Experimental Study of the Usage of Combined Biopolymer and Plants in Reinforcing the Clayey Soil Exposed to Acidic and Alkaline Contaminations
Abstract
:1. Introduction
2. Materials and Methods
2.1. Clayey Soil
2.2. Acidic and Alkaline Solutions
2.3. Biopolymer
2.4. Plant
2.5. Experimental Scheme and Sample Preparation
2.5.1. Atterberg Limits Test
2.5.2. Plant Cultivation Test
2.5.3. Direct Shear Test
2.5.4. Scanning Electron Microscope (SEM) Analysis
3. Results and Discussion
3.1. Acid- and Alkali-Contaminated Soils
3.1.1. Atterberg Limits
3.1.2. Direct Shear Test
3.2. Acid- and Alkali-Contaminated Soils Treated with XG–oat Combination
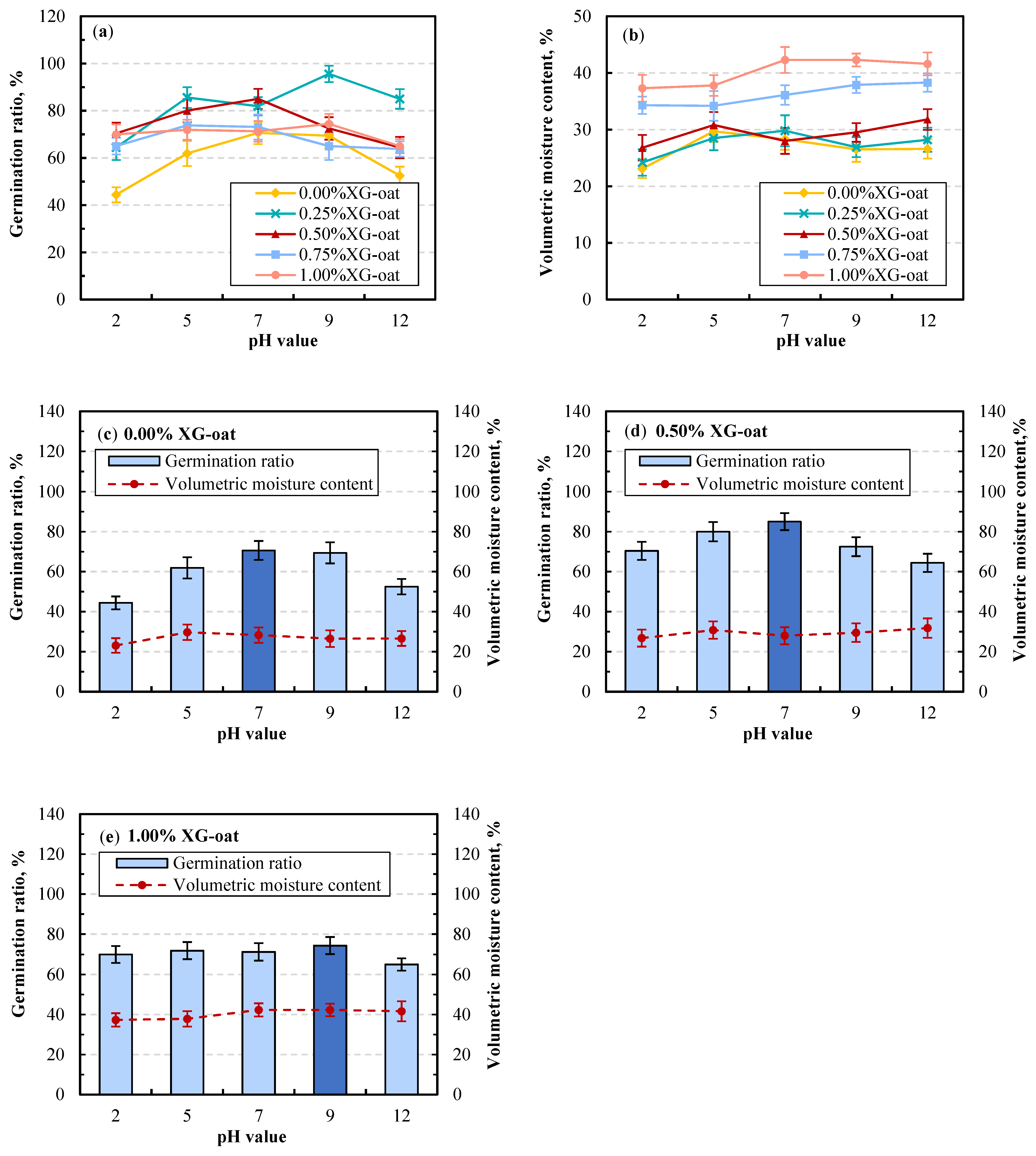
3.2.1. Moisture Content and Germination Ratio
3.2.2. Direct Shear Test
3.2.3. Heavy Metal Element Analysis
3.3. Discussion
- The shear strength of the vegetated soil was positively related to the seed gemination ratio (Figure 16). Both 0.25% XG and 0.50% XG that mostly promoted the plant growth, also led to the higher soil shear strength (Figure 16). In addition, a higher XG content (i.e., 0.50% XG) was demanded in the acid-contaminated soil, while a lower XG content (i.e., 0.25% XG) was demanded in the alkali-contaminated soil (Figure 14 and Figure 16).
- Apart from enhancing soil strength, the XG–oat combination reduced the types and contents of heavy metal elements in the soil as well (Figure 17).
4. Conclusions
Author Contributions
Funding
Institutional Review Board Statement
Informed Consent Statement
Data Availability Statement
Acknowledgments
Conflicts of Interest
References
- Vydehi, K.V.; Moghal, A.A.B. Effect of biopolymeric stabilization on the strength and compressibility characteristics of cohesive soil. J Mater. Civil Eng. 2022, 34, 04021428. [Google Scholar] [CrossRef]
- Ni, J.; Li, S.S.; Geng, X.Y. Mechanical and biodeterioration behaviours of a clayey soil strengthened with combined carrageenan and casein. Acta Geotech. 2022. [Google Scholar] [CrossRef]
- Chang, I.; Im, J.; Cho, G.C. Introduction of microbial biopolymers in soil treatment for future environmentally-friendly and sustainable geotechnical engineering. Sustainability 2016, 8, 251. [Google Scholar] [CrossRef] [Green Version]
- Lentz, R.D. Polyacrylamide and biopolymer effects on flocculation, aggregate stability, and water seepage in a silt loam. Geoderma 2015, 241, 289–294. [Google Scholar] [CrossRef]
- Cabalar, A.F.; Awraheem, M.H.; Khalaf, M.M. Geotechnical properties of a low-plasticity clay with biopolymer. J Mater Civil Eng. 2018, 30, 04018170. [Google Scholar] [CrossRef]
- Mitchell, J.K.; Santamarina, J.C. Biological considerations in geotechnical engineering. J. Geotech. Geoenviron. Eng. 2005, 131, 1222–1233. [Google Scholar] [CrossRef] [Green Version]
- Chang, I.; Lee, M.; Tran, A.T.P.; Lee, S.; Kwon, Y.M.; Im, J.; Cho, G.C. Review on biopolymer-based soil treatment (BPST) technology in geotechnical engineering practices. Transp. Geotech. 2020, 24, 22. [Google Scholar] [CrossRef]
- Chang, I.; Cho, G.C. Shear strength behavior and parameters of microbial gellan gum-treated soils: From sand to clay. Acta Geotech. 2019, 14, 361–375. [Google Scholar] [CrossRef]
- Khatami, H.R.; O’Kelly, B.C. Improving Mechanical Properties of Sand Using Biopolymers. J. Geotech. Geoenviron. 2013, 139, 1402–1406. [Google Scholar] [CrossRef] [Green Version]
- Fatehi, H.; Abtahi, S.M.; Hashemolhosseini, H.; Hejazi, S.M. A novel study on using protein based biopolymers in soil strengthening. Constr. Build. Mater. 2018, 167, 813–821. [Google Scholar] [CrossRef]
- Chen, C.; Wu, L.; Perdjon, M.; Huang, X.; Peng, Y. The drying effect on xanthan gum biopolymer treated sandy soil shear strength. Constr. Build. Mater. 2019, 197, 271–279. [Google Scholar] [CrossRef] [Green Version]
- Ni, J.; Hao, G.; Chen, J.; Ma, L.; Geng, X. The Optimisation Analysis of Sand-Clay Mixtures Stabilised with Xanthan Gum Biopolymers. Sustainability 2021, 13, 3732. [Google Scholar] [CrossRef]
- Roering, J.J.; Schmidt, K.M.; Stock, J.D.; Dietrich, W.E.; Montgomery, D.R. Shallow landsliding, root reinforcement, and the spatial distribution of trees in the Oregon Coast Range. Can. Geotech. J. 2003, 40, 237–253. [Google Scholar] [CrossRef] [Green Version]
- Stokes, A.; Atger, C.; Bengough, A.G.; Fourcaud, T.; Sidle, R.C. Desirable plant root traits for protecting natural and engineered slopes against landslides. Plant Soil 2009, 324, 1–30. [Google Scholar] [CrossRef]
- Albalasmeh, A.A.; Ghezzehei, T.A. Interplay between soil drying and root exudation in rhizosheath development. Plant Soil 2014, 374, 739–751. [Google Scholar] [CrossRef]
- Vezzani, F.M.; Anderson, C.; Meenken, E.; Gillespie, R.; Peterson, M.; Beare, M.H. The importance of plants to development and maintenance of soil structure, microbial communities and ecosystem functions. Soil Tillage Res. 2018, 175, 139–149. [Google Scholar] [CrossRef]
- Świtała, B.M.; Askarinejad, A.; Wu, W.; Springman, S.M. Experimental validation of a coupled hydro-mechanical model for vegetated soil. Géotechnique 2018, 68, 375–385. [Google Scholar] [CrossRef]
- Leung, A.K.; Garg, A.; Ng, C.W.W. Effects of plant roots on soil–water retention and induced suction in vegetated soil. Eng. Geol. 2015, 193, 183–197. [Google Scholar] [CrossRef] [Green Version]
- Ng, C.W.W.; Ni, J.J.; Leung, A.K.; Zhou, C.; Wang, Z.J. Effects of planting density on tree growth and induced soil suction. Géotechnique 2016, 66, 1–14. [Google Scholar] [CrossRef] [Green Version]
- Ni, J.J.; Leung, A.K.; Ng, C.W.W. Unsaturated hydraulic properties of vegetated soil under single and mixed planting conditions. Géotechnique 2019, 69, 554–559. [Google Scholar] [CrossRef]
- Jackson, R.B.; Banner, J.L.; Jobbágy, E.G.; Pockman, W.T.; Wall, D.H. Ecosystem Carbon Loss with Woody Plant Invasion of Grasslands. Nature 2002, 418, 623–625. [Google Scholar] [CrossRef] [PubMed]
- Cao, S. Why large-scale afforestation efforts in China have failed to solve the desertification problem. Environ. Sci. Technol. 2008, 42, 1826–1831. [Google Scholar] [CrossRef] [PubMed] [Green Version]
- Chang, I.; Prasidhi, A.K.; Im, J.; Shin, H.D.; Cho, G.C. Soil treatment using microbial biopolymers for anti-desertification purposes. Geoderma 2015, 253–254, 39–47. [Google Scholar] [CrossRef]
- Tran, A.T.P.; Chang, I.; Cho, G.C. Soil water retention and vegetation survivability improvement using microbial biopolymers in drylands. Geomech. Eng. 2019, 17, 475–483. [Google Scholar] [CrossRef]
- Ni, J.; Wang, Z.; Geng, X. Experimental study on combined plant-biopolymer method for soil stabilization. Chin. J. Geotech. Eng. 2020, 42, 2131–2137. (In Chinese) [Google Scholar] [CrossRef]
- Abedi Koupai, J.A.; Fatahizadeh, M.; Mosaddeghi, M.R. Effect of pore water pH on mechanical properties of clay soil. B Eng. Geol. Environ. 2020, 79, 1461–1469. [Google Scholar] [CrossRef]
- Bakhshipour, Z.; Asadi, A.; Huat, B.B.K.; Sridharan, A.; Kawasaki, S. Effect of acid rain on geotechnical properties of residual soils. Soils Found. 2016, 56, 1008–1020. [Google Scholar] [CrossRef]
- Gajo, A.; Maines, M. Mechanical effects of aqueous solutions of inorganic acids and bases on a natural active clay. Géotechnique 2007, 57, 687–699. [Google Scholar] [CrossRef]
- Bakhshipour, Z.; Asadi, A.; Sridharan, A.; Huat, B.B. Acid rain intrusion effects on the compressibility behaviour of residual soils. Environ. Geotech. 2017, 6, 460–470. [Google Scholar] [CrossRef]
- Chavali, R.V.P.; Reddy, H.P. Volume change behavior of phosphogypsum treated clayey soils contaminated with inorganic acids—A micro level study. J. Environ. Eng. Landsc. 2018, 26, 8–18. [Google Scholar] [CrossRef] [Green Version]
- Hassanlourad, M.; Khatami, M.H.; Ahmadi, M.M. Effects of sulphuric acid pollutant on the shear behaviour and strength of sandy soil and sand mixed with bentonite clay. Int. J. Geomech. 2017, 11, 114–119. [Google Scholar] [CrossRef]
- Gratchev, I.; Towhata, I. Stress–strain characteristics of two natural soils subjected to long-term acidic contamination. Soils Found. 2013, 53, 469–476. [Google Scholar] [CrossRef] [Green Version]
- Gratchev, I.B.; Sassa, K. Cyclic behavior of fine-grained soils at different pH values. J. Geotech. Geoenviron. Eng. 2009, 135, 271–279. [Google Scholar] [CrossRef]
- Wang, Y.; Siu, W.-K. Structure characteristics and mechanical properties of kaolinite soils. II. Effects of structure on mechanical properties. Can. Geotech. J. 2006, 43, 601–617. [Google Scholar] [CrossRef]
- Zhang, S.; Liu, H.; Chen, W.; Niu, F.; Niu, Z. Strength deterioration model of remolded loess contaminated with acid and alkali solution under freeze-thaw cycles. B Eng. Geol. Environ. 2020, 79, 3007–3018. [Google Scholar] [CrossRef]
- Rosalam, S.; England, R. Review of xanthan gum production from unmodified starches by Xanthomonas comprestris sp. Enzyme Microb. Tech. 2006, 39, 197–207. [Google Scholar] [CrossRef]
- García-Ochoa, F.; Santos, V.E.; Casas, J.A.; Gómez, E. Xanthan gum: Production, recovery, and properties. Biotechnol. Adv. 2000, 18, 549–579. [Google Scholar] [CrossRef]
- Becker, A.; Katzen, F.; Pühler, A.; Ielpi, L. Xanthan gum biosynthesis and application: Abiochemical/genetic perspective. Appl. Microbiol. Biotechnol. 1998, 50, 145–152. [Google Scholar] [CrossRef]
- Lee, S.; Chang, I.; Chung, M.K.; Kim, Y.; Kee, J. Geotechnical shear behavior of xanthan gum biopolymer treated sand from direct shear testing. Geomech. Eng. 2017, 12, 831–847. [Google Scholar] [CrossRef] [Green Version]
- Im, J.; Tran, A.T.P.; Chang, I.; Cho, G.C. Dynamic properties of gel-type biopolymer treated sands evaluated by Resonant Column (RC) tests. Geomech. Eng. 2017, 12, 815–830. [Google Scholar] [CrossRef]
- Lee, S.; Im, J.; Cho, G.C.; Chang, I. Laboratory triaxial test behavior of xanthan gum biopolymer-treated sands. Geomech. Eng. 2019, 17, 445–452. [Google Scholar] [CrossRef]
- Ni, J.; Li, S.S.; Ma, L.; Geng, X.Y. Performance of soils enhanced with eco-friendly biopolymers in unconfined compression strength tests and fatigue loading tests. Constr. Build. Mater. 2020, 263, 120039. [Google Scholar] [CrossRef]
- Bouazza, A.; Gates, W.; Ranjith, P. Hydraulic conductivity of biopolymer-treated silty sand. Géotechnique 2009, 59, 71–72. [Google Scholar] [CrossRef]
- Bekele, W.A.; Wight, C.P.; Chao, S.; Howarth, C.J.; Tinker, N.A. Haplotype-based genotyping-by-sequencing in oat genome research. Plant Biotechnol. J. 2018, 16, 1452–1463. [Google Scholar] [CrossRef] [PubMed] [Green Version]
- Rasane, P.; Jha, A.; Sabikhi, L.; Kumar, A.; Unnikrishnan, V.S. Nutritional advantages of oats and opportunities for its processing as value added foods—A review. J. Food Sci. Tech. Mys. 2015, 52, 662–675. [Google Scholar] [CrossRef] [Green Version]
- Yang, C. Organic Oat Production; Agricultural University Press: Beijing, China, 2010. (In Chinese) [Google Scholar]
- Han, L.; Eneji, A.E.; Steinberger, Y.; Wang, W.; Yu, S.; Liu, H.; Liu, J. Comparative biomass production of six oat varieties in a saline soil ecology, Commun. Soil Sci. Plant Anal. 2014, 45, 2552–2564. [Google Scholar] [CrossRef]
- Kelling, K.A.; Fixen, P.E. Soil and nutrient requirements for oat production, Oat. Sci Technol. 1992, 33, 165–190. [Google Scholar]
- Murty, S.A.; Misra, P.N.; Haider, M.M. Effect of different salt concentrations on seed germination and seedling development in few oat cultivars. Indian J. Agric. Res. 1984, 18, 129–132. [Google Scholar]
- Leon, B. Salt Tolerance of Grasses and Forage Legumes; United State Department of Agriculture: Washington, DC, USA, 1958; p. 5.
- Mickovski, S.; Bengough, A.; Bransby, M.; Davies, M.; Hallett, P.; Sonnenberg, R. Material stiffness, branching pattern and soil matric potential affect the pullout resistance of model root systems. Eur. J. Soil Sci. 2007, 58, 1471–1481. [Google Scholar] [CrossRef]
- Anandarajah, A.; Zhao, D. Triaxial Behavior of Kaolinite in Different Pore Fluids. J. Geotech. Geoenviron. 2000, 126, 148–156. [Google Scholar] [CrossRef]
- Veylon, G.; Ghestem, M.; Stokes, A.; Bernard, A. Quantification of mechanical and hydric components of soil reinforcement by plant roots. Can. Geotech. J. 2015, 52, 1839–1849. [Google Scholar] [CrossRef]
- Knappett, J.A.; Craig, R.F. Craig’s Soil Mechanics; Spon Press: London, UK, 2012. [Google Scholar]
- Sivapullaiah, P.V.; Scholar, J.P.P.; Sridharan, A. Effect of fly ash on the index properties of black cotton soil. Soils Found. 1996, 36, 97–103. [Google Scholar] [CrossRef] [Green Version]
- Sivapullaiah, P.V.; Sridharan, A. Liquid limit of soil mixtures. Geotech. Test J. 1985, 8, 111–116. [Google Scholar] [CrossRef]
- Liu, J.; Guo, Y. Effects of Acid and Base Contamination on Geotechnical Properties of Shanghai Remolded Silty Clay. In Proceedings of the Geoshanghai 2018 International Conference: Fundamentals of Soil Behaviours, Shanghai, China, 27–30 May 2018; pp. 611–619. [Google Scholar] [CrossRef]
- Van Olphen, S.H. An Introduction to Clay Colloid Chemistry; Krieger Publishing Company: Malabar, India, 1991. [Google Scholar]
- Gratchev, I.; Towhata, I. Compressibility of natural soils subjected to long-term acidic contamination. Environ. Earth Sci. 2011, 64, 193–200. [Google Scholar] [CrossRef] [Green Version]
- Mu, C.; Fu, Q.; Liu, Y. Experimental of Mechanical Effect Weakening of Acid-contaminated Red Clay in Guilin. J. Henan Univ. Sci. Technol. 2019, 40, 52–57. (In Chinese) [Google Scholar] [CrossRef]
- Sridharan, A.; Venkatappa, R.G. Mechanisms controlling the liquid limit of clays. In Proceedings of the Istanbul Conference on SM and FE, Istanbul, Turkey, January 1975; Volume 1, pp. 75–84. [Google Scholar]
- Sunil, B.M.; Nayak, S.; Shrihari, S. Effect of pH on the geotechnical properties of laterite. Eng. Geol. 2006, 85, 197–203. [Google Scholar] [CrossRef]
- Sunil, B.M.; Shrihari, S.; Nayak, S. Shear strength characteristics and chemical characteristics of leachate-contaminated lateritic soil. Eng. Geol. 2009, 106, 20–25. [Google Scholar] [CrossRef]
- Chenu, C. Clay- or sand-polysaccharide associations as models for the interface between micro-organisms and soil: Water related properties and microstructure. Geoderma 1993, 56, 143–156. [Google Scholar] [CrossRef]
- Zhao, Z.; Liu, J.; Jia, R.; Bao, S.; Chen; X. Physiological and TMT-based proteomic analysis of oat early seedlings in response to alkali stress. J. Proteom. 2019, 193, 10–26. [Google Scholar] [CrossRef]
- Brady, N.C.; Weil, R.R. The Nature and Properties of Soils; Prentice-Hall Inc.: Hoboken, NJ, USA, 1996. [Google Scholar]
- Marschner, H. Mineral Nutrition of Higher Plants, 2nd ed.; Academic Press: London, UK, 1995. [Google Scholar]
- Sun, F.; Zhao, Y.; Zhang, W.; Hu, H.; Li, B.; Wang, Y.; Liu, M.; Li, X. High pH Dramatically Affects Seed Germination and Root Growth of Arabidopsis. Chin. Agric. Sci. Bull. 2007, 23, 285–289. (In Chinese) [Google Scholar] [CrossRef]
- Cheng, S. Effects of heavy metals on plants and resistance mechanisms. Environ. Sci. Pollut. R 2003, 10, 256–264. [Google Scholar] [CrossRef] [PubMed]
- Ma, C.; Ming, H.; Lin, C.; Naidu, R.; Bolan, N. Phytoextraction of heavy metal from tailing waste using Napier grass. Catena 2016, 136, 74–83. [Google Scholar] [CrossRef]


















| Tests | Pore Fluid pH Values | Treatment |
|---|---|---|
| Atterberg Limits | 2, 5, 7, 9, 12 | None |
| Plant cultivation | 2, 5, 7, 9, 12 | 0.00% XG–oat, 0.25% XG–oat, 0.50% XG–oat, 0.75% XG–oat, 1.00% XG–oat |
| Direct shear | 2, 5, 7, 9, 12 | None, 0.00% XG–oat, 0.25% XG–oat, 0.50% XG–oat, 0.75% XG–oat, 1.00% XG–oat |
Publisher’s Note: MDPI stays neutral with regard to jurisdictional claims in published maps and institutional affiliations. |
© 2022 by the authors. Licensee MDPI, Basel, Switzerland. This article is an open access article distributed under the terms and conditions of the Creative Commons Attribution (CC BY) license (https://creativecommons.org/licenses/by/4.0/).
Share and Cite
Ni, J.; Chen, J.; Liu, S.; Hao, G.; Geng, X. Experimental Study of the Usage of Combined Biopolymer and Plants in Reinforcing the Clayey Soil Exposed to Acidic and Alkaline Contaminations. Appl. Sci. 2022, 12, 5808. https://doi.org/10.3390/app12125808
Ni J, Chen J, Liu S, Hao G, Geng X. Experimental Study of the Usage of Combined Biopolymer and Plants in Reinforcing the Clayey Soil Exposed to Acidic and Alkaline Contaminations. Applied Sciences. 2022; 12(12):5808. https://doi.org/10.3390/app12125808
Chicago/Turabian StyleNi, Jing, Jiaqi Chen, Shuojie Liu, Ganglai Hao, and Xueyu Geng. 2022. "Experimental Study of the Usage of Combined Biopolymer and Plants in Reinforcing the Clayey Soil Exposed to Acidic and Alkaline Contaminations" Applied Sciences 12, no. 12: 5808. https://doi.org/10.3390/app12125808
APA StyleNi, J., Chen, J., Liu, S., Hao, G., & Geng, X. (2022). Experimental Study of the Usage of Combined Biopolymer and Plants in Reinforcing the Clayey Soil Exposed to Acidic and Alkaline Contaminations. Applied Sciences, 12(12), 5808. https://doi.org/10.3390/app12125808
