Continuous-Time Nonlinear Model Predictive Tracking Control with Input Constraints Using Feedback Linearization
Abstract
:1. Introduction
2. Linear or Linear-like Formulations of Nonlinear Systems
2.1. Jacobian Linearization
2.2. Feedback Linearization
2.2.1. Input-State FL
2.2.2. Input-Output FL
2.3. State Dependent Coefficient Parameterization
2.4. Takagi–Sugeno Fuzzy Model
2.5. Comparisons of the Three Linear-like Structures
3. Nonlinear Model Predictive Control Formulation
3.1. Problem Description
3.2. Laguerre Functions
3.3. Model Predictive Control with Input Constraints
- Select the scaling factor, which is related to the convergence rates of the Laguerre functions. Equation (18) can be used to test the convergence rates by selecting various scaling factor. It is suggested that a trial starts from .
- Select the numbers of the Laguerre functions, which are related the approximation accuracy of control signals. Using more Laguerre functions causes better approximates but more computational time. It is suggested that a trial starts from .
- Select the time of horizon window, which is related to the time to predict the response. There are no general rules to select the time, but it is suggested that a trial starts from .
- Select the weighting matrices, which are related to the minimizations of the states and control. Since they are usually contradictive, it is suggested that a trial starts from .
- After performing the first trials, all parameters can be adjusted by several trials based on the trial results.
4. Illustrative Examples
- Linear quadratic tracking (LQT) control based on FL: this scheme applies the input-state FL shown in Section 2.2.1. first, and then the LQT control is applied to design a control. This scheme is abbreviated as LQT-FL in the following simulations.
- MPC based on the TSF model: this scheme applied the TSF model to obtain a linear-like model first, and then the MPC is used to design the control. This scheme is abbreviated as MPC-TSF in the following simulations.
- SDRE control: this scheme applies the SDC parameterization shown in Section 2.3. to nonlinear systems first, and then the control is obtained by solving the SDRE. The control design process is similar to the LQR control, so this scheme is like an LQR based on the SDC. In this study, this scheme is abbreviated as SDRE in the following simulations.
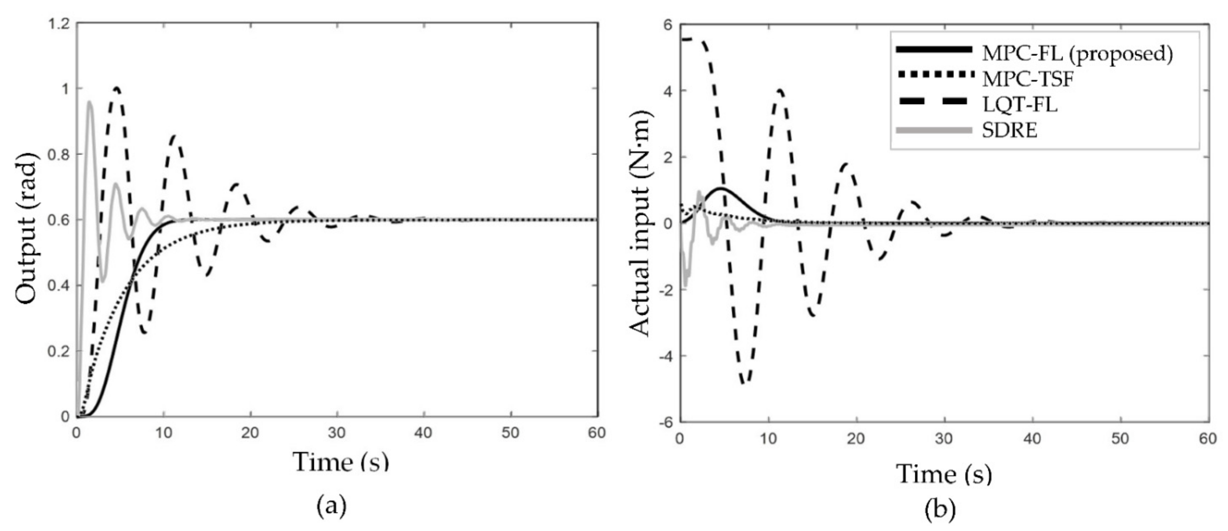
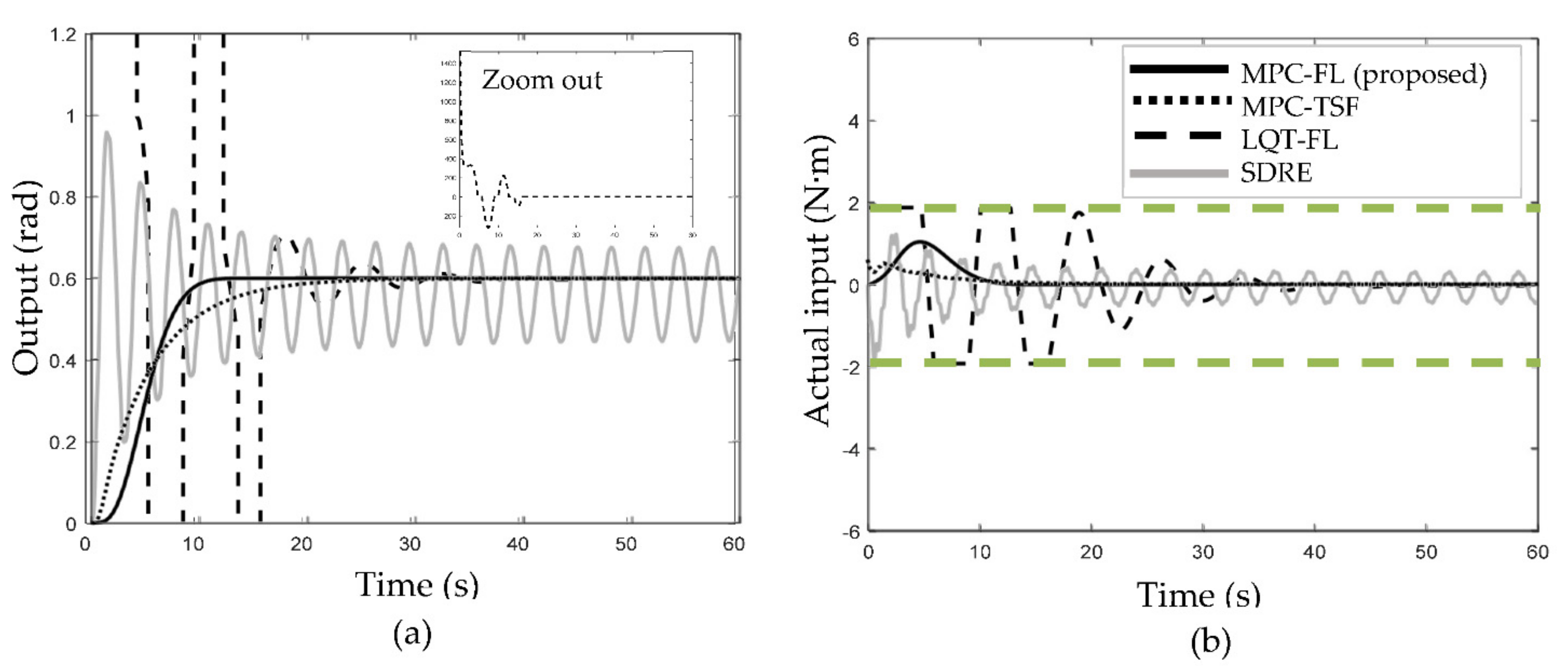
4.1. Flexible-Joint Mechanism
4.2. Two-Link Robot Arm
| Parameters | Symbols | Values | Units |
| Mass of link 1 | 1 | kg | |
| Mass of link 2 | 0.5 | kg | |
| Length of link 1 | 1 | m | |
| Length of link 2 | 0.8 | m |
5. Conclusions
Author Contributions
Funding
Institutional Review Board Statement
Informed Consent Statement
Data Availability Statement
Acknowledgments
Conflicts of Interest
References
- Schwenzer, M.; Ay, M.; Bergs, T.; Abel, D. Review on model predictive control: An engineering perspective. Int. J. Adv. Manuf. Technol. 2021, 117, 1327–1349. [Google Scholar] [CrossRef]
- Camacho, E.F.; Alba, C.B. Model Predictive Control; Springer: Berlin/Heidelberg, Germany, 2013. [Google Scholar]
- Baillieul, J.B.; Willems, J.C.; Mitter, S.K. Mathematical Control Theory; Springer: Berlin/Heidelberg, Germany, 1999. [Google Scholar]
- Kurtz, M.J.; Henson, M.A. Input-output linearizing control of constrained nonlinear processes. J. Process Control 1997, 7, 3–17. [Google Scholar] [CrossRef]
- Roca, L.; Guzman, J.L.; Normey-Rico, J.E.; Berenguel, M.; Yebra, L. Robust constrained predictive feedback linearization controller in a solar desalination plant collector field. Control Eng. Pract. 2009, 17, 1076–1088. [Google Scholar] [CrossRef]
- Mohammed, S.; Poignet, P.; Fraisse, P.; Guiraud, D. Toward lower limbs movement restoration with input–output feedback linearization and model predictive control through functional electrical stimulation. Control Eng. Pract. 2012, 20, 182–195. [Google Scholar] [CrossRef]
- Schnelle, F.; Eberhard, P. Constraint mapping in a feedback linearization/MPC scheme for trajectory tracking of underactuated multibody systems. IFAC-PapersOnLine 2015, 48, 446–451. [Google Scholar] [CrossRef]
- Chen, L.; Du, S.; Liang, M.; He, Y. Adaptive feedback linearization-based predictive control for greenhouse temperature. IFAC-PapersOnLine 2018, 51, 784–789. [Google Scholar]
- Sotelo, C.; Favela-Contreras, A.; Beltrán-Carbajal, F.; Dieck-Assad, G.; Rodríguez-Cañedo, P.; Sotelo, D. A novel discrete-time nonlinear model predictive control based on state space model. Int. J. Control Autom. Syst. 2018, 16, 2688–2696. [Google Scholar] [CrossRef]
- Yue, M.; An, C.; Sun, J.Z. An efficient model predictive control for trajectory tracking of wheeled inverted pendulum vehicles with various physical constraints. Int. J. Control Autom. Syst. 2018, 16, 265–274. [Google Scholar] [CrossRef]
- Carron, A.; Arcari, E.; Wermelinger, M.; Hewing, L.; Hutter, M.; Zeilinger, M.N. Data-driven model predictive control for trajectory tracking with a robotic arm. IEEE Robot. Autom. Lett. 2019, 4, 3758–3765. [Google Scholar] [CrossRef] [Green Version]
- Bao, X.; Kirsch, N.; Dodson, A.; Sharma, N. Model predictive control of a feedback-linearized hybrid neuroprosthetic system with a barrier penalty. J. Comput. Nonlinear Dyn. 2019, 14, 101009. [Google Scholar] [CrossRef]
- Chen, J.; Li, J.; Xu, Z.; Wang, Y.X. Anti-disturbance control of oxygen feeding for vehicular fuel cell driven by feedback linearization model predictive control-based cascade scheme. Int. J. Hydrogen Energy 2020, 45, 33925–33938. [Google Scholar] [CrossRef]
- Guo, Z.; Li, S.; Zheng, Y. Feedback linearization based distributed model predictive control for secondary control of islanded microgrid. Asian J. Control 2020, 22, 460–473. [Google Scholar] [CrossRef]
- Quan, S.; Wang, Y.X.; Xiao, X.; He, H.; Sun, F. Feedback linearization-based MIMO model predictive control with defined pseudo-reference for hydrogen regulation of automotive fuel cells. Appl. Energy 2021, 293, 116919. [Google Scholar] [CrossRef]
- Liu, X.; Chang, H.; Huang, P. Eddy current de-tumbling large geostationary debris based on feedback linearization model predictive control. Aerosp. Sci. Technol. 2021, 112, 106641. [Google Scholar] [CrossRef]
- Cai, Z.; Zhang, S.; Jing, X. Model predictive controller for quadcopter trajectory tracking based on feedback linearization. IEEE Access 2021, 9, 162909–162918. [Google Scholar] [CrossRef]
- Naimi, A.; Deng, J.; Vajpayee, V.; Becerra, V.; Shimjith, S.R.; Arul, A.J. Nonlinear model predictive control using feedback linearization for a pressurized water nuclear power plant. IEEE Access 2022, 10, 16544–16555. [Google Scholar] [CrossRef]
- Rugh, W.J.; Shamma, J.S. Research on gain scheduling. Automatica 2000, 36, 1401–1425. [Google Scholar] [CrossRef]
- Rugh, W.J. Analytical framework for gain scheduling. In Proceedings of the IEEE 1990 American Control Conference, San Diego, CA, USA, 23–25 May 1990; pp. 1688–1694. [Google Scholar] [CrossRef]
- Leith, D.J.; Leithead, W.E. Survey of gain-scheduling analysis and design. Int. J. Control 2000, 73, 1001–1025. [Google Scholar] [CrossRef]
- Krener, A.J. Feedback linearization. In Mathematical Control Theory; Springer: Berlin/Heidelberg, Germany, 1999; pp. 66–98. [Google Scholar]
- Slotine, J.J.E.; Li, W. Applied Nonlinear Control; Pearson: London, UK, 1991. [Google Scholar]
- Cloutier, J.R.; Cockburn, J.C. The state-dependent nonlinear regulator with state constraints. In Proceedings of the IEEE 2001 American Control Conference. (Cat. No.01CH37148), Arlington, VA, USA, 25–27 June 2001; pp. 390–395. [Google Scholar] [CrossRef]
- Takagi, T.; Sugeno, M. Fuzzy identification of systems and its applications to modeling and control. IEEE Trans. Syst. Man Cybern. 1985, 15, 116–132. [Google Scholar] [CrossRef]
- Tanaka, K.; Wang, H.O. Fuzzy Control Systems Design and Analysis; Wiley: Hoboken, NJ, USA, 2001. [Google Scholar]
- Hildreth, C. A quadratic programming procedure. Nav. Res. Logist. Q. 1957, 4, 79–85. [Google Scholar] [CrossRef]
- Clowes, G. Choice of the time-scaling factor for linear system approximations using orthonormal Laguerre functions. IEEE Trans. Autom. Control 1965, 10, 487–489. [Google Scholar] [CrossRef]
- Wang, L. Model Predictive Control System Design and Implementation Using MATLAB®; Springer: Berlin/Heidelberg, Germany, 2009. [Google Scholar]













| Transformation Schemes | JL | FL | SDC Parameterization | TSF Model |
|---|---|---|---|---|
| Redefine states and inputs | N | Y | N | N |
| Linear or linear-like | Linear | Linear | Linear-like | Linear-like |
| Approximated or same representations | Approximated | Same | Same | Approximated |
| Condition satisfied | N | Y | Y | N |
| Design flexibility | N | Y | Y | Y |
| Formulation complexity | N | Y | N | Y |
| Computation cost | Low | Low | High | High |
| Parameters | Symbols | Values | Units |
|---|---|---|---|
| Inertia of the link | 1 | kg⋅m2 | |
| Inertia of the motor | 1 | kg⋅m2 | |
| Mass of the link | 1 | kg | |
| Distance between the joint and the link center | 1 | m | |
| Spring constant | 100 | N/rad | |
| Gravitational constant | 9.81 | m/s2 |
| Controller | Rising Time (s) | Settling Time (s) | Max. Overshoot (Rad) | Input Ranges (N·m) | Computational Time (s) | RMSE (Rad) |
|---|---|---|---|---|---|---|
| SDRE | 1.1120 | 15.8700 | 0.3589 | (−1.9091, 0.9438) | 43.0110 | 0.0688 |
| MPC-TSF | 13.3184 | 20.1470 | 0.0002 | (−0.0004, 0.5991) | 45.0750 | 0.1333 |
| LQT-FL | 6.1280 | 48.8000 | 0.4638 | (−4.9458, 5.5785) | 1.5310 | 0.1918 |
| MPC-FL (proposed) | 9.2668 | 12.6885 | 0.0000 | (−0.0004, 1.0480) | 15.5830 | 0.1564 |
| Input Constraints (N⋅m) | Controllers | Rising Time (s) | Settling Time (s) | Max. Overshoot (Rad) | RMSE (Rad) |
|---|---|---|---|---|---|
| ±4.5 | SDRE | 1.1120 | 15.8700 | 0.3589 | 0.0688 |
| MPC-TSF | 13.3184 | 20.1470 | 0.0002 | 0.1333 | |
| LQT-FL | N/A | 44.7200 | N/A | N/A | |
| MPC-FL (proposed) | 9.2668 | 12.6885 | 0.0000 | 0.1564 | |
| ±1.9 | SDRE | 1.1360 | 18.7600 | 0.3588 | 0.0766 |
| MPC-TSF | 13.3184 | 20.1470 | 0.0002 | 0.1333 | |
| LQT-FL | N/A | 45.7200 | N/A | N/A | |
| MPC-FL (proposed) | 9.2668 | 12.6885 | 0.0000 | 0.1564 | |
| ±1.8 | SDRE | 0.7194 | N/A | 0.3500 | 0.1324 |
| MPC-TSF | 13.3184 | 20.1470 | 0.0002 | 0.1333 | |
| LQT-FL | N/A | 46.7000 | N/A | N/A | |
| MPC-FL (proposed) | 9.2668 | 12.6885 | 0.0000 | 0.1564 | |
| ±0.59 | SDRE | N/A | N/A | N/A | N/A |
| MPC-TSF | 13.6132 | 23.2655 | 0.0000 | 0.1334 | |
| LQT-FL | N/A | 47.4700 | N/A | N/A | |
| MPC-FL (proposed) | 15.0869 | 20.5160 | 0.0000 | 0.1807 | |
| ±0.56 | SDRE | N/A | N/A | N/A | N/A |
| MPC-TSF | N/A | N/A | N/A | N/A | |
| LQT-FL | N/A | 50.3700 | N/A | N/A | |
| MPC-FL (proposed) | 15.3072 | 20.5160 | 0.0000 | 0.1840 |
| Controller | Joint | Rising Time (s) | Settling Time (s) | Max. Overshoot (Rad) | Input Ranges (N·m) | Computational Time (s) | RMSE (Rad) |
|---|---|---|---|---|---|---|---|
| SDRE | 1 | 4.4800 | 6.6400 | 0.0000 | (−0.9893, 6.4839) | 167.4830 | 0.3419 |
| 2 | 4.3040 | 5.8200 | 0.0000 | (−0.3345, 6.1237) | 0.2807 | ||
| MPC-TSF | 1 | 110.7220 | 147.5750 | 0.0000 | (0.0000, 5.8805) | 39.4840 | 0.1776 |
| 2 | 107.8150 | 137.2700 | 0.0000 | (0.0000, 6.1647) | 0.1045 | ||
| LQT-FL | 1 | 1.1840 | 2.4400 | 0.0250 | (−10.4705, 18.5682) | 6.4400 | 0.2572 |
| 2 | 1.1360 | 2.4100 | 0.0260 | (−3.5592, 6.3192) | 0.2543 | ||
| MPC-FL (proposed) | 1 | 3.9240 | 5.4250 | 0.0028 | (−0.5592, 1.9739) | 6.5200 | 0.0409 |
| 2 | 3.7480 | 5.3320 | 0.0028 | (−0.1901, 0.6711) | 0.0407 |
| Input Constraint Range (N⋅m) | Controllers | Joints | Rising Time (s) | Settling Time (s) | Max. Overshoot (Rad) | RMSE (Rad) |
|---|---|---|---|---|---|---|
| ±6.1 | SDRE | 1 | 28.1920 | 127.3500 | 0.5094 | 0.5005 |
| 2 | 7.8480 | 10.6800 | 0.0059 | 0.4903 | ||
| MPC-TSF | 1 | 110.4480 | 138.7900 | 0.0000 | 0.1884 | |
| 2 | 88.1920 | 119.3350 | 0.0000 | 0.1253 | ||
| LQT-FL | 1 | 0.2560 | 2.0900 | 0.4310 | 0.1785 | |
| 2 | 0.6720 | 2.0200 | 0.0327 | 0.6997 | ||
| MPC-FL (proposed) | 1 | 3.9240 | 5.4250 | 0.0028 | 0.0409 | |
| 2 | 3.7480 | 5.3320 | 0.0028 | 0.0407 | ||
| ±6.0 | SDRE | 1 | N/A | N/A | N/A | N/A |
| 2 | N/A | N/A | N/A | N/A | ||
| MPC-TSF | 1 | 125.3890 | 156.7362 | 0.0000 | 0.4993 | |
| 2 | 104.8225 | 131.0281 | 0.0000 | 0.4740 | ||
| LQT-FL | 1 | 0.2160 | 2.3000 | 0.4383 | 0.1789 | |
| 2 | 0.6640 | 2.1300 | 0.5421 | 0.7034 | ||
| MPC-FL (proposed) | 1 | 3.9240 | 5.4250 | 0.0028 | 0.0409 | |
| 2 | 3.7480 | 5.3320 | 0.0028 | 0.0407 | ||
| ±1.5/±0.3 | SDRE | 1 | N/A | N/A | N/A | N/A |
| 2 | N/A | N/A | N/A | N/A | ||
| MPC-TSF | 1 | N/A | N/A | N/A | N/A | |
| 2 | N/A | N/A | N/A | N/A | ||
| LQT-FL | 1 | 0.8480 | 2.1700 | 0.0379 | 0.1539 | |
| 2 | 0.0560 | 1.6700 | 0.9551 | 0.1528 | ||
| MPC-FL (proposed) | 1 | 3.5800 | 5.4100 | 0.0028 | 0.0409 | |
| 2 | 4.1360 | 5.6600 | 0.0031 | 0.0567 |
Publisher’s Note: MDPI stays neutral with regard to jurisdictional claims in published maps and institutional affiliations. |
© 2022 by the authors. Licensee MDPI, Basel, Switzerland. This article is an open access article distributed under the terms and conditions of the Creative Commons Attribution (CC BY) license (https://creativecommons.org/licenses/by/4.0/).
Share and Cite
Kuo, Y.-L.; Pongpanyaporn, P. Continuous-Time Nonlinear Model Predictive Tracking Control with Input Constraints Using Feedback Linearization. Appl. Sci. 2022, 12, 5016. https://doi.org/10.3390/app12105016
Kuo Y-L, Pongpanyaporn P. Continuous-Time Nonlinear Model Predictive Tracking Control with Input Constraints Using Feedback Linearization. Applied Sciences. 2022; 12(10):5016. https://doi.org/10.3390/app12105016
Chicago/Turabian StyleKuo, Yong-Lin, and Peeraya Pongpanyaporn. 2022. "Continuous-Time Nonlinear Model Predictive Tracking Control with Input Constraints Using Feedback Linearization" Applied Sciences 12, no. 10: 5016. https://doi.org/10.3390/app12105016
APA StyleKuo, Y.-L., & Pongpanyaporn, P. (2022). Continuous-Time Nonlinear Model Predictive Tracking Control with Input Constraints Using Feedback Linearization. Applied Sciences, 12(10), 5016. https://doi.org/10.3390/app12105016

