A Novel Decoupled Synchronous Control Method for Multiple Autonomous Unmanned Linear Systems: Bounded L2-Gain for Coupling Attenuation
Abstract
Featured Application
Abstract
1. Introduction
- (1)
- The coupling among the distributed multi-agents is equivalent to the disturbance from different channels, and the local neighborhood error dynamics of each agent are modeled as an independent centralized multi-player game.
- (2)
- The bounded L2-gain problem for coupling attenuation is introduced and is formulated into a multi-player zero-sum game by defining a modified performance index. Different from the L2-gain problem of [17], concerning disturbance rejection, the motive of the bounded L2-gain for the coupling attenuation studied here is to suppress the coupling effect on the performance.
- (3)
- It is proved that the solution of the zero-sum game requires the solution of the coupled Hamilton–Jacobi (HJ) equation. The coupled HJ equation of each agent is transformed into an independent equivalent algebraic Riccati equation, which simplifies the solution process effectively.
2. Preliminaries and Problem Formulation
2.1. Graph Theory
2.2. Problem Formulation
3. Multi-Player Zero-Sum Differential Game for Decoupled Multi-Agent System
3.1. The Bounded L2-Gain Problem for Coupling Attenuation of Multi-Agent System
3.2. Multi-Player Zero-Sum Differential Game
4. Solution to Bounded L2-Gain Problem for the Coupling Attenuation and the Equivalent Algebraic Riccati Equation
4.1. Solution to Bounded L2-Gain Problem for Coupling Attenuation
4.2. The Equivalent Algebraic Riccati Equation
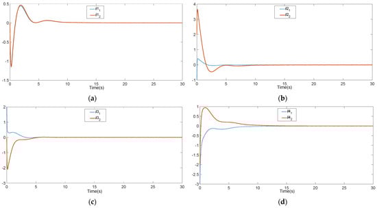
5. Simulation Results
6. Conclusions
Author Contributions
Funding
Institutional Review Board Statement
Informed Consent Statement
Data Availability Statement
Conflicts of Interest
References
- Zhou, Y.; Li, D.; Gao, F. Optimal synchronization control for heterogeneous multi-agent systems: Online adaptive learning solutions. Asian J. Control 2021. [Google Scholar] [CrossRef]
- Jing, G.; Zheng, Y.; Wang, L. Consensus of Multiagent Systems With Distance-Dependent Communication Networks. IEEE Trans. Neural Netw. Learn. Syst. 2016, 28, 2712–2726. [Google Scholar] [CrossRef] [PubMed]
- Liu, J.; Dai, M.-Z.; Zhang, C.; Wu, J. Edge-Event-Triggered Synchronization for Multi-Agent Systems with Nonlinear Controller Outputs. Appl. Sci. 2020, 10, 5250. [Google Scholar] [CrossRef]
- Shi, H.; Hou, M.; Wu, Y. Distributed Control for Leader-Following Consensus Problem of Second-Order Multi-Agent Systems and Its Application to Motion Synchronization. Appl. Sci. 2019, 9, 4208. [Google Scholar] [CrossRef]
- Vamvoudakis, K.G.; Lewis, F.L.; Hudas, G.R. Multi-agent differential graphical games: Online adaptive learning solution for synchronization with optimality. Automatica 2012, 48, 1598–1611. [Google Scholar] [CrossRef]
- Vamvoudakis, K.G.; Lewis, F.L. Multi-agent differential graphical games. In Proceedings of the 30th Chinese Control Con-ference, Yantai, China, 22–24 July 2011. [Google Scholar]
- Liu, J.; Xu, F.; Lin, S.; Cai, H.; Yan, S. A Multi-Agent-Based Optimization Model for Microgrid Operation Using Dynamic Guiding Chaotic Search Particle Swarm Optimization. Energies 2018, 11, 3286. [Google Scholar] [CrossRef]
- Lowe, R.; Wu, Y.; Tamar, A.; Harb, J.; Abbeel, P.; Mordatch, I. Multi-agent actor–critic for mixed cooperative-competitive environments. arXiv 2017, arXiv:1706.02275. [Google Scholar] [CrossRef]
- Liu, Y.; Geng, Z. Finite-time optimal formation control of multi-agent systems on the Lie group SE(3). Int. J. Control 2013, 86, 1675–1686. [Google Scholar] [CrossRef]
- Zhang, W.; Hu, J. Optimal multi-agent coordination under tree formation constraints. IEEE Trans. Autom. Control. 2008, 53, 692–705. [Google Scholar] [CrossRef][Green Version]
- Lin, W.; Zhao, W.; Liu, H. Robust Optimal Formation Control of Heterogeneous Multi-Agent System via Reinforcement Learning. IEEE Access 2020, 8, 218424–218432. [Google Scholar] [CrossRef]
- Arulkumaran, K.; Deisenroth, M.P.; Brundage, M.; Bharath, A.A. Deep Reinforcement Learning: A Brief Survey. IEEE Signal Process. Mag. 2017, 34, 26–38. [Google Scholar] [CrossRef]
- Mnih, V.; Kavukcuoglu, K.; Silver, D.; Rusu, A.A.; Veness, J.; Bellemare, M.G.; Graves, A.; Riedmiller, M.; Fidjeland, A.K.; Ostrovski, G.; et al. Human-level control through deep reinforcement learning. Nature 2015, 518, 529–533. [Google Scholar] [CrossRef] [PubMed]
- Vinyals, O.; Babuschkin, I.; Czarnecki, W.M.; Mathieu, M.; Dudzik, A.; Chung, J.; Choi, D.H.; Powell, R.; Ewalds, T.; Georgiev, P.; et al. Grandmaster level in StarCraft II using multi-agent reinforcement learning. Nature 2019, 575, 350–354. [Google Scholar] [CrossRef]
- Levine, S.; Pastor, P.; Krizhevsky, A.; Ibarz, J.; Quillen, D. Learning hand-eye coordination for robotic grasping with deep learning and large-scale data collection. Int. J. Robot. Res. 2017, 37, 421–436. [Google Scholar] [CrossRef]
- Tatari, F.; Vamvoudakis, K.G.; Mazouchi, M. Optimal distributed learning for disturbance rejection in networked non-linear games under unknown dynamics. IET Control Theory Appl. 2019, 13, 2838–2848. [Google Scholar] [CrossRef]
- Jiao, Q.; Modares, H.; Xu, S.; Lewis, F.L.; Vamvoudakis, K.G. Multi-agent zero-sum differential graphical games for disturbance rejection in distributed control. Automatica 2016, 69, 24–34. [Google Scholar] [CrossRef]
- Qin, J.; Li, M.; Shi, Y.; Ma, Q.; Zheng, W.X. Optimal Synchronization Control of Multiagent Systems With Input Saturation via Off-Policy Reinforcement Learning. IEEE Trans. Neural Netw. Learn. Syst. 2019, 30, 85–96. [Google Scholar] [CrossRef]
- Kamalapurkar, R.; Walters, P.; Dixon, W. Model-Based Reinforcement Learning for Approximate Optimal Regulation. Control. Complex Syst. 2016, 247–273. [Google Scholar] [CrossRef]
- Farrell, J.A. Persistence of excitation conditions in passive learning control. Automatica 1997, 33, 699–703. [Google Scholar] [CrossRef]
- Kamalapurkar, R.; Andrews, L.; Walters, P.; Dixon, W.E. Model-Based Reinforcement Learning for Infinite-Horizon Approximate Optimal Tracking. IEEE Trans. Neural Networks Learn. Syst. 2016, 28, 753–758. [Google Scholar] [CrossRef]
- Yasini, S.; Karimpour, A.; Sistani, M.-B.N.; Modares, H. Online concurrent reinforcement learning algorithm to solve two-player zero-sum games for partially unknown nonlinear continuous-time systems. Int. J. Adapt. Control Signal Process. 2014, 29, 473–493. [Google Scholar] [CrossRef]
- Vamvoudakis, K.G.; Lewis, F.L. Multi-player non-zero-sum games: Online adaptive learning solution of coupled Hamilton–Jacobi equations. Automatica 2011, 47, 1556–1569. [Google Scholar] [CrossRef]
- Bucolo, M.; Buscarino, A.; Fortuna, L.; Frasca, M. LQG control of linear lossless positive-real systems: The continuous-time and discrete-time cases. Int. J. Dyn. Control 2022, 10, 1075–1083. [Google Scholar] [CrossRef]
- Buscarino, A.; Fortuna, L.; Frasca, M.; Rizzo, A. Dynamical network interactions in distributed control of robots. Chaos: Interdiscip. J. Nonlinear Sci. 2006, 16, 015116. [Google Scholar] [CrossRef]
- Khoo, S.; Xie, L.; Man, Z. Robust Finite-Time Consensus Tracking Algorithm for Multirobot Systems. IEEE/ASME Trans. Mechatron. 2009, 14, 219–228. [Google Scholar] [CrossRef]
- Brewer, J. Kronecker products and matrix calculus in system theory. IEEE Trans. Circuits Syst. 1978, 25, 772–781. [Google Scholar] [CrossRef]




Publisher’s Note: MDPI stays neutral with regard to jurisdictional claims in published maps and institutional affiliations. |
© 2022 by the authors. Licensee MDPI, Basel, Switzerland. This article is an open access article distributed under the terms and conditions of the Creative Commons Attribution (CC BY) license (https://creativecommons.org/licenses/by/4.0/).
Share and Cite
Li, Y.; Wang, B.; Chen, Y. A Novel Decoupled Synchronous Control Method for Multiple Autonomous Unmanned Linear Systems: Bounded L2-Gain for Coupling Attenuation. Appl. Sci. 2022, 12, 7551. https://doi.org/10.3390/app12157551
Li Y, Wang B, Chen Y. A Novel Decoupled Synchronous Control Method for Multiple Autonomous Unmanned Linear Systems: Bounded L2-Gain for Coupling Attenuation. Applied Sciences. 2022; 12(15):7551. https://doi.org/10.3390/app12157551
Chicago/Turabian StyleLi, Yinsheng, Bing Wang, and Yuquan Chen. 2022. "A Novel Decoupled Synchronous Control Method for Multiple Autonomous Unmanned Linear Systems: Bounded L2-Gain for Coupling Attenuation" Applied Sciences 12, no. 15: 7551. https://doi.org/10.3390/app12157551
APA StyleLi, Y., Wang, B., & Chen, Y. (2022). A Novel Decoupled Synchronous Control Method for Multiple Autonomous Unmanned Linear Systems: Bounded L2-Gain for Coupling Attenuation. Applied Sciences, 12(15), 7551. https://doi.org/10.3390/app12157551

