Deep and Hybrid Learning Technique for Early Detection of Tuberculosis Based on X-ray Images Using Feature Fusion
Abstract
:1. Introduction
- Improving the images of the two X-ray image datasets and increasing the contrast of the region of interest (ROI).
- Diagnosing TB based on two datasets using a hybrid technique, namely deep feature extraction using deep learning models and classifying them using the SVM algorithm.
- Selecting the most important features through reducing the dimensions of the high features using the PCA algorithm.
- Diagnosing tuberculosis based on the two datasets using fused features extracted by deep learning models and merging them with features extracted by GLCM, DWT and LBP algorithms.
- Developing effective systems to assist physicians and radiologists in making proper diagnoses.
2. Related Work
3. Methods and Materials
3.1. Datasets
3.1.1. The First Dataset Description
3.1.2. The Second Dataset Description
3.2. Chest X-rays Enhancement
3.3. Combination of Deep Learning and SVM
3.3.1. Deep Features Extraction
3.3.2. Support Vector Machine
3.4. The ANN Classifier Based on Fusion of Features
4. Experimental Results of the Proposed Systems
4.1. Split the Two Datasets
4.2. Proposed Systems Evaluation Metrics
4.3. Augmentation and Balance of Data
4.4. Results of the Hybrid Systems Approach
4.5. Results of ANN Classifier Based on Fusion of Features
4.5.1. Validation Checks and Gradient
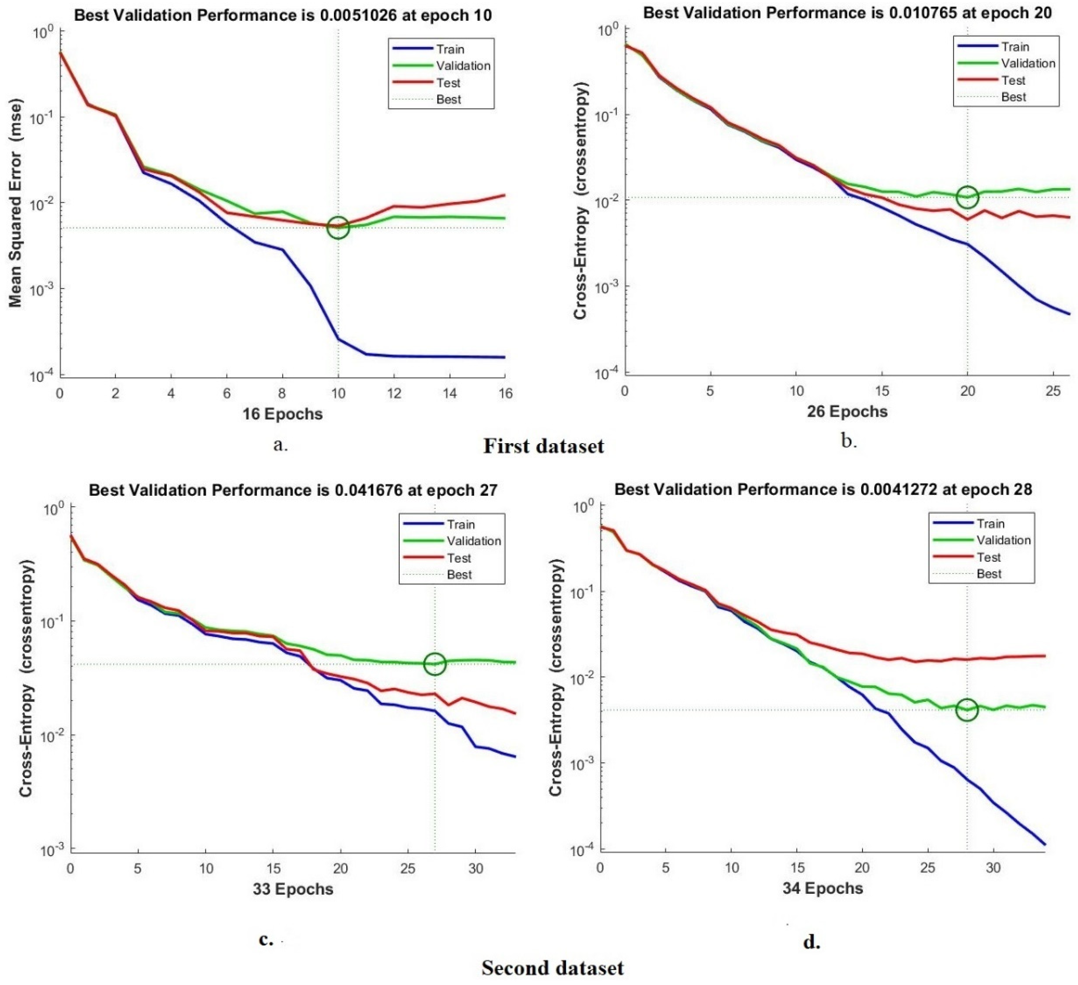
4.5.2. Best Validation Performance
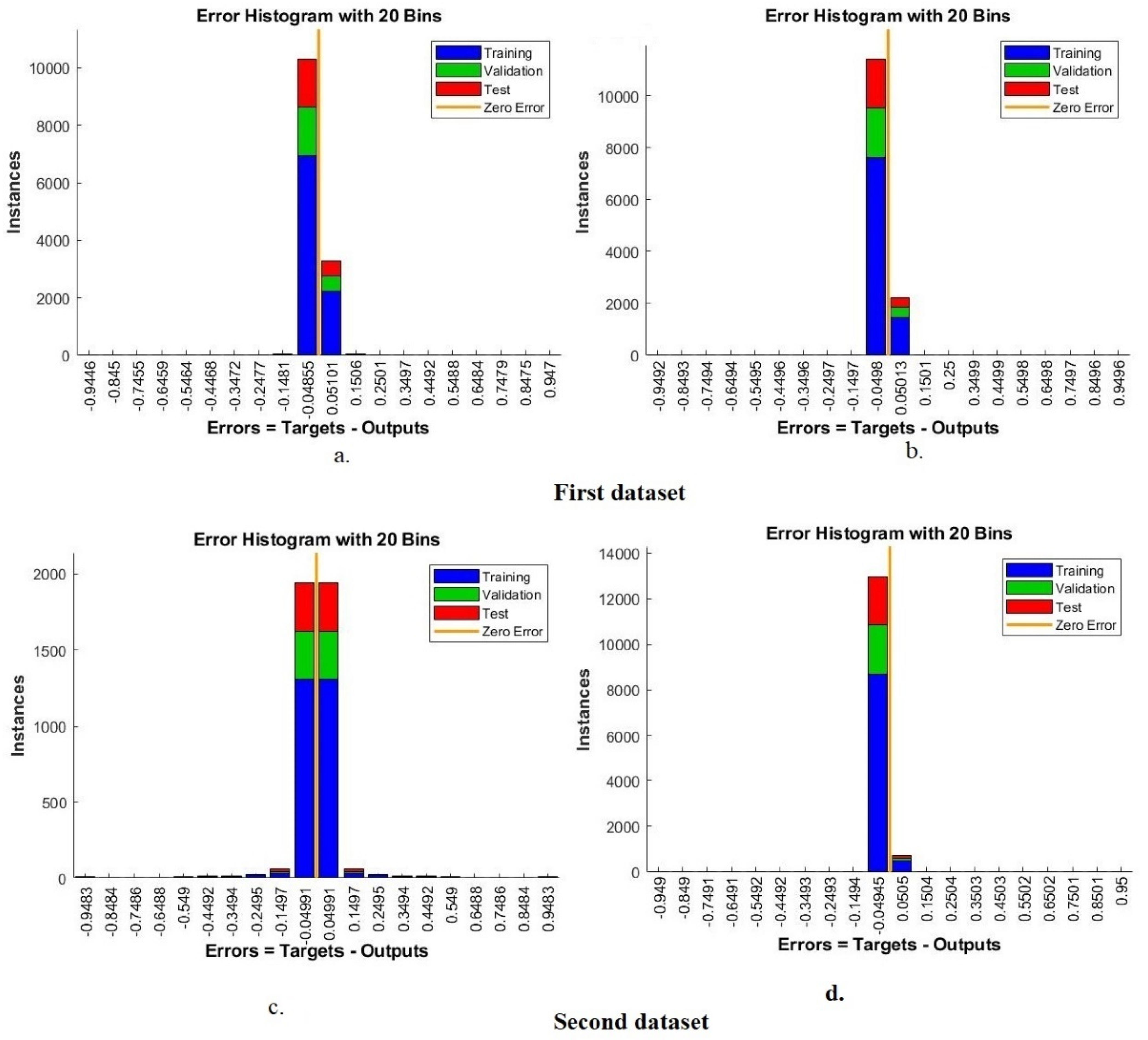
4.5.3. Error Histogram
4.5.4. Confusion Matrix
5. Discussion and Comparison of the Implementation of the Proposed Techniques
6. Conclusions
Author Contributions
Funding
Data Availability Statement
Acknowledgments
Conflicts of Interest
References
- Yemen Incidence of Tuberculosis, 1960–2021—Knoema.com. Available online: https://knoema.com/atlas/Yemen/Incidence-of-tuberculosis (accessed on 15 June 2022).
- Al Jahdali, H.H.; Baharoon, S.; Abba, A.A.; Memish, Z.A.; Alrajhi, A.A.; AlBarrak, A.; Menzies, D. Saudi guidelines for testing and treatment of latent tuberculosis infection. Ann. Saudi Med. 2010, 30, 38–49. [Google Scholar] [CrossRef]
- Tuberculosis. Available online: https://www.who.int/news-room/fact-sheets/detail/tuberculosis (accessed on 29 May 2022).
- Zellweger, J.P.; Sotgiu, G.; Corradi, M.; Durando, P. The diagnosis of latent tuberculosis infection (LTBI): Currently available tests, future developments, and perspectives to eliminate tuberculosis (TB). Med. Lav. 2020, 111, 170. [Google Scholar] [CrossRef]
- Cao, X.F.; Li, Y.; Xin, H.N.; Zhang, H.R.; Pai, M.; Gao, L. Application of artificial intelligence in digital chest radiography reading for pulmonary tuberculosis screening. Chronic Dis. Transl. Med. 2021, 7, 35–40. [Google Scholar] [CrossRef]
- Qin, Z.Z.; Ahmed, S.; Sarker, M.S.; Paul, K.; Adel, A.S.S.; Naheyan, T.; Creswell, J. Can Artificial Intelligence (AI) Be Used to Accurately Detect Tuberculosis (TB) from Chest X-ray? A Multiplatform Evaluation of Five AI Products Used for TB Screening in a High TB-Burden Setting. 2022. Available online: http://arxiv.org/abs/2006.05509 (accessed on 29 May 2022).
- Satya, P.G.A.N.; Parikesit, A.A. Revolution in Detecting Tuberculosis using Radiology with Application of Deep Learning Algorithm. Cermin Dunia Kedokt. 2021, 48, 261–263. [Google Scholar] [CrossRef]
- Siddiqui, A.K.; Garg, V.K. An Analysis of Adaptable Intelligent Models for Pulmonary Tuberculosis Detection and Classification. SN Comput. Sci. 2021, 3, 34. [Google Scholar] [CrossRef]
- Sathitratanacheewin, S.; Sunanta, P.; Pongpirul, K. Deep learning for automated classification of tuberculosis-related chest X-Ray: Dataset distribution shift limits diagnostic performance generalizability. Heliyon 2020, 6, e04614. [Google Scholar] [CrossRef]
- Kaur, R.; Sharma, A. An Accurate Integrated System to detect Pulmonary and Extra Pulmonary Tuberculosis using Machine Learning Algorithms. Intel. Artif. 2021, 24, 104–122. [Google Scholar] [CrossRef]
- Ghorakavi, R.S. TBNet: Pulmonary tuberculosis diagnosing system using deep neural networks. arXiv 2019, arXiv:1902.08897. [Google Scholar] [CrossRef]
- Xing, Z.; Ding, W.; Zhang, S.; Zhong, L.; Wang, L.; Wang, J.; Ye, Z. Machine learning-based differentiation of nontuberculous mycobacteria lung disease and pulmonary tuberculosis using CT images. BioMed Res. Int. 2020, 2020, 6287545. [Google Scholar] [CrossRef]
- Hrizi, O.; Gasmi, K.; Ben Ltaifa, I.; Alshammari, H.; Karamti, H.; Krichen, M.; Mahmood, M.A. Tuberculosis Disease Diagnosis Based on an Optimized Machine Learning Model. J. Healthc. Eng. 2022, 2022, 8950243. [Google Scholar] [CrossRef]
- Oloko-Oba, M.; Viriri, S. Ensemble of EfficientNets for the Diagnosis of Tuberculosis. Comput. Intell. Neurosci. 2021, 2021, 9790894. Available online: https://www.hindawi.com/journals/cin/2021/9790894/ (accessed on 9 April 2022). [CrossRef]
- Dasanayaka, C.; Dissanayake, M.B. Deep learning methods for screening pulmonary tuberculosis using chest X-rays. Comput. Methods Biomech. Biomed. Eng. Imaging Vis. 2021, 9, 39–49. [Google Scholar] [CrossRef]
- Win, K.Y.; Maneerat, N.; Hamamoto, K.; Sreng, S. Hybrid learning of hand-crafted and deep-activated features using particle swarm optimization and optimized support vector machine for tuberculosis screening. Appl. Sci. 2020, 10, 5749. [Google Scholar] [CrossRef]
- Ayaz, M.; Shaukat, F.; Raja, G. Ensemble learning based automatic detection of tuberculosis in chest X-ray images using hybrid feature descriptors. Phys. Eng. Sci. Med. 2021, 44, 183–194. [Google Scholar] [CrossRef]
- Pasa, F.; Golkov, V.; Pfeiffer, F.; Cremers, D.; Pfeiffer, D. Efficient deep network architectures for fast chest X-ray tuberculosis screening and visualization. Sci. Rep. 2019, 9, 6268. [Google Scholar] [CrossRef] [Green Version]
- Heo, S.J.; Kim, Y.; Yun, S.; Lim, S.S.; Kim, J.; Nam, C.M.; Yoon, J.H. Deep learning algorithms with demographic information help to detect tuberculosis in chest radiographs in annual workers’ health examination data. Int. J. Environ. Res. Public Health 2019, 16, 250. [Google Scholar] [CrossRef] [Green Version]
- Munadi, K.; Muchtar, K.; Maulina, N.; Pradhan, B. Image enhancement for tuberculosis detection using deep learning. IEEE Access 2020, 8, 217897–217907. [Google Scholar] [CrossRef]
- Rahman, M.; Cao, Y.; Sun, X.; Li, B.; Hao, Y. Deep pre-trained networks as a feature extractor with XGBoost to detect tuberculosis from chest X-ray. Comput. Electr. Eng. 2021, 93, 107252. Available online: https://www.sciencedirect.com/science/article/pii/S004579062100238X (accessed on 9 April 2022). [CrossRef]
- Duong, L.T.; Le, N.H.; Tran, T.B.; Ngo, V.M.; Nguyen, P.T. Detection of tuberculosis from chest X-ray images: Boosting the performance with vision transformer and transfer learning. Expert Syst. Appl. 2021, 184, 115519. [Google Scholar] [CrossRef]
- Chithra, R.S.; Jagatheeswari, P. Severity detection and infection level identification of tuberculosis using deep learning. Int. J. Imaging Syst. Technol. 2020, 30, 994–1011. [Google Scholar] [CrossRef]
- Pulmonary Chest X-ray Abnormalities|Kaggle. Available online: https://www.kaggle.com/datasets/kmader/pulmonary-chest-xray-abnormalities?select=Montgomery (accessed on 2 June 2022).
- Rahman, T.; Khandakar, A.; Kadir, M.A.; Islam, K.R.; Islam, K.F.; Mazhar, R.; Chowdhury, M.E. Reliable tuberculosis detection using chest X-ray with deep learning, segmentation and visualization. IEEE Access 2020, 8, 191586–191601. [Google Scholar] [CrossRef]
- Al-Mekhlafi, Z.G.; Senan, E.M.; Rassem, T.H.; Mohammed, B.A.; Makbol, N.M.; Alanazi, A.A.; Ghaleb, F.A. Deep Learning and Machine Learning for Early Detection of Stroke and Haemorrhage. Comput. Mater. Contin. 2022, 72, 775–796. [Google Scholar] [CrossRef]
- Scarpiniti, M.; Sarv Ahrabi, S.; Baccarelli, E.; Piazzo, L.; Momenzadeh, A. A Histogram-Based Low-Complexity Approach for the Effective Detection of COVID-19 Disease from CT and X-ray Images. Appl. Sci. 2021, 11, 8867. [Google Scholar] [CrossRef]
- Mohammed, B.A.; Senan, E.M.; Rassem, T.H.; Makbol, N.M.; Alanazi, A.A.; Al-Mekhlafi, Z.G.; Ghaleb, F.A. Multi-method analysis of medical records and MRI images for early diagnosis of dementia and Alzheimer’s disease based on deep learning and hybrid methods. Electronics 2021, 10, 2860. [Google Scholar] [CrossRef]
- Abunadi, I.; Senan, E.M. Multi-Method Diagnosis of Blood Microscopic Sample for Early Detection of Acute Lymphoblastic Leukemia Based on Deep Learning and Hybrid Techniques. Sensors 2022, 22, 1629. [Google Scholar] [CrossRef]
- Sitaula, C.; Hossain, M.B. Attention-based VGG-16 model for COVID-19 chest X-ray image classification. Appl. Intell. 2021, 51, 2850–2863. [Google Scholar] [CrossRef]
- Alawi, A.E.B.; Al-basser, A.; Sallam, A.; Al-sabaeei, A.; Al-khateeb, H. Convolutional neural networks model for screening tuberculosis disease. In Proceedings of the 2021 International Conference of Technology, Science and Administration (ICTSA), Taiz, Yemen, 22–24 March 2021; IEEE: New York, NY, USA, 2021; pp. 1–5. [Google Scholar] [CrossRef]
- Ali, R.; Hardie, R.C.; Narayanan, B.N.; Kebede, T.M. IMNets: Deep Learning Using an Incremental Modular Network Synthesis Approach for Medical Imaging Applications. Appl. Sci. 2022, 12, 5500. [Google Scholar] [CrossRef]
- Sitaula, C.; Shahi, T.B.; Aryal, S.; Marzbanrad, F. Fusion of multi-scale bag of deep visual words features of chest X-ray images to detect COVID-19 infection. Sci. Rep. 2021, 11, 23914. [Google Scholar]
- Abunadi, I.; Senan, E.M. Deep learning and machine learning techniques of diagnosis dermoscopy images for early detection of skin diseases. Electronics 2021, 10, 3158. [Google Scholar] [CrossRef]
- Ahmed, I.A.; Senan, E.M.; Rassem, T.H.; Ali, M.A.; Shatnawi, H.S.A.; Alwazer, S.M.; Alshahrani, M. Eye Tracking-Based Diagnosis and Early Detection of Autism Spectrum Disorder Using Machine Learning and Deep Learning Techniques. Electronics 2022, 11, 530. [Google Scholar] [CrossRef]
- Senan, E.M.; Jadhav, M.E.; Kadam, A. Classification of PH2 images for early detection of skin diseases. In Proceedings of the 2021 6th International Conference for Convergence in Technology (I2CT), Maharashtra, India, 2–4 April 2021; pp. 1–7. [Google Scholar] [CrossRef]
- Zhang, Y.D.; Wang, W.; Zhang, X.; Wang, S.H. Secondary pulmonary tuberculosis recognition by 4-direction varying-distance GLCM and fuzzy SVM. Mob. Netw. Appl. 2022, 10, 1–14. [Google Scholar] [CrossRef]
- Rizwan, A.; Iqbal, N.; Ahmad, R.; Kim, D.-H. WR-SVM Model Based on the Margin Radius Approach for Solving the Minimum Enclosing Ball Problem in Support Vector Machine Classification. Appl. Sci. 2021, 11, 4657. [Google Scholar] [CrossRef]
- Alshudukhi, J.; Aljaloud, S.; Alharbi, T.S.; Abebaw, S. Convolutional Neural Network Architectures to Solve a Problem of Tuberculosis Classification Using X-Ray Images of the Lungs. J. Nanomater. 2022, 2022, 2509830. [Google Scholar] [CrossRef]
- Fati, S.M.; Senan, E.M.; Azar, A.T. Hybrid and Deep Learning Approach for Early Diagnosis of Lower Gastrointestinal Diseases. Sensors 2022, 22, 4079. [Google Scholar] [CrossRef]
- Hussain, L.; Alsolai, H.; Hassine, S.B.H.; Nour, M.K.; Duhayyim, M.A.; Hilal, A.M.; Salama, A.S.; Motwakel, A.; Yaseen, I.; Rizwanullah, M. Lung Cancer Prediction Using Robust Machine Learning and Image Enhancement Methods on Extracted Gray-Level Co-Occurrence Matrix Features. Appl. Sci. 2022, 12, 6517. [Google Scholar] [CrossRef]
- Senan, E.M.; Jadhav, M.E. Diagnosis of dermoscopy images for the detection of skin lesions using SVM and KNN. In Proceedings of Third International Conference on Sustainable Computing; Springer: Singapore, 2022; pp. 125–134. [Google Scholar] [CrossRef]
- He, Z.; Ma, S.; Wang, L.; Peng, P. A Novel Wavelet Selection Method for Seismic Signal Intelligent Processing. Appl. Sci. 2022, 12, 6470. [Google Scholar] [CrossRef]
- Dave, V.; Singh, S.; Vakharia, V. Diagnosis of bearing faults using multi fusion signal processing techniques and mutual information. Indian J. Eng. Mater. Sci. (IJEMS) 2021, 27, 878–888. [Google Scholar]
- Priya, E. An automated approach for the identification of TB images enhanced by non-uniform illumination correction. In Signal and Image Processing Techniques for the Development of Intelligent Healthcare Systems; Springer: Singapore, 2021; pp. 261–283. [Google Scholar] [CrossRef]
- Alrowais, F.; Alotaibi, S.S.; Al-Wesabi, F.N.; Negm, N.; Alabdan, R.; Marzouk, R.; Mehanna, A.S.; Al Duhayyim, M. Deep Transfer Learning Enabled Intelligent Object Detection for Crowd Density Analysis on Video Surveillance Systems. Appl. Sci. 2022, 12, 6665. [Google Scholar] [CrossRef]
- Senan, E.M.; Jadhav, M.E. Techniques for the Detection of Skin Lesions in PH 2 Dermoscopy Images Using Local Binary Pattern (LBP). In International Conference on Recent Trends in Image Processing and Pattern Recognition; Springer: Singapore, 2020; pp. 14–25. [Google Scholar] [CrossRef]
- Senan, E.M.; Abunadi, I.; Jadhav, M.E.; Fati, S.M. Score and Correlation Coefficient-Based Feature Selection for Predicting Heart Failure Diagnosis by Using Machine Learning Algorithms. Comput. Math. Methods Med. 2021, 2021, 8500314. [Google Scholar] [CrossRef]
- Senan, E.M.; Jadhav, M.E.; Rassem, T.H.; Aljaloud, A.S.; Mohammed, B.A.; Al-Mekhlafi, Z.G. Early Diagnosis of Brain Tumour MRI Images Using Hybrid Techniques between Deep and Machine Learning. Comput. Math. Methods Med. 2022, 2022, 8330833. [Google Scholar] [CrossRef]
- Khafaji, H.Q.A.; Abdul Wahhab, H.A.; Alsaedi, S.S.; Al-Maliki, W.A.K.; Alobaid, F.; Epple, B. Thermal Performance Evaluation of a Tubular Heat Exchanger Fitted with Combined Basket–Twisted Tape Inserts. Appl. Sci. 2022, 12, 4807. [Google Scholar] [CrossRef]
- Li, X.; Zhou, Y.; Du, P.; Lang, G.; Xu, M.; Wu, W. A deep learning system that generates quantitative CT reports for diagnosing pulmonary tuberculosis. Appl. Intell. 2021, 51, 4082–4093. [Google Scholar] [CrossRef]
- Hijazi, M.H.A.; Hwa, S.K.T.; Bade, A.; Yaakob, R.; Jeffree, M.S. Ensemble deep learning for tuberculosis detection using chest X-ray and canny edge detected images. IAES Int. J. Artif. Intell. 2019, 8, 429. [Google Scholar] [CrossRef]
- Dinesh Jackson Samuel, R.; Rajesh Kanna, B. Tuberculosis (TB) detection system using deep neural networks. Neural Comput. Appl. 2019, 31, 1533–1545. [Google Scholar] [CrossRef]
















| Datasets | First Dataset | Second Dataset | ||||
|---|---|---|---|---|---|---|
| Phase | Training and Validation | Testing 20% | Training and Validation | Testing 20% | ||
| Classes | Training (80%) | Validation (20%) | Training (80%) | Validation (20%) | ||
| Normal | 209 | 52 | 65 | 2240 | 560 | 700 |
| Tuberculosis | 215 | 54 | 67 | 448 | 112 | 140 |
| Phase | Training Phase | |||
|---|---|---|---|---|
| Datasets | First Dataset | Second Dataset | ||
| Classes | Normal | Tuberculosis | Normal | Tuberculosis |
| Before augmentation | 209 | 215 | 2240 | 448 |
| After augmentation | 2090 | 2150 | 2240 | 2240 |
| Datasets | First Dataset | Second Dataset | ||
|---|---|---|---|---|
| Measure | ResNet-50 + SVM | GoogLeNet + SVM | ResNet-50 + SVM | GoogLeNet + SVM |
| Accuracy % | 95.5 | 97 | 98.1 | 97.1 |
| Sensitivity % | 96.14 | 97.21 | 95.52 | 95 |
| Precision % | 95.72 | 97.45 | 97.11 | 94.5 |
| Specificity % | 95.84 | 97.38 | 95.61 | 94.85 |
| AUC % | 97.28 | 98.13 | 98.43 | 97.63 |
| Datasets | First Dataset | Second Dataset | ||
|---|---|---|---|---|
| Hybrid Features | ResNet-50, GLCM, DWT and LBP | GoogLeNet, GLCM, DWT and LBP | ResNet-50, GLCM, DWT and LBP | GoogLeNet, GLCM, DWT and LBP |
| Accuracy % | 99.2 | 98.5 | 99.8 | 99.3 |
| Sensitivity % | 99.23 | 98.71 | 99.54 | 98.5 |
| Precision % | 99.5 | 99.21 | 100 | 99.41 |
| Specificity % | 99.41 | 98.56 | 99.68 | 98.66 |
| AUC % | 99.78 | 99.28 | 99.82 | 99.32 |
| Datasets | First Dataset | Second Dataset | ||||||
|---|---|---|---|---|---|---|---|---|
| Systems | Normal | Tuberculosis | Accuracy % | Normal | Tuberculosis | Accuracy % | ||
| Hybrid model | ResNet-50 + SVM | 92.3 | 98.5 | 95.5 | 99.3 | 92.1 | 98.1 | |
| GoogLeNet + SVM | 96.9 | 97 | 97 | 98.1 | 92.1 | 97.1 | ||
| Fusion Features | ANN classifier | ResNet-50, GLCM, DWT and LBP | 98.5 | 100 | 99.2 | 100 | 98.6 | 99.8 |
| GoogLeNet GLCM, DWT and LBP | 96.9 | 100 | 98.5 | 99.7 | 97.1 | 99.3 | ||
| Previous Research | Accuracy (%) | Sensitivity (%) | Precision % | Specificity (%) | AUC % | Training/Testing Ratio |
|---|---|---|---|---|---|---|
| Seelwan et al. [9] | 77 | 72 | - | 82 | 85.02 | 75:25 |
| Kaur et al. [10] | 95 | 91 | 92 | - | 95 | 80:20 |
| Xing et al. [12] | 85 | 88 | 80 | - | 84 | 80:20 |
| Win et al. [16] | 92.7 | - | - | - | 99.5 | 70:30 |
| Duong et al. [22] | 96.17 | 97.4 | 96.1 | - | - | 88:12 |
| Li et al. [51] | 96.2 | 98.7 | - | 93.7 | - | 75:25 |
| Stefanus et al. [52] | 89.77 | 90.91 | - | 88.64 | - | - |
| Dinesh et al. [53] | 87.9 | 85.9 | 85.9 | - | - | 80:20 |
| Proposed model | 99.8 | 99.54 | 99.68 | 100 | 99.82 | 80:20 |
Publisher’s Note: MDPI stays neutral with regard to jurisdictional claims in published maps and institutional affiliations. |
© 2022 by the authors. Licensee MDPI, Basel, Switzerland. This article is an open access article distributed under the terms and conditions of the Creative Commons Attribution (CC BY) license (https://creativecommons.org/licenses/by/4.0/).
Share and Cite
Fati, S.M.; Senan, E.M.; ElHakim, N. Deep and Hybrid Learning Technique for Early Detection of Tuberculosis Based on X-ray Images Using Feature Fusion. Appl. Sci. 2022, 12, 7092. https://doi.org/10.3390/app12147092
Fati SM, Senan EM, ElHakim N. Deep and Hybrid Learning Technique for Early Detection of Tuberculosis Based on X-ray Images Using Feature Fusion. Applied Sciences. 2022; 12(14):7092. https://doi.org/10.3390/app12147092
Chicago/Turabian StyleFati, Suliman Mohamed, Ebrahim Mohammed Senan, and Narmine ElHakim. 2022. "Deep and Hybrid Learning Technique for Early Detection of Tuberculosis Based on X-ray Images Using Feature Fusion" Applied Sciences 12, no. 14: 7092. https://doi.org/10.3390/app12147092
APA StyleFati, S. M., Senan, E. M., & ElHakim, N. (2022). Deep and Hybrid Learning Technique for Early Detection of Tuberculosis Based on X-ray Images Using Feature Fusion. Applied Sciences, 12(14), 7092. https://doi.org/10.3390/app12147092

