Abstract
In this study, the sealing of a large-aperture channel for high-power laser transmission is achieved using an aerodynamic window. Further, a numerical model of the gas and dust particle motion in the channel is established under three different blowing schemes, and the sealing performance of the large-aperture channel is analyzed and compared under different blowing schemes. The results indicate that the larger the proportion of purge gas volume flows in the axial direction, the better the sealing effect of the channel. More importantly, the axial blowing scheme can ensure that the large-aperture channel maintains the relative positive pressure to the external environment, effectively blocking the ambient gas and dust particles blowing in. The axial blowing scheme can achieve the sealing requirements of the large-aperture channel in an environment where the ambient wind speed is less than 20 m/s, and the dust particle mass concentration is less than kg/m3. In this case, the minimum non-zero z-directional wind speed is stable and positive at a position 100 mm away from the port in the channel, and the particle mass concentration is zero.
1. Introduction
High-power laser emission equipment can be carried on cars, ships, and aircraft. Transmitting in a large-aperture channel makes the laser free to change the direction of the beam for better tracking a target, which is extensively used in military and manufacturing applications [1,2,3]. In the process of high-power laser transmission, the aerosol particles in the external environment absorb part of the laser energy, which increases the local temperature in the large-aperture channel, producing thermal blooming [4,5,6]. When aerosol particles are attached to the surface of optical elements, irradiation by a high-power laser will cause irreversible effects, such as component damage [7,8]. Therefore, it is crucial to ensure that the gas in the channel is in a dry and clean state [9]. The aerodynamic window sealing method was adopted to continuously transport purge gas to the large-aperture channel and utilize the incompressibility of the gas to maintain the pressure difference between the inside and outside of the channel, realizing the blocking of ambient air and dust particles into the interior of the channel.
With the increasing applications of lasers, there have been many studies on the window sealing of laser transmitting channels. The literature covers the use of crystal lenses for window sealing and the analysis of mechanical, thermal, and optical properties of crystalline materials as optical windows by considering the absorption dissipation and thermo-optical coefficients of different crystalline materials [10,11,12]. Mineral acid leaching and HF-based etching technology have been employed to mitigate the laser damage precursor in the subsurface of crystal lenses to enhance the laser-induced damage resistance [13]. The reflection loss for spinel was reduced from 7% per surface to 0.9% by applying anti-reflection surface structures (ARSS) to the crystalline material, and for fused silica with ARSS, the reflection loss was reduced to 0.02% near 1 µm, effectively increasing the transmission and laser damage thresholds of the crystal [14]. With the increase in laser power and channel aperture, the structure size of the crystal lens window becomes larger, which is more difficult to manufacture. The crystal material will absorb part of the laser energy and produce thermal deformation, thereby losing the beam quality, which limits the use of traditional solid windows. The researchers introduced a transverse stream of airflow to separate the environment, which uses high-pressure gas that expands through a nozzle to create a strong pressure gradient across the window. The existing transverse supersonic jet aerodynamic window structure is subdivided into windows with a homogeneous flow on the nozzle section and free-vortex windows. In [15], the authors examined producing jets with a uniform velocity distribution on the nozzle section; however, a considerable air mass flow rate was required. The change in the momentum in the jet because of the pressure difference was accompanied by the appearance of a shock wave and a rarefaction-wave fan, which resulted in deteriorating the quality of the optical beam. With the use of nozzles, they generated a velocity distribution corresponding to the free vortex on the nozzle section, which could preserve the beam mass [16,17]. The design of a supersonic free-vortex aerodynamic window ensuring optical quality and fluid-mechanical sealing of a simulated laser cavity for active controlling of the gas flow in the aerodynamic window by adjusting part of the diffuser has been discussed [18]. The mathematical models and computational tools for designing, analyzing, and predicting the supersonic jet and nozzle flow in the aerodynamic windows of high-power gas lasers have been considered. A nozzle contouring tool was developed, offering the possibility to solve the problem of the aerodynamic design of nozzle devices with specified characteristic flows [19,20]. In the problem of sealing the large-aperture channel for high-power laser transmission, it is necessary to consider the small volume flow of the outlet of the air purification equipment. Accordingly, as the aperture of the channel increases, the velocity of the purge gas becomes much less than the speed of sound. In addition to achieving the window sealing of the channel, the sealing solution should also alleviate the problem of thermal effects in the channel because of the partial absorption of laser energy by the gas and optical elements.
In this study, three aerodynamic window sealing schemes of axial blowing, radial blowing, and axial–radial blowing are proposed for a large-aperture channel. Under the condition of a constant volume in the flow of purge gas, numerical models for the gas and dust particle movement in the large-aperture channel are established for different blowing schemes based on the hydrodynamic equation and particle motion equation. Moreover, the z-directional wind speed and dust particle mass concentration of the monitoring surface in the channel are used as indicators. In this study, the effect of radial blowing position on the sealing performance of the axial–radial blowing scheme is first analyzed before comparing the sealing performance of three blowing schemes. Thereafter, the sealing capacity of the axial blowing scheme with the best sealing performance is predicted. Finally, the accuracy of the analysis is experimentally verified.
2. Theory Model
The high-power laser emission system carries air purification equipment, which filters out most of the water and dust particles in the air to obtain a dry and clean gas with a very low heat absorption coefficient. The purge gas can be considered a viscous fluid with constant density, and the flow field in the channel is considered an incompressible field. The incompressible viscous gas hydrodynamic equations for the numerical analysis of the fluid in a large-aperture channel are expressed as [21]:
where indicates the velocity vector, denotes the external force per unit volume, and indicates the dynamic viscosity.
The motion of the discrete phase of the dust particles is solved by the equation of balance of forces, which are expressed as [22]:
where denotes the fluid speed, corresponds to the particle speed, symbolizes the particle density, indicates the particle diameter, denotes the traction coefficient, and refers to the other force on the dust particle.
It is assumed that ambient air comprises ambient gas and dust particles. The high-power laser transmitted in the channel is a collimating Gauss light beam with a waist radius of 50 mm. To avoid the influence of the channel on the beam, a large-aperture channel with an outer diameter of 160 mm and an inner diameter of 154 mm was selected. Three blowing schemes modeled to achieve large-aperture channel sealing using the incompressibility of the purge gas are presented in Figure 1. Figure 1a illustrates that the channels are connected using a dynamic sealing structure, and that the mirrors are installed at the corners of the channels so that the laser can freely change the beam direction by transmitting in the rotating channels. Moreover, the air purification equipment output volume flow of purge gas is certain, and the gas has three transmission paths. First, via the axial blowing directly into the large-aperture channel; second, via the guide tube radial blowing to the large-aperture channel port; third, via simultaneous axial blowing and radial blowing. Figure 1b,c show the structure and location of the radial blowing scheme outlet. If radial blowing is required to seal the large-aperture channel, the width of the airflow must be greater than 160 mm. To leave a margin for airflow width, we chose to use nine guide tubes with an outer diameter of 20 mm. At the same time, the cuboid pipe of mm in size was connected to the outlet of the guide tube so that the gas flowed out from the other side of the cuboid pipe more evenly.
Figure 1.
Three blowing scheme models for large-aperture channel sealing. (a) The overall structure scheme model; (b,c) the structure and location of the outlet of the radial blowing scheme.
3. Numerical Simulation
We used ANSYS software to simulate the motion of gas and dust particles under three different blowing schemes. A larger volume of cylindrical extension domain was added at the channel port to simulate the effect of the external environment on the large-aperture channel. The structure of the large-aperture channel is complex, and the calculation of the flow field and the discrete phase in the channel should be considered. The coupling analysis of high-power laser and flow field will become the focus of future research. To ensure the efficiency and accuracy of the calculation, the finite volume method is used to discretize the computational domain space. At the same time, the SIMPLE algorithm is used to solve the governing equations of each volume element. During the numerical simulation, we assumed that the gas normal and tangential velocities are zero at the fluid-solid interface. Any change in the motion of the gas will not affect infinity. Furthermore, on both sides of the interface of different gases, the gases have equal normal and tangential velocities and stresses. The fluid simulation model of the large-aperture channel is shown in Figure 2. Figure 2a presents a schematic diagram of the model boundary conditions. It can be observed that there are three gas inlets in the channel, and the corresponding faces are set as the velocity inlet boundary. Among them, indicates the purge gas speed in the axial blowing scheme, denotes the purge gas speed in the radial blowing scheme, and indicates the velocity of ambient gas and dust particles. Notably, it is assumed that the velocity of dust particles moving in the environment is equal to the wind speed. In the axial blowing scheme, the blowing device is removed. The outlet area of the channel is integrated with the cylindrical extension domain, and the bottom surface of the cylindrical extension domain is set as the outflow boundary. The inner wall of the channel is considered the non-slip static wall. The cylindrical surface of the extension domain is set as the symmetry boundary. Suppose that the z-coordinate of the end face of the channel outlet is , the z-coordinate of the monitoring surface is , and the z-coordinate of the end face position at the bottom of the radial blowing is . Accordingly, and , where denotes the monitoring distance and denotes the radial wind distance. The relative position of the coordinates is shown in Figure 2b.
Figure 2.
Fluid simulation model of the large-aperture channel. (a) The schematic diagram of the model boundary conditions; (b) the monitoring distance and the radial wind distance location diagram.
The environmental conditions of the numerical simulation are consistent with the experimental, which helps to better compare with the experimental data. The environmental conditions of the numerical model are: (1) The volume flow of purge gas at the outlet of air purification equipment is 0.03 m3/s; (2) the wind speed of the external environment is 6 m/s; (3) the mass concentration of the ambient dust particles is kg/m3; (4) the minimum diameter of the ambient dust particles is 0.3 , the maximum diameter is 10 , the average diameter is 1.8 , and the propagation coefficient is 0.553. When comparing different blowing scheme models, the change from the axial to the radial blowing mode is the problem of purge gas volume flow distribution. According to the conditions of axial and radial blowing cross-sectional area and volume flow of purge gas, the value range of axial wind speed is 0–1.6 m/s. Therefore, it can be considered that the radial blowing scheme is m/s, the axial blowing scheme is m/s, and the axial–radial blowing scheme is 0 m/s 1.6 m/s. From the section size of each inlet and the gas velocity, it can be known that the fluid motion state is turbulent. The turbulent intensity of each inlet will change with the gas velocity. In Reynolds-Averaged Navier–Stokes (RANS) turbulence models, we use the standard two-equation model to analyze the gas motion.
3.1. Numerical Simulation Modeling of Three Blowing Schemes
The last mirror in the large-aperture channel is positioned 700 mm from the exit section. It is necessary to ensure that the sealing requirements are met at a monitoring distance of mm to avoid the influence of the external environment on the optical components. Therefore, multiple monitoring surfaces are established at the position of mm with and as indicators, where indicates the minimum non-zero z-directional wind speed of the monitoring surface and indicates the maximum particle mass concentration of the monitoring surface. If m/s or kg/m3, it is considered that the position cannot be sealed for the large-aperture channel. It should be mentioned that different values of and will impact the sealing performance of the large-aperture channel in the axial–radial blowing scheme.
For example, consider testing the sealing performance of the large-aperture channel at the mm position. First, the schemes of axial blowing, radial blowing, and axial–radial blowing ( mm) are established for the large-aperture channel. We set the turbulent intensity at the inlet- to 0.032 and the hydraulic diameter to 1000 mm. In the axial blowing scheme, we set m/s, m/s, m/s, and the turbulent intensity at the inlet- to 0.047 and the hydraulic diameter to 154 mm. In the radial blowing scheme, we set m/s, m/s, m/s, and the turbulent intensity at the inlet- to 0.046 and the hydraulic diameter to 36 mm. In the axial–radial blowing scheme, we set m/s, m/s, m/s, the turbulent intensity at the inlet- to 0.05 and the hydraulic diameter to 154 mm, and the turbulent intensity at the inlet- to 0.052 and the hydraulic diameter to 36 mm. Following the numerical simulation, the velocity vector of mm section and the z-directional wind speed and particle mass concentration of the mm monitoring surface are obtained, as shown in Figure 3. It can be observed that the wind speed in the large-aperture channel is different for different blowing schemes. At mm, the m/s of the axial blowing and axial–radial blowing scheme prove it can resist the ambient gas blowing in; however, with the m/s of the radial blowing scheme, it is obvious that there is ambient gas blowing into the large-aperture channel. The kg/m3 for the three blowing schemes illustrates that none of the three blowing schemes can achieve a seal on the dust particles at this monitoring distance.

Figure 3.
Velocity vector of section mm, and the z-directional wind speed and particle mass concentration of mm monitoring surface for the large-aperture channel under the three blowing schemes. (a) Axial blowing; (b) radial blowing; (c) axial–radial blowing ( mm, m/s).
3.2. Comparison of Sealing Performance of Three Blowing Schemes
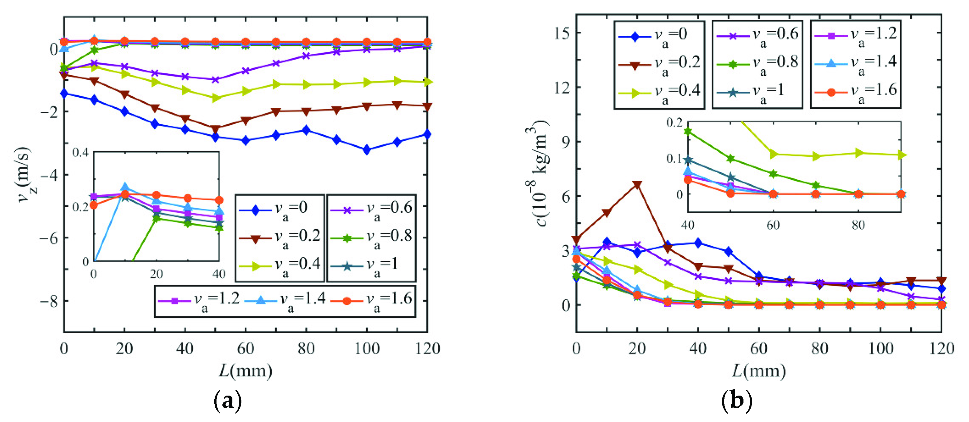
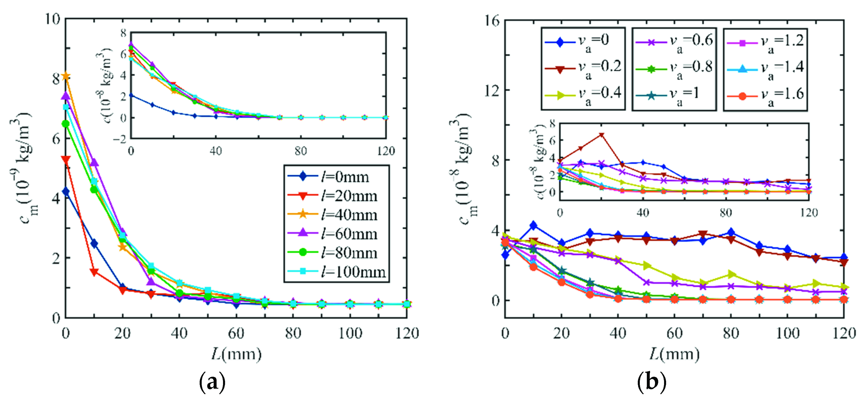
Since the axial blowing and the radial blowing scheme is fixed, while the axial–radial blowing scheme has a variety of and options, it is important to choose the scheme with the best parameters in the axial–radial blowing scheme to compare with the other two blowing schemes. Using the control variable method, the effect of the variation of the value in the axial–radial blowing scheme on the channel sealing performance is first analyzed. When the axial wind speed m/s, the variation curves of sealing indicators for the large-aperture channel with different are shown in Figure 4. More specifically, Figure 4a illustrates the variation curves with for different . Evidently, is greater than 0 m/s at mm in all six curves with different , indicating that the ambient gas can be stopped from blowing in. When mm, the of mm curve is always positive, and when mm, the curves of different tend to be stable and slightly different. Figure 4b presents the variation curves with for different . It can be observed that the of different curves gradually converge to a stable value with the increase of . At mm, is reduced to zero, so the dust particles can be stopped from blowing in. However, at mm, the of mm curve is the smallest. Generally, for different radial wind distance , when the monitoring distance mm, the large-aperture channel can stop both ambient gas and dust particles from blowing in, thereby achieving a good sealing effect. However, at different monitoring distances, the mm curve can always maintain m/s, is minimum, and the curve stabilizes at the fastest rate. Therefore, among the six different values, the sealing performance is relatively better when mm.
Figure 4.
Variation curves of sealing indicators for the large-aperture channel with different when m/s. (a) The variation curves with for different ; (b) the variation curves with for different .
The axial–radial blowing scheme at mm is considered to compare the sealing performance with the other two blowing schemes. The variation curves of the sealing indicators for the large-aperture channel with different are shown in Figure 5 to better analyze and compare the sealing performance of the three blowing schemes. Figure 5a illustrates the variation curves with for different . It can be observed that at the same position, increases when increases. When m/s, gradually stabilizes with the increase of , and they are all greater than 0 m/s after mm. In other words, the large-aperture channel can achieve the sealing of the ambient gas. Figure 5b depicts the variation curves with for different . It can be observed that converges to a stable value faster as increases. When m/s and mm, all values decrease to 0 kg/m3. It indicates that the large-aperture channel can achieve the sealing of dust particles. In conclusion, the larger the axial wind speed , the better the sealing effect of the large-aperture channel on the ambient gas and dust particles. Therefore, the axial blowing scheme is the best choice for aerodynamic window sealing.
Figure 5.
Variation curves of the large-aperture channel sealing indicators for three blowing schemes. (a) The variation curves with for different ; (b) the variation curves with for different .
3.3. Prediction of Window Sealing Performance for Axial Blowing Scheme
As shown in the previous section, when the ambient gas wind speed is 6 m/s, and the dust particle mass concentration is kg/m3, the axial blowing scheme effectively seals the large-aperture channel; however, sometimes, high-power laser emission systems are used in harsh environments. Therefore, the design requirement of the aerodynamic window sealing scheme is: that in the environment of seven-force wind (13.9–17.1 m/s) and sandstorm ( kg/m3), the large-aperture channel can resist ambient gas and dust particles entering the sealing area. That is, when the ambient wind speed is less than 18 m/s, and the dust particle mass concentration is less than kg/m3, the minimum non-zero z-directional wind speed of the monitoring surface is m/s at the position where the monitoring distance mm; and the maximum particle mass concentration kg/m3.
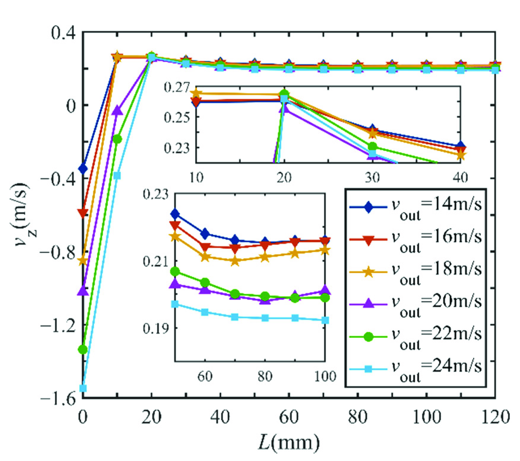
The axial blowing scheme is used as the aerodynamic window to seal the large-aperture channel. The sealing performance is primarily related to the ambient wind speed and dust particle mass concentration. Therefore, the sealing performance of the axial blowing scheme is predicted from two perspectives. The first: under the assumption that the ambient dust particle mass concentration is kg/m3, the minimum non-zero z-directional wind speed variation curves with the monitoring distance at of 14 m/s, 16 m/s, 18 m/s, 20 m/s, 22 m/s, and 24 m/s is analyzed as shown in Figure 6. It can be observed that the larger the , the smaller the at the same monitoring distance position, and the curve stabilizes more slowly. However, at mm, the of all curves can fundamentally stabilize in some positive range. At different values, the pressure distribution at the mm section position of the large-aperture channel is shown in Figure 7, where Figure 7a illustrates m/s and Figure 7b shows m/s. When comparing the two figures, it is clear that despite the large difference in ambient wind speed, the relative positive pressure can be consistently maintained inside the large-aperture channel to the external environment, and the ambient gas cannot be blown into the deeper position of the channel, but only from channel port around the outflow. Therefore, the larger the , the smaller the pressure at the outlet. Combining Figure 6 and Figure 7, the axial blowing scheme can achieve sealing for the wind speed of 24 m/s or even greater in the sealing area of mm for the continuous phase of the ambient gas.
Figure 6.
Variation curves of with for different .
Figure 7.
Pressure distribution at the mm section position of the large-aperture channel at different . (a) m/s; (b) m/s.
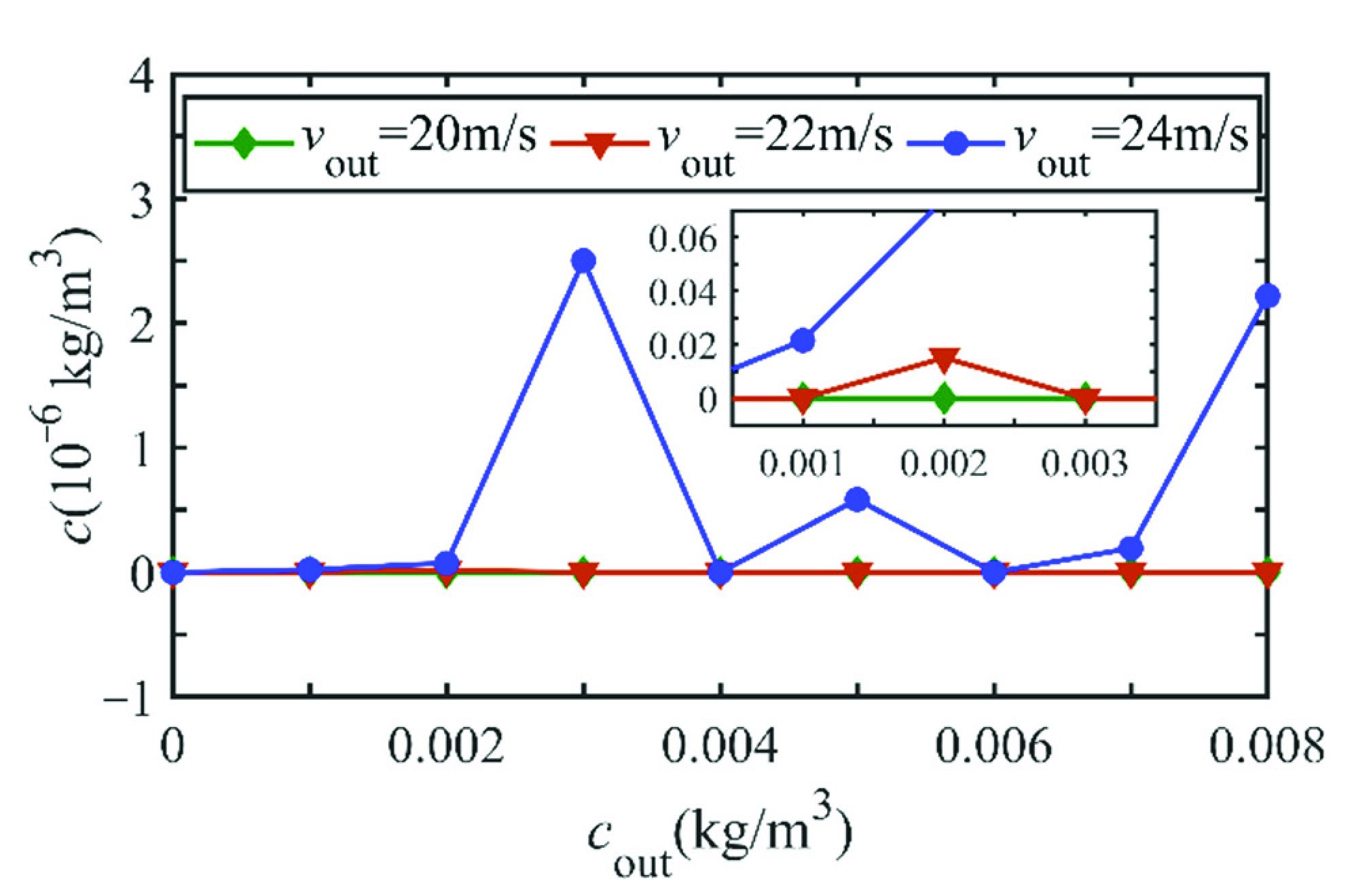
Second, with and as variables, where denotes the ambient dust particle mass concentration, we analyze whether the axial blowing scheme can achieve the sealing of the discrete phase of dust particles for the area of channel mm under different dust particles velocities and mass concentration environments. Let be three wind speed levels of 20 m/s, 22 m/s, and 24 m/s, and be eight mass concentration levels equally divided between and kg/m3. The variation curve of the maximum particle mass concentration with ambient dust particle mass concentration at the position of channel monitoring distance mm for different is shown in Figure 8. It can be seen that when m/s and kg/m3, the situation of kg/m3 appears; and as increases, the increase of is more obvious. When m/s, is even greater than kg/m3 appears, and the pollution of the channel sealing area is serious. When m/s, is always zero. Therefore, the axial blowing scheme can achieve the sealing of dust particles in the large-aperture channel in environments where m/s and kg/m3.
Figure 8.
Variation curves of with at the position of mm for different .
In summary, the sealing performance of the axial blowing scheme on the gas continuous phase is much greater than that of the dust particle discrete phase. Therefore, the most crucial factor determining the sealing performance is whether the dust particle can be sealed. The velocity of the ambient dust particles has a more significant impact on the channel sealing effect than the mass concentration. For the same particle, the faster the velocity, the more kinetic energy the particle can transfer to the deeper part of the channel. In the environment of m/s and kg/m3, the axial blowing scheme can simultaneously achieve the sealing of ambient gas and dust particles in the large-aperture channel. It is proved that the aerodynamic window satisfies the sealing design requirements in a class 7 wind (13.9–17.1 m/s) and sandstorm ( kg/m3) environment.
4. Experimental Verification
The seal test experiments for the large-aperture channel were performed in a laboratory environment, and the experimental platform was fabricated, as shown in Figure 9. Fan blowing was used to simulate the ambient wind speed, and the maximum fan gear speed was approximately 6 m/s. The number of particles of different particle diameters in the channel was measured using an airborne particle counter, and the gas speed in the channel was measured using a heated thermometer anemometer. In the axial blowing scheme, we opened the axial blowing valve and closed the radial blowing valve, and then turned on the air purification equipment and fan. After the flow field in the channel reached stability, the heated thermometer anemometer was used to measure the wind speed at 12 points in the channel mm, and the distribution of the point locations is shown in Figure 10. The wind speed at each point was measured through three experiments, and the average value was compared with the simulated data, as shown in Table 1. It is evident that the experimentally measured values are slightly larger than the simulation results, which are considered to be caused by the instability of the purge gas volume flow, external environmental factors, manual measurement errors, and instrumentation errors. Fundamentally, in the Y direction, the wind speed increases with the decrease in the Y coordinate, and in the X direction, it is basically symmetrical around the center of the monitoring surface. The velocity distribution law is the same as the simulation results, which proves that the numerical simulation model of the channel is accurate, and the numerical model can be used to analyze and study the sealing effect of the large-aperture channel to the ambient gas.
Figure 9.
Large-aperture channel sealing experimental model.
Figure 10.
Distribution of wind speed measurement points inside the large-aperture channel.
Table 1.
Experimental and simulation data of wind speed at the measurement point.
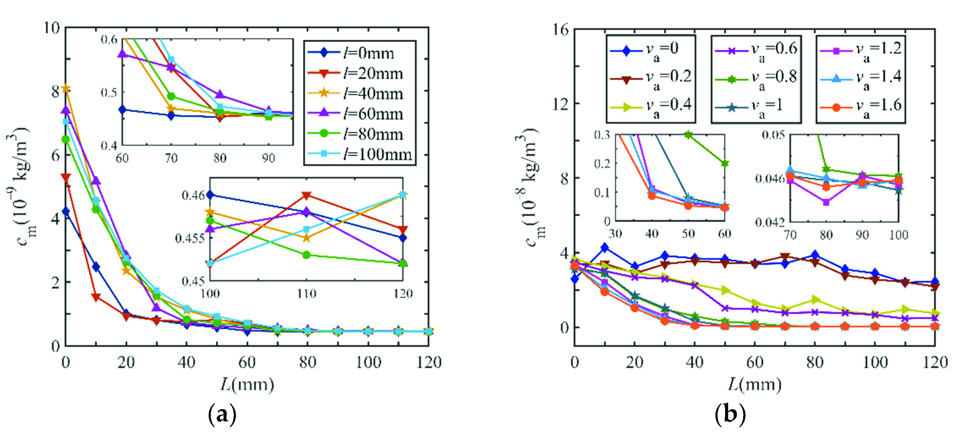
Based on the previous wind speed test experiment, we carried out the first group of the number of particles measurement experiments. We opened the radial blowing valve and controlled m/s. After the flow field reached stability in the channel, the number of particles at different was measured three times with the airborne particle counter under the condition of multiple values. After completing the statistics, we conducted the second group of the number of particles measurement experiments. The radial blowing was fixed at mm. We changed the value of by adjusting the axial and radial blowing valves. After the flow field reached stability in the channel, the number of particles at different was measured three times using the airborne particle counter. The number of particles of different particle diameters in the channel was used to calculate the value of , where indicates the mean particle mass concentration of the monitoring surface. The variation curves of the large-aperture channel for the experimental measurement of the different blowing scheme are presented in Figure 11. Figure 11a depicts the variation curves with for different . It can be observed that each curve tends to a stable value at mm. However, the purge gas also contains a few dust particles, the stable value is not zero. It can be proved that the channel prevents the dust particles from blowing in. Moreover, the of the mm curve is relatively small and stabilizes at mm with the fastest stabilization rate, indicating the best sealing performance at this location. Figure 11b displays the variation curves with for different . It can be observed that when m/s and mm, eventually converges to a stable value. As becomes larger, the value stabilizes faster, and the value at the same position grows smaller. When m/s, stabilizes the fastest and is the smallest value until stabilization. It shows that the axial blowing scheme is indeed the best choice for the aerodynamic window.
Figure 11.
Variation curves of of the large-aperture channel for the experimental measurement of the different blowing scheme. (a) The variation curves with for different ; (b) the variation curves with for different .
In the numerical simulation analysis, we assume that indicates the maximum particle mass concentration of the monitoring surface. In the experimental data analysis, we assume that indicates the mean particle mass concentration of the monitoring surface. As and indicate different meanings, we demonstrate the accuracy of the numerical model by comparing the relative size and trend of the curves. The comparison curves between experimental and simulation data are presented in Figure 12, where the variation curves represent the simulation data and the variation curves denote the experimental data. Figure 12a depicts the and variation curves with for different . It can be observed that there are some differences in the relative magnitude of the mm curve, which are considered to be caused by the instability of the purge gas volume flow and manual measurement errors. When mm, the and values remain relatively small, and the curves stabilize at the fastest rate. Figure 12b displays the and variation curves with for different. It can be observed that when m/s, and do not reach a stable value. When m/s, and eventually converge to a stable value. As becomes larger, the and values stabilize faster. Therefore, by analyzing Figure 12a,b, it is clear that the relative magnitudes and trends of the curves of the experimental and simulated data are consistent. The experimental conclusion is the same as the simulation result, which proves the accuracy of the numerical simulation model established for the large-aperture channel.
Figure 12.
Comparison curves between experimental and simulation data. (a) The and variation curves with for different ; (b) The and variation curves with for different .
5. Conclusions
In this study, the sealing problem of the large-aperture channel for high-power laser transmission was analyzed numerically via a simulation and also experimentally. Based on the usage conditions of the large-aperture channel, three schemes of axial blowing, radial blowing, and axial–radial blowing are proposed as aerodynamic windows for channel sealing. First, the influence of the radial wind distance on the sealing performance of the axial–radial blowing scheme is analyzed. Accordingly, the smaller the is, the better the ability of the channel to resist the intrusion of the ambient gas and dust particles, and the large-aperture channel can achieve a better sealing effect. Furthermore, in the comparison of the sealing performance of the three blowing schemes, it was found that the minimum non-zero z-directional wind speed and dust particle mass concentration can reach a stable value at a shorter monitoring distance inside the large-aperture channel with a larger proportion of purge gas volume flow in the axial direction. Moreover, the relative size and variation trend of the simulation data are consistent with the experimental results. Finally, when predicting the sealing performance of the axial blowing scheme, it was found that under the condition of an ambient wind speed of 24 m/s or even greater, the large-aperture channel can always maintain relatively positive pressure and effectively block the continuous phase of ambient gas blowing in. Dust particles have a certain initial kinetic energy, so dust particles are the decisive factor in determining the sealing performance, and the velocity of dust particles affects the sealing effect of the channel more than the mass concentration. The research results theoretically support the aerodynamic window sealing scheme for large-aperture channels, paving the way for the wide application of high-power lasers.
Author Contributions
Formal analysis, Y.W.; Resources, S.S.; Supervision, Y.S.; Writing—original draft, X.H. All authors have read and agreed to the published version of the manuscript.
Funding
This research was funded by Laser Ranging Detector, grant number E12701SZCZ00.
Institutional Review Board Statement
Not applicable.
Informed Consent Statement
Not applicable.
Data Availability Statement
Not applicable.
Conflicts of Interest
The authors declare no conflict of interest.
References
- Zuo, J.; Lin, X. High-Power Laser Systems. Laser Photon-Rev. 2022, 16, 2100741. [Google Scholar] [CrossRef]
- Cook, J. High-energy laser weapons since the early 1960s. Opt. Eng. 2012, 52, 021007. [Google Scholar] [CrossRef]
- Extance, A. Military technology: Laser weapons get real. Nature 2015, 521, 408–410. [Google Scholar] [CrossRef] [PubMed] [Green Version]
- Zhang, Y.; Ji, X.; Li, X.; Yu, H. Thermal blooming effect of laser beams propagating through seawater. Opt. Express 2017, 25, 5861–5875. [Google Scholar] [CrossRef] [PubMed]
- Fischer, R.; Ting, A.; DiComo, G.; Prosser, J.; Peñano, J.; Hafizi, B.; Sprangle, P. Absorption and scattering of 106 μm laser radiation from oceanic aerosols. Appl. Opt. 2009, 48, 6990–6999. [Google Scholar] [CrossRef] [PubMed]
- Lu, L.; Wang, Z.; Zhang, P.; Qiao, C.; Cai, Y. Thermal blooming induced phase change and its compensation of a Gaussian beam propagation in an absorbing medium. Opt. Lett. 2021, 46, 4304–4307. [Google Scholar] [CrossRef] [PubMed]
- Yang, L.; Xiang, X.; Miao, X.; Li, Z.; Li, L.; Yuan, X.; Zhou, G.; Lv, H.; Zu, X. Influence of oil contamination on the optical performance and laser induced damage of fused silica. Opt. Laser Technol. 2015, 75, 76–82. [Google Scholar] [CrossRef]
- Raman, R.N.; Demos, S.G.; Shen, N.; Feigenbaum, E.; Negres, R.A.; Elhadj, S.; Rubenchik, A.M.; Matthews, M.J. Damage on fused silica optics caused by laser ablation of surface-bound microparticles. Opt. Express. 2016, 24, 2634–2647. [Google Scholar] [CrossRef] [PubMed]
- Génin, F.Y.; Feit, M.D.; Kozlowski, M.R.; Rubenchik, A.M.; Salleo, A.; Yoshiyama, J. Rear-surface laser damage on 355-nm silica optics owing to Fresnel diffraction on front-surface contamination particles. Appl. Opt. 2000, 39, 3654–3663. [Google Scholar] [CrossRef] [PubMed] [Green Version]
- Bayya, S.S.; Chin, G.D.; Sanghera, J.S.; Aggarwal, I.D. Germanate glass as a window for high energy laser systems. Opt. Express 2006, 14, 11687–11693. [Google Scholar] [CrossRef] [PubMed]
- Anoikin, E.; Muhr, A.; Bennett, A.; Twitchen, D.; de Wit, H. Diamond optical components for high-power and high-energy laser applications. Compon. Packag. Laser Syst. 2015, 9346, 172–180. [Google Scholar] [CrossRef]
- Peng, Y.; Sheng, Z.; Zhang, H.; Fan, X. Influence of thermal deformations of the output windows of high-power laser systems on beam characteristics. Appl. Opt. 2004, 43, 6465–6472. [Google Scholar] [CrossRef] [PubMed]
- Ye, X.; Huang, J.; Liu, H.; Geng, F.; Sun, L.; Jiang, X.; Wu, W.; Qiao, L.; Zu, X.; Zheng, W. Advanced Mitigation Process (AMP) for Improving Laser Damage Threshold of Fused Silica Optics. Sci. Rep. 2016, 6, 31111. [Google Scholar] [CrossRef] [PubMed] [Green Version]
- Busse, L.E.; Florea, C.M.; Frantz, J.A.; Shaw, L.B.; Aggarwal, I.D.; Poutous, M.K.; Joshi, R.; Sanghera, J.S. Anti-reflective surface structures for spinel ceramics and fused silica windows, lenses and optical fibers. Opt. Mater. Express 2014, 4, 2504. [Google Scholar] [CrossRef]
- Parmentier, E.M.; Greenberg, R.A. Supersonic Flow Aerodynamic Windows for High-Power Lasers. AIAA J. 1973, 11, 943–949. [Google Scholar] [CrossRef]
- Guile, R.N.; Mapes, S.N.; Director, M.N.; Coulter, L.J. Performance of a multi-element centrifugal aerowindow. AIAA Pap. 1974, 74–227. [Google Scholar]
- Guile, R.; Hilding, W. Investigation of a free-vortex aerodynamic window. In Proceedings of the 13th Aerospace Sciences Meeting, Pasadena, CA, USA, 20 January–22 January 1975; p. 122. [Google Scholar] [CrossRef]
- Wildermuth, E.; Giesen, A.; Hugel, H. Experimental Investigations of a Free-Vortex Aerodynamic Window. Gas Flow Chem. Lasers 1987, 15, 96–100. [Google Scholar] [CrossRef]
- Volkov, K.N.; Pustovalov, A.V. Supersonic flows in channels and jets when applied to the problems of designing aerodynamic windows of gas lasers. J. Eng. Phys. Thermophys. 2015, 88, 1210–1220. [Google Scholar] [CrossRef]
- Emelyanov, V.; Pustovalov, A.; Volkov, K. Supersonic jet and nozzle flows in uniform-flow and free-vortex aerodynamic windows of gas lasers. Acta Astronaut 2019, 163, 232–243. [Google Scholar] [CrossRef] [Green Version]
- Wesseling, P. Principles of Computational Fluid Dynamics; Springer Science & Business Media: Berlin, Germany, 2009; Volume 29, pp. 1–643. [Google Scholar] [CrossRef]
- Monaghan, J.J. Smoothed particle hydrodynamics. Rep. Prog. Phys. 2005, 68, 1703. [Google Scholar] [CrossRef]
Publisher’s Note: MDPI stays neutral with regard to jurisdictional claims in published maps and institutional affiliations. |
© 2022 by the authors. Licensee MDPI, Basel, Switzerland. This article is an open access article distributed under the terms and conditions of the Creative Commons Attribution (CC BY) license (https://creativecommons.org/licenses/by/4.0/).












