Efficient Gene Transfection by Electroporation—In Vitro and In Silico Study of Pulse Parameters
Abstract
1. Introduction
2. Materials and Methods
2.1. Cells
2.2. Cell Size Measurement
2.3. Nanosecond Pulses
2.4. High Frequency Bipolar Pulses
2.5. Micro and Millisecond Pulses
2.6. Permeabilization
2.7. Temperature Measurement during Pulse Delivery
2.8. Cell Survival after Permeabilization
2.9. Plasmids
2.10. Gene Electrotransfer and Cell Survival after Gene Electrotransfer
2.11. Overall Gene Electrotransfer
2.12. The Time Dynamics of Transgene Expression
2.13. Statistical Analysis
2.14. Modeling the Probability of pDNA and Cell Membrane Contact during GET
3. Results
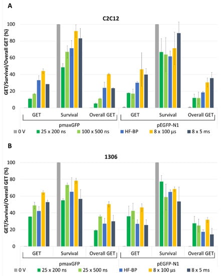
3.1. Determining Optimal Electric Field Amplitude for GET
3.2. Effect of pDNA Concentration on GET, MFI, Cell Survival, and Overall GET
3.3. Effect of Different pDNA Size on GET
3.4. Effect of Pulse Parameters on Overall GET and MFI
3.5. Time Dynamics of pDNA Expression
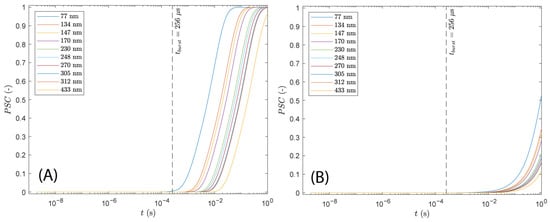
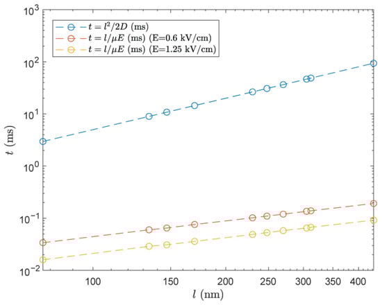
3.6. Modeling the Probability of pDNA and Cell Membrane Contact during GET
3.6.1. 200 ns and 500 ns Pulses
3.6.2. HF-BP Pulses
3.6.3. 100 µs Pulses
3.6.4. 5 ms Pulses
4. Discussion
4.1. Cell Membrane Permeabilization and Cell Survival
4.2. Effect of pDNA Concentration on Overall Gene Electrotransfer
4.3. Gene Electrotransfer Using Different Plasmid Sizes
4.4. Effect of Pulse Parameters on Overall Gene Electrotransfer
4.5. Time Dynamics of pDNA Expression
4.6. Modeling the Probability of pDNA Cell Membrane Contact during GET
5. Conclusions
Supplementary Materials
Author Contributions
Funding
Institutional Review Board Statement
Informed Consent Statement
Data Availability Statement
Acknowledgments
Conflicts of Interest
References
- Rosazza, C.; Haberl Meglic, S.; Zumbusch, A.; Rols, M.-P.; Miklavcic, D. Gene Electrotransfer: A Mechanistic Perspective. Curr. Gene Ther. 2016, 16, 98–129. [Google Scholar] [CrossRef] [PubMed]
- Sokołowska, E.; Błachnio-Zabielska, A.U. A Critical Review of Electroporation as a Plasmid Delivery System in Mouse Skeletal Muscle. Int. J. Mol. Sci. 2019, 20, 2776. [Google Scholar] [CrossRef] [PubMed]
- Fajrial, A.K.; He, Q.Q.; Wirusanti, N.I.; Slansky, J.E.; Ding, X. A Review of Emerging Physical Transfection Methods for CRISPR/Cas9-Mediated Gene Editing. Theranostics 2020, 10, 5532–5549. [Google Scholar] [CrossRef] [PubMed]
- Folegatti, P.M.; Bittaye, M.; Flaxman, A.; Lopez, F.R.; Bellamy, D.; Kupke, A.; Mair, C.; Makinson, R.; Sheridan, J.; Rohde, C.; et al. Safety and Immunogenicity of a Candidate Middle East Respiratory Syndrome Coronavirus Viral-Vectored Vaccine: A Dose-Escalation, Open-Label, Non-Randomised, Uncontrolled, Phase 1 Trial. Lancet Infect. Dis. 2020, 20, 816–826. [Google Scholar] [CrossRef]
- Morrow, M.P.; Kraynyak, K.A.; Sylvester, A.J.; Shen, X.; Amante, D.; Sakata, L.; Parker, L.; Yan, J.; Boyer, J.; Roh, C.; et al. Augmentation of Cellular and Humoral Immune Responses to HPV16 and HPV18 E6 and E7 Antigens by VGX-3100. Mol. Ther. Oncolytics 2016, 3, 16025. [Google Scholar] [CrossRef] [PubMed]
- Topol, E.J. Messenger RNA Vaccines against SARS-CoV-2. Cell 2021, 184, 1401. [Google Scholar] [CrossRef] [PubMed]
- Algazi, A.P.; Twitty, C.G.; Tsai, K.K.; Le, M.; Pierce, R.; Browning, E.; Hermiz, R.; Canton, D.A.; Bannavong, D.; Oglesby, A.; et al. Phase II Trial of IL-12 Plasmid Transfection and PD-1 Blockade in Immunologically Quiescent Melanoma. Clin. Cancer Res. 2020, 26, 2827–2837. [Google Scholar] [CrossRef] [PubMed]
- Bhatia, S.; Longino, N.V.; Miller, N.J.; Kulikauskas, R.; Iyer, J.G.; Ibrani, D.; Blom, A.; Byrd, D.R.; Parvathaneni, U.; Twitty, C.G.; et al. Intratumoral Delivery of Plasmid IL12 via Electroporation Leads to Regression of Injected and Noninjected Tumors in Merkel Cell Carcinoma. Clin. Cancer Res. 2020, 26, 598–607. [Google Scholar] [CrossRef] [PubMed]
- Heller, R.; Heller, L.C. Gene Electrotransfer Clinical Trials. Adv. Genet. 2015, 89, 235–262. [Google Scholar] [CrossRef]
- Geboers, B.; Scheffer, H.J.; Graybill, P.M.; Ruarus, A.H.; Nieuwenhuizen, S.; Puijk, R.S.; Van Den Tol, P.M.; Davalos, R.V.; Rubinsky, B.; De Gruijl, T.D.; et al. High-Voltage Electrical Pulses in Oncology: Irreversible Electroporation, Electrochemotherapy, Gene Electrotransfer, Electrofusion, and Electroimmunotherapy; Radiological Society of North America (RSNA): Oak Brook, IL, USA, 2020; Volume 295, pp. 254–272. [Google Scholar]
- Alzubi, J.; Lock, D.; Rhiel, M.; Schmitz, S.; Wild, S.; Mussolino, C.; Hildenbeutel, M.; Brandes, C.; Rositzka, J.; Lennartz, S.; et al. Automated Generation of Gene-Edited CAR T Cells at Clinical Scale. Mol. Ther. Methods Clin. Dev. 2021, 20, 379–388. [Google Scholar] [CrossRef]
- Mingozzi, F.; High, K.A. Immune Responses to AAV in Clinical Trials. Curr. Gene Ther. 2011, 11, 321–330. [Google Scholar] [CrossRef] [PubMed]
- Stewart, M.P.; Sharei, A.; Ding, X.; Sahay, G.; Langer, R.; Jensen, K.F. In Vitro and Ex Vivo Strategies for Intracellular Delivery. Nature 2016, 538, 183–192. [Google Scholar] [CrossRef] [PubMed]
- Haberl, S.; Kandušer, M.; Flisar, K.; Hodžić, D.; Bregar, V.B.; Miklavčič, D.; Escoffre, J.M.; Rols, M.P.; Pavlin, M. Effect of Different Parameters Used for in Vitro Gene Electrotransfer on Gene Expression Efficiency, Cell Viability and Visualization of Plasmid DNA at the Membrane Level. J. Gene Med. 2013, 15, 169–181. [Google Scholar] [CrossRef]
- Potočnik, T.; Miklavčič, D.; Maček Lebar, A. Gene Transfer by Electroporation with High Frequency Bipolar Pulses in Vitro. Bioelectrochemistry 2021, 140, 107803. [Google Scholar] [CrossRef] [PubMed]
- Chopra, S.; Ruzgys, P.; Maciulevičius, M.; Jakutavičiute, M.; Šatka, S. Investigation of Plasmid DNA Delivery and Cell Viability Dynamics for Optimal Cell Electrotransfection in Vitro. Appl. Sci. 2020, 10, 6070. [Google Scholar] [CrossRef]
- Gehl, J.; Mir, L.M. Determination of Optimal Parameters for in Vivo Gene Transfer by Electroporation, Using a Rapid in Vivo Test for Cell Permeabilization. Biochem. Biophys. Res. Commun. 1999, 261, 377–380. [Google Scholar] [CrossRef]
- Young, J.L.; Dean, D.A. Electroporation-Mediated Gene Delivery. Adv. Genet. 2015, 89, 49–88. [Google Scholar] [CrossRef]
- Čemažar, M.; Jarm, T.; Miklavčič, D.; Lebar, A.M.; Ihan, A.; Kopitar, N.A.; Serša, G. Effect of Electric-Field Intensity on Electropermeabilization and Electrosensitivity of Various Tumor-Cell Lines in vitro. Electro Magn. 1998, 17, 263–272. [Google Scholar] [CrossRef]
- Faurie, C.; Rebersek, M.; Golzio, M.; Kanduser, M.; Escoffre, J.M.; Pavlin, M.; Teissie, J.; Miklavcic, D.; Rols, M.P. Electro-Mediated Gene Transfer and Expression Are Controlled by the Life-Time of DNA/Membrane Complex Formation. J. Gene Med. 2010, 12, 117–125. [Google Scholar] [CrossRef]
- Sachdev, S.; Feijoo Moreira, S.; Keehnen, Y.; Rems, L.; Kreutzer, M.T.; Boukany, P.E. DNA-Membrane Complex Formation during Electroporation Is DNA Size-Dependent. Biochim. Biophys. Acta Biomembr. 2020, 1862, 183089. [Google Scholar] [CrossRef]
- Wu, M.; Yuan, F. Membrane Binding of Plasmid DNA and Endocytic Pathways Are Involved in Electrotransfection of Mammalian Cells. PLoS ONE 2011, 6, e20923. [Google Scholar] [CrossRef] [PubMed]
- Wang, L.; Miller, S.E.; Yuan, F. Ultrastructural Analysis of Vesicular Transport in Electrotransfection. Microsc. Microanal. 2018, 24, 553–563. [Google Scholar] [CrossRef] [PubMed]
- Rosazza, C.; Deschout, H.; Buntz, A.; Braeckmans, K.; Rols, M.P.; Zumbusch, A. Endocytosis and Endosomal Trafficking of DNA After Gene Electrotransfer In Vitro. Mol. Ther. Nucleic Acids 2016, 5, e286. [Google Scholar] [CrossRef] [PubMed]
- Pavlin, M.; Flisar, K.; Kandušer, M. The Role of Electrophoresis in Gene Electrotransfer. J. Membr. Biol. 2010, 236, 75–79. [Google Scholar] [CrossRef] [PubMed]
- André, F.M.; Gehl, J.; Sersa, G.; Préat, V.; Hojman, P.; Eriksen, J.; Golzio, M.; Cemazar, M.; Pavselj, N.; Rols, M.P.; et al. Efficiency of High- and Low-Voltage Pulse Combinations for Gene Electrotransfer in Muscle, Liver, Tumor, and Skin. Hum. Gene Ther. 2008, 19, 1261–1271. [Google Scholar] [CrossRef]
- Sano, M.B.; Fan, R.E.; Cheng, K.; Saenz, Y.; Sonn, G.A.; Hwang, G.L.; Xing, L. Reduction of Muscle Contractions during Irreversible Electroporation Therapy Using High-Frequency Bursts of Alternating Polarity Pulses: A Laboratory Investigation in an Ex Vivo Swine Model. J. Vasc. Interv. Radiol. 2018, 29, 893–898.e4. [Google Scholar] [CrossRef]
- Chafai, D.E.; Mehle, A.; Tilmatine, A.; Maouche, B.; Miklavčič, D. Assessment of the Electrochemical Effects of Pulsed Electric Fields in a Biological Cell Suspension. Bioelectrochemistry 2015, 106, 249–257. [Google Scholar] [CrossRef]
- Vižintin, A.; Vidmar, J.; Ščančar, J.; Miklavčič, D. Effect of Interphase and Interpulse Delay in High-Frequency Irreversible Electroporation Pulses on Cell Survival, Membrane Permeabilization and Electrode Material Release. Bioelectrochemistry 2020, 134, 107523. [Google Scholar] [CrossRef]
- Klein, N.; Guenther, E.; Botea, F.; Pautov, M.; Dima, S.; Tomescu, D.; Popescu, M.; Ivorra, A.; Stehling, M.; Popescu, I. The Combination of Electroporation and Electrolysis (E2) Employing Different Electrode Arrays for Ablation of Large Tissue Volumes. PLoS ONE 2019, 14, e0221393. [Google Scholar] [CrossRef]
- Maglietti, F.; Michinski, S.; Olaiz, N.; Castro, M.; Suárez, C.; Marshall, G. The Role of Ph Fronts in Tissue Electroporation Based Treatments. PLoS ONE 2013, 8, e80167. [Google Scholar] [CrossRef]
- Olaiz, N.; Signori, E.; Maglietti, F.; Soba, A.; Suárez, C.; Turjanski, P.; Michinski, S.; Marshall, G. Tissue Damage Modeling in Gene Electrotransfer: The Role of PH. Bioelectrochemistry 2014, 100, 105–111. [Google Scholar] [CrossRef] [PubMed]
- Turjanski, P.; Olaiz, N.; Maglietti, F.; Michinski, S.; Suárez, C.; Molina, F.V.; Marshall, G. The Role of PH Fronts in Reversible Electroporation. PLoS ONE 2011, 6, e17303. [Google Scholar] [CrossRef] [PubMed]
- Sano, M.B.; Arena, C.B.; Bittleman, K.R.; Dewitt, M.R.; Cho, H.J.; Szot, C.S.; Saur, D.; Cissell, J.M.; Robertson, J.; Lee, Y.W.; et al. Bursts of Bipolar Microsecond Pulses Inhibit Tumor Growth. Sci. Rep. 2015, 5, 14999. [Google Scholar] [CrossRef]
- Mahnič-Kalamiza, S.; Miklavčič, D. Scratching the Electrode Surface: Insights into a High-Voltage Pulsed-Field Application from in Vitro & in Silico Studies in Indifferent Fluid. Electrochim. Acta 2020, 363, 137187. [Google Scholar] [CrossRef]
- Yao, C.; Dong, S.; Zhao, Y.; Lv, Y.; Liu, H.; Gong, L.; Ma, J.; Wang, H.; Sun, Y. Bipolar Microsecond Pulses and Insulated Needle Electrodes for Reducing Muscle Contractions during Irreversible Electroporation. IEEE Trans. Biomed. Eng. 2017, 64, 2924–2937. [Google Scholar] [CrossRef]
- Mercadal, B.; Arena, C.B.; Davalos, R.V.; Ivorra, A. Avoiding Nerve Stimulation in Irreversible Electroporation: A Numerical Modeling Study. Phys. Med. Biol. 2017, 62, 8060–8079. [Google Scholar] [CrossRef]
- Aycock, K.N.; Zhao, Y.; Lorenzo, M.F.; Davalos, R.V. A Theoretical Argument for Extended Interpulse Delays in Therapeutic High-Frequency Irreversible Electroporation Treatments. IEEE Trans. Biomed. Eng. 2021, 68, 1999–2010. [Google Scholar] [CrossRef]
- Cvetkoska, A.; Maček-Lebar, A.; Trdina, P.; Miklavčič, D.; Reberšek, M. Muscle Contractions and Pain Sensation Accompanying High-Frequency Electroporation Pulses. Sci. Rep. 2022, 12, 8019. [Google Scholar] [CrossRef] [PubMed]
- Ruzgys, P.; Novickij, V.; Novickij, J.; Šatkauskas, S. Nanosecond Range Electric Pulse Application as a Non-Viral Gene Delivery Method: Proof of Concept. Sci. Rep. 2018, 8, 15502. [Google Scholar] [CrossRef]
- Novickij, V.; Balevičiūtė, A.; Ruzgys, P.; Šatkauskas, S.; Novickij, J.; Zinkevičienė, A.; Girkontaitė, I. Sub-Microsecond Electrotransfection Using New Modality of High Frequency Electroporation. Bioelectrochemistry 2020, 136, 107594. [Google Scholar] [CrossRef]
- Chang, A.Y.; Liu, X.; Tian, H.; Hua, L.; Yang, Z.; Wang, S. Microfluidic Electroporation Coupling Pulses of Nanoseconds and Milliseconds to Facilitate Rapid Uptake and Enhanced Expression of DNA in Cell Therapy. Sci. Rep. 2020, 10, 6061. [Google Scholar] [CrossRef]
- Thompson, G.L.; Roth, C.C.; Kuipers, M.A.; Tolstykh, G.P.; Beier, H.T.; Ibey, B.L. Permeabilization of the Nuclear Envelope Following Nanosecond Pulsed Electric Field Exposure. Biochem. Biophys. Res. Commun. 2016, 470, 35–40. [Google Scholar] [CrossRef]
- Batista Napotnik, T.; Reberšek, M.; Vernier, P.T.; Mali, B.; Miklavčič, D. Effects of High Voltage Nanosecond Electric Pulses on Eucaryotic Cells (in Vitro): A Systematic Review. Bioelectrochemistry 2016, 110, 1–12. [Google Scholar] [CrossRef]
- Beebe, S.J.; Blackmore, P.F.; White, J.; Joshi, R.P.; Schoenbach, K.H. Nanosecond Pulsed Electric Fields Modulate Cell Function through Intracellular Signal Transduction Mechanisms. Physiol. Meas. 2004, 25, 1077–1093. [Google Scholar] [CrossRef]
- Chopinet, L.; Batista-Napotnik, T.; Montigny, A.; Rebersek, M.; Teissié, J.; Rols, M.P.; Miklavčič, D. Nanosecond Electric Pulse Effects on Gene Expression. J. Membr. Biol. 2013, 246, 851–859. [Google Scholar] [CrossRef] [PubMed]
- Guo, S.; Jackson, D.L.; Burcus, N.I.; Chen, Y.J.; Xiao, S.; Heller, R. Gene Electrotransfer Enhanced by Nanosecond Pulsed Electric Fields. Mol. Ther. Methods Clin. Dev. 2014, 1, 14043. [Google Scholar] [CrossRef] [PubMed]
- Vižintin, A.; Marković, S.; Ščančar, J.; Miklavčič, D. Electroporation with Nanosecond Pulses and Bleomycin or Cisplatin Results in Efficient Cell Kill and Low Metal Release from Electrodes. Bioelectrochemistry 2021, 140, 107798. [Google Scholar] [CrossRef]
- Novickij, V.; Balevičiute, A.; Malysko, V.; Želvys, A.; Radzevičiute, E.; Kos, B.; Zinkeviciene, A.; Miklavčič, D.; Novickij, J.; Girkontaite, I. Effects of Time Delay between Unipolar Pulses in High Frequency Nano-Electrochemotherapy. IEEE Trans. Biomed. Eng. 2022, 69, 1726–1732. [Google Scholar] [CrossRef]
- Schoenbach, K.H.; Beebe, S.J.; Buescher, E.S. Intracellular Effect of Ultrashort Electrical Pulses. Bioelectromagnetics 2001, 22, 440–448. [Google Scholar] [CrossRef] [PubMed]
- Tekle, E.; Oubrahim, H.; Dzekunov, S.M.; Kolb, J.F.; Schoenbach, K.H.; Chock, P.B. Selective Field Effects on Intracellular Vacuoles and Vesicle Membranes with Nanosecond Electric Pulses. Biophys. J. 2005, 89, 274–284. [Google Scholar] [CrossRef] [PubMed]
- Napotnik, T.B.; Wu, Y.H.; Gundersen, M.A.; Miklavčič, D.; Vernier, P.T. Nanosecond Electric Pulses Cause Mitochondrial Membrane Permeabilization in Jurkat Cells. Bioelectromagnetics 2012, 33, 257–264. [Google Scholar] [CrossRef] [PubMed]
- Vernier, P.T.; Sun, Y.; Marcu, L.; Salemi, S.; Craft, C.M.; Gundersen, M.A. Calcium Bursts Induced by Nanosecond Electric Pulses. Biochem. Biophys. Res. Commun. 2003, 310, 286–295. [Google Scholar] [CrossRef] [PubMed]
- Ford, W.E.; Ren, W.; Blackmore, P.F.; Schoenbach, K.H.; Beebe, S.J. Nanosecond Pulsed Electric Fields Stimulate Apoptosis without Release of Pro-Apoptotic Factors from Mitochondria in B16f10 Melanoma. Arch. Biochem. Biophys. 2010, 497, 82–89. [Google Scholar] [CrossRef] [PubMed]
- Sachdev, S.; Potočnik, T.; Rems, L.; Miklavčič, D. Revisiting the Role of Pulsed Electric Fields in Overcoming the Barriers to in Vivo Gene Electrotransfer. Bioelectrochemistry 2022, 144, 107994. [Google Scholar] [CrossRef] [PubMed]
- Golzio, M.; Teissié, J.; Rols, M.P. Direct Visualization at the Single-Cell Level of Electrically Mediated Gene Delivery. Proc. Natl. Acad. Sci. USA 2002, 99, 1292–1297. [Google Scholar] [CrossRef] [PubMed]
- Muthukumar, M. Polymer Translocation. Murugappan. Available online: https://books.google.si/books?hl=sl&lr=&id=PcuT-ibRtRIC&oi=fnd&pg=PP1&dq=Muthukumar,+Murugappan.+Polymer+translocation.+CRC+press,+2016.&ots=K0bz9eAsWT&sig=LYEClwUyYngqBXZ5CsyHdcy3Wjc&redir_esc=y#v=onepage&q=Muthukumar%2C (accessed on 9 June 2022).
- Yu, M.; Tan, W.; Lin, H. A Stochastic Model for DNA Translocation through an Electropore. Biochim. Biophys. Acta Biomembr. 2012, 1818, 2494–2501. [Google Scholar] [CrossRef] [PubMed]
- Sachdev, S.; Muralidharan, A.; Choudhary, D.K.; Perrier, D.L.; Rems, L.; Kreutzer, M.T.; Boukany, P.E. DNA Translocation to Giant Unilamellar Vesicles during Electroporation Is Independent of DNA Size. Soft Matter 2019, 15, 9187–9194. [Google Scholar] [CrossRef] [PubMed]
- Sweeney, D.C.; Reberšek, M.; Dermol, J.; Rems, L.; Miklavčič, D.; Davalos, R.V. Quantification of Cell Membrane Permeability Induced by Monopolar and High-Frequency Bipolar Bursts of Electrical Pulses. Biochim. Biophys. Acta Biomembr. 2016, 1858, 2689–2698. [Google Scholar] [CrossRef]
- Bosnjak, M.; Lorente, B.C.; Pogacar, Z.; Makovsek, V.; Cemazar, M. Different Incubation Times of Cells after Gene Electrotransfer in Fetal Bovine Serum Affect Cell Viability, but Not Transfection Efficiency. J. Membr. Biol. 2014, 247, 421–428. [Google Scholar] [CrossRef] [PubMed]
- Delteil, C.; Teissié, J.; Rols, M.P. Effect of Serum on in Vitro Electrically Mediated Gene Delivery and Expression in Mammalian Cells. Biochim. Biophys. Acta Biomembr. 2000, 1467, 362–368. [Google Scholar] [CrossRef]
- Antipina, A.Y.; Gurtovenko, A.A. Molecular-Level Insight into the Interactions of DNA with Phospholipid Bilayers: Barriers and Triggers. RSC Adv. 2016, 6, 36425–36432. [Google Scholar] [CrossRef]
- Stellwagen, N.C.; Gelfi, C.; Righetti, P.G. The Free Solution Mobility of DMA. Available online: https://onlinelibrary.wiley.com/doi/epdf/10.1002/%28SICI%291097-0282%28199711%2942%3A6%3C687%3A%3AAID-BIP7%3E3.0.CO%3B2-Q (accessed on 9 June 2022).
- Portet, T.; Favard, C.; Teissié, J.; Dean, D.S.; Rols, M.P. Insights into the Mechanisms of Electromediated Gene Delivery and Application to the Loading of Giant Vesicles with Negatively Charged Macromolecules. Soft Matter 2011, 7, 3872–3881. [Google Scholar] [CrossRef]
- Potter, H.; Heller, R. Transfection by Electroporation. Curr. Protoc. Mol. Biol. 2018, 2018, 9.3.1–9.3.13. [Google Scholar] [CrossRef] [PubMed]
- Atsavapranee, E.S.; Billingsley, M.M.; Mitchell, M.J. Delivery Technologies for T Cell Gene Editing: Applications in Cancer Immunotherapy. EBioMedicine 2021, 67, 103354. [Google Scholar] [CrossRef] [PubMed]
- Pucihar, G.; Krmelj, J.; Reberšek, M.; Napotnik, T.B.; Miklavčič, D. Equivalent Pulse Parameters for Electroporation. IEEE Trans. Biomed. Eng. 2011, 58, 3279–3288. [Google Scholar] [CrossRef] [PubMed]
- Vera-Tizatl, C.E.; Talamás-Rohana, P.; Vera-Hernández, A.; Leija-Salas, L.; Rodríguez-Cuevas, S.A.; Chávez-Munguía, B.; Vera-Tizatl, A.L. Cell Morphology Impact on the Set-up of Electroporation Protocols for in-Suspension and Adhered Breast Cancer Cells. Electromagn. Biol. Med. 2020, 39, 323–339. [Google Scholar] [CrossRef] [PubMed]
- Harris, E.; Elmer, J.J. Optimization of Electroporation and Other Non-Viral Gene Delivery Strategies for T Cells. Biotechnol. Prog. 2021, 37, e3066. [Google Scholar] [CrossRef] [PubMed]
- Michieletto, D.; Lusic, M.; Marenduzzo, D.; Orlandini, E. Physical Principles of Retroviral Integration in the Human Genome. Nat. Commun. 2019, 10, 575. [Google Scholar] [CrossRef] [PubMed]
- Pavlin, M.; Kandušer, M. New Insights into the Mechanisms of Gene Electrotransfer—Experimental and Theoretical Analysis. Sci. Rep. 2015, 5, 9132. [Google Scholar] [CrossRef] [PubMed]
- Zhang, Z.; Qiu, S.; Zhang, X.; Chen, W. Optimized DNA Electroporation for Primary Human T Cell Engineering. BMC Biotechnol. 2018, 18, 4. [Google Scholar] [CrossRef]
- Yu, L.; Reynaud, F.; Falk, J.; Spencer, A.; Di Ding, Y.; Baumlé, V.; Lu, R.; Castellani, V.; Yuan, C.; Rudkin, B.B. Highly Efficient Method for Gene Delivery into Mouse Dorsal Root Ganglia Neurons. Front. Mol. Neurosci. 2015, 8, 2. [Google Scholar] [CrossRef] [PubMed]
- Markowicz, S.; Niedzielska, J.; Kruszewski, M.; Ołdak, T.; Gajkowska, A.; Machaj, E.K.; Kurzak, H.; Pojda, Z. Nonviral Transfection of Human Umbilical Cord Blood Dendritic Cells Is Feasible, but the Yield of Dendritic Cells with Transgene Expression Limits the Application of This Method in Cancer Immunotherapy. Acta Biochim. Pol. 2006, 53, 203–211. [Google Scholar] [CrossRef] [PubMed]
- Kandušer, M.; Miklavčič, D.; Pavlin, M. Mechanisms Involved in Gene Electrotransfer Using High- and Low-Voltage Pulses—An in Vitro Study. Bioelectrochemistry 2009, 74, 265–271. [Google Scholar] [CrossRef] [PubMed]
- Frandsen, S.K.; McNeil, A.K.; Novak, I.; McNeil, P.L.; Gehl, J. Difference in Membrane Repair Capacity Between Cancer Cell Lines and a Normal Cell Line. J. Membr. Biol. 2016, 249, 569–576. [Google Scholar] [CrossRef] [PubMed]
- Znidar, K.; Bosnjak, M.; Cemazar, M.; Heller, L.C. Cytosolic DNA Sensor Upregulation Accompanies DNA Electrotransfer in B16.F10 Melanoma Cells. Mol. Ther. Nucleic Acids 2016, 5, e322. [Google Scholar] [CrossRef] [PubMed]
- Chopra, S.; Ruzgys, P.; Maciulevičius, M.; Šatkauskas, S. Effect of Cell Passage Time on the Electrotransfection Efficiency. Biol. Bull. 2020, 47, 441–447. [Google Scholar] [CrossRef]
- Lesueur, L.L.; Mir, L.M.; André, F.M. Overcoming the Specific Toxicity of Large Plasmids Electrotransfer in Primary Cells In Vitro. Mol. Ther. Nucleic Acids 2016, 5, e291. [Google Scholar] [CrossRef] [PubMed]
- Zahid, A.; Ismail, H.; Li, B.; Jin, T. Molecular and Structural Basis of DNA Sensors in Antiviral Innate Immunity. Front. Immunol. 2020, 11, 3094. [Google Scholar] [CrossRef] [PubMed]
- Semenova, N.; Bosnjak, M.; Markelc, B.; Znidar, K.; Cemazar, M.; Heller, L. Multiple Cytosolic DNA Sensors Bind Plasmid DNA after Transfection. Nucleic Acids Res. 2019, 47, 10235–10246. [Google Scholar] [CrossRef] [PubMed]
- Hornstein, B.D.; Roman, D.; Arévalo-Soliz, L.M.; Engevik, M.A.; Zechiedrich, L. Effects of Circular DNA Length on Transfection Efficiency by Electroporation into HeLa Cells. PLoS ONE 2016, 11, e0167537. [Google Scholar] [CrossRef] [PubMed]
- Molnar, M.J.; Gilbert, R.; Lu, Y.; Liu, A.B.; Guo, A.; Larochelle, N.; Lochmuller, H.; Petrof, B.J.; Nalbantoglu, J.; Karpati, G. Factors Influencing the Efficacy, Longevity, and Safety of Electroporation-Assisted Plasmid-Based Gene Transfer into Mouse Muscles. Mol. Ther. 2004, 10, 447–455. [Google Scholar] [CrossRef] [PubMed]
- Ribeiro, S.; Mairhofer, J.; Madeira, C.; Diogo, M.M.; Lobato Da Silva, C.; Monteiro, G.; Grabherr, R.; Cabral, J.M. Plasmid DNA Size Does Affect Nonviral Gene Delivery Efficiency in Stem Cells. Cell. Reprogram. 2012, 14, 130–137. [Google Scholar] [CrossRef]
- Smirnikhina, S.A.; Lavrov, A.V.; Bochkov, N.P. Dynamics of Elimination of Plasmids and Expression of VEGF121 Gene Transfected into Human Mesenchymal Stem Cells by Different Methods. Bull. Exp. Biol. Med. 2011, 151, 121–125. [Google Scholar] [CrossRef] [PubMed]
- Čegovnik, U.; Novaković, S. Setting Optimal Parameters for in Vitro Electrotransfection of B16F1, SA1, LPB, SCK, L929 and CHO Cells Using Predefined Exponentially Decaying Electric Pulses. Bioelectrochemistry 2004, 62, 73–82. [Google Scholar] [CrossRef]
- Bodwell, J.; Swift, F.; Richardson, J. Long Duration Electroporation for Achieving High Level Expression of Glucocorticoid Receptors in Mammalian Cell Lines. J. Steroid Biochem. Mol. Biol. 1999, 68, 77–82. [Google Scholar] [CrossRef]
- Tsong, T.Y. Electroporation of Cell Membranes. Biophys. J. 1991, 60, 297–306. [Google Scholar] [CrossRef]
- Kotnik, T.; Rems, L.; Tarek, M.; Miklavcic, D. Membrane Electroporation and Electropermeabilization: Mechanisms and Models. Annu. Rev. Biophys. 2019, 48, 63–91. [Google Scholar] [CrossRef] [PubMed]
- Sherba, J.J.; Hogquist, S.; Lin, H.; Shan, J.W.; Shreiber, D.I.; Zahn, J.D. The Effects of Electroporation Buffer Composition on Cell Viability and Electro-Transfection Efficiency. Sci. Rep. 2020, 10, 3053. [Google Scholar] [CrossRef]
- Haberl, S.; Miklavčič, D.; Pavlin, M. Effect of Mg Ions on Efficiency of Gene Electrotransfer and on Cell Electropermeabilization. Bioelectrochemistry 2010, 79, 265–271. [Google Scholar] [CrossRef]
- Potočnik, T.; Miklavčič, D.; Maček Lebar, A. Effect of Electroporation and Recovery Medium PH on Cell Membrane Permeabilization, Cell Survival and Gene Transfer Efficiency in Vitro. Bioelectrochemistry 2019, 130, 107342. [Google Scholar] [CrossRef]
- Arora, M. Cell Culture Media: A Review. Mater. Methods 2013, 3, 24. [Google Scholar] [CrossRef]
- Saulis, G.; Rodaitė-Riševičienė, R.; Dainauskaitė, V.S.; Saulė, R. Electrochemical Processes during High-Voltage Electric Pulses and Their Importance in Food Processing Technology. Adv. Food Biotechnol. 2015, 35, 575–591. [Google Scholar] [CrossRef]
- Kotnik, T.; Miklavčič, D.; Mir, L.M. Cell Membrane Electropermeabilization by Symmetrical Bipolar Rectangular Pulses: Part II. Reduced Electrolytic Contamination. Bioelectrochemistry 2001, 54, 91–95. [Google Scholar] [CrossRef]
- Cohen, R.N.; van der Aa, M.A.E.M.; Macaraeg, N.; Lee, A.P.; Szoka, F.C. Quantification of Plasmid DNA Copies in the Nucleus after Lipoplex and Polyplex Transfection. J. Control. Release 2009, 135, 166–174. [Google Scholar] [CrossRef]
- Tsai, Y.C.; Tsai, T.H.; Chang, C.P.; Chen, S.F.; Lee, Y.M.; Shyue, S.K. Linear Correlation between Average Fluorescence Intensity of Green Fluorescent Protein and the Multiplicity of Infection of Recombinant Adenovirus. J. Biomed. Sci. 2015, 22, 31. [Google Scholar] [CrossRef]
- Chicaybam, L.; Barcelos, C.; Peixoto, B.; Carneiro, M.; Limia, C.G.; Redondo, P.; Lira, C.; Paraguassú-Braga, F.; De Vasconcelos, Z.F.M.; Barros, L.; et al. An Efficient Electroporation Protocol for the Genetic Modification of Mammalian Cells. Front. Bioeng. Biotechnol. 2017, 4, 99. [Google Scholar] [CrossRef]
- Znidar, K.; Bosnjak, M.; Semenova, N.; Pakhomova, O.; Heller, L.; Cemazar, M. Tumor Cell Death after Electrotransfer of Plasmid DNA Is Associated with Cytosolic DNA Sensor Upregulation. Oncotarget 2018, 9, 18665–18681. [Google Scholar] [CrossRef][Green Version]
- Rosazza, C.; Phez, E.; Escoffre, J.M.; Cézanne, L.; Zumbusch, A.; Rols, M.P. Cholesterol Implications in Plasmid DNA Electrotransfer: Evidence for the Involvement of Endocytotic Pathways. Int. J. Pharm. 2012, 423, 134–143. [Google Scholar] [CrossRef]
- Mao, M.; Wang, L.; Chang, C.C.; Rothenberg, K.E.; Huang, J.; Wang, Y.; Hoffman, B.D.; Liton, P.B.; Yuan, F. Involvement of a Rac1-Dependent Macropinocytosis Pathway in Plasmid DNA Delivery by Electrotransfection. Mol. Ther. 2017, 25, 803–815. [Google Scholar] [CrossRef]
- Chang, C.C.; Wu, M.; Yuan, F. Role of Specific Endocytic Pathways in Electrotransfection of Cells. Mol. Ther. Methods Clin. Dev. 2014, 1, 14058. [Google Scholar] [CrossRef]
- Cervia, L.D.; Chang, C.C.; Wang, L.; Yuan, F. Distinct Effects of Endosomal Escape and Inhibition of Endosomal Trafficking on Gene Delivery via Electrotransfection. PLoS ONE 2017, 12, e0171699. [Google Scholar] [CrossRef] [PubMed]
- Cervia, L.D.; Chang, C.C.; Wang, L.; Mao, M.; Yuan, F. Enhancing Electrotransfection Efficiency through Improvement in Nuclear Entry of Plasmid DNA. Mol. Ther. Nucleic Acids 2018, 11, 263–271. [Google Scholar] [CrossRef] [PubMed]
- Radzevičiūtė, E.; Malyško-Ptašinskė, V.; Novickij, J.; Novickij, V.; Girkontaitė, I. Transfection by Electroporation of Cancer and Primary Cells Using Nanosecond and Microsecond Electric Fields. Pharmaceutics 2022, 14, 1239. [Google Scholar] [CrossRef] [PubMed]
- Robertson, R.M.; Smith, D.E. Self-Diffusion of Entangled Linear and Circular DNA Molecules: Dependence on Length and Concentration. Macromolecules 2007, 40, 3373–3377. [Google Scholar] [CrossRef]
- Robertson, R.M.; Laib, S.; Smith, D.E. Diffusion of Isolated DNA Molecules: Dependence on Length and Topology. Proc. Natl. Acad. Sci. USA 2006, 103, 7310–7314. [Google Scholar] [CrossRef] [PubMed]























| C2C12 (16.8 ± 1.8 µm) | 1306 (14.3 ± 1.4 µm) |
|---|---|
| 25 × 200 ns, 10 Hz, 15.8 kV/cm | 25 × 200 ns, 10 Hz, 12.8 kV/cm |
| 100 × 500 ns, 10 Hz, 4.1 kV/cm | 25 × 500 ns, 10 Hz, 6.5 kV/cm |
| 2-2-2-2, 32 p, 100 b, 1 Hz, 1.25 kV/cm | 2-2-2-2, 32 p, 100 b, 1 Hz, 1 kV/cm |
| 8 × 100 µs, 1 Hz, 1.25 kV/cm | 8 × 100 µs, 1 Hz, 1.25 kV/cm |
| 8 × 5 ms, 1 Hz, 0.4 kV/cm | 8 × 5 ms, 1 Hz, 0.6 kV/cm |
| 200 ns | 500 ns | HF-BP | 100 µs | 5 ms | |
|---|---|---|---|---|---|
| , f (Hz) | 10.00 | 10.00 | 1.00 | 1.00 | 1.00 |
| (s) | 0.10 | 0.10 | 1.00 | 1.00 | 1.00 |
| (s) | 2 × 10−7 | 5 × 10−7 | 2 × 10−6 | 1 × 10−4 | 5 × 10−3 |
| (kV/cm) | 15.80 | 4.10 | 1.25 | 1.25 | 0.60 |
| 0.03 | 0.02 | 0.01 | 0.33 | 7.95 |
Publisher’s Note: MDPI stays neutral with regard to jurisdictional claims in published maps and institutional affiliations. |
© 2022 by the authors. Licensee MDPI, Basel, Switzerland. This article is an open access article distributed under the terms and conditions of the Creative Commons Attribution (CC BY) license (https://creativecommons.org/licenses/by/4.0/).
Share and Cite
Potočnik, T.; Sachdev, S.; Polajžer, T.; Maček Lebar, A.; Miklavčič, D. Efficient Gene Transfection by Electroporation—In Vitro and In Silico Study of Pulse Parameters. Appl. Sci. 2022, 12, 8237. https://doi.org/10.3390/app12168237
Potočnik T, Sachdev S, Polajžer T, Maček Lebar A, Miklavčič D. Efficient Gene Transfection by Electroporation—In Vitro and In Silico Study of Pulse Parameters. Applied Sciences. 2022; 12(16):8237. https://doi.org/10.3390/app12168237
Chicago/Turabian StylePotočnik, Tjaša, Shaurya Sachdev, Tamara Polajžer, Alenka Maček Lebar, and Damijan Miklavčič. 2022. "Efficient Gene Transfection by Electroporation—In Vitro and In Silico Study of Pulse Parameters" Applied Sciences 12, no. 16: 8237. https://doi.org/10.3390/app12168237
APA StylePotočnik, T., Sachdev, S., Polajžer, T., Maček Lebar, A., & Miklavčič, D. (2022). Efficient Gene Transfection by Electroporation—In Vitro and In Silico Study of Pulse Parameters. Applied Sciences, 12(16), 8237. https://doi.org/10.3390/app12168237

