., Kim, S., & Min, B. (2022). Generation of Synthetic Compressional Wave Velocity Based on Deep Learning: A Case Study of Ulleung Basin Gas Hydrate in the Republic of Korea. Applied Sciences, 12(17), 8775. https://doi.org/10.3390/app12178775

