Deep Q-Learning Technique for Offloading Offline/Online Computation in Blockchain-Enabled Green IoT-Edge Scenarios
Abstract
:1. Introduction
- Proposing a secure framework for integrating edge and blockchain technologies into IoT networks to ensure data protection and energy efficiency;
- Taking into account the computing servers and the status of the controllers, we design the optimization problem as an MDP by specifying state, action, and reward function simultaneously, as well as the dynamic features of IoT systems;
- Providing a platform for dynamic online/offline offloading for various IoT-edge applications called DO2QIEO;
- Using the TL method can assist in achieving the best offloading strategy;
- Using the EH module to increase the battery’s life and improve offloading performance;
- Increasing system performance by lowering energy consumption, reducing computational latency, increasing device efficiency, and minimizing the task failure rate.
2. Related Work
3. System Model and Problem Statements
3.1. System Model
3.2. Problem Formulation
3.2.1. The IoT Layer
3.2.2. Edge Layer
3.2.3. The Layer of the Blockchain
3.2.4. Harvesting of Energy Unit
4. Problem Solution
4.1. Offline Part
| Algorithm 1 DO2QIEO method |
![]() |
4.2. Online Learning-Based on the Decision-Making Process
5. Performance Evaluation and Simulation
5.1. Experiment Settings and Measurements
5.2. TL Method
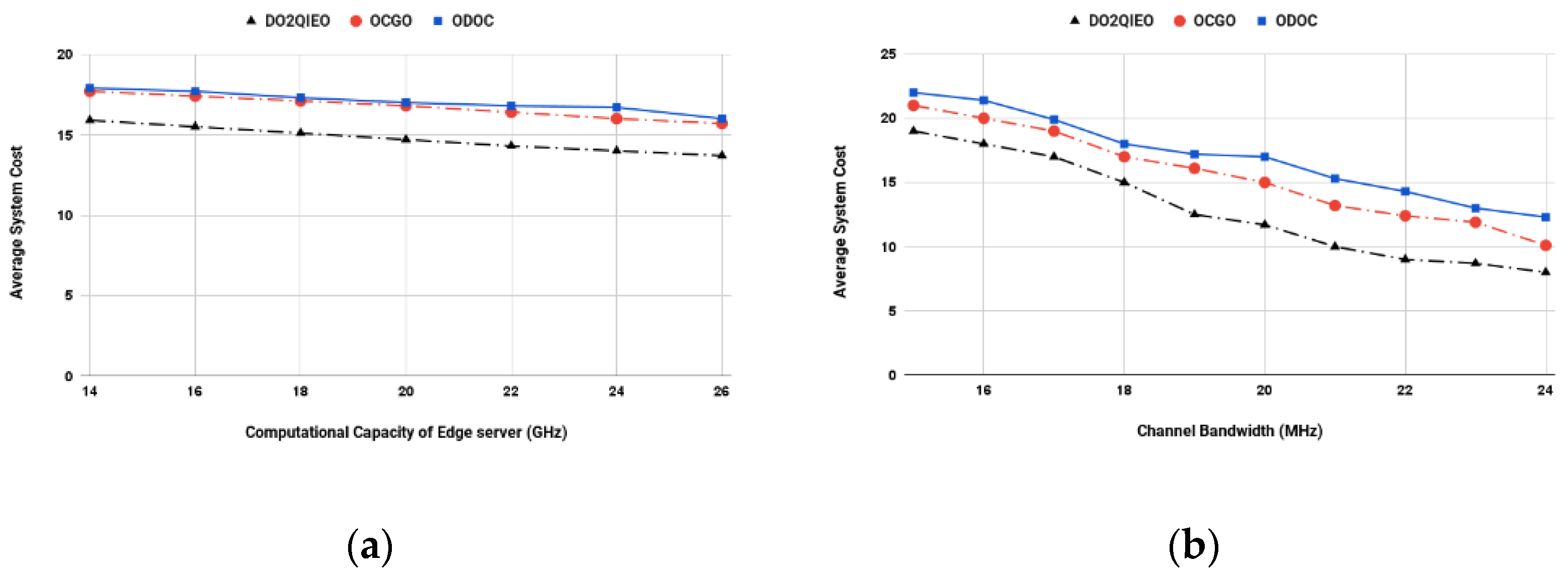
5.3. Result of Simulation
6. Conclusions and Future Work
Author Contributions
Funding
Institutional Review Board Statement
Informed Consent Statement
Data Availability Statement
Conflicts of Interest
References
- Cao, B.; Zhang, J.; Liu, X.; Sun, Z.; Cao, W.; Nowak, R.M.; Lv, Z. Edge–Cloud Resource Scheduling in Space–Air–Ground-Integrated Networks for Internet of Vehicles. IEEE Internet Things J. 2021, 9, 5765–5772. [Google Scholar] [CrossRef]
- Heidari, A.; Navimipour, N.J.; Unal, M. Applications of ML/DL in the management of smart cities and societies based on new trends in information technologies: A systematic literature review. Sustain. Cities Soc. 2022, 85, 104089. [Google Scholar] [CrossRef]
- Yan, J.; Jiao, H.; Pu, W.; Shi, C.; Dai, J.; Liu, H. Radar sensor network resource allocation for fused target tracking: A brief review. Inf. Fusion 2022, 86–87, 104–115. [Google Scholar] [CrossRef]
- Kong, H.; Lu, L.; Yu, J.; Chen, Y.; Tang, F. Continuous Authentication Through Finger Gesture Interaction for Smart Homes Using WiFi. IEEE Trans. Mob. Comput. 2020, 20, 3148–3162. [Google Scholar] [CrossRef]
- Lv, Z.; Chen, D.; Feng, H.; Wei, W.; Lv, H. Artificial Intelligence in Underwater Digital Twins Sensor Networks. ACM Trans. Sens. Netw. 2022, 18, 1–27. [Google Scholar] [CrossRef]
- Cao, B.; Zhang, W.; Wang, X.; Zhao, J.; Gu, Y.; Zhang, Y. A memetic algorithm based on two_Arch2 for multi-depot heterogeneous-vehicle capacitated arc routing problem. Swarm Evol. Comput. 2021, 63, 100864. [Google Scholar] [CrossRef]
- Hou, W.; Wen, H.; Song, H.; Lei, W.; Zhang, W. Multiagent Deep Reinforcement Learning for Task Offloading and Resource Allocation in Cybertwin-Based Networks. IEEE Internet Things J. 2021, 8, 16256–16268. [Google Scholar] [CrossRef]
- Zenggang, X.; Mingyang, Z.; Xuemin, Z.; Sanyuan, Z.; Fang, X.; Xiaochao, Z.; Yunyun, W.; Xiang, L. Social Similarity Routing Algorithm based on Socially Aware Networks in the Big Data Environment. J. Signal Process. Syst. 2022, 1–15. [Google Scholar] [CrossRef]
- Aljanabi, S.; Chalechale, A. Improving IoT Services Using a Hybrid Fog-Cloud Offloading. IEEE Access 2021, 9, 13775–13788. [Google Scholar] [CrossRef]
- Cao, B.; Zhao, J.; Lv, Z.; Yang, P. Diversified Personalized Recommendation Optimization Based on Mobile Data. IEEE Trans. Intell. Transp. Syst. 2020, 22, 2133–2139. [Google Scholar] [CrossRef]
- Zhang, X.; Wang, Y.; Yang, M.; Geng, G. Toward Concurrent Video Multicast Orchestration for Caching-Assisted Mobile Networks. IEEE Trans. Veh. Technol. 2021, 70, 13205–13220. [Google Scholar] [CrossRef]
- Li, Z.; Peng, X.; Hu, G.; Zhang, D.; Xu, Z.; Peng, Y.; Xie, S. Towards real-time self-powered sensing with ample redundant charges by a piezostack-based frequency-converted generator from human motions. Energy Convers. Manag. 2022, 258, 115466. [Google Scholar] [CrossRef]
- Tefera, G.; She, K.; Shelke, M.; Ahmed, A. Decentralized adaptive resource-aware computation offloading & caching for multi-access edge computing networks. Sustain. Comput. Inf. Syst. 2021, 30, 100555. [Google Scholar] [CrossRef]
- Qin, C.; Shi, G.; Tao, J.; Yu, H.; Jin, Y.; Xiao, D.; Zhang, Z.; Liu, C. An adaptive hierarchical decomposition-based method for multi-step cutterhead torque forecast of shield machine. Mech. Syst. Signal Process. 2022, 175, 109148. [Google Scholar] [CrossRef]
- Niu, Z.; Zhang, B.; Dai, B.; Zhang, J.; Shen, F.; Hu, Y.; Fan, Y.; Zhang, Y. 220 GHz Multi Circuit Integrated Front End Based on Solid-State Circuits for High Speed Communication System. Chin. J. Electron. 2022, 31, 569–580. [Google Scholar] [CrossRef]
- Lv, Z.; Chen, D.; Feng, H.; Zhu, H.; Lv, H. Digital Twins in Unmanned Aerial Vehicles for Rapid Medical Resource Delivery in Epidemics. IEEE Trans. Intell. Transp. Syst. 2021, 1–9. [Google Scholar] [CrossRef]
- Zhang, M.; Chen, Y.; Lin, J. A Privacy-Preserving Optimization of Neighborhood-Based Recommendation for Medical-Aided Diagnosis and Treatment. IEEE Internet Things J. 2021, 8, 10830–10842. [Google Scholar] [CrossRef]
- Zhang, M.; Chen, Y.; Susilo, W. PPO-CPQ: A Privacy-Preserving Optimization of Clinical Pathway Query for E-Healthcare Systems. IEEE Internet Things J. 2020, 7, 10660–10672. [Google Scholar] [CrossRef]
- Yang, W.; Chen, X.; Xiong, Z.; Xu, Z.; Liu, G.; Zhang, X. A privacy-preserving aggregation scheme based on negative survey for vehicle fuel consumption data. Inf. Sci. 2021, 570, 526–544. [Google Scholar] [CrossRef]
- Zhao, S.; Li, F.; Li, H.; Lu, R.; Ren, S.; Bao, H.; Lin, J.-H.; Han, S. Smart and Practical Privacy-Preserving Data Aggregation for Fog-Based Smart Grids. IEEE Trans. Inf. Forensics Secur. 2020, 16, 521–536. [Google Scholar] [CrossRef]
- Mutlag, A.A.; Ghani, M.K.A.; Arunkumar, N.; Mohammed, M.A.; Mohd, O. Enabling technologies for fog computing in healthcare IoT systems. Futur. Gener. Comput. Syst. 2018, 90, 62–78. [Google Scholar] [CrossRef]
- Ale, L.; Zhang, N.; Fang, X.; Chen, X.; Wu, S.; Li, L. Delay-Aware and Energy-Efficient Computation Offloading in Mobile-Edge Computing Using Deep Reinforcement Learning. IEEE Trans. Cogn. Commun. Netw. 2021, 7, 881–892. [Google Scholar] [CrossRef]
- Nguyen, P.X.; Tran, D.-H.; Onireti, O.; Tin, P.T.; Nguyen, S.Q.; Chatzinotas, S.; Poor, H.V. Backscatter-Assisted Data Offloading in OFDMA-Based Wireless-Powered Mobile Edge Computing for IoT Networks. IEEE Internet Things J. 2021, 8, 9233–9243. [Google Scholar] [CrossRef]
- Yu, J.; Lu, L.; Chen, Y.; Zhu, Y.; Kong, L. An Indirect Eavesdropping Attack of Keystrokes on Touch Screen through Acoustic Sensing. IEEE Trans. Mob. Comput. 2019, 20, 337–351. [Google Scholar] [CrossRef]
- Pavithran, D.; Al-Karaki, J.N.; Shaalan, K. Edge-Based Blockchain Architecture for Event-Driven IoT using Hierarchical Identity Based Encryption. Inf. Process. Manag. 2021, 58, 102528. [Google Scholar] [CrossRef]
- Yan, L.; Yin-He, S.; Qian, Y.; Zhi-Yu, S.; Chun-Zi, W.; Zi-Yun, L. Method of Reaching Consensus on Probability of Food Safety Based on the Integration of Finite Credible Data on Block Chain. IEEE Access 2021, 9, 123764–123776. [Google Scholar] [CrossRef]
- Seid, A.M.; Boateng, G.O.; Anokye, S.; Kwantwi, T.; Sun, G.; Liu, G. Collaborative Computation Offloading and Resource Allocation in Multi-UAV-Assisted IoT Networks: A Deep Reinforcement Learning Approach. IEEE Internet Things J. 2021, 8, 12203–12218. [Google Scholar] [CrossRef]
- Hu, H.; Wang, Q.; Hu, R.Q.; Zhu, H. Mobility-Aware Offloading and Resource Allocation in a MEC-Enabled IoT Network With Energy Harvesting. IEEE Internet Things J. 2021, 8, 17541–17556. [Google Scholar] [CrossRef]
- Sun, Q.; Lin, K.; Si, C.; Xu, Y.; Li, S.; Gope, P. A Secure and Anonymous Communicate Scheme over the Internet of Things. ACM Trans. Sens. Netw. 2022, 18, 1–21. [Google Scholar] [CrossRef]
- Zheng, W.; Liu, X.; Ni, X.; Yin, L.; Yang, B. Improving Visual Reasoning Through Semantic Representation. IEEE Access 2021, 9, 91476–91486. [Google Scholar] [CrossRef]
- Ramanathan, U.; Williams, N.L.; Zhang, M.; Sa-Nguanjin, P.; Garza-Reyes, J.A.; Borges, L.A. A New Perspective of E-Trust in the Era of Social Media: Insights From Customer Satisfaction Data. IEEE Trans. Eng. Manag. 2022, 69, 1417–1431. [Google Scholar] [CrossRef]
- Zhang, C.; Cho, H.-H.; Chen, C.-Y. Emergency-level-based healthcare information offloading over fog network. Peer-to-Peer Netw. Appl. 2019, 13, 16–26. [Google Scholar] [CrossRef]
- Yuan, X.; Tian, H.; Wang, H.; Su, H.; Liu, J.; Taherkordi, A. Edge-Enabled WBANs for Efficient QoS Provisioning Healthcare Monitoring: A Two-Stage Potential Game-Based Computation Offloading Strategy. IEEE Access 2020, 8, 92718–92730. [Google Scholar] [CrossRef]
- Wu, H.; Wolter, K.; Jiao, P.; Deng, Y.; Zhao, Y.; Xu, M. EEDTO: An energy-efficient dynamic task offloading algorithm for blockchain-enabled IoT-edge-cloud orchestrated computing. IEEE Internet Things J. 2020, 8, 2163–2176. [Google Scholar] [CrossRef]
- Zuo, Y.; Jin, S.; Zhang, S.; Zhang, Y. Blockchain Storage and Computation Offloading for Cooperative Mobile-Edge Computing. IEEE Internet Things J. 2021, 8, 9084–9098. [Google Scholar] [CrossRef]
- Dai, B.; Zhang, B.; Niu, Z.; Feng, Y.; Liu, Y.; Fan, Y. A Novel Ultrawideband Branch Waveguide Coupler With Low Amplitude Imbalance. IEEE Trans. Microw. Theory Tech. 2022, 70, 3838–3846. [Google Scholar] [CrossRef]
- Wu, X.; Zheng, W.; Chen, X.; Zhao, Y.; Yu, T.; Mu, D. Improving high-impact bug report prediction with combination of interactive machine learning and active learning. Inf. Softw. Technol. 2021, 133, 106530. [Google Scholar] [CrossRef]
- Sun, G.; Cong, Y.; Wang, Q.; Zhong, B.; Fu, Y. Representative Task Self-Selection for Flexible Clustered Lifelong Learning. IEEE Trans. Neural Netw. Learn. Syst. 2020, 33, 1467–1481. [Google Scholar] [CrossRef]
- Li, J.; Gao, H.; Lv, T.; Lu, Y. Deep reinforcement learning based computation offloading and resource allocation for MEC. In Proceedings of the 2018 IEEE Wireless Communications and Networking Conference (WCNC), Barcelona, Spain, 15–18 April 2018; pp. 1–6. [Google Scholar] [CrossRef]
- Yang, L.; Li, M.; Si, P.; Yang, R.; Sun, E.; Zhang, Y. Energy-Efficient Resource Allocation for Blockchain-Enabled Industrial Internet of Things With Deep Reinforcement Learning. IEEE Internet Things J. 2020, 8, 2318–2329. [Google Scholar] [CrossRef]
- Chen, X.; Zhang, H.; Wu, C.; Mao, S.; Ji, Y.; Bennis, M. Optimized Computation Offloading Performance in Virtual Edge Computing Systems Via Deep Reinforcement Learning. IEEE Internet Things J. 2018, 6, 4005–4018. [Google Scholar] [CrossRef]
- Xu, X.; Zhang, X.; Gao, H.; Xue, Y.; Qi, L.; Dou, W. BeCome: Blockchain-Enabled Computation Offloading for IoT in Mobile Edge Computing. IEEE Trans. Ind. Inf. 2019, 16, 4187–4195. [Google Scholar] [CrossRef]
- Xu, S.; Liao, B.; Yang, C.; Guo, S.; Hu, B.; Zhao, J.; Jin, L. Deep reinforcement learning assisted edge-terminal collaborative offloading algorithm of blockchain computing tasks for energy Internet. Int. J. Electr. Power Energy Syst. 2021, 131, 107022. [Google Scholar] [CrossRef]
- Lakhan, A.; Ahmad, M.; Bilal, M.; Jolfaei, A.; Mehmood, R.M. Mobility Aware Blockchain Enabled Offloading and Scheduling in Vehicular Fog Cloud Computing. IEEE Trans. Intell. Transp. Syst. 2021, 22, 4212–4223. [Google Scholar] [CrossRef]
- Nguyen, D.C.; Pathirana, P.N.; Ding, M.; Seneviratne, A. Privacy-Preserved Task Offloading in Mobile Blockchain With Deep Reinforcement Learning. IEEE Trans. Netw. Serv. Manag. 2020, 17, 2536–2549. [Google Scholar] [CrossRef]
- Manogaran, G.; Mumtaz, S.; Mavromoustakis, C.X.; Pallis, E.; Mastorakis, G. Artificial Intelligence and Blockchain-Assisted Offloading Approach for Data Availability Maximization in Edge Nodes. IEEE Trans. Veh. Technol. 2021, 70, 2404–2412. [Google Scholar] [CrossRef]
- Xu, X.; Chen, Y.; Zhang, X.; Liu, Q.; Liu, X.; Qi, L. A blockchain-based computation offloading method for edge computing in 5G networks. Softw. Pract. Exp. 2019, 51, 2015–2032. [Google Scholar] [CrossRef]
- Luo, S.; Li, H.; Wen, Z.; Qian, B.; Morgan, G.; Longo, A.; Rana, O.; Ranjan, R. Blockchain-Based Task Offloading in Drone-Aided Mobile Edge Computing. IEEE Netw. 2021, 35, 124–129. [Google Scholar] [CrossRef]
- Xu, J.; Chen, L.; Ren, S. Online Learning for Offloading and Autoscaling in Energy Harvesting Mobile Edge Computing. IEEE Trans. Cogn. Commun. Netw. 2017, 3, 361–373. [Google Scholar] [CrossRef]
- Bi, S.; Ho, C.K.; Zhang, R. Wireless powered communication: Opportunities and challenges. IEEE Commun. Mag. 2015, 53, 117–125. [Google Scholar] [CrossRef]
- Wang, H.; Huang, J. Incentivizing Energy Trading for Interconnected Microgrids. IEEE Trans. Smart Grid 2018, 9, 2647–2657. [Google Scholar] [CrossRef]
- Zhou, H.; Wu, T.; Zhang, H.; Wu, J. Incentive-Driven Deep Reinforcement Learning for Content Caching and D2D Offloading. IEEE J. Sel. Areas Commun. 2021, 39, 2445–2460. [Google Scholar] [CrossRef]
- Zheng, W.; Liu, X.; Yin, L. Sentence Representation Method Based on Multi-Layer Semantic Network. Appl. Sci. 2021, 11, 1316. [Google Scholar] [CrossRef]
- Liu, F.; Zhang, G.; Lu, J. Multisource Heterogeneous Unsupervised Domain Adaptation via Fuzzy Relation Neural Networks. IEEE Trans. Fuzzy Syst. 2020, 29, 3308–3322. [Google Scholar] [CrossRef]
- Zhang, K.; Zhu, Y.; Leng, S.; He, Y.; Maharjan, S.; Zhang, Y. Deep Learning Empowered Task Offloading for Mobile Edge Computing in Urban Informatics. IEEE Internet Things J. 2019, 6, 7635–7647. [Google Scholar] [CrossRef]
- Gao, X.; Huang, X.; Shao, Z.; Yang, Y. An Integration of Online Learning and Online Control for Green Offloading in Fog-Assisted IoT Systems. IEEE Trans. Green Commun. Netw. 2021, 5, 1632–1646. [Google Scholar] [CrossRef]
- Xia, S.; Yao, Z.; Li, Y.; Mao, S. Online Distributed Offloading and Computing Resource Management With Energy Harvesting for Heterogeneous MEC-Enabled IoT. IEEE Trans. Wirel. Commun. 2021, 20, 6743–6757. [Google Scholar] [CrossRef]
- Li, A.; Spano, D.; Krivochiza, J.; Domouchtsidis, S.; Tsinos, C.G.; Masouros, C.; Chatzinotas, S.; Li, Y.; Vucetic, B.; Ottersten, B. A Tutorial on Interference Exploitation via Symbol-Level Precoding: Overview, State-of-the-Art and Future Directions. IEEE Commun. Surv. Tutor. 2020, 22, 796–839. [Google Scholar] [CrossRef]
- Wang, S.; Sheng, H.; Yang, D.; Zhang, Y.; Wu, Y.; Wang, S. Extendable Multiple Nodes Recurrent Tracking Framework with RTU++. IEEE Trans. Image Process. 2022, 31, 5257–5271. [Google Scholar] [CrossRef]
- Li, Z.; Chen, L.; Nie, L.; Yang, S.X. A Novel Learning Model of Driver Fatigue Features Representation for Steering Wheel Angle. IEEE Trans. Veh. Technol. 2021, 71, 269–281. [Google Scholar] [CrossRef]
- Liu, S.; Zhang, J.; Niu, B.; Liu, L.; He, X. A novel hybrid multi-criteria group decision-making approach with intuitionistic fuzzy sets to design reverse supply chains for COVID-19 medical waste recycling channels. Comput. Ind. Eng. 2022, 169, 108228. [Google Scholar] [CrossRef]
- Li, J.; Xu, K.; Chaudhuri, S.; Yumer, E.; Zhang, H.; Guibas, L. Grass: Generative recursive autoencoders for shape structures. ACM Trans. Graph. (TOG) 2017, 36, 1–14. [Google Scholar] [CrossRef]
- Fan, Q.; Zhang, Z.; Huang, X. Parameter Conjugate Gradient with Secant Equation Based Elman Neural Network and its Convergence Analysis. Adv. Theory Simul. 2022. [Google Scholar] [CrossRef]
- Zhou, L.; Fan, Q.; Huang, X.; Liu, Y. Weak and strong convergence analysis of Elman neural networks via weight decay regularization. Optimization 2022, 1–23. [Google Scholar] [CrossRef]
- Liu, K.; Ke, F.; Huang, X.; Yu, R.; Lin, F.; Wu, Y.; Ng, D.W.K. DeepBAN: A Temporal Convolution-Based Communication Framework for Dynamic WBANs. IEEE Trans. Commun. 2021, 69, 6675–6690. [Google Scholar] [CrossRef]
- Cao, B.; Li, M.; Liu, X.; Zhao, J.; Cao, W.; Lv, Z. Many-Objective Deployment Optimization for a Drone-Assisted Camera Network. IEEE Trans. Netw. Sci. Eng. 2021, 8, 2756–2764. [Google Scholar] [CrossRef]
- Heidari, A.; Toumaj, S.; Navimipour, N.J.; Unal, M. A privacy-aware method for COVID-19 detection in chest CT images using lightweight deep conventional neural network and blockchain. Comput. Biol. Med. 2022, 145, 105461. [Google Scholar] [CrossRef]
- Heidari, A.; Navimipour, N.J.; Unal, M.; Toumaj, S. The COVID-19 epidemic analysis and diagnosis using deep learning: A systematic literature review and future directions. Comput. Biol. Med. 2021, 141, 105141. [Google Scholar] [CrossRef]
- Wang, Z.; Ramamoorthy, R.; Xi, X.; Rajagopal, K.; Zhang, P.; Jafari, S. The effects of extreme multistability on the collective dynamics of coupled memristive neurons. Eur. Phys. J. Spéc. Top. 2022, 1–8. [Google Scholar] [CrossRef]













| Mechanism | Main Idea | Parameters | Network | Using TL? | |||||
|---|---|---|---|---|---|---|---|---|---|
| Convergency | Stability | Energy | Latency | Task Failure | Security | ||||
| Aljanabi and Chalechale [3] | Proposing a Q-learning-based method to fix the model and select the optimal offload policy. | • | • | • | • | • | • | Fog-cloud | No |
| Ramanathan, Williams [31] | Dealing with the uncertainty of link time using a multi-stage offloading method. | • | • | • | ✓ | • | • | Fog-IoT | No |
| Zhang, Cho [32] | Suggesting an offloading scheme to create a node access policy. | • | • | • | ✓ | • | • | Edge-cloud | No |
| Yuan, Tian [33] | Suggesting a two-stage game-based offloading method. | • | • | ✓ | ✓ | • | • | IoT-MEC | No |
| Wu, Wolter [34] | Suggesting an online offloading based on the Lyapunov optimization. | • | • | • | • | • | • | IoT-edge-cloud | No |
| Zuo, Jin [35] | Proposing a three-stage Stackelberg game for offloading together | • | • | • | • | • | • | Mobile-edge computing | No |
| Our work | Proposing a DL method for online/offline offloading enabled blockchain. | • | • | ✓ | ✓ | ✓ | ✓ | IoT-edge-cloud | Yes |
| Symbol | Description |
|---|---|
| O | The number of IoT devices |
| E | The number of edge devices |
| Time slots | |
| The job of IoT devices | |
| A | Set of network tasks |
| IoT object’s attributes | |
| Task attributes | |
| Network attribute | |
| Harvested energy | |
| b | Battery level |
| f | Frequency of CPU clocks |
| The set of cells | |
| Group of controllers | |
| The size of the computation task | |
| The delay provisions of the job | |
| Contains the energy of all controllers | |
| Computation’s overhead | |
| The total computing cycles | |
| Computation resources | |
| Local energy consumption | |
| The energy consumption of data transmission | |
| Energy consumption of Total execution | |
| Energy consumption of blockchain system | |
| The computational complexity of the tasks | |
| Energy Consumption Coefficient | |
| The MC’s transmission capacity | |
| The number of blockchain nodes | |
| The controller ’s computing capability | |
| Rate of transmission between the controllers and the local edge server | |
| The transmission rate between the controllers and the blockchain | |
| The computation overhead | |
| Computation overhead by server | |
| Total overhead | |
| Block overhead | |
| The number of consensus nodes | |
| Request period’s computing cycles | |
| The necessary computing cycles at the MC | |
| The percentage of right transactions sent by the MC | |
| The transaction batch’s total size. | |
| The average transaction size | |
| System cost | |
| The block size | |
| The constant-coefficient | |
| The broadcast delay among nodes | |
| The block generation interval | |
| Consensus time | |
| The IoT object’s efficiency | |
| The cumulative gain of the IoT antenna |
| Parameters/Hyper-Parameters | Value | Parameters/Hyper-Parameters | Value |
|---|---|---|---|
| Number of IoT devices | 600 | The block interval | 0:5 s |
| Number of controllers and cells | 12 | Each cell’s average transaction batch size | 2 MB |
| Number of users in each cell | 50 | Transaction size on average | 100 MB |
| Number of an edge server | 4 | Controllers’ transmission power | 400 mW |
| Blockchain nodes | 8 | Local edge computing power on average | 20 GHz |
| The workload arrival rate | 10, 20,…, 100 units/s | Controllers’ average computing power | 2 GHz |
| The network congestion | 20, 30,…, 60 ms/unit | Noice power | 1 MBytes |
| Two adjacent time slot decisions | 5 s | 0.5 | |
| Computational assignments generation | 100 kb/s | A | 0.9 |
| Bit required to complete | 1000 CPU cycles | Ε | 0.15 |
| The EH efficiency | 0.51 | Γ | 0.8 |
Publisher’s Note: MDPI stays neutral with regard to jurisdictional claims in published maps and institutional affiliations. |
© 2022 by the authors. Licensee MDPI, Basel, Switzerland. This article is an open access article distributed under the terms and conditions of the Creative Commons Attribution (CC BY) license (https://creativecommons.org/licenses/by/4.0/).
Share and Cite
Heidari, A.; Jabraeil Jamali, M.A.; Jafari Navimipour, N.; Akbarpour, S. Deep Q-Learning Technique for Offloading Offline/Online Computation in Blockchain-Enabled Green IoT-Edge Scenarios. Appl. Sci. 2022, 12, 8232. https://doi.org/10.3390/app12168232
Heidari A, Jabraeil Jamali MA, Jafari Navimipour N, Akbarpour S. Deep Q-Learning Technique for Offloading Offline/Online Computation in Blockchain-Enabled Green IoT-Edge Scenarios. Applied Sciences. 2022; 12(16):8232. https://doi.org/10.3390/app12168232
Chicago/Turabian StyleHeidari, Arash, Mohammad Ali Jabraeil Jamali, Nima Jafari Navimipour, and Shahin Akbarpour. 2022. "Deep Q-Learning Technique for Offloading Offline/Online Computation in Blockchain-Enabled Green IoT-Edge Scenarios" Applied Sciences 12, no. 16: 8232. https://doi.org/10.3390/app12168232
APA StyleHeidari, A., Jabraeil Jamali, M. A., Jafari Navimipour, N., & Akbarpour, S. (2022). Deep Q-Learning Technique for Offloading Offline/Online Computation in Blockchain-Enabled Green IoT-Edge Scenarios. Applied Sciences, 12(16), 8232. https://doi.org/10.3390/app12168232


