Age-Related Study and Collision Response of Material Properties of Long Bones in Chinese Pedestrian Lower Limbs
Abstract
:1. Introduction
2. Materials and Methods
2.1. Chinese Human Body Lower Limb Model
2.2. Geometric Extraction and Material Assignment of Long Bones of Lower Limbs
2.3. Simulation Matrix of Age Sensitivity Analysis
2.4. Data Analysis
3. Results
3.1. Correlation Fitting of Material Properties of Lower Limb Long Bones and Analysis and Comparison with Previous Studies
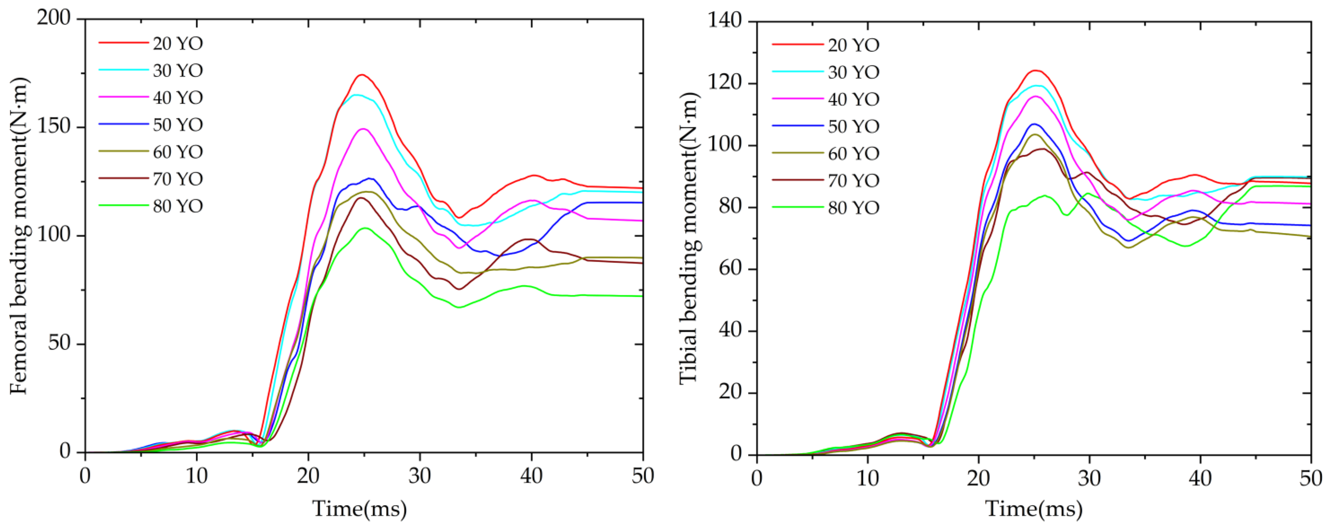
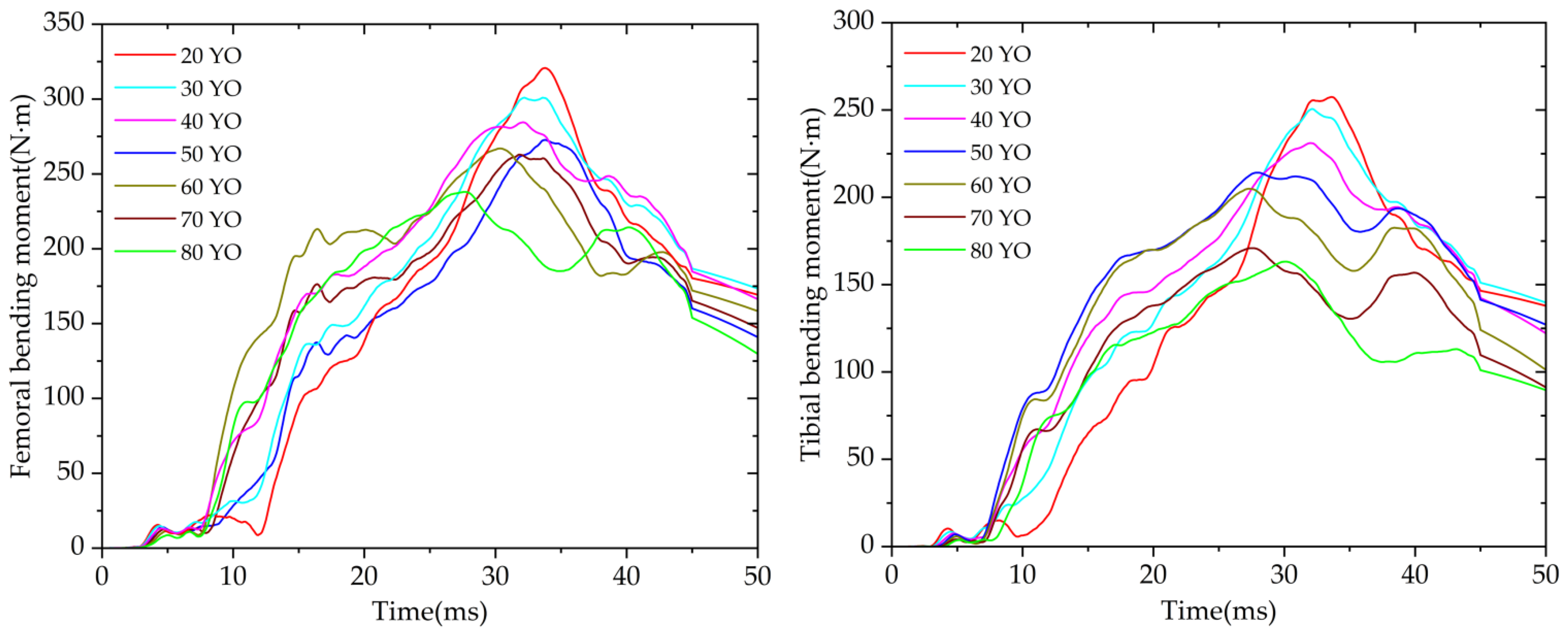
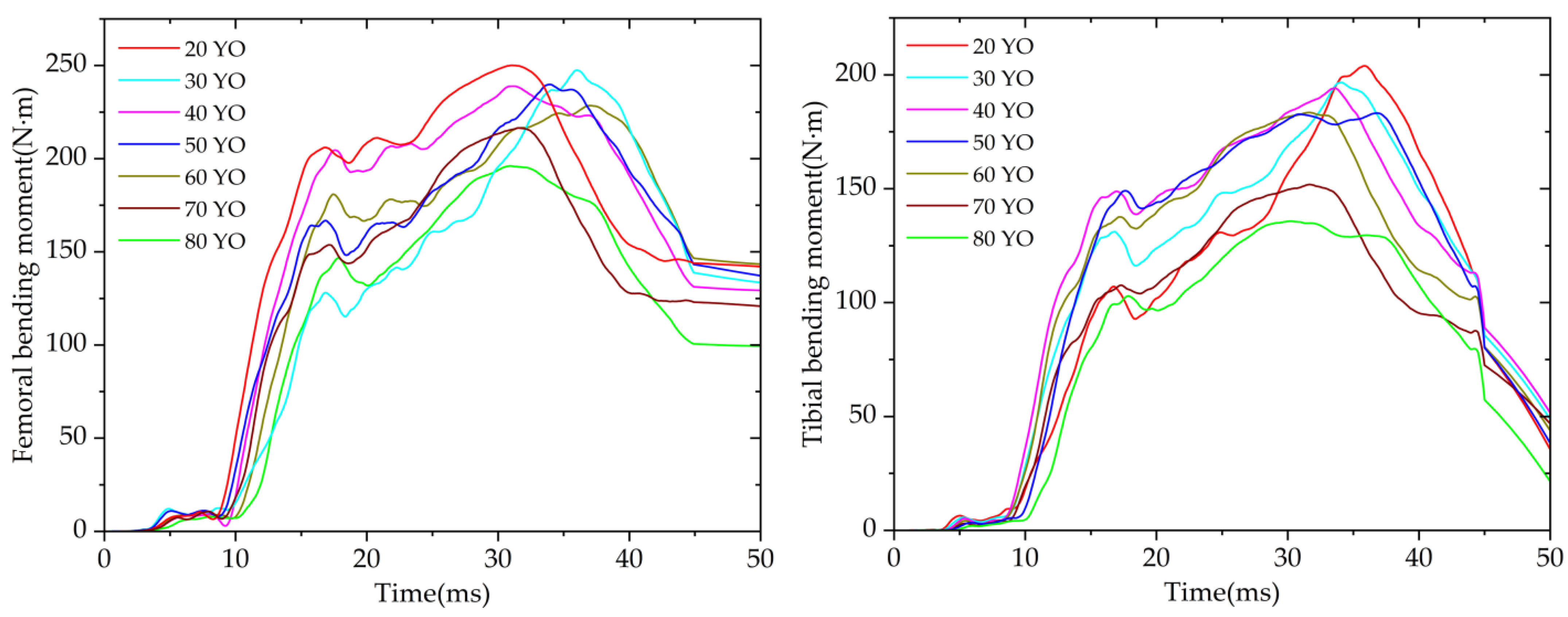
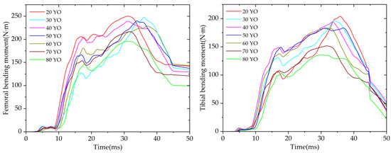
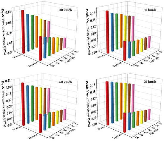
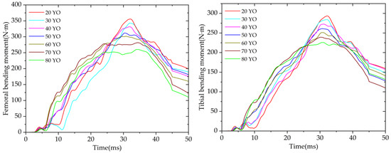
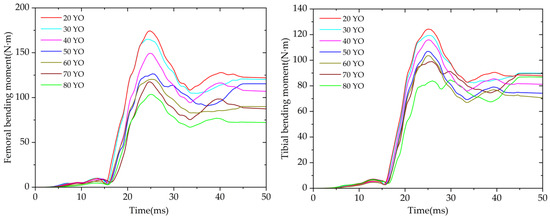
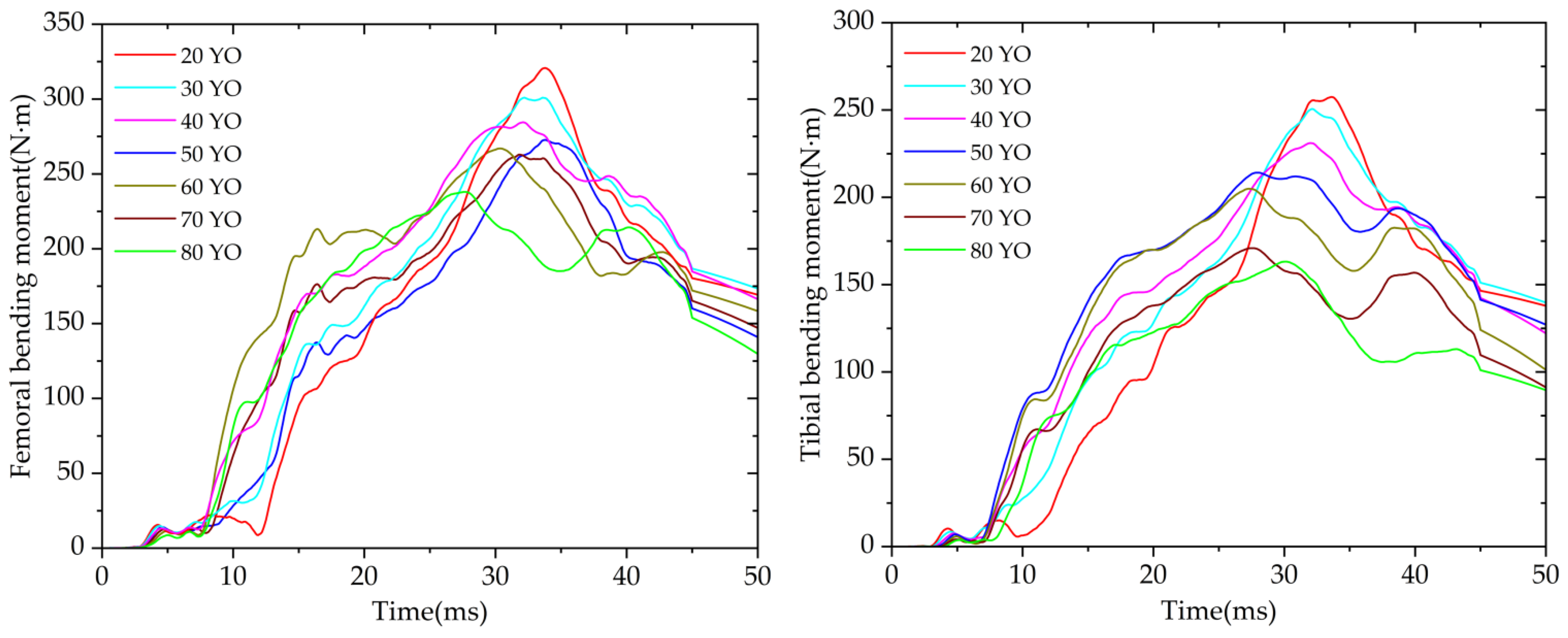
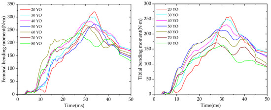
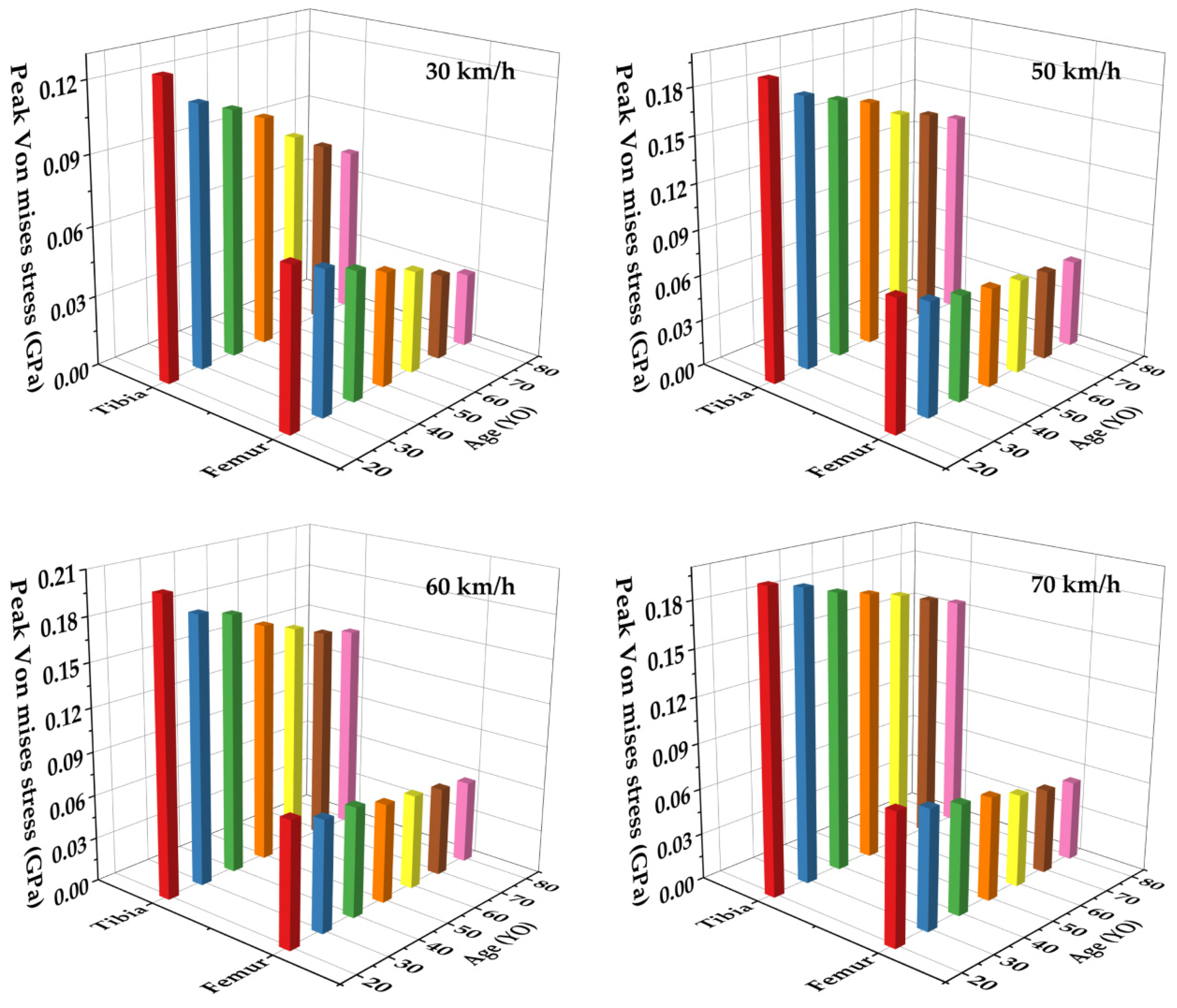
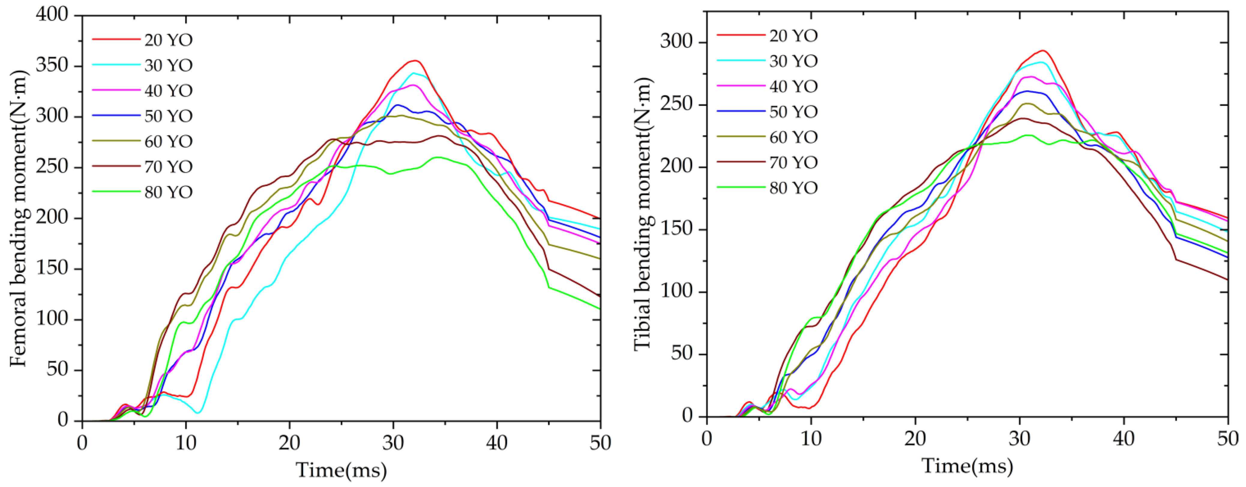
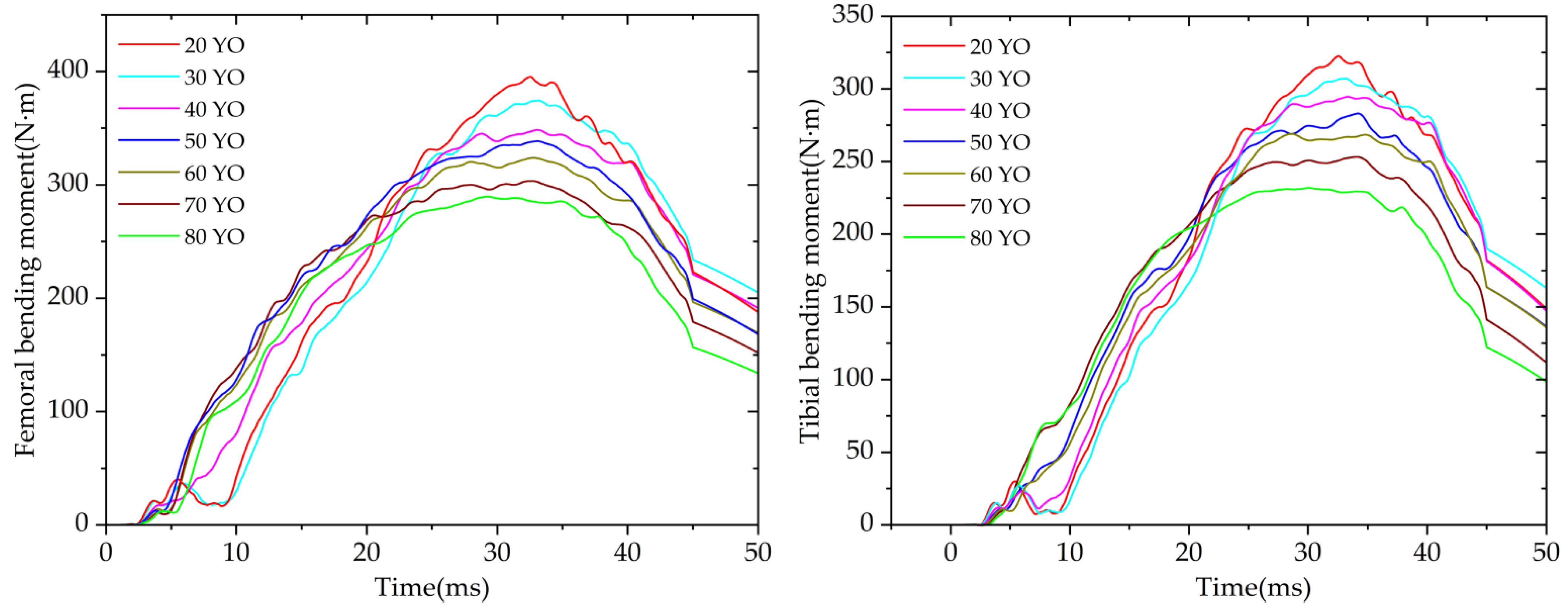
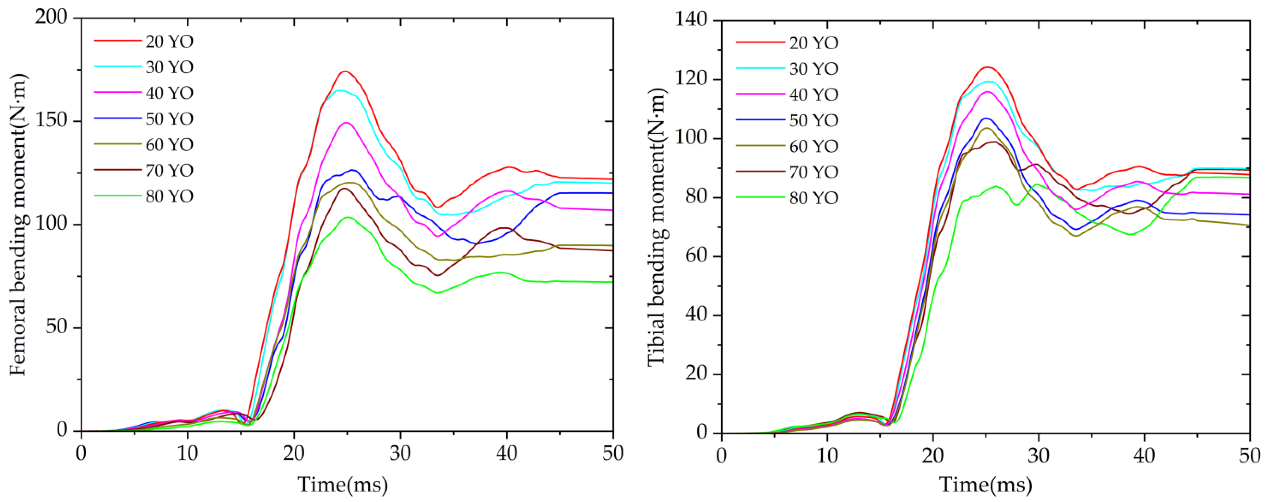
3.2. Extraction and Analysis of the Simulation Results
4. Discussion
5. Conclusions
Author Contributions
Funding
Institutional Review Board Statement
Informed Consent Statement
Data Availability Statement
Acknowledgments
Conflicts of Interest
Appendix A
| Locations | Material Types | Number, Sex, Mean Age | Loading Types | References | |
|---|---|---|---|---|---|
| Reilly (1974) | Femur body | Ec | n = 19, N/A, 53.11 | Compression test | [22] |
| Zioupos (1998) | Femur body | Ec | n = 10, F, 55.1 | Compression test | [44] |
| Donaldson (2011) | Femur mid-upper end | Ec | n = 27, M, 53.42 | Software | [45] |
| Merlo (2020) | Tibia upper end | Ec | n = 10, M, 73.1 ± 10.9 | Compression test | [46] |
| Ding (1997) | Tibia lower end | Es, ρs | n = 40, F(30) M(10), 50.5 | Stretch test | [47] |
| Dalzell (2009) | Tibia body | ρc, ρs | n = 132, 58 (M) 74 (F), 50.7(M) 49.7 (F) | pQCT | [48] |
| Thomas (2009) | Tibia body | ρs | n = 68, 33 (M) 35 (F), 69 (M) 68.5 (F) | pQCT | [49] |
| Hamandi (2021) | Tibia body | ρs | n = 313, 153 (M) 160 (F), 59 (M) 59 (F) | Software | [25] |

| Bone | Locations | Age | ||||||
|---|---|---|---|---|---|---|---|---|
| 20 YO | 30 YO | 40 YO | 50 YO | 60 YO | 70 YO | 80 YO | ||
| Femur | Femoral head | Ec = 13.5 Gpa, Es = 0.082 Gpa/ρc = 1520 kg·m−3, ρs = 830 kg·m−3 | Ec = 13.2 Gpa, Es = 0.076 Gpa/ρc = 14 60 kg·m−3, ρs = 780 kg·m−3 | Ec = 12.5 Gpa, Es = 0.072 Gpa/ρc = 1440 kg·m−3, ρs = 750 kg·m−3 | Ec = 12.1 Gpa, Es = 0.067 Gpa/ρc = 1380 kg·m−3, ρs = 730 kg·m−3 | Ec = 11.7 Gpa, Es = 0.058 Gpa/ρc = 1330 kg·m−3, ρs = 720 kg·m−3 | Ec = 11.2 Gpa, Es = 0.055 Gpa/ρc = 1260 kg·m−3, ρs = 650 kg·m−3 | Ec = 10.7 Gpa, Es = 0.050 Gpa/ρc = 1230 kg·m−3, ρs = 590 kg·m−3 |
| Femoral neck and rotor | Ec = 12.6 Gpa, Es = 0.079 Gpa/ρc = 1475 kg·m−3, ρs = 820 kg·m−3 | Ec= 11.9 Gpa, Es = 0.074 Gpa/ρc = 1420 kg·m−3, ρs = 765 kg·m−3 | Ec = 11.5 Gpa, Es = 0.070 Gpa/ρc = 1380 kg·m−3, ρs = 740 kg·m−3 | Ec = 10.8 Gpa, Es = 0.068 Gpa/ρc = 1330 kg·m−3, ρs = 715 kg·m− 3 | Ec = 10.4 Gpa, Es = 0.060 Gpa/ρc = 1290 kg·m−3, ρs = 710 kg·m−3 | Ec = 9.8 Gpa, Es = 0.056 Gpa/ρc = 1180 kg·m−3, ρs = 655 kg·m−3 | Ec = 9.3 Gpa, Es = 0.052 Gpa/ρc = 1120 kg·m−3, ρs = 595 kg·m−3 | |
| Femoral body | Ec = 17.8 Gpa, Es = 0.085 Gpa/ρc = 1850 kg·m−3, ρs = 850 kg·m−3 | Ec = 17.5 Gpa, Es = 0.079 Gpa/ρc = 1790 kg·m−3, ρs = 750 kg·m−3 | Ec = 17.0 Gpa, Es = 0.068 Gpa/ρc = 1740 kg·m−3, ρs = 735 kg·m−3 | Ec = 16.5 Gpa, Es = 0.070 Gpa/ρc = 1680 kg·m−3, ρs = 725 kg·m−3 | Ec = 16.3 Gpa, Es = 0.063 Gpa/ρc = 1650 kg·m−3, ρs = 720 kg·m−3 | Ec = 15.9 Gpa, Es = 0.060 Gpa/ρc = 1580 kg·m−3, ρs = 710 kg·m−3 | Ec = 15.2 Gpa, Es = 0.058 Gpa/ρc = 1480 kg·m−3, ρs = 650 kg·m−3 | |
| Femoral condyle | Ec = 12.9 Gpa, Es = 0.080 Gpa/ρc = 1500 kg·m−3, ρs = 800 kg·m−3 | Ec = 12.5 Gpa, Es = 0.068 Gpa/ρc = 1470 kg·m−3, ρs = 738 kg·m−3 | Ec = 12.0 Gpa, Es = 0.066 Gpa/ρc = 1450 kg·m−3, ρs = 725 kg·m−3 | Ec = 11.8 Gpa, Es = 0.063 Gpa/ρc = 1390 kg·m−3, ρs = 698 kg·m−3 | Ec = 10.9 Gpa, Es = 0.058 Gpa/ρc = 1280 kg·m−3, ρs = 690 kg·m−3 | Ec = 10.2 Gpa, Es = 0.060 Gpa/ρc=1200 kg·m−3, ρs = 685 kg·m−3 | Ec = 9.7 Gpa, Es = 0.053 Gpa/ρc=1150 kg·m−3, ρs = 600 kg·m−3 | |
| Tibia | Tibial upper end | Ec = 11.0Gpa, Es = 0.078 Gpa/ρc = 1520 kg·m−3, ρs = 800 kg·m−3 | Ec = 10.8 Gpa, Es = 0.076 Gpa/ρc = 1500 kg·m−3, ρs = 795 kg·m−3 | Ec = 10.5 Gpa, Es = 0.073 Gpa/ρc = 1460 kg·m−3, ρs = 786 kg·m−3 | Ec = 9.8 Gpa, Es = 0.072 Gpa/ρc = 1400 kg·m−3, ρs = 780 kg·m−3 | Ec = 9.6 Gpa, Es = 0.068 Gpa/ρc = 1380 kg·m−3, ρs = 760 kg·m−3 | Ec = 8.9 Gpa, Es = 0.065 Gpa/ρc = 1350 kg·m−3, ρs = 745 kg·m−3 | Ec = 8.2 Gpa, Es = 0.060 Gpa/ρc = 1320 kg·m−3, ρs = 730 kg·m−3 |
| Tibial body | Ec = 14.0 Gpa, Es = 0.080 Gpa/ρc = 1780 kg·m−3, ρs = 830 kg·m−3 | Ec = 13.5 Gpa, Es = 0.080 Gpa/ρc = 1720 kg·m−3, ρs = 815 kg·m−3 | Ec = 13.0 Gpa, Es = 0.079 Gpa/ρc = 1650 kg·m−3, ρs=805 kg·m−3 | Ec = 12.6 Gpa, Es = 0.077 Gpa/ρc = 1600 kg·m−3, ρs = 800 kg·m−3 | Ec = 12.0 Gpa, Es = 0.074 Gpa/ρc = 1580 kg·m−3, ρs = 790 kg·m−3 | Ec = 11.6 Gpa, Es = 0.072 Gpa/ρc = 1560 kg·m−3, ρs = 775 kg·m−3 | Ec = 11.2 Gpa, Es = 0.070 Gpa/ρc = 1520 kg·m−3, ρs = 768 kg·m−3 | |
| Tibial lower end | Ec = 11.8 Gpa, Es = 0.079 Gpa/ρ c= 1580 kg·m−3, ρs = 815 kg·m−3 | Ec = 11.3 Gpa, Es = 0.076 Gpa/ρc = 1540 kg·m−3, ρs = 810 kg·m−3 | Ec = 10.8 Gpa, Es = 0.074 Gpa/ρc = 1520 kg·m−3, ρs = 800 kg·m−3 | Ec = 10.2 Gpa, Es = 0.072 Gpa/ρc = 1485 kg·m−3, ρs = 785 kg·m−3 | Ec = 9.8 Gpa, Es = 0.072 Gpa/ρc = 1460 kg·m−3, ρs = 770 kg·m−3 | Ec = 9.4 Gpa, Es = 0.070 Gpa/ρc = 1420 kg·m−3, ρs = 756 kg·m−3 | Ec = 9.0 Gpa, Es = 0.065 Gpa/ρc = 1385 kg·m−3, ρs = 740 kg·m−3 | |





References
- World Health Organization. Global Status Report on Road Safety 2015. Inj. Prev. 2015, 15, 286. [Google Scholar]
- Knight, B. Transportation injuries. Kn. Forensic Pathol. 2004, 281–300. Available online: https://cir.nii.ac.jp/crid/1573668924774772096 (accessed on 8 June 2022).
- Liu, G.; Chen, S.; Zeng, Z.; Cui, H.; Fang, Y.; Gu, D.; Yin, Z.; Wang, Z. Risk factors for extremely serious road accidents: Results from national Road Accident Statistical Annual Report of China. PLoS ONE 2018, 13, e0201587. [Google Scholar] [CrossRef]
- Connelly, C.L.; Bucknall, V.; Jenkins, P.J.; Court-Brown, C.M.; Biant, L.C. Outcome at 12 to 22 years of 1502 tibial shaft fractures. Bone Jt. J. 2014, 96, 1370–1377. [Google Scholar] [CrossRef] [PubMed]
- Singh, R.; Singh, H.K.; Gupta, S.; Kumar, Y. Pattern, severity and circumtances of injuries sustained in road traffic accidents: A tertiary care hospital-based study. Indian J. Community Med. Off. Publ. Indian Assoc. Prev. Soc. Med. 2014, 39, 30. [Google Scholar] [CrossRef] [PubMed]
- Malm, S.; Krafft, M.; Kullgren, A.; Ydenius, A.; Tingvall, C. Risk of Permanent Medical Impairment (RPMI) in Road Traffic Accidents. Ann. Adv. Automot. Med. 2008, 52, 93–100. [Google Scholar]
- Karger, B.; Teige, K.; Fuchs, M.; Brinkmann, B. Was the pedestrian hit in an erect position before being run over? Forensic Sci. Int. 2001, 119, 217–220. [Google Scholar] [CrossRef]
- Nogayeva, S.; Gooch, J.; Frascione, N. The forensic investigation of vehicle–pedestrian collisions: A review. Sci. Justice 2021, 61, 112–118. [Google Scholar] [CrossRef]
- Rich, J.; Dean, D.E.; Powers, R.H. Forensic Medicine of the Lower Extremity; Springer: Berlin/Heidelberg, Germany, 2007. [Google Scholar]
- Li, Z.; Zou, D.; Liu, N.; Zhong, L.; Shao, Y.; Wan, L.; Huang, P.; Chen, Y. Finite element analysis of pedestrian lower limb fractures by direct force: The result of being run over or impact? Forensic Sci. Int. 2013, 229, 43–51. [Google Scholar] [CrossRef]
- Rowbotham, S.K.; Blau, S. Skeletal fractures resulting from fatal falls: A review of the literature. Forensic Sci. Int. 2016, 266, 582.e1–582.e15. [Google Scholar] [CrossRef]
- Cunha, E.; Pinheiro, J. Bone pathology and antemortem trauma. In Forensic Anthropology; Academic Press: Cambridge, MA, USA, 2016; Volume 177. [Google Scholar] [CrossRef]
- Cohen, H.; Kugel, C.; May, H.; Medlej, B.; Stein, D.; Slon, V.; Hershkovitz, I.; Brosh, T. The impact velocity and bone fracture pattern: Forensic perspective. Forensic Sci. Int. 2016, 266, 54–62. [Google Scholar] [CrossRef] [PubMed]
- Galloway, A.; Zephro, L. Skeletal trauma analysis of the lower extremity. In Forensic Medicine of the Lower Extremity; Humana Press: Totowa, NJ, USA, 2005; pp. 253–277. [Google Scholar] [CrossRef]
- Henary, B.Y.; Ivarsson, J.; Crandall, J.R. The influence of age on the morbidity and mortality of pedestrian victims. Traffic Inj. Prev. 2006, 7, 182–190. [Google Scholar] [CrossRef] [PubMed]
- Jingwen, H.; Rupp, J.D.; Reed, M.P. Focusing on Vulnerable Populations in Crashes: Recent Advances in Finite Element Human Models for Injury Biomechanics Research. J. Automot. Saf. Energy 2012, 3, 295. [Google Scholar] [CrossRef]
- Sun, S.-S.; Ma, H.-L.; Liu, C.-L.; Huang, C.-H.; Cheng, C.-K.; Wei, H.-W. Difference in femoral head and neck material properties between osteoarthritis and osteoporosis. Clin. Biomech. 2008, 23, S39–S47. [Google Scholar] [CrossRef] [PubMed]
- Mirzaali, M.J.; Schwiedrzik, J.J.; Thaiwichai, S.; Best, J.P.; Michler, J.; Zysset, P.K.; Wolfram, U. Mechanical properties of cortical bone and their relationships with age, gender, composition and microindentation properties in the elderly. Bone 2016, 93, 196–211. [Google Scholar] [CrossRef]
- Waseem, U. Effect of age on the elastic modulus of bone. J. Bioeng. Biomed. Sci. 2017, 7, 2. [Google Scholar] [CrossRef] [Green Version]
- Forman, J.L.; de Dios, E.; Symeonidis, I.; Duart, J.; Kerrigan, J.R.; Salzar, R.S.; Balasubramanian, S.; Segui-Gomez, M.; Kent, R.W. Fracture tolerance related to skeletal development and aging throughout life: 3-point bending of human femurs. In Proceedings of the IRCOBI Conference, Dublin, Ireland, 12–14 September 2012; pp. 529–539. [Google Scholar]
- Mather, B.S. The symmetry of the mechanical properties of the human femur. J. Surg. Res. 1967, 7, 222–225. [Google Scholar] [CrossRef]
- Reilly, D.T.; Burstein, A.H.; Frankel, V.H. The elastic modulus for bone. J. Biomech. 1974, 7, 271–275. [Google Scholar] [CrossRef]
- Krischak, G.D.; Augat, P.; Wachter, N.J.; Kinzl, L.; Claes, L.E. Predictive value of bone mineral density and Singh index for the in vitro mechanical properties of cancellous bone in the femoral head. Clin. Biomech. 1999, 14, 346–351. [Google Scholar] [CrossRef]
- Yamada, H. Strength of biological materials. J. Anat. 1970, 108, 582. [Google Scholar]
- Hamandi, F.; Tsatalis, J.T.; Goswami, T. Retrospective evaluation and framework development of bone anisotropic material behavior compared with elastic, elastic-plastic, and hyper-elastic properties. Bioengineering 2021, 9, 9. [Google Scholar] [CrossRef] [PubMed]
- Schoell, S.L.; Weaver, A.A.; Urban, J.E.; Jones, D.A.; Stitzel, J.D.; Hwang, E.; Reed, M.P.; Rupp, J.D. Development and validation of an older occupant finite element model of a mid-sized male for investigation of age-related injury risk. Stapp Car Crash J. 2015, 59, 359. [Google Scholar] [PubMed]
- Huang, J.; Long, Y.; Yan, Y.; Hu, L. Development and validation of an age-specific lower extremity finite element model for simulating pedestrian accidents. Appl. Bionics Biomech. 2018, 2018, 5906987. [Google Scholar] [CrossRef] [PubMed] [Green Version]
- Tang, J.; Zhou, Q.; Nie, B.; Hu, J. Obesity effects on pedestrian lower extremity injuries in vehicle-to-pedestrian impacts: A numerical investigation using human body models. Traffic Inj. Prev. 2020, 21, 569–574. [Google Scholar] [CrossRef] [PubMed]
- Chen, H.; Poulard, D.; Forman, J.; Crandall, J.; Panzer, M.B. Evaluation of geometrically personalized THUMS pedestrian model response against sedan–pedestrian PMHS impact test data. Traffic Inj. Prev. 2018, 19, 542–548. [Google Scholar] [CrossRef]
- Mo, F.; Li, F.; Behr, M.; Xiao, Z.; Zhang, G.; Du, X. A Lower Limb-Pelvis Finite Element Model with 3D Active Muscles. Ann. Biomed. Eng. 2017, 46, 86–96. [Google Scholar] [CrossRef]
- Mo, F.; Luo, D.; Tan, Z.; Shang, B.; Zhou, D. A Human Active Lower Limb Model for Chinese Pedestrian Safety Evaluation. J. Bionic Eng. 2021, 18, 872–886. [Google Scholar] [CrossRef]
- Cardot, J.; Masson, C.; Arnoux, P.J.; Brunet, C. Finite element analysis of cyclist lower limb response in car-bicycle accident. Int. J. Crashworthiness 2006, 11, 115–130. [Google Scholar] [CrossRef]
- Scattina, A.; Mo, F.; Masson, C.; Avalle, M.; Arnoux, P.J. Analysis of the influence of passenger vehicles front-end design on pedestrian lower extremity injuries by means of the LLMS model. Traffic Inj. Prev. 2018, 19, 535–541. [Google Scholar] [CrossRef]
- Mo, F.; Arnoux, P.J.; Avalle, M.; Scattina, A.; Semino, E.; Masson, C. Incidences of various passenger vehicle front-end designs on pedestrian lower limb injuries. Int. J. Crashworthiness 2015, 20, 337–347. [Google Scholar] [CrossRef]
- Penrose, J.; Holt, G.; Beaugonin, M.; Hose, D. Development of an accurate three-dimensional finite element knee model. Comput. Methods Biomech. Biomed. Eng. 2002, 5, 291–300. [Google Scholar] [CrossRef] [PubMed]
- Rho, J.-Y.; Hobatho, M.; Ashman, R. Relations of mechanical properties to density and CT numbers in human bone. Med. Eng. Phys. 1995, 17, 347–355. [Google Scholar] [CrossRef]
- Keyak, J.; Meagher, J.; Skinner, H.; Mote Jr, C. Automated three-dimensional finite element modelling of bone: A new method. J. Biomed. Eng. 1990, 12, 389–397. [Google Scholar] [CrossRef]
- Ciarelli, M.; Goldstein, S.; Kuhn, J.; Cody, D.; Brown, M. Evaluation of orthogonal mechanical properties and density of human trabecular bone from the major metaphyseal regions with materials testing and computed tomography. J. Orthop. Res. 1991, 9, 674–682. [Google Scholar] [CrossRef] [PubMed]
- Harp, J.H.; Aronson, J.; Hollis, M. Noninvasive determination of bone stiffness for distraction osteogenesis by quantitative computed tomography scans. Clin. Orthop. Relat. Res. 1994, 301, 42–48. [Google Scholar] [CrossRef]
- Hobatho, M.-C.; Rho, J.Y.; Ashman, R.B. Bone mechanical properties in vitro. Bone Res. Biomech. 1997, 40, 157. [Google Scholar] [CrossRef]
- Lengsfeld, M.; Schmitt, J.; Alter, P.; Kaminsky, J.; Leppek, R. Comparison of geometry-based and CT voxel-based finite element modelling and experimental validation. Med. Eng. Phys. 1998, 20, 515–522. [Google Scholar] [CrossRef]
- Klinich, K.D.; Schneider, L.W. Biomechanics of Pedestrian Injuries Related to Lower Extremity Injury Assessment tools: A Review of the Literature and Analysis of Pedestrian Crash Database; University of Michigan Transportation Research Institute: Ann Arbor, MI, USA, 2003. [Google Scholar]
- Van Ratingen, M.R. The euro ncap safety rating. In Karosseriebautage Hamburg 2017; Springer: Berlin/Heidelberg, Germany, 2017; pp. 11–20. [Google Scholar] [CrossRef]
- Zioupos, P.; Currey, J. Changes in the stiffness, strength, and toughness of human cortical bone with age. Bone 1998, 22, 57–66. [Google Scholar] [CrossRef]
- Donaldson, F.; Pankaj, P.; Cooper, D.; Thomas, C.; Clement, J.; Simpson, A. Relating age and micro-architecture with apparent-level elastic constants: A micro-finite element study of female cortical bone from the anterior femoral midshaft. Proc. Inst. Mech. Eng. Part H J. Eng. Med. 2011, 225, 585–596. [Google Scholar] [CrossRef]
- Merlo, K.; Aaronson, J.; Vaidya, R.; Rezaee, T.; Chalivendra, V.; Karim, L. In Vitro-Induced High Sugar Environments Deteriorate Human Cortical Bone Elastic Modulus and Fracture Toughness. J. Orthop. Res. 2020, 38, 972–983. [Google Scholar] [CrossRef]
- Ding, M.; Dalstra, M.; Danielsen, C.C.; Kabel, J.; Hvid, I.; Linde, F. Age variations in the properties of human tibial trabecular bone. J. Bone Jt. Surg. 1997, 79, 995–1002. [Google Scholar] [CrossRef]
- Dalzell, N.; Kaptoge, S.; Morris, N.; Berthier, A.; Koller, B.; Braak, L.; Van Rietbergen, B.; Reeve, J. Bone micro-architecture and determinants of strength in the radius and tibia: Age-related changes in a population-based study of normal adults measured with high-resolution pQCT. Osteoporos. Int. 2009, 20, 1683–1694. [Google Scholar] [CrossRef] [PubMed]
- Thomas, C.D.; Mayhew, P.M.; Power, J.; Poole, K.E.; Loveridge, N.; Clement, J.G.; Burgoyne, C.J.; Reeve, J. Femoral neck trabecular bone: Loss with aging and role in preventing fracture. J. Bone Miner. Res. Off. J. Am. Soc. Bone Miner. Res. 2009, 24, 1808–1818. [Google Scholar] [CrossRef] [Green Version]
- Niebuhr, T.; Junge, M.; Rosen, E. Pedestrian injury risk and the effect of age. Accid. Anal. Prev. 2016, 86, 121–128. [Google Scholar] [CrossRef] [PubMed]
- Klein, K.F.; Hu, J.; Reed, M.P.; Hoff, C.N.; Rupp, J.D. Development and validation of statistical models of femur geometry for use with parametric finite element models. Ann. Biomed. Eng. 2015, 43, 2503–2514. [Google Scholar] [CrossRef]
- Oikawa, S.; Matsui, Y.; Doi, T.; Sakurai, T. Relation between vehicle travel velocity and pedestrian injury risk in different age groups for the design of a pedestrian detection system. Safety Sci. 2016, 82, 361–367. [Google Scholar] [CrossRef]
- Keaveny, T.M.; Hoffmann, P.F.; Singh, M.; Palermo, L.; Bilezikian, J.P.; Greenspan, S.L.; Black, D.M. Femoral bone strength and its relation to cortical and trabecular changes after treatment with PTH, alendronate, and their combination as assessed by finite element analysis of quantitative CT scans. J. Bone Miner. Res. 2008, 23, 1974–1982. [Google Scholar] [CrossRef] [Green Version]
- Keyak, J.H.; Falkinstein, Y. Comparison of in situ and in vitro CT scan-based finite element model predictions of proximal femoral fracture load. Med. Eng. Phys. 2003, 25, 781–787. [Google Scholar] [CrossRef]
- Bredbenner, T.L.; Mason, R.L.; Havill, L.M.; Orwoll, E.S.; Nicolella, D.P.; Study, O.F.i.M. Fracture risk predictions based on statistical shape and density modeling of the proximal femur. J. Bone Miner. Res. 2014, 29, 2090–2100. [Google Scholar] [CrossRef]
- Edidin, A.; Taylor, D.; Bartel, D. Automatic assignment of bone moduli from CT data: A 3-D finite element study. Trans. Orthop. Res. Soc. 1991, 16, 491. [Google Scholar]
- Marom, S.A.; Linden, M.J. Computer aided stress analysis of long bones utilizing computed tomography. J. Biomech. 1990, 23, 399–404. [Google Scholar] [CrossRef]
- Sheng, W.; Ji, A.; Chen, C. Biomechanical research of the femur finite element model combined with different material assignment methods. In Proceedings of the MATEC Web of Conferences, Sibiu, Romania, 7–9 June 2017; p. 2022. [Google Scholar] [CrossRef] [Green Version]
- Yassine, R.A.; Elham, M.K.; Mustapha, S.; Hamade, R.F. A detailed methodology for FEM analysis of long bones from CT using Mimics. In Proceedings of the ASME International Mechanical Engineering Congress and Exposition, Tampa, FL, USA, 3–9 November 2017; p. V003T004A012. [Google Scholar] [CrossRef]
- Kluess, D.; Soodmand, E.; Lorenz, A.; Pahr, D.; Schwarze, M.; Cichon, R.; Varady, P.A.; Herrmann, S.; Buchmeier, B.; Schröder, C. A round-robin finite element analysis of human femur mechanics between seven participating laboratories with experimental validation. Comput. Methods Biomech. Biomed. Eng. 2019, 22, 1020–1031. [Google Scholar] [CrossRef] [PubMed]
- Iwamoto, M.; Miki, K.; Tanaka, E. Ankle skeletal injury predictions using anisotropic inelastic constitutive model of cortical bone taking into account damage evolution. Stapp Car Crash J. 2005, 49, 133–156. [Google Scholar] [CrossRef] [PubMed]
- Untaroiu, C.D.; Yue, N.; Shin, J. A finite element model of the lower limb for simulating automotive impacts. Ann. Biomed. Eng. 2013, 41, 513–526. [Google Scholar] [CrossRef]









Publisher’s Note: MDPI stays neutral with regard to jurisdictional claims in published maps and institutional affiliations. |
© 2022 by the authors. Licensee MDPI, Basel, Switzerland. This article is an open access article distributed under the terms and conditions of the Creative Commons Attribution (CC BY) license (https://creativecommons.org/licenses/by/4.0/).
Share and Cite
Zeng, Y.; Meng, Q.; Chen, Y.; Zou, D.; Tao, L. Age-Related Study and Collision Response of Material Properties of Long Bones in Chinese Pedestrian Lower Limbs. Appl. Sci. 2022, 12, 6911. https://doi.org/10.3390/app12146911
Zeng Y, Meng Q, Chen Y, Zou D, Tao L. Age-Related Study and Collision Response of Material Properties of Long Bones in Chinese Pedestrian Lower Limbs. Applied Sciences. 2022; 12(14):6911. https://doi.org/10.3390/app12146911
Chicago/Turabian StyleZeng, Yong, Qingnan Meng, Yijiu Chen, Donghua Zou, and Luyang Tao. 2022. "Age-Related Study and Collision Response of Material Properties of Long Bones in Chinese Pedestrian Lower Limbs" Applied Sciences 12, no. 14: 6911. https://doi.org/10.3390/app12146911
APA StyleZeng, Y., Meng, Q., Chen, Y., Zou, D., & Tao, L. (2022). Age-Related Study and Collision Response of Material Properties of Long Bones in Chinese Pedestrian Lower Limbs. Applied Sciences, 12(14), 6911. https://doi.org/10.3390/app12146911

