Numerical Investigation into Lateral Behavior of Monopile Due to Scour Enhanced: Role of State-Dependent Dilatancy
Abstract
:1. Introduction
2. The State-Dependent Constitutive Model for Saturated Sand
2.1. Elastic Behavior
2.2. Yield Function
2.3. State-Dependent Dilatancy
- At a loose state (), the sand exhibits a contractive behavior (), as is always lower than when [22];
- At a dense state (), the sand displays either zero dilatancies when (upon phase transformation), or a dilative behavior () if otherwise [22];
- At the critical state, the dilatancy vanishes () being irrespective of the initial state by and ;
- The equation can be recovered to the dilatancy function of the original Cam clay model (i.e.,), by setting the two material constants as and .
2.4. State-Dependent Plastic Modulus
- For the initial state of sand in each horizon, at which is successive with the behavior of sand showing induced by a tiny but nonzero [24];
- For the initial state of sand in each horizon, at the critical state ( and ), because of the term ;
- For loose sand, by always smaller than , during the entire process of shearing. and the sand is in a strain-hardening state.
- For relatively dense sand, the formulation allows a smooth transition from to , in which the sand changes from strain-hardening state to strain-softening state, when and , respectively.
2.5. Constitutive Equation for Saturated Sand
3. Three-Dimensional Finite Element Model Analyses
3.1. Three-Dimensional Finite Element Model
3.2. Parameter Calibration and Model Validation
3.3. Numerical Modeling Procedure
- Establishing the model in no scour condition (as shown in Figure 3a), then identifying the scour depth of each case;
- Defining a special step for the formation of the scour pit. According to the depth of scour in this step, the scour soil is divided into many layers by 0.5 D of each horizon Then, the scour soil is slowly removed by means of adding the keywords in the ABAQUS input file, i.e., Model change, remove as shown in Figure 3b. This operation models the slow unloading process during scouring, and considers the influence of the stress relief;
- Applying the displacement on the pile head. Making sure that the deflection of the pile-soil interaction is developed uninterruptedly;
- Changing the depth of the scour pit base, and the same displacement is applied to the structure.
4. Numerical Results
4.1. The Variation of Pile Response Subjected to Scour
4.2. Lateral Load-Displacement Behavior from Simulation Results
4.3. The Analysis of the Remaining Sand Horizon
- The shallow sand horizon is softened and is subjected to scour obviously when the lateral sand resistance is lower than that at the same depth under original soil.
- The deeper depth is 10–20% hardener than that at the same horizon before.
4.4. Quantization of Dilation Angle
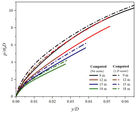
5. p-y Curves of the Constrained Horizon in Local Scour Condition
6. Conclusions
- After the erosion depth increases gradually, which differs from the past lateral service capacity variation of remaining interface soil, the lateral soil resistance in the shallow horizon failed. The relative density increases by dilatancy and process the stress relief brings about the strength failure. The depth of the weakened area is about 0.6 times scour depth.
- Unlike the general scour condition, the dilatancy of the shallow horizon and the restriction of remaining overburden soil surrounding the pile enhance the normal stress of the interface sand. Therefore, the lateral soil resistance in the deep horizon is ameliorated.
- Having considered the effect of dilatancy on friction angle and the change in normal stress and relative density during the displacement of the pile, the p-y curves considering the state variation can evaluate the lateral resistance in the deep horizon in local scour conditions.
Author Contributions
Funding
Institutional Review Board Statement
Informed Consent Statement
Data Availability Statement
Conflicts of Interest
References
- Prendergast, L.J.; Gavin, K. Monitoring of Scour Critical Bridges Using Changes in the Natural Frequency of Vibration of Foundation Piles: A Field Investigation. In Proceedings of the Transport Research Arena (TRA) 5th Conference, Paris, France, 14–17 April 2014. [Google Scholar]
- Liu, J.; Guo, Z.; Ling, X.; Yu, X.; Zhu, N. Studies on Bearing Characteristic of Open-Ended and Close-Ended Pipe Piles under High-Speed Railway Loadings. Int. J. Struct. Stab. Dyn. 2021, 21, 2140001. [Google Scholar] [CrossRef]
- Yi, J.H.; Kim, S.B.; Yoon, G.L.; Andersen, L.V. Natural frequency of bottom-fixed offshore wind turbines considering pile-soil-interaction with material uncertainties and scouring depth. Wind Struct. Int. 2015, 21, 625–639. [Google Scholar] [CrossRef]
- Reese, L.C.; Cox, W.R.; Koop, F.D. Analysis of laterally loaded piles in sand. In Proceedings of the Offshore Technology Conference, Houston, TX, USA, 5–7 May 1974. [Google Scholar]
- Xu, L.Y.; Cai, F.; Wang, G.X.; Ugai, K. Nonlinear analysis of laterally loaded single piles in sand using modified strain wedge model. Comput. Geotech. 2013, 51, 60–71. [Google Scholar] [CrossRef]
- Lin, C.; Wu, R. Evaluation of vertical effective stress and pile lateral capacities considering scour-hole dimensions. Can. Geotech. J. 2019, 56, 135–143. [Google Scholar] [CrossRef]
- He, B.; Lai, Y.C.; Wang, L.Z.; Hong, Y.; Zhu, R. Scour Effects on the Lateral Behavior of a Large-Diameter Monopile in Soft Clay: Role of Stress History. J. Mar. Sci. Eng. 2019, 7, 170. [Google Scholar] [CrossRef] [Green Version]
- Wang, L.; Lai, Y.; Hong, Y.; Mašín, D. A unified lateral soil reaction model for monopiles in soft clay considering various length-to-diameter (L/D) ratios. Ocean. Eng. 2020, 212, 107492. [Google Scholar] [CrossRef]
- Li, Q.; Prendergast, L.J.; Askarinejad, A.; Gavin, K. Effect of scour on the behavior of a combined loaded monopile in sand. In Numerical Methods in Geotechnical Engineering IX; CRC Press: Boca Raton, FL, USA, 2018. [Google Scholar] [CrossRef]
- Chortis, G.; Askarinejad, A.; Prendergast, L.J.; Li, Q.; Gavin, K. Influence of scour depth and type on p-y curves for monopiles in sand under monotonic lateral loading in a geotechnical centrifuge. Ocean. Eng. 2020, 197, 106838. [Google Scholar] [CrossRef]
- Lin, C.; Bennett, C.; Jie, H.; Parsons, R.L. Scour effects on the response of laterally loaded piles considering stress history of sand. Comput. Geotech. 2010, 37, 1008–1014. [Google Scholar] [CrossRef]
- Bateni, H.; Jeng, D.S. Estimation of pile group scour using adaptive neuro-fuzzy approach. Ocean. Eng. 2007, 34, 1344–1354. [Google Scholar] [CrossRef]
- Lin, C.; Han, J.; Bennett, C.; Parsons, R.L. Analysis of laterally loaded piles in sand considering scour hole dimensions. J. Geotech. Geoenviron. Eng. 2014, 140, 04014024. [Google Scholar] [CrossRef]
- Roscoe, K.H.; Schofield, A.N.; Wroth, C.P. On the yielding of soils. Géotechnique 1958, 8, 22–53. [Google Scholar] [CrossRef]
- Li, X.S.; Dafalias, Y.F. Dilatancy for Cohesionless Soils. Géotechnique 2000, 50, 449–460. [Google Scholar] [CrossRef]
- Manzari, M.T.; Dafalias, Y.F. A critical state two-surface plasticity model for sands. Geotechnique 1997, 47, 255–272. [Google Scholar] [CrossRef]
- Qi, W.G.; Gao, F.P.; Randolph, M.F.; Lehane, B.M. Scour effects on p-y curves for shallowly embedded piles in sand. Géotechnique 2016, 66, 648–660. [Google Scholar] [CrossRef] [Green Version]
- Qi, W.G.; Gao, F.P. Numerical study of local scour effects on the lateral pile-soil interaction. In Proceedings of the 8th International Conference on Scour and Erosion, Oxford, UK, 12–15 September 2016; pp. 293–300. [Google Scholar] [CrossRef] [Green Version]
- Richard, F.E.; Hall, J.R.; Woods, R.D. Vibrations of Soils and Foundations; Prentice Hall Inc.: Englewood Cliffs, NJ, USA, 1970. [Google Scholar] [CrossRef]
- Been, K.; Jefferies, M.G. A state parameter for sands. Géotechnique 1985, 35, 99–112. [Google Scholar] [CrossRef]
- Li, X.S.; Wang, Y. Linear representation of steady-state line for sand. J. Geotech. Geoenviron. Eng. 1998, 124, 1215–1217. [Google Scholar] [CrossRef]
- Li, X.S. A sand model with state-dependent dilatancy. Géotechnique 2002, 52, 173–186. [Google Scholar] [CrossRef]
- Wang, Z.L.; Dafalias, Y.F.; Shen, C.K. Bounding surface hypoplasticity model for sand. J. Eng. Mech. 1990, 116, 983–1001. [Google Scholar] [CrossRef]
- Kuwano, R.; Jardine, R.J. A triaxial investigation of kinematic yielding in sand. Géotechnique 2007, 57, 563–579. [Google Scholar] [CrossRef]
- Wang, H.; Wang, L.; Hong, Y.; Askarinejad, A.; He, B.; Pan, H. Influence of pile diameter and aspect ratio on the lateral response of monopiles in sand with different relative densties. J. Mar. Sci. Eng. 2021, 9, 618. [Google Scholar] [CrossRef]
- Randolph, M.F.; Wroth, C.P. Application of the failure state in undrained simple shear to the shaft capacity of driven piles. Géotechnique 1981, 31, 143–157. [Google Scholar] [CrossRef]
- Zheng, G.; Peng, S.Y.; Ng, C.; Diao, Y. Excavation effects on pile behaviour and capacity. Can. Geotech. J. 2012, 49, 1347–1356. [Google Scholar] [CrossRef]
- Peng, S.Y.; Ng, C.; Zheng, G. The dilatant behaviour of sand–pile interface subjected to loading and stress relief. Acta Geotech. 2014, 9, 425–437. [Google Scholar] [CrossRef]
- Bolton, M.D. The strength and dilatancy of sands. Géotechnique 1987, 36, 219–226. [Google Scholar] [CrossRef]
- Yang, J.; Li, X.S. State-dependent strength of sands from the perspective of unified modeling. J. Geotech. Geoenviron. Eng. 2004, 130, 186–198. [Google Scholar] [CrossRef] [Green Version]
- Cinicioglu, O.; Abadkon, A. Dilatancy and Friction Angles Based on In Situ Soil Conditions. J. Geotech. Geoenviron. Eng. 2015, 141, 06014019. [Google Scholar] [CrossRef]
- Ishihara, K. Liquefaction and flow failure during earthquakes. Géotechnique 1993, 43, 351–451. [Google Scholar] [CrossRef]
- American Petroleum Institute. Recommended Practice Planning, Designing, and Constructing Fixed Offshore Platforms—Working Stress Design. API 2A-WSD, 22nd ed.; American Petroleum Institute: Washington, DC, USA, 2014. [Google Scholar]
- Kim, S.R. Evaluation of combined horizontal-moment bearing capacities of tripod bucket foundations in undrained clay. Ocean Eng. 2014, 85, 100–109. [Google Scholar] [CrossRef]
- Kim, D.J.; Choo, Y.W.; Kim, J.H.; Kim, S.; Kim, D.S. Investigation of monotonic and cyclic behavior of tripod suction bucket foundations for offshore wind towers using centrifuge modeling. J. Geotech. Geoenviron. Eng. 2014, 140, 04014008. [Google Scholar] [CrossRef]
- Klinkvort, R.T. Centrifuge Modelling of Drained Lateral Pile-Soil Response. Ph.D. Thesis, Technical University of Denmark, Lyngby, Denmark, 2012. [Google Scholar]
- Klinkvort, R.T.; Hededal, O.; Springman, S.M. Scaling issues in centrifuge modelling of monopiles. Int. J. Phys. Model. Geotech. 2013, 13, 37–49. [Google Scholar] [CrossRef]
- Zhu, B.; Li, T.; Xiong, G.; Liu, J.C. Centrifuge model tests on laterally loaded piles in sand. Int. J. Phys. Model. Geotech. 2016, 16, 160–172. [Google Scholar] [CrossRef]
- Xiong, G. Centrifuge Modelling and 3-D Numerical Analysis of Large Diameter Single Pile Under Lateral Loads. Master’s Thesis, Zhejiang University, Hangzhou, China, 2013. [Google Scholar]
- Burd, H.J.; Taborda, D.M.G.; Zdravković, L.; Abadie, C.N.; Byrne, B.W.; Houlsby, G.T.; Gavin, K.G.; Igoe, D.J.; Jardine, R.J.; Martin, C.M.; et al. PISA design model for monopiles for offshore wind turbines: Application to a marine sand. Géotechnique 2020, 70, 1048–1066. [Google Scholar] [CrossRef] [Green Version]
















| Meaning of Parameters | Parameter | This Test | |
|---|---|---|---|
| Elastic parameters | Elastic modulus | 50 | |
| Poisson’s ratio | 0.1 | ||
| Critical state parameters | Stress ratio at the critical state | 1.25 | |
| Intercept of CSL in or plane | 0.934 | ||
| Slope of CSL in or plane | 0.019 | ||
| 0.7 | |||
| Dilatancy parameters | Parameters of dilatancy function | 1 | |
| 3.5 | |||
| Hardening parameters | Parameters of the hardening law | 3.15 | |
| 3.05 | |||
| 1.1 |
| Meaning of Parameters | Parameter | This Test | |
|---|---|---|---|
| Basic parameters | Mean particle size (mm) | 0.4 | |
| Specific gravity | 2.65 | ||
| Maximum void ratio | 0.934 | ||
| Minimum void ratio | 0.6 |
Publisher’s Note: MDPI stays neutral with regard to jurisdictional claims in published maps and institutional affiliations. |
© 2022 by the authors. Licensee MDPI, Basel, Switzerland. This article is an open access article distributed under the terms and conditions of the Creative Commons Attribution (CC BY) license (https://creativecommons.org/licenses/by/4.0/).
Share and Cite
Jia, N.; Liu, J.; Wang, X. Numerical Investigation into Lateral Behavior of Monopile Due to Scour Enhanced: Role of State-Dependent Dilatancy. Appl. Sci. 2022, 12, 921. https://doi.org/10.3390/app12020921
Jia N, Liu J, Wang X. Numerical Investigation into Lateral Behavior of Monopile Due to Scour Enhanced: Role of State-Dependent Dilatancy. Applied Sciences. 2022; 12(2):921. https://doi.org/10.3390/app12020921
Chicago/Turabian StyleJia, Ning, Junwei Liu, and Xuetao Wang. 2022. "Numerical Investigation into Lateral Behavior of Monopile Due to Scour Enhanced: Role of State-Dependent Dilatancy" Applied Sciences 12, no. 2: 921. https://doi.org/10.3390/app12020921
APA StyleJia, N., Liu, J., & Wang, X. (2022). Numerical Investigation into Lateral Behavior of Monopile Due to Scour Enhanced: Role of State-Dependent Dilatancy. Applied Sciences, 12(2), 921. https://doi.org/10.3390/app12020921
