Performance Evolution of Recycled Aggregate Concrete under the Coupled Effect of Freeze–Thaw Cycles and Sulfate Attack
Abstract
:1. Introduction
2. Materials and Methods
2.1. Materials and Specimens
2.2. Freeze–Thaw Tests
2.3. Mass Change, Water Absorption and Internal Damage
2.4. Mechanical Property Tests
3. Results and Discussion
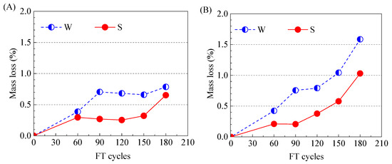
3.1. Mass Loss and Water Absorption
3.2. Dynamic Elastic Modulus
3.3. Compressive Strength and Splitting Tensile Strength
3.4. Fracture Energy
3.5. The Relationship between Strength and Damage Parameter
3.6. Analytical Techniques
4. Conclusions
- (1)
- The oven-dried mass decreases linearly with FT cycles. However, the saturated mass fluctuates slightly during the tests. The loss of the oven-dried mass is more suitable for assessing FT damage than the saturated mass.
- (2)
- The water-exposed FT cycles would result in more severe deterioration in mass loss, elastic modulus and compressive strength, while for the sulfate-exposed FT cycles, the splitting tensile strength and fracture energy have more serious degradation. Compared with compressive strength, deterioration in splitting tensile strength is more severe. The maximum losses in compressive and splitting tensile strength are 28.7% and 35%, respectively.
- (3)
- The fracture energy showed an increasing trend to 60 FT cycles, followed by an overall decrease to 180 FT cycles. It indicated a maximum increment of about 45% and 39% for water- and sulfate-exposed samples, respectively, after being subjected to 60 FT cycles. The analysis of failure modes of coarse aggregate reveals that FT damage results in a significant deterioration in the binding force of mortar. After being subjected to 180 FT cycles, the area percentage of pulled-out failure was increased from 7.3% to larger than 17.3%.
Author Contributions
Funding
Institutional Review Board Statement
Informed Consent Statement
Data Availability Statement
Conflicts of Interest
References
- Meyer, C. The greening of the concrete industry. Cem. Concr. Compos. 2009, 31, 601–605. [Google Scholar] [CrossRef]
- Faella, C.; Lima, C.; Martinelli, E.; Pepe, M.; Realfonzo, R. Mechanical and durability performance of sustainable structural concretes: An experimental study. Cem. Concr. Compos. 2016, 71, 85–96. [Google Scholar] [CrossRef]
- Va’zquez, E. Progress of Recycling in the Built Environment; Springer: Berlin/Heidelberg, Germany, 2013. [Google Scholar] [CrossRef]
- Hasanbeigi, A.; Price, L.; Lin, E. Emerging energy-efficiency and CO2emission-reduction technologies for cement and concrete production: A technical review. Renew. Sustain. Energy Rev. 2012, 16, 6220–6238. [Google Scholar] [CrossRef] [Green Version]
- Behera, M.; Bhattacharyya, S.K.; Minocha, A.K.; Deoliya, R.; Maiti, S. Recycled aggregate from C&D waste & its use in concrete—A breakthrough towards sustainability in construction sector: A review. Constr. Build. Mater. 2014, 68, 501–516. [Google Scholar] [CrossRef]
- Amario, M.; Rangel, C.S.; Pepe, M.; Toledo Filho, R.D. Optimization of normal and high strength recycled aggregate concrete mixtures by using packing model. Cem. Concr. Compos. 2017, 84, 83–92. [Google Scholar] [CrossRef]
- Santana Rangel, C.; Amario, M.; Pepe, M.; Yao, Y.; Mobasher, B.; Toledo Filho, R.D. Tension stiffening approach for interface characterization in recycled aggregate concrete. Cem. Concr. Compos. 2017, 82, 176–189. [Google Scholar] [CrossRef]
- Dong, W.; Wu, Z.; Zhou, X.; Dong, L.; Kastiukas, G. FPZ evolution of mixed mode fracture in concrete: Experimental and numerical. Eng. Fail. Anal. 2017, 75, 54–70. [Google Scholar] [CrossRef]
- Bui, N.K.; Satomi, T.; Takahashi, H. Improvement of mechanical properties of recycled aggregate concrete basing on a new combination method between recycled aggregate and natural aggregate. Constr. Build. Mater. 2017, 148, 376–385. [Google Scholar] [CrossRef]
- Bravo, M.; de Brito, J.; Evangelista, L.; Pacheco, J. Superplasticizer’s efficiency on the mechanical properties of recycled aggregates concrete: Influence of recycled aggregates composition and incorporation ratio. Constr. Build. Mater. 2017, 153, 129–138. [Google Scholar] [CrossRef]
- Pepe, M.; Toledo Filho, R.D.; Koenders, E.A.B.; Martinelli, E. A novel mix design methodology for Recycled Aggregate Concrete. Constr. Build. Mater. 2016, 122, 362–372. [Google Scholar] [CrossRef]
- Dilbas, H.; Şimşek, M.; Çakir, Ö. An investigation on mechanical and physical properties of recycled aggregate concrete (RAC) with and without silica fume. Constr. Build. Mater. 2014, 61, 50–59. [Google Scholar] [CrossRef]
- Mehta, P.K.; Monteiro, P.J.M. Concrete: Microstructure, Properties and Materials; McGraw Hill: New York, NY, USA, 2006. [Google Scholar]
- Li, W.; Pour-Ghaz, M.; Castro, J.; Weiss, J. Water Absorption and Critical Degree of Saturation Relating to Freeze-Thaw Damage in Concrete Pavement Joints. J. Mater. Civ. Eng. 2012, 24, 299–307. [Google Scholar] [CrossRef]
- Kou, S.C.; Poon, C.S. Effect of the quality of parent concrete on the properties of high performance recycled aggregate concrete. Constr. Build. Mater. 2015, 77, 501–508. [Google Scholar] [CrossRef]
- Bulatović, V.; Melešev, M.; Radeka, M.; Radonjanin, V.; Lukić, I. Evaluation of sulfate resistance of concrete with recycled and natural aggregates. Constr. Build. Mater. 2017, 152, 614–631. [Google Scholar] [CrossRef]
- Kwan, W.H.; Ramli, M.; Kam, K.J.; Sulieman, M.Z. Influence of the amount of recycled coarse aggregate in concrete design and durability properties. Constr. Build. Mater. 2012, 26, 565–573. [Google Scholar] [CrossRef]
- Gomes, M.; De Brito, J. Structural concrete with incorporation of coarse recycled concrete and ceramic aggregates: Durability performance. Mater. Struct. 2009, 42, 663–6675. [Google Scholar] [CrossRef]
- Levy, S.M.; Helene, P. Durability of recycled aggregates concrete: A safe way to sustainable development. Cem. Concr. Res. 2004, 34, 1975–1980. [Google Scholar] [CrossRef]
- Bassuoni, M.T.; Nehdi, M.L. Durability of self-consolidating concrete to sulfate attack under combined cyclic environments and flexural loading. Cem. Concr. Res. 2009, 39, 206–226. [Google Scholar] [CrossRef]
- Zeng, Q.; Fen-Chong, T.; Li, K. Freezing behavior of cement pastes saturated with NaCl solution. Constr. Build. Mater. 2014, 59, 99–110. [Google Scholar] [CrossRef]
- Liu, Z.; Hansen, W. Freeze–thaw durability of high strength concrete under deicer salt exposure. Constr. Build. Mater. 2016, 102, 478–485. [Google Scholar] [CrossRef]
- Sun, Z.; Scherer, G.W. Effect of air voids on salt scaling and internal freezing. Cem. Concr. Res. 2010, 40, 260–270. [Google Scholar] [CrossRef]
- Farnam, Y.; Wiese, A.; Bentz, D.; Davis, J.; Weiss, J. Damage development in cementitious materials exposed to magnesium chloride deicing salt. Constr. Build. Mater. 2015, 93, 384–392. [Google Scholar] [CrossRef]
- Wan, X.S.; Lai, Y.M. Experimental study on freezing temperature and salt crystal precipitation of sodium sulphate soulotion and sodium sulphate saline soil. Chin. J. Geotech. Eng. 2013, 35, 7. (In Chinese) [Google Scholar]
- Ghorbel, E.; Wardeh, G. Influence of recycled coarse aggregates incorporation on the fracture properties of concrete. Constr. Build. Mater. 2017, 154, 51–60. [Google Scholar] [CrossRef]
- Chen, G.M.; Yang, H.; Lin, C.J.; Chen, J.F.; He, Y.H.; Zhang, H.Z. Fracture behaviour of steel fibre reinforced recycled aggregate concrete after exposure to elevated temperatures. Constr. Build. Mater. 2016, 128, 272–286. [Google Scholar] [CrossRef]
- Gesoglu, M.; Güneyisi, E.; Öz, H.Ö.; Taha, I.; Yasemin, M.T. Failure characteristics of self-compacting concretes made with recycled aggregates. Constr. Build. Mater. 2015, 98, 334–344. [Google Scholar] [CrossRef]
- Guo, Y.C.; Zhang, J.H.; Chen, G.; Chen, G.M.; Xie, Z.H. Fracture behaviors of a new steel fiber reinforced recycled aggregate concrete with crumb rubber. Constr. Build. Mater. 2014, 53, 32–39. [Google Scholar] [CrossRef]
- GB/T 50082-2009; Standard for Test Methods of Long-Term Performance and Durability of Ordinary Concrete. Ministry of Housing and Urban-Rural Development: Beijing, China, 2009. (In Chinese)
- Abbaszadeh, R.; Modarres, A. Freeze-thaw durability of non-air-entrained roller compacted concrete designed for pavement containing cement kiln dust. Cold Reg. Sci. Technol. 2017, 141, 16–27. [Google Scholar] [CrossRef]
- Liu, Z.; Hansen, W. Pore damage in cementitious binders caused by deicer salt frost exposure. Constr. Build. Mater. 2015, 98, 204–216. [Google Scholar] [CrossRef]
- Jin, S.; Zheng, G.; Yu, J. A micro freeze-thaw damage model of concrete with fractal dimension. Constr. Build. Mater. 2020, 257, 119434. [Google Scholar] [CrossRef]
- Eriksson, D.; Wahlbom, D.; Malm, R.; Fridh, K. Hygro-thermo-mechanical modeling of partially saturated air-entrained concrete containing dissolved salt and exposed to freeze-thaw cycles. Cem. Concr. Res. 2021, 141, 106314. [Google Scholar] [CrossRef]
- RILEM Draft Recommendation (TC50-FMC). Determination of fracture energy of mortar and concrete by means of three-point bend test on notched beams. Mater. Struct. 1985, 18, 285–290.
- GB/T 50081-2002; Standard for Test Method of Mechanical Properties on Ordinary Concrete. Ministry of Housing and Urban-Rural Development: Beijing, China, 2002. (In Chinese)
- Kequan, Y.; Jiangtao, Y.; Zhoudao, L.; Qingyang, C. Determination of the softening curve and fracture toughness of high-strength concrete exposed to high temperature. Eng. Fract. Mech. 2015, 149, 156–169. [Google Scholar] [CrossRef]
- Neville, A. The confused world of sulfate attack on concrete. Cem. Concr. Res. 2004, 34, 1275–1296. [Google Scholar] [CrossRef]
- Whittaker, M.; Black, L. Current knowledge of external sulfate attack. Adv. Cem. Res. 2015, 27, 532–545. [Google Scholar] [CrossRef] [Green Version]
- Lothenbach, B.; Bary, B.; Le Bescop, P.; Schmidt, T.; Leterrier, N. Sulfate ingress in Portland cement. Cem. Concr. Res. 2010, 40, 1211–1225. [Google Scholar] [CrossRef]
- Jiang, L.; Niu, D.; Yuan, L.; Fei, Q. Durability of concrete under sulfate attack exposed to freeze–thaw cycles. Cold Reg. Sci. Technol. 2015, 112, 112–117. [Google Scholar] [CrossRef]
- Kosior-Kazberuk, M. Variations in fracture energy of concrete subjected to cyclic freezing and thawing. Arch. Civ. Mech. Eng. 2013, 13, 254–259. [Google Scholar] [CrossRef]
- Ferreira, M.; Kuosa, H.; Leivo, M.; Holt, E. Concrete performance subject to coupled deterioration in cold environments. Nucl. Eng. Des. 2017, 323, 228–234. [Google Scholar] [CrossRef]










| Cement | Sand | NCA | RCA | FA | SP | Water | w/c | w/b |
|---|---|---|---|---|---|---|---|---|
| 440 | 610 | 620 | 620 | 110 | 1.1 | 165 | 0.5 | 0.4 |
| Appearance | Water-Reducing Ratio | Moisture Content | Bulk Density/kg.m−3 |
|---|---|---|---|
| Grey powder | ≥25% | ≤5.0% | 500~700 |
| PH Value (20 °C, 10% Aqueous Solutions) | Chloride Ions Content | Sodium Sulfate Content | Alkali Content |
| 6~8 | ≤0.03% | ≤3.0% | ≤0.5% |
| Specimen | FT Cycles | ||||||
|---|---|---|---|---|---|---|---|
| 0 (W0/S0) | 0 | - | - | - | - | - | - |
| W60 | 60 | 9306 | 9217 | 9270 | 9178 | 89 | 92 |
| W90 | 90 | 9087 | 8999 | 9023 | 8931 | 88 | 92 |
| W120 | 120 | 9539 | 9474 | 9474 | 9399 | 65 | 75 |
| W150 | 150 | 9101 | 9018 | 9041 | 8924 | 83 | 117 |
| W180 | 180 | 9047 | 8955 | 8976 | 8813 | 92 | 163 |
| S60 | 60 | 9143 | 9048 | 9116 | 9029 | 95 | 87 |
| S90 | 90 | 9298 | 9224 | 9273 | 9205 | 74 | 68 |
| S120 | 120 | 9106 | 9019 | 9083 | 8985 | 87 | 98 |
| S150 | 150 | 9060 | 8996 | 9031 | 8944 | 64 | 87 |
| S180 | 180 | 9206 | 9127 | 9146 | 9033 | 79 | 113 |
| Specimen | FT Cycles | ||||
|---|---|---|---|---|---|
| 0 (W0/S0) | 0 | 0 | 59.5 | 4.0 | 300.9 |
| W60 | 60 | 0.068 | 56.2 | 3.5 | 437.1 |
| W90 | 90 | 0.109 | 51.1 | 3.2 | 326.7 |
| W120 | 120 | 0.173 | 47.5 | 3.0 | 342.5 |
| W150 | 150 | 0.211 | 44.3 | 2.9 | 309.2 |
| W180 | 180 | 0.246 | 42.4 | 2.6 | 274.1 |
| S60 | 60 | 0.048 | 57.8 | 3.6 | 417.9 |
| S90 | 90 | 0.073 | 53.5 | 3.3 | 386.1 |
| S120 | 120 | 0.092 | 51.2 | 3.1 | 322.2 |
| S150 | 150 | 0.15 | 49.8 | 3.0 | 252.1 |
| S180 | 180 | 0.215 | 46.1 | 2.6 | 254.1 |
Publisher’s Note: MDPI stays neutral with regard to jurisdictional claims in published maps and institutional affiliations. |
© 2022 by the authors. Licensee MDPI, Basel, Switzerland. This article is an open access article distributed under the terms and conditions of the Creative Commons Attribution (CC BY) license (https://creativecommons.org/licenses/by/4.0/).
Share and Cite
Jia, P.; Li, L.; Zhou, J.; Zhang, D.; Guan, Z.; Dong, J.; Wang, Q. Performance Evolution of Recycled Aggregate Concrete under the Coupled Effect of Freeze–Thaw Cycles and Sulfate Attack. Appl. Sci. 2022, 12, 6950. https://doi.org/10.3390/app12146950
Jia P, Li L, Zhou J, Zhang D, Guan Z, Dong J, Wang Q. Performance Evolution of Recycled Aggregate Concrete under the Coupled Effect of Freeze–Thaw Cycles and Sulfate Attack. Applied Sciences. 2022; 12(14):6950. https://doi.org/10.3390/app12146950
Chicago/Turabian StyleJia, Pu, Lang Li, Jin Zhou, Di Zhang, Zhongwei Guan, Jiangfeng Dong, and Qingyuan Wang. 2022. "Performance Evolution of Recycled Aggregate Concrete under the Coupled Effect of Freeze–Thaw Cycles and Sulfate Attack" Applied Sciences 12, no. 14: 6950. https://doi.org/10.3390/app12146950
APA StyleJia, P., Li, L., Zhou, J., Zhang, D., Guan, Z., Dong, J., & Wang, Q. (2022). Performance Evolution of Recycled Aggregate Concrete under the Coupled Effect of Freeze–Thaw Cycles and Sulfate Attack. Applied Sciences, 12(14), 6950. https://doi.org/10.3390/app12146950

