Habitat Destruction and Restoration in Relation to Extinction and Survival of Species in Competitive Communities
Abstract
1. Introduction
2. The Models and Analyses
- is the mortality rate of species,
- represents the remaining habitat,
- is the direct effect of habitat destruction where is the ratio between the rate of change of the remaining habitat and the remaining habitat; in other words, is the balance between the two figures. If is a decreasing function, the direct effect of the habitat loss will be decreasing. Otherwise, it will be increasing over time.
2.1. Finding a Nontrivial Equilibrium Point
2.2. Finding a Solution
3. Varieties of Habitat Destruction and Their Simulation Results
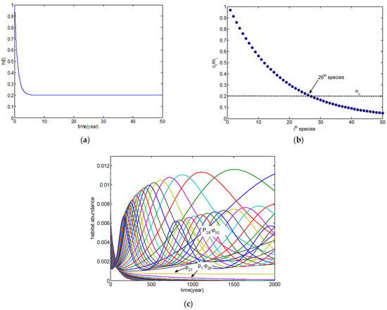
3.1. Basic Continuous Destruction
3.2. Sudden Habitat Destruction
3.3. Sudden Habitat Destruction with Aftershock
4. Summary and Discussion
Author Contributions
Funding
Institutional Review Board Statement
Informed Consent Statement
Data Availability Statement
Acknowledgments
Conflicts of Interest
References
- Nee, S.; May, R.M. Dynamics of metapopulations: Habitat destruction and competitive coexistence. J. Anim. Ecol. 1992, 61, 37–40. [Google Scholar] [CrossRef]
- Tilman, D.; May, R.M.; Lehman, C.L.; Nowak, M.A. Habitat destruction and the extinction debt. Nature 1994, 371, 65–66. [Google Scholar] [CrossRef]
- Tilman, D.; Lehman, C.L.; Yin, C. Habitat destruction, dispersal, and deterministic extinction in competitive communities. Am. Nat. 1997, 149, 407–435. [Google Scholar] [CrossRef]
- Klausmeier, C.A. Extinction in multispecies and spatially explicit models of habitat destruction. Am. Nat. 1998, 152, 303–310. [Google Scholar] [CrossRef] [PubMed]
- Bascompte, J.; Solé, R.V. Effects of habitat destruction in a prey–predator metapopulation model. J. Theor. Biol. 1998, 195, 383–393. [Google Scholar] [CrossRef] [PubMed]
- Swihart, R.K.; Feng, Z.; Slade, N.A.; Mason, D.M.; Gehring, T.M. Effects of habitat destruction and resource supplementation in a predator–prey metapopulation model. J. Theor. Biol. 2001, 210, 287–303. [Google Scholar] [CrossRef] [PubMed]
- Keitt, T.H.; Johnson, A.R. Spatial heterogeneity and anomalous kinetics: Emergent patterns in diffusion-limited predatory-prey interaction. J. Theor. Biol. 1995, 172, 127–139. [Google Scholar] [CrossRef]
- Hanski, I.; KorpimÄki, E. Microtine rodent dynamics in northern Europe: Parameterized models for the predator-prey interaction. Ecology 1995, 76, 840–850. [Google Scholar] [CrossRef]
- De Roos, A.M.; McCauley, E.; Wilson, W.G. Pattern formation and the spatial scale of interaction between predators and their prey. Theor. Popul. Biol. 1998, 53, 108–130. [Google Scholar] [CrossRef]
- Prakash, S.; de Roos, A.M. Habitat destruction in a simple predator–prey patch model: How predators enhance prey persistence and abundance. Theor. Popul. Biol. 2002, 62, 231–249. [Google Scholar] [CrossRef]
- Nee, S.; Hassell, M.P.; May, R.M. Two-species metapopulation models. In Metapopulation Biology; Elsevier: Amsterdam, The Netherlands, 1997; pp. 123–147. [Google Scholar]
- Prakash, S.; de Roos, A.M. Habitat destruction in mutualistic metacommunities. Theor. Popul. Biol. 2004, 65, 153–163. [Google Scholar] [CrossRef] [PubMed]
- Ovaskainen, O. Habitat destruction, habitat restoration and eigenvector–eigenvalue relations. Math. Biosci. 2003, 181, 165–176. [Google Scholar] [CrossRef]
- Nakagiri, N.; Tainaka, K.-I.; Tao, T. Indirect relation between species extinction and habitat destruction. Ecol. Model. 2001, 137, 109–118. [Google Scholar] [CrossRef]
- Lin, Z.-S.; Qi, X.-Z.; Li, B.-L. Can best competitors avoid extinction as habitat destruction? Ecol. Model. 2005, 182, 107–112. [Google Scholar] [CrossRef]
- Lin, Z.-S. The ecological order of persisting species during habitat destruction. Ecol. Model. 2005, 184, 249–256. [Google Scholar] [CrossRef]
- Nakagiri, N.; Tainaka, K.-I. Indirect effects of habitat destruction in model ecosystems. Ecol. Model. 2004, 174, 103–114. [Google Scholar] [CrossRef]
- Rybicki, J.; Hanski, I. Species–area relationships and extinctions caused by habitat loss and fragmentation. Ecol. Lett. 2013, 16, 27–38. [Google Scholar] [CrossRef]
- Rompré, G.; Robinson, W.D.; Desrochers, A.; Angehr, G. Predicting declines in avian species richness under nonrandom patterns of habitat loss in a Neotropical landscape. Ecol. Appl. 2009, 19, 1614–1627. [Google Scholar] [CrossRef][Green Version]
- Dri, G.F.; Fontana, C.S.; de Sales Dambros, C. Estimating the impacts of habitat loss induced by urbanization on bird local extinctions. Biol. Conserv. 2021, 256, 109064. [Google Scholar] [CrossRef]
- Xu, D.; Feng, Z.; Allen, L.J.; Swihart, R.K. A spatially structured metapopulation model with patch dynamics. J. Theor. Biol. 2006, 239, 469–481. [Google Scholar] [CrossRef]
- Morozov, A.; Li, B.-L. Abundance patterns in multi-species communities exposed to habitat destruction. J. Theor. Biol. 2008, 251, 593–605. [Google Scholar] [CrossRef]
- Liu, H.; Lin, J.; Zhang, M.; Lin, Z.; Wen, T. Extinction of poorest competitors and temporal heterogeneity of habitat destruction. Ecol. Model. 2008, 219, 30–38. [Google Scholar] [CrossRef]
- Chen, L.-L.; Hui, C. Habitat destruction and the extinction debt revisited: The Allee effect. Math. Biosci. 2009, 221, 26–32. [Google Scholar] [CrossRef] [PubMed]
- Pongvuthithum, R.; Likasiri, C. Analytical discussions on species extinction in competitive communities due to habitat destruction. Ecol. Model. 2010, 221, 2634–2641. [Google Scholar] [CrossRef]








Publisher’s Note: MDPI stays neutral with regard to jurisdictional claims in published maps and institutional affiliations. |
© 2022 by the authors. Licensee MDPI, Basel, Switzerland. This article is an open access article distributed under the terms and conditions of the Creative Commons Attribution (CC BY) license (https://creativecommons.org/licenses/by/4.0/).
Share and Cite
Chonsiripong, K.; Duangdai, E.; Pongvuthithum, R.; Likasiri, C. Habitat Destruction and Restoration in Relation to Extinction and Survival of Species in Competitive Communities. Appl. Sci. 2022, 12, 8693. https://doi.org/10.3390/app12178693
Chonsiripong K, Duangdai E, Pongvuthithum R, Likasiri C. Habitat Destruction and Restoration in Relation to Extinction and Survival of Species in Competitive Communities. Applied Sciences. 2022; 12(17):8693. https://doi.org/10.3390/app12178693
Chicago/Turabian StyleChonsiripong, Kornphong, Eakkapong Duangdai, Radom Pongvuthithum, and Chulin Likasiri. 2022. "Habitat Destruction and Restoration in Relation to Extinction and Survival of Species in Competitive Communities" Applied Sciences 12, no. 17: 8693. https://doi.org/10.3390/app12178693
APA StyleChonsiripong, K., Duangdai, E., Pongvuthithum, R., & Likasiri, C. (2022). Habitat Destruction and Restoration in Relation to Extinction and Survival of Species in Competitive Communities. Applied Sciences, 12(17), 8693. https://doi.org/10.3390/app12178693

