Mathematical Estimation of the Energy, Nutritional and Health-Promoting Values of Multi-Layer Freeze-Dried Vegetable Snacks
Abstract
:1. Introduction
1.1. Characteristics and Methods of Producing Snacks Based on Fruits and Vegetables
1.2. Waste from the Food Industry in Terms of Applicability for the Production of Innovative, Nutritious Snacks
2. Materials and Methods
2.1. Research Material
2.2. Computational Methods
2.2.1. Calculating the Energy Value
2.2.2. Calculating the Nutritional Value
2.2.3. Calculating Pro-Health Value
2.2.4. Assessing the Daily Requirement
2.2.5. Coverage of the Daily Energy Requirement
2.2.6. Covering the Daily Nutrient Requirements
2.2.7. Covering the Daily Requirement for Health-Promoting Ingredients
2.2.8. Nutritional Quality Index INQ (Index Nutritional Quality)
2.2.9. Converting the Indicators into Dried Products
2.3. Statistical Methods
3. Results and Discussion
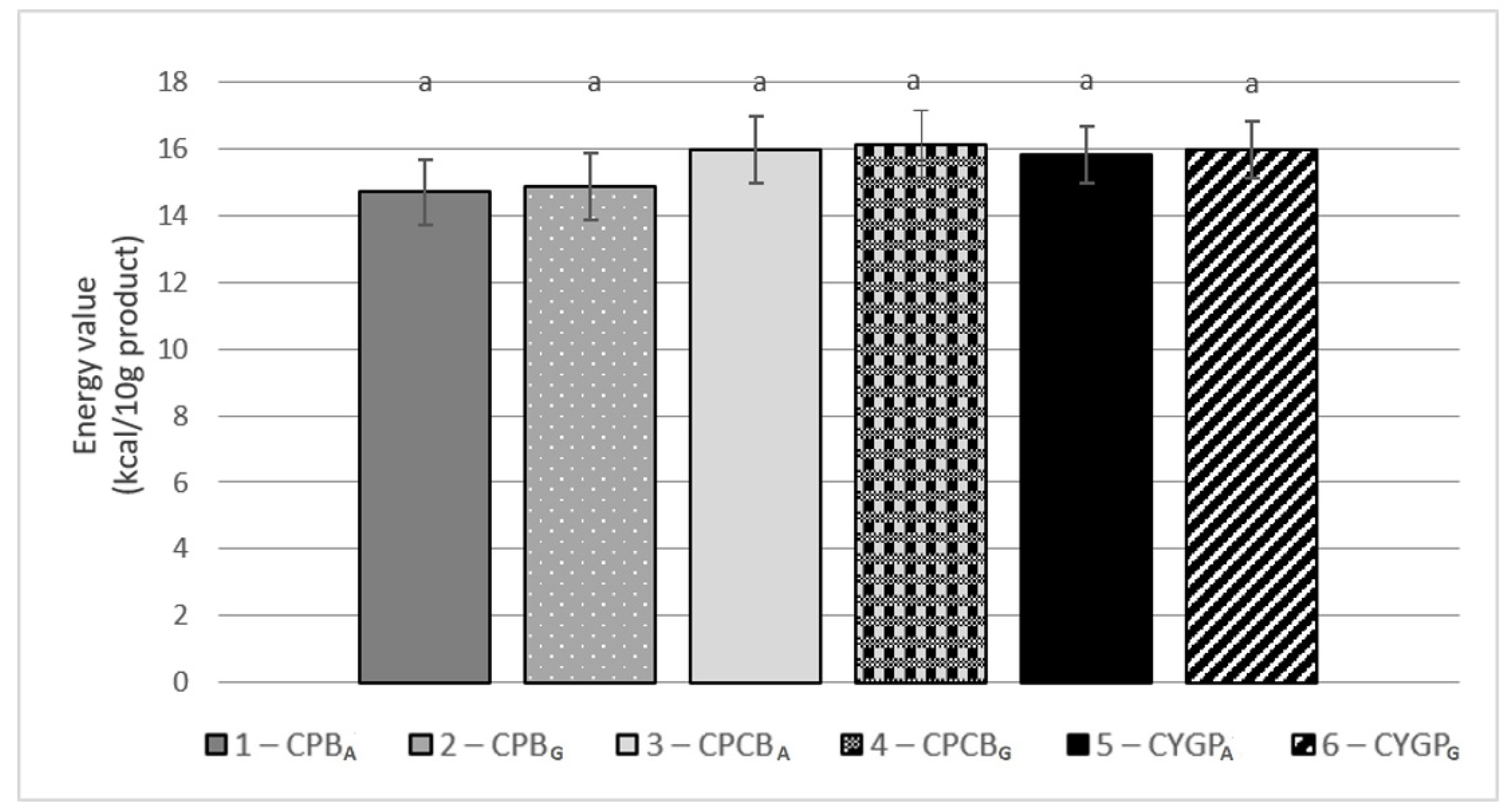
3.1. Energy Value of Freeze-Dried Vegetable-Based Products
3.2. Nutritional Value of Freeze-Dried Vegetable-Based Products
3.3. Pro-Health Value of Freeze-Dried Vegetable-Based Products
3.4. Assessment of Nutritional Quality of Freeze-Dried Vegetable-Based Products
4. Conclusions
Author Contributions
Funding
Institutional Review Board Statement
Informed Consent Statement
Data Availability Statement
Acknowledgments
Conflicts of Interest
References
- Chapelot, D. The role of snacking in energy balance: A biobehavioral approach. Nutr. J. 2011, 141, 158–162. [Google Scholar] [CrossRef] [Green Version]
- Mattes, R.; Tan, S.Y. Snacking and Energy Balance in Humans. In Nutrition in the Prevention and Treatment of Disease, 4th ed.; Coulston, A., Boushey, C., Ferruzzi, M., Delahanty, L., Eds.; Academic Press: Cambridge, MA, USA, 2017; pp. 539–568. [Google Scholar] [CrossRef]
- Ishwarya, S.P.; Anandharamakrishnan, C.; Stapley, A.G. Spray-freeze-drying: A novel process for the drying of foods and bioproducts. Trends Food Sci. Technol. 2015, 41, 161–181. [Google Scholar] [CrossRef]
- Ciurzyńska, A.; Marczak, W.; Lenart, A.; Janowicz, M. Production of innovative freeze-dried vegetable snack with hydrocolloids in terms of technological process and carbon footprint calculation. Food Hydrocoll. 2020, 108, 105993. [Google Scholar] [CrossRef]
- Lisiecka, K.; Wójtowicz, A.; Mitrus, M.; Oniszczuk, T.; Combrzyński, M. New type of potato-based snack-pellets supplemented with fresh vegetables from the Allium genus and its selected properties. LWT 2021, 145, 111233. [Google Scholar] [CrossRef]
- Hess, J.M.; Jonnalagadda, S.S.; Slavin, J.L. What is a snack, why do we snack, and how can we choose better snacks? A review of the definitions of snacking, motivations to snack, contributions to dietary intake, and recommendations for improvement. Adv. Nutr. 2016, 7, 466–475. [Google Scholar] [CrossRef] [Green Version]
- Huang, L.L.; Zhang, M. Trends in development of dried vegetable products as snacks. Dry. Technol. 2012, 30, 448–461. [Google Scholar] [CrossRef]
- Piwowar, A.; Teleszko, M.; Rychlik, M. Dried vegetables snacks-review of the process technologies and consumption preferences among students. J. Agribus. Rural Dev. 2017, 43, 191–199. [Google Scholar] [CrossRef]
- Karwacka, M.; Ciurzyńska, A.; Lenart, A.; Janowicz, M. Sustainable Development in the Agri-Food Sector in Terms of the Carbon Footprint: A Review. Sustainability 2020, 12, 6463. [Google Scholar] [CrossRef]
- Ciurzyńska, A.; Cieśluk, P.; Barwińska, M.; Marczak, W.; Ordyniak, A.; Lenart, A.; Janowicz, M. Eating habits and sustainable food production in the development of innovative “healthy” snacks (running title: Innovative and “healthy” snacks). Sustainability 2019, 11, 2800. [Google Scholar] [CrossRef] [Green Version]
- Orrego, C.E.; Salgado, N.; Botero, C.A. Developments and trends in fruit bar production and characterization. Crit. Rev. Food Sci. Nutr. 2014, 54, 84–97. [Google Scholar] [CrossRef]
- Kowalska, H.; Marzec, A.; Domian, E.; Masiarz, E.; Ciurzyńska, A.; Galus, S.; Kowalska, J. Physical and sensory properties of japanese quince chips obtained by osmotic dehydration in fruit juice concentrates and hybrid drying. Molecules 2020, 25, 5504. [Google Scholar] [CrossRef]
- Kowalska, J.; Marzec, A.; Domian, E.; Galus, S.; Ciurzyńska, A.; Lenart, A.; Kowalska, H. The use of antioxidant potential of chokeberry juice in creating pro-healthy dried apples by hybrid (convection-microwave-vacuum) method. Molecules 2020, 25, 5680. [Google Scholar] [CrossRef]
- Konopacka, D.; Płocharski, W. Dietetic fruit and vegetable chips-an attractive form of ready-to-eat dried snacks. Acta Agrophys. 2003, 2, 567–577. [Google Scholar]
- Kozak, M. Evaluation of selected texture parameters of popular snacks from fruit and vegetables. Food Process. Eng. 2015, 4, 17–20. [Google Scholar]
- Liu, Y.; Zhao, Y.; Feng, X. Exergy analysis for a freeze-drying process. Appl. Therm. Eng. 2008, 28, 675–690. [Google Scholar] [CrossRef]
- Ciurzyńska, A.; Lenart, A. Freeze-drying-application in food processing and biotechnology-a review. Polish J. Food Nutr. Sci. 2011, 61, 165–171. [Google Scholar] [CrossRef] [Green Version]
- Jadhav, T.R.; Moon, R.S. Review on lyophilization technique. World J. Pharm. Pharm. Sci. 2015, 4, 1906–1928. [Google Scholar]
- Bialik, M.; Wiktor, A.; Rybak, K.; Witrowa-Rajchert, D.; Latocha, P.; Gondek, E. The impact of vacuum and convective drying parameters on kinetics, total phenolic content, carotenoid content and antioxidant capacity of kiwiberry (Actinidia arguta). Appl. Sci. 2020, 10, 6914. [Google Scholar] [CrossRef]
- Guiné, R.P.F.; Barroca, M.J. Effect of drying treatments on texture and color of vegetables (pumpkin and green pepper). Food Bioprod. Process. 2012, 90, 58–63. [Google Scholar] [CrossRef]
- Jokić, S.; Mujić, I.; Martinov, M.; Velić, D.; Bilić, M.; Lukinac, J. Influence of drying procedure on colour and rehydration characteristic of wild asparagus. Czech J. Food Sci. 2009, 27, 171–177. [Google Scholar] [CrossRef] [Green Version]
- Samoticha, J.; Wojdyło, A.; Lech, K. The influence of different the drying methods on chemical composition and antioxidant activity in chokeberries. LWT 2016, 66, 484–489. [Google Scholar] [CrossRef]
- Sadowska, A.; Świderski, F.; Rakowska, R.; Hallmann, E. The functional properties of chokeberry and kale powders obtained by an innovative method of fluidised-bed jet milling with drying compared to freeze drying. Int. J. Food Eng. 2017, 13, 20160310. [Google Scholar] [CrossRef]
- Sadowska, A.; Świderski, F.; Rakowska, R.; Hallmann, E. Comparison of quality and microstructure of chokeberry powders prepared by different drying methods, including innovative fluidised bed jet milling and drying. Food Sci. Biotechnol. 2019, 28, 1073–1081. [Google Scholar] [CrossRef] [Green Version]
- Sadowska, K.; Andrzejewska, J.; Klóska, Ł. Influence of freezing, lyophilisation and air-drying on the total monomeric anthocyanins, vitamin C and antioxidant capacity of selected berries. Int. J. Food Eng. 2017, 52, 1246–1251. [Google Scholar] [CrossRef]
- Ciurzyńska, A.; Falacińska, J.; Kowalska, H.; Kowalska, J.; Galus, S.; Marzec, A.; Domian, E. The effect of pre-treatment (blanching, ultrasound and freezing) on quality of freeze-dried red beets. Foods 2021, 10, 132. [Google Scholar] [CrossRef]
- Yağcı, S.; Göğüş, F. Response surface methodology for evaluation of physical and functional properties of extruded snack foods developed from food-by-products. J. Food Eng. 2008, 86, 122–132. [Google Scholar] [CrossRef]
- Pęksa, A.; Kita, A.; Carbonell-Barrachina, A.A.; Miedzianka, J.; Kolniak-Ostek, J.; Tajner-Czopek, A.; Rytel, E.; Siwek, A.; Miara, D.; Drożdż, W. Sensory attributes and physicochemical features of corn snacks as affected by different flour types and extrusion conditions. LWT 2016, 72, 26–36. [Google Scholar] [CrossRef]
- Yuksel, F.; Ilyasoglu, H.; Baltaci, C. Development of a healthy corn-based snack with sage (Salvia officinalis L.) seed. Bioact. Carbohydr. Diet. Fibre. 2020, 21, 100207. [Google Scholar] [CrossRef]
- Menis-Henrique, M.E.C.; Janzantti, N.S.; Monteiro, M.; Conti-Silva, A.C. Physical and sensory characteristics of cheese-flavored expanded snacks obtained using butyric acid and cysteine as aroma precursors: Effects of extrusion temperature and sunflower oil content. LWT 2020, 122, 109001. [Google Scholar] [CrossRef]
- Gondek, E.; Gauze, J.; Jakubczyk, E.; Janczar-Smuga, M.; Nowak, D.; Stasiak, M.; Kamińska-Dwórznicak, A.; Samborska, K. The high-fibre vegetable and cereal based snacks—Analysis of selected physical and functional properties. Zesz. Probl. Postęp. Nauk Rol. 2017, 590, 15–27. [Google Scholar] [CrossRef]
- Saha, D.; Bhattacharya, S. Hydrocolloids as thickening and gelling agents in food: A critical review. J. Food Sci. Technol. 2010, 47, 587–597. [Google Scholar] [CrossRef] [PubMed] [Green Version]
- Williams, P.A.; Phillips, G.O. Handbook of Hydrocolloids, 3rd ed.; Woodhead Publishing: Duxford, UK, 2021; pp. 3–26. [Google Scholar]
- Ahmad, S.; Vashney, A.K.; Srivasta, P.K. Quality attributes of fruit bar made from papaya and tomato by incorporating hydrocolloids. Int. J. Food Prop. 2005, 8, 89–99. [Google Scholar] [CrossRef]
- Vilariño, M.V.; Franco, C.; Quarrington, C. Food loss and waste reduction as an integral part of a circular economy. Front. Environ. Sci. 2017, 5, 21. [Google Scholar] [CrossRef] [Green Version]
- Food and Agriculture Organization. Global Food Losses and Food Waste–Extent, Causes and Prevention; FAO: Rome, Italy, 2011. [Google Scholar]
- Negra, C.; Reman, R.; Attwood, S.; Jones, S.; Werneck, F.; Smith, A. Sustainable agri-food investments require multi-sector co-development of decision tools. Ecol. Indic. 2020, 110, 105851. [Google Scholar] [CrossRef]
- Secundo, G.; Ndou, V.; Del Vecchio, P.; De Pascale, G. Sustainable development, intellectual capital and technology policies: A structured literature review and future research agenda. Technol. Forecast. Soc. Chang. 2020, 153, 119917. [Google Scholar] [CrossRef]
- Coteur, I.; Marchand, F.; Debruyne, L.; Lauwers, L. Structuring the myriad of sustainability assessments in agri-food systems: A case in Flanders. J. Clean. Prod. 2019, 209, 472–480. [Google Scholar] [CrossRef]
- Miranda, J.; Ponce, P.; Molina, A.; Wright, P. Sensing, smart and sustainable technologies for Agri-Food 4.0. Comput. Ind. 2019, 108, 21–36. [Google Scholar] [CrossRef]
- Souci, S.W.; Fachmann, W.; Kraut, H. Food Composition and Nutrition Tables, 6th ed.; Medpharm GmbH Scientific Publishers: Stuttgard, Germany, 2000. [Google Scholar]
- European Commission. Regulation (EU) No 1169/2011 of the European Parliament and of the Council of 25 October 2011 on the provision of food information to consumers, amending Regulations (EC) No 1924/2006 and (EC) No 1925/2006 of the European Parliament and of the Council, and repealing Commission Directive 87/250/EEC, Council Directive 90/496/EEC, Commission Directive 1999/10/EC, Directive 2000/13/EC of the European Parliament and of the Council, Commission Directives 2002/67/EC and 2008/5/EC and Commission Regulation. EC Off. J. Eur. Union L 2011, 304, 18–63. [Google Scholar]
- Kunachowicz, H.; Przygoda, B.; Nadolna, I.; Iwanow, K. Food Compositions Tables; Wydawnictwo lekarskie PZWL: Warsaw, Poland, 2018. [Google Scholar]
- FAO. Chapter 3: Calculation of the Energy Content of Foods—Energy Conversion Factors. Food and Agriculture Organization of the United Nations. Food and Nutrition Paper. 2003. Available online: http://www.fao.org/3/Y5022E/y5022e04.htm (accessed on 22 January 2022).
- Dary, O.; Hurrel, R. Guidelines on Food Fortification with Micronutrients; World Health Organization, Food and Agricultural Organization of the United Nations: Geneva, Switzerland, 2006; pp. 1–376.
- Traka, M.H.; Mithen, R.F. Plant science and human nutrition: Challenges in assessing health-promoting properties of phytochemicals. Plant Cell 2011, 23, 2483–2497. [Google Scholar] [CrossRef] [Green Version]
- Bohrer, B.M. Nutrient density and nutritional value of meat products and non-meat foods high in protein. Trends Food Sci. Technol. 2017, 65, 103–112. [Google Scholar] [CrossRef]
- Frupp.pl. Available online: http://www.frupp.pl/#Strona%20g%C5%82%C3%B3wna/3 (accessed on 22 January 2022).
- Candypandas.pl. Available online: http://www.candypandas.pl/2017/02/warzywne-batony-farmer-pomidor-szpinak.html%20access%20in%2018.06.2020 (accessed on 18 January 2022).
- Foodsbyann.com. Available online: https://foodsbyann.com/product-pol-130-Pocket-Energy-Bar-Truskawka-Burak.html%20access%20in%2018.06.2020 (accessed on 18 January 2022).
- Drewnowski, A.; Kurth, C.; Holden-Wiltse, J.; Saari, J. Food preferences in human obesity: Carbohydrates versus fats. Appetite 1992, 18, 207–221. [Google Scholar] [CrossRef] [Green Version]
- Burke, L.M.; Kiens, B.; Ivy, J.L. Carbohydrates and fat for training and recovery. J. Sports Sci. 2004, 22, 15–30. [Google Scholar] [CrossRef] [PubMed] [Green Version]
- Mudambi, S.R.; Rao, S.M.; Rajagopal, M.V. Food Science; New Age International: New Delhi, India, 2015; Available online: https://fdocuments.in/document/food-science-55844bb78263e.html (accessed on 30 October 2014).
- Olivera, D.F.; Vina, S.Z.; Marani, C.M.; Ferreyra, R.M.; Mugridge, A.; Chaves, A.R.; Mascheroni, R.H. Effect of blanching on the quality of Brussels sprouts (Brassica oleracea L. gemmifera DC) after frozen storage. J. Food Eng. 2008, 84, 148–155. [Google Scholar] [CrossRef]
- Jaworska, G.; Bernaś, E.; Biernacka, A.; Maciejaszek, I. Comparison of the texture of fresh and preserved Agaricus bisporus and Boletus edulis mushrooms. International J. Food Sci. Technol. 2010, 45, 1659–1665. [Google Scholar] [CrossRef]
- Hoffer, L.J. Human protein and amino acid requirements. J. Parenter. Enter. Nutr. 2016, 40, 460–474. [Google Scholar] [CrossRef]
- Pyryt, B.; Rybicka, J. Quality assessment of selected potato crisps available for retail sale. Zesz. Nauk. Akad. Mor. W Gdyni 2017, 99, 141–148. Available online: http://yadda.icm.edu.pl/yadda/element/bwmeta1.element.baztech-ae730cdc-29fc-4d1b-9aaa-54c905768992 (accessed on 30 June 2017).
- Rababah, T.; Brewer, S.; Yang, W.; Al-Mahasneh, M.; Aludatt, M.H.; Rababa, S.; Ereifej, K. Physicochemical properties of fortified corn chips with broad bean flour, chickpea flour or isolated soy protein. J. Food Qual. 2012, 35, 200–206. [Google Scholar] [CrossRef]
- Lobato, L.P.; Pereira, A.E.I.C.; Lazaretti, M.M.; Barbosa De´ Cio, S.; Carreira, C.M.; Mandarino, J.M.G.; Grossmann, M.V.E. Snack bars with high soy protein and isoflavone content for use in diets to control dyslipidaemia. Int. J. Food Sci. Nutr. 2011, 63, 49–58. [Google Scholar] [CrossRef]
- Holesh, J.E.; Aslam, S.; Martin, A. Physiology, Carbohydrates; StatPearls Publishing: Treasure Island, CA, USA, 2020; Available online: https://www.statpearls.com/ArticleLibrary/viewarticle/1884 (accessed on 10 May 2021).
- Lays.pl. Available online: https://lays.pl/produkty/pzp. (accessed on 1 January 2022).
- Lattimer, J.M.; Haub, M.D. Effects of dietary fiber and its components on metabolic health. Nutrients 2010, 2, 1266–1289. [Google Scholar] [CrossRef] [Green Version]
- Komolka, P.; Górecka, D.; Dziedzic, K. The effect of thermal processing of cruciferous vegetables on their content of dietary fiber and its fractions. Acta Sci. Pol. Technol. Aliment. 2012, 11, 347–354. [Google Scholar]
- Drozdowska, M.; Leszczyńska, T.; Koronowicz, A.; Piasna-Słupecka, E.; Domagała, D.; Kusznierewicz, B. Young shoots of red cabbage are a better source of selected nutrients and glucosinolates in comparison to the vegetable at full maturity. Eur. Food Res. Technol. 2020, 246, 2505–2515. [Google Scholar] [CrossRef]
- Jarmakiewicz-Czaja, S.; Piątek, D.; Filip, R. The influence of nutrients on inflammatory bowel diseases. J. Nutr. Metab. 2020, 2020, 2894169. [Google Scholar] [CrossRef] [PubMed] [Green Version]
- Livingonmyown.pl. Available online: http://livingonmyown.pl/2019/07/31/freeyu-vital-weganski-baton-owocowy-marchew/ (accessed on 18 January 2022).
- Sikora, E. Nutritional value of selected “musli bars”. Zywn. Nauka Technol. Jakosc 2000, 7, 113–119. (In Polish) [Google Scholar]
- Kovacev, K.; Hughes, B.; Smith, S.J. Polyphenol stability and physical characteristics of sweetened dried cranberries. Foods 2020, 9, 551. [Google Scholar] [CrossRef] [PubMed]
- Crispynatural.pl. Available online: https://sklep.crispynatural.pl/chipsy-warzywne (accessed on 18 January 2022).
- Janda, K.; Kasprzak, M.; Wolska, J. Vitamin C–structure, properties, occurrence and functions. Pomeranian J. Life Sci. 2015, 61, 419–425. [Google Scholar] [CrossRef]
- Dominguez-Perles, R.; Mena, P.; Garc´ Ia-Viguera, C.; Moreno, D.A. Brassica foods as a dietary source of vitamin c: A review. Crit. Rev. Food Sci. Nutr. 2014, 54, 1076–1091. [Google Scholar] [CrossRef]
- Martin, A.; Cherubini, A.; Andres-Lacueva, C.; Paniagua, M.; Joseph, J. Effects of fruits and vegetables on levels of vitamins E and C in the brain and their association with cognitive performance. J. Nutr. Health Aging 2002, 6, 392–404. [Google Scholar] [PubMed]
- Pająk, P.; Socha, R.; Broniek, J.; Królikowska, K.; Fortuna, T. Antioxidant properties, phenolic and mineral composition of germinated chia, golden flax, evening primrose, phacelia and fenugreek. Food Chem. 2019, 275, 69–76. [Google Scholar] [CrossRef]
- Sikorska-Zimny, K. Wybrane glukozynolany i ich pochodne: źródła, właściwości oraz działanie na organizm człowieka. Bromat. Chem. Toksykol. 2016, 46, 96–105. (In Polish). Available online: http://docplayer.pl/22205082-Bromatologia-i-chemia-toksykologiczna.html (accessed on 5 May 2022).
- Soetan, K.O.; Olaiya, C.O.; Oyewole, O.E. The importance of mineral elements for humans, domestic animals and plants-A review. Afr. J. Food Sci. 2010, 4, 200–222. [Google Scholar] [CrossRef]
- Sancho, L.E.G.G.; Yahia, E.M.; González-Aguilar, G.A. Identification and quantification of phenols, carotenoids, and vitamin C from papaya (Carica papaya L., cv. Maradol) fruit determined by HPLC-DAD-MS/MS-ESI. Food Res. Int. 2011, 44, 1284–1291. [Google Scholar] [CrossRef]
- Bogacz-Radomska, L.; Harasym, J. Vegetables as a source of carotenoids. Eng. Sci. Technol. 2016, 4, 1–14. [Google Scholar] [CrossRef]
- Aksenova, O.I.; Alekseev, G.V.; Krivopustov, V.V.; Yakovlev, P.S.; Lobacheva, N.N.; Derkanosova, A.A. From traditional recipes to biologically complete food products: Review on snacks extrusion. Russ. J. Agric. Soc. 2017, 72, 349–353. [Google Scholar] [CrossRef]
- Carrefour.pl. Available online: https://www.carrefour.pl/owoce-warzywa-ziola/gotowe-do-spozycia/chipsy-owocowe-i-warzywne/crispy-natural-suszone-chipsy-z-buraka-o-smaku-winegret-18-g (accessed on 20 January 2022).



| Material | Layer | Composition (%) | Material | Layer | Composition (%) | ||
|---|---|---|---|---|---|---|---|
| 1—CPBA | I | Water Carrot Sodium alginate Salt Calcium lactate | 58.4 39.6 1.5 0.4 0.1 | 2—CPBG | I | Water Carrot Carob gum Xanthan gum Salt | 58.4 39.6 1.0 1.0 0.4 |
| II | Water Potato Cauliflower Sodium alginate Salt Calcium lactate | 58.4 20.0 19.8 1.5 0.2 0.1 | II | Water Potato Cauliflower Carob gum Xanthan gum Salt | 58.4 20.0 19.8 1.0 1.0 0.2 | ||
| III | Water Broccoli Green bell pepper Green string bean Chive Sodium alginate Salt Calcium lactate | 58.4 18.0 15.0 4.6 2.0 1.5 0.4 0.1 | III | Water Broccoli Green bell pepper Green string bean Chive Carob gum Xanthan gum Salt | 58.4 18.0 15.0 4.6 2.0 1.0 1.0 0.4 | ||
| 3—CPCBA | I | Water Corn Potato Sodium alginate Salt Calcium lactate | 58.4 29.6 10.0 1.5 0.4 0.1 | 4—CPCBG | I | Water Corn Potato Carob gum Xanthan gum Salt | 58.4 29.6 10.0 1.0 1.0 0.4 |
| II | Water Potato Cauliflower Leaf dill Sodium alginate Salt Calcium lactate | 58.4 20.0 18.8 1.5 1.0 0.2 0.1 | II | Water Potato Cauliflower Leaf dill Carob gum Xanthan gum Salt | 58.4 20.0 18.8 1.5 1.0 1.0 0.2 | ||
| III | Water Broccoli Green bell pepper Basil leaves Sodium alginate Salt Calcium lactate | 58.4 25.0 13.6 1.5 1.0 0.4 0.1 | III | Water Broccoli Green bell pepper Basil leaves Carob gum Xanthan gum Salt | 58.4 25.0 13.6 1.5 1.0 1.0 0.4 | ||
| 5—CYGPA | I | Water Corn Yellow string bean Sodium alginate Salt Calcium lactate | 58.4 27.6 12.0 1.5 0.4 0.1 | 6—CYGPG | I | Water Corn Yellow string bean Carob gum Xanthan gum Salt | 58.4 27.6 12.0 1.0 1.0 0.4 |
| II | Water Green bell pepper Chive Leaf dill Sodium alginate Salt Calcium lactate | 58.4 20.0 19.6 8.0 1.5 0.4 0.1 | II | Water Green bell pepper Chive Leaf dill Carob gum Xanthan gum Salt | 58.4 20.0 19.6 8.0 1.0 1.0 0.4 | ||
| III | Water Potato Cauliflower Sodium alginate Salt Calcium lactate | 58.4 20.0 19.6 1.5 0.4 0.1 | III | Water Potato Cauliflower Carob gum Xanthan gum Salt | 58.4 20.0 19.6 1.0 1.0 0.4 | ||
| Material | Layer | Vit. C | Vit. E | Vit. A | Niacin | Foils | β-Carotene |
|---|---|---|---|---|---|---|---|
| (mg/10 g Product) | |||||||
| 1—CPBA 2—CPBG | I | 0.671 ± 0.215 | 0.076 ± 0.047 | 0.094 ± 0.005 | 0.112 ± 0.040 | 0.002 ± 0.001 | 0.940 ± 0.222 |
| II | 4.658 ± 0.667 | 0.007 ± 0.000 | 0.000 ± 0.000 | 0.077 ± 0.007 | 0.005 ± 0.001 | 0.000 ± 0.000 | |
| III | 10.677 ± 5.943 | 0.245 ± 0.085 | 0.023 ± 0.006 | 0.180 ± 0.048 | 0.011 ± 0.002 | 0.258 ± 0.046 | |
| Overall | 16.006 ± 6.825 a | 0.328 ± 0.132 a | 0.117 ± 0.011 b | 0.369 ± 0.095 a | 0.018 ± 0.004 a | 1.198± 0.268 b | |
| 3—CPCBA 4—CPCBG | I | 0.597 ± 0.073 | 0.003 ± 0.000 | 0.000 ± 0.000 | 0.087 ± 0.005 | 0.002 ± 0.000 | 0.000 ± 0.000 |
| II | 4.645 ± 0.656 | 0.010 ± 0.001 | 0.001 ± 0.000 | 0.079 ± 0.008 | 0.005 ± 0.001 | 0.014 ± 0.001 | |
| III | 10.001 ± 5.584 | 0.284 ± 0.014 | 0.025 ± 0.008 | 0.201 ± 0.058 | 0.012 ± 0.003 | 0.288 ± 0.059 | |
| Overall | 15.243 ± 6.313 a | 0.297 ± 0.014 a | 0.026 ± 0.008 a | 0.367 ± 0.070 a | 0.020 ± 0.004 a | 0.301 ± 0.060 a | |
| 5—CYGPA 6—CYGPG | I | 0.934 ± 0.147 | 0.021 ± 0.002 | 0.000 ± 0.000 | 0.096 ± 0.005 | 0.003 ± 0.000 | 0.000 ± 0.000 |
| II | 15.184 ± 7.901 | 0.175 ± 0.014 | 0.029 ± 0.003 | 0.145 ± 0.036 | 0.010 ± 0.003 | 0.358 ± 0.057 | |
| III | 4.618 ± 0.661 | 0.007 ± 0.000 | 0.000 ± 0.000 | 0.076 ± 0.007 | 0.005 ± 0.001 | 0.000 ± 0.000 | |
| Overall | 20.736 ± 8.708 a | 0.202 ± 0.017 a | 0.029 ± 0.003 a | 0.317 ± 0.047 a | 0.018 ± 0.004 a | 0.358 ± 0.057 a | |
| Material | Layer | Iron | Calcium | Potassium | Magnesium |
|---|---|---|---|---|---|
| (mg/10g Product) | |||||
| 1—CPBA 2—CPBG | I | 0.034 ± 0.003 | 3.733 ± 0.374 | 36.156 ± 3.220 | 1.356 ± 0.130 |
| II | 0.061 ± 0.007 | 2.223 ± 0.276 | 38.602 ± 3.306 | 1.990 ± 0.150 | |
| III | 0.232 ± 0.073 | 10.576 ± 2.823 | 35.253 ± 8.138 | 3.289 ± 0.839 | |
| Overall | 0.328 ± 0.083 a | 16.533 ± 3.474 a | 110.012 ± 14.664 a | 6.635 ± 1.118 a | |
| 3—CPCBA 4—CPCBG | I | 0.034 ± 0.004 | 0.280 ± 0.105 | 17.939 ± 1.367 | 1.893 ± 0.203 |
| II | 0.070 ± 0.013 | 2.749 ± 0.532 | 38.997 ± 3.367 | 2.038 ± 0.172 | |
| III | 0.284 ± 0.096 | 13.478 ± 3.641 | 36.113 ± 10.493 | 3.501 ± 1.083 | |
| Overall | 0.389 ± 0.112 a | 16.507 ± 4.277 a | 93.048± 15.227 a | 7.431 ± 1.459 a | |
| 5—CYGPA 6—CYGPG | I | 0.063 ± 0.009 | 1.605 ± 0.205 | 18.959 ± 1.429 | 2.450 ± 0.247 |
| II | 0.194 ± 0.068 | 9.515 ± 4.143 | 43.916 ± 7.564 | 3.707 ± 0.996 | |
| III | 0.061 ± 0.007 | 2.206 ± 0.275 | 38.351 ± 3.283 | 1.978 ± 0.149 | |
| Overall | 0.317 ± 0.084 a | 13.327 ± 4.623 a | 101.227 ± 12.276 a | 8.134 ± 1.392 a | |
| Material | Gender | Coverage of the Daily Requirement (%) | |||
|---|---|---|---|---|---|
| Protein | Fat | Carbohydrates | Energy | ||
| 1—CPBA | Woman | 1.48 ± 0.23 B | 0.19 ± 0.04b | 2.70 ± 0.33 1 | 0.64 ± 0.09 A,B |
| Man | 1.26 ± 0.20 C | 0.15 ± 0.03c | 2.70 ± 0.33 1 | 0.49 ± 0.07 C | |
| 2—CPBG | Woman | 1.48 ± 0.23 B | 0.19 ± 0.04 b | 2.74 ± 0.33 1 | 0.65 ± 0.09 B |
| Man | 1.60 ± 0.20 A,B | 0.15 ± 0.03 c | 2.74 ± 0.33 1 | 0.50 ± 0.07 C | |
| 3—CPCBA | Woman | 1.72 ± 0.31 A | 0.24 ± 0.05 a | 2.83 ± 0.26 1 | 0.70 ± 0.08 A |
| Man | 1.47 ± 0.27 B | 0.19 ± 0.04 b | 2.83 ± 0.26 1 | 0.53 ± 0.06 C | |
| 4—CPCBG | Woman | 1.72 ± 0.31 A | 0.24 ± 0.05 a | 2.87 ± 0.26 1 | 0.70 ± 0.08 A |
| Man | 1.47 ± 0.27 B | 0.19 ± 0.04 b | 2.87 ± 0.26 1 | 0.54 ± 0.06 C | |
| 5—CYGPA | Woman | 1.48 ± 0.23 B | 0.24 ± 0.06 a | 2.91 ± 0.24 1 | 0.69 ± 0.07 A |
| Man | 1.27 ± 0.20 C | 0.18 ± 0.04 b | 2.91 ± 0.24 1 | 0.53 ± 0.06 C | |
| 6—CYGPG | Woman | 1.48 ± 0.23 B | 0.24 ± 0.06 a | 2.95 ± 0.24 1 | 0.69 ± 0.07 A |
| Man | 1.27 ± 0.20 C | 0.18 ± 0.04 b | 2.95 ± 0.24 1 | 0.53 ± 0.06 C | |
| Material | Gender | Coverage of the Daily Requirement (%) | ||||
|---|---|---|---|---|---|---|
| Vit. C | Vit. E | Vit. A | Niacin | Foils | ||
| 1—CPBA | Woman | 21.34 ± 9.10 A | 4.10 ± 1.65 a | 16.76 ± 1.59 1 | 2.64 ± 0.68 A | 4.60 ± 1.01 a,b |
| Man | 17.78 ± 7.58 A,B | 3.28 ± 1.32 b,c | 13.03 ± 1.24 2 | 2.31 ± 0.59 A,B | 4.60 ± 1.01 a,b | |
| 2—CPBG | Woman | 21.34 ± 9.10 A | 4.10 ± 1.65 a | 16.76 ± 1.59 1 | 2.64 ± 0.68 A | 4.60 ± 1.01 a,b |
| Man | 17.78 ± 7.58 A,B | 3.28 ± 1.32 b,c | 13.03 ± 1.24 2 | 2.31 ± 0.59 A,B | 4.60 ± 1.01 a,b | |
| 3—CPCBA | Woman | 20.32 ± 8.42 A | 3.71 ± 1.43 a,b | 3.74 ± 1.17 2 | 2.62 ± 0.50 A | 4.93 ± 1.06 a |
| Man | 16.94 ± 7.01 A,B | 2.97 ± 1.14 b,c | 2.91 ± 0.91 3,4 | 2.29 ± 0.44 A,B | 4.93 ± 1.06 a | |
| 4—CPCBG | Woman | 20.32 ± 8.42 A | 3.71 ± 1.43 a,b | 3.74 ± 1.17 2 | 2.62 ± 0.50 A | 4.93 ± 1.06 a |
| Man | 16.94 ± 7.01 A,B | 2.97 ± 1.14 b,c | 2.91 ± 0.91 3,4 | 2.29 ± 0.44 A,B | 4.93 ± 1.06 a | |
| 5—CYGPA | Woman | 27.65 ± 11.61 A | 2.53 ± 0.21 c,d | 4.21 ± 0.44 2 | 2.26 ± 0.34 A,B | 4.60 ± 0.98 a,b |
| Man | 23.04 ± 9.68 A | 2.02 ± 0.17 d | 3.27 ± 0.34 2,3 | 1.98 ± 0.29 B,C | 4.60 ± 0.98 a,b | |
| 6—CYGPG | Woman | 27.65 ± 11.61 A | 2.53 ± 0.21 c,d | 4.21 ± 0.44 2 | 2.26 ± 0.34 A,B | 4.60 ± 0.98 a,b |
| Man | 23.04 ± 9.68 A | 2.02 ± 0.17 d | 3.27 ± 0.34 2,3 | 1.98 ± 0.29 B,C | 4.60 ± 0.98 a,b | |
| Material | Gender | Nutritional Quality Index (INQ) | ||
|---|---|---|---|---|
| Protein | Fat | Carbohydrates | ||
| 1—CPBA | Woman | 1.48 ± 0.23 B | 0.19 ± 0.04 b | 2.70 ± 0.33 1 |
| Man | 1.26 ± 0.20 C | 0.15 ± 0.03 c | 2.70 ± 0.33 1 | |
| 2—CPBG | Woman | 1.48 ± 0.23 B | 0.19 ± 0.04 b | 2.74 ± 0.33 1 |
| Man | 1.60 ± 0.20 A,B | 0.15 ± 0.03 c | 2.74 ± 0.33 1 | |
| 3—CPCBA | Woman | 1.72 ± 0.31 A | 0.24 ± 0.05 a | 2.83 ± 0.26 1 |
| Man | 1.47 ± 0.27 B | 0.19 ± 0.04 b | 2.83 ± 0.26 1 | |
| 4—CPCBG | Woman | 1.72 ± 0.31 A | 0.24 ± 0.05 a | 2.87 ± 0.26 1 |
| Man | 1.47 ± 0.27 B | 0.19 ± 0.04 b | 2.87 ± 0.26 1 | |
| 5—CYGPA | Woman | 1.48 ± 0.23 B | 0.24 ± 0.06 a | 2.91 ± 0.24 1 |
| Man | 1.27 ± 0.20 C | 0.18 ± 0.04 b | 2.91 ± 0.24 1 | |
| 6—CYGPG | Woman | 1.48 ± 0.23 B | 0.24 ± 0.06 a | 2.95 ± 0.24 1 |
| Man | 1.27 ± 0.20 C | 0.18 ± 0.04 b | 2.95 ± 0.24 1 | |
Publisher’s Note: MDPI stays neutral with regard to jurisdictional claims in published maps and institutional affiliations. |
© 2022 by the authors. Licensee MDPI, Basel, Switzerland. This article is an open access article distributed under the terms and conditions of the Creative Commons Attribution (CC BY) license (https://creativecommons.org/licenses/by/4.0/).
Share and Cite
Janowicz, M.; Ciurzyńska, A.; Karwacka, M.; Kowalska, J.; Galus, S. Mathematical Estimation of the Energy, Nutritional and Health-Promoting Values of Multi-Layer Freeze-Dried Vegetable Snacks. Appl. Sci. 2022, 12, 6379. https://doi.org/10.3390/app12136379
Janowicz M, Ciurzyńska A, Karwacka M, Kowalska J, Galus S. Mathematical Estimation of the Energy, Nutritional and Health-Promoting Values of Multi-Layer Freeze-Dried Vegetable Snacks. Applied Sciences. 2022; 12(13):6379. https://doi.org/10.3390/app12136379
Chicago/Turabian StyleJanowicz, Monika, Agnieszka Ciurzyńska, Magdalena Karwacka, Jolanta Kowalska, and Sabina Galus. 2022. "Mathematical Estimation of the Energy, Nutritional and Health-Promoting Values of Multi-Layer Freeze-Dried Vegetable Snacks" Applied Sciences 12, no. 13: 6379. https://doi.org/10.3390/app12136379
APA StyleJanowicz, M., Ciurzyńska, A., Karwacka, M., Kowalska, J., & Galus, S. (2022). Mathematical Estimation of the Energy, Nutritional and Health-Promoting Values of Multi-Layer Freeze-Dried Vegetable Snacks. Applied Sciences, 12(13), 6379. https://doi.org/10.3390/app12136379

