Design Optimization of Plate-Fin Heat Exchanger in a Gas Turbine and Supercritical Carbon Dioxide Combined Cycle with Thermal Oil Loop
Abstract
:1. Introduction
2. PFHE Modeling
2.1. Heat Transfer Calculation
2.2. Pressure Drop Estimation
2.3. Thermal Oil Properties
2.4. Simulation Conditions
- The composition of exhaust from gas turbine is fixed;
- The pressure drop of the exhaust gas in heat exchangers is assumed to be no more than 10% and no less than 3%;
- The heat exchanger is working steadily and both fluids are assumed to be in the ideal condition.
3. Optimization Method
3.1. Optimization Objectives
3.2. Optimization Algorithm
3.3. Decision Variables
3.4. Optimum Solution Selection
4. Results and Discussion
4.1. Preliminary Optimization Results
4.2. Effect of PFHE Size Parameters
4.2.1. Number of Fin Layers
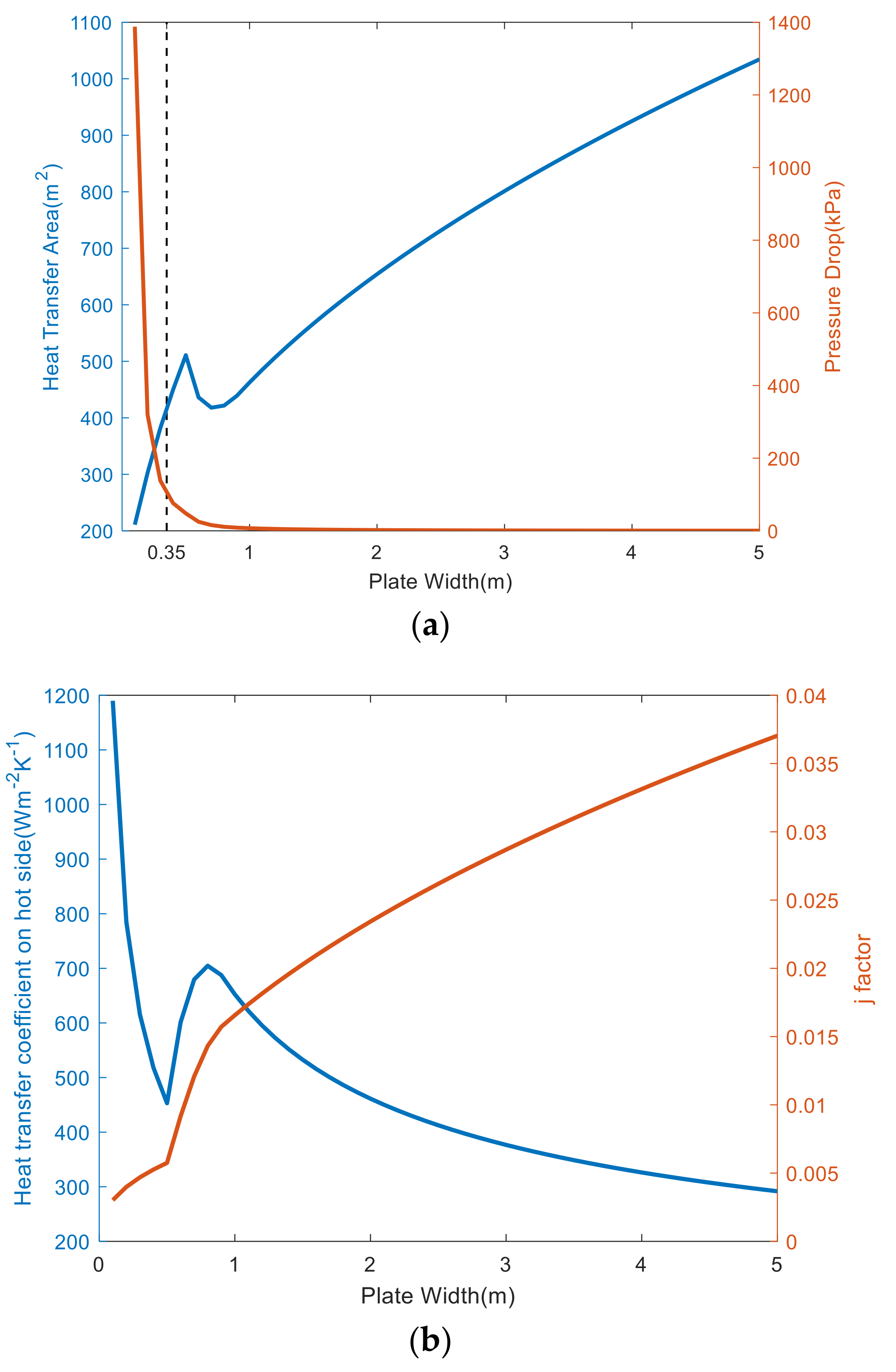
4.2.2. Plate Width
4.3. Effect of Fin Design Parameters
4.3.1. Fin Length
4.3.2. Fin Spacing
4.3.3. Fin Height
4.3.4. Fin Thickness
5. Conclusions
Supplementary Materials
Author Contributions
Funding
Institutional Review Board Statement
Informed Consent Statement
Data Availability Statement
Conflicts of Interest
Nomenclature
| A | heat transfer area (m2) |
| Aff | flow area (m2) |
| c | specific heat (kJ kg−1 K−1) |
| cp | specific heat at constant pressure (kJ kg−1 K−1) |
| Dhy | hydraulic diameter (m) |
| f | fanning friction factor |
| H | fin height (m) |
| h | heat transfer coefficient (W m−2 K−1) |
| j | j factor |
| L | plate length (m) |
| Lw | plate width (m) |
| ls | offset fin length (m) |
| N | number of layers |
| NTU | number of transfer units |
| n | fin frequency (fins per meter) |
| p | pressure (Pa) |
| Δp | pressure drop (Pa) |
| Pr | Prandtl number |
| qm | mass flow rate (kg/s) |
| Re | Reynolds number |
| s | fin spacing (m) |
| t | fin thickness (m) |
| t′ | inlet temperature (K) |
| t″ | outlet temperature (K) |
| Greek letters | |
| effectiveness of heat exchanger (%) | |
| ρ | density (kg m−3) |
| Subscripts | |
| c | cold |
| h | hot |
| max | maximum |
| min | minimum |
References
- Cao, Y.; Dai, Y. Preliminary System Design and Off-Design Analysis for a Gas Turbine and ORC Combined Cycle. J. Energy Eng. 2017, 143, 04017040. [Google Scholar] [CrossRef]
- White, M.T.; Bianchi, G.; Chai, L.; Tassou, S.A.; Sayma, A.I. Review of supercritical CO2 technologies and systems for power generation. Appl. Therm. Eng. 2020, 185, 116447. [Google Scholar] [CrossRef]
- Yu, A.; Su, W.; Lin, X.; Zhou, N. Recent trends of supercritical CO2 Brayton cycle: Bibliometric analysis and research review. Nucl. Eng. Technol. 2020, 53, 699–714. [Google Scholar] [CrossRef]
- Cai, H.-F.; Jiang, Y.-Y.; Wang, T.; Liang, S.-Q.; Zhu, Y.-M. Experimental investigation on convective heat transfer and pressure drop of supercritical CO2 and water in microtube heat exchangers. Int. J. Heat Mass Transf. 2020, 163, 120443. [Google Scholar] [CrossRef]
- Zendehboudi, A.; Ye, Z.; Hafner, A.; Andresen, T.; Skaugen, G. Heat transfer and pressure drop of supercritical CO2 in brazed plate heat exchangers of the tri-partite gas cooler. Int. J. Heat Mass Transf. 2021, 178, 121641. [Google Scholar] [CrossRef]
- Du, Y.; Hu, C.; Yang, C.; Wang, H.; Dong, W. Size optimization of heat exchanger and thermoeconomic assessment for supercritical CO2 recompression Brayton cycle applied in marine. Energy 2020, 239, 122306. [Google Scholar] [CrossRef]
- Cai, H.-F.; Jiang, Y.-Y.; Wang, T.; Liang, S.-Q.; Guo, C.; Zhu, Y.-M. An optimization of microtube heat exchangers for supercritical CO2 cooling based on numerical and theoretical analysis. Int. Commun. Heat Mass Transf. 2021, 127, 105532. [Google Scholar] [CrossRef]
- Wang, H.; Kissick, S.M. Modeling and simulation of a supercritical CO2-liquid sodium compact heat exchanger for sodium-cooled fast reactors. Appl. Therm. Eng. 2020, 180, 115859. [Google Scholar] [CrossRef]
- Liu, B.; Lu, M.; Shui, B.; Sun, Y.; Wei, W. Thermal-hydraulic performance analysis of printed circuit heat exchanger precooler in the Brayton cycle for supercritical CO2 waste heat recovery. Appl. Energy 2022, 305, 117923. [Google Scholar] [CrossRef]
- Cao, Y.; Rattner, A.S.; Dai, Y. Thermoeconomic analysis of a gas turbine and cascaded CO2 combined cycle using thermal oil as an intermediate heat-transfer fluid. Energy 2018, 162, 1253–1268. [Google Scholar] [CrossRef]
- Karim, Z.A.; Azmi, M.M.; Abdullah, A. Design of a Heat Exchanger for Gas Turbine Inlet Air using Chilled Water System. Energy Procedia 2012, 14, 1689–1694. [Google Scholar] [CrossRef] [Green Version]
- Kedam, N.; Uglanov, D.; Blagin, E.; Gorshkalev, A. Heat transfer factor j and friction factor f correlations for offset strip fin and wavy fin of compact plate-fin heat-exchangers. Case Stud. Therm. Eng. 2021, 28, 101552. [Google Scholar] [CrossRef]
- Jige, D.; Sugihara, K.; Inoue, N. Evaporation heat transfer and flow characteristics of vertical upward flow in a plate-fin heat exchanger. Int. J. Refrig. 2022, 133, 165–171. [Google Scholar] [CrossRef]
- Guo, K.; Zhang, N.; Smith, R. Design optimisation of multi-stream plate fin heat exchangers with multiple fin types. Appl. Therm. Eng. 2018, 131, 30–40. [Google Scholar] [CrossRef] [Green Version]
- Haider, P.; Freko, P.; Acher, T.; Rehfeldt, S.; Klein, H. Influence of inlet configuration and distributor geometry on the performance of cryogenic plate-fin heat exchangers. Appl. Therm. Eng. 2021, 195, 117197. [Google Scholar] [CrossRef]
- Wen, J.; Li, C.; Hao, H.; Zhao, X.; Lei, G.; Wang, S.; Li, Y. Numerical investigation on fin configuration improvement of 2 K sub-atmospheric plate-fin heat exchangers for the superfluid helium cryogenic systems. Appl. Therm. Eng. 2021, 196, 117290. [Google Scholar] [CrossRef]
- Nascimento, C.; Mariani, V.; Coelho, L. Integrative numerical modeling and thermodynamic optimal design of counter-flow plate-fin heat exchanger applying neural networks. Int. J. Heat Mass Transf. 2020, 159, 120097. [Google Scholar]
- Cho, D.-H.; Seo, S.-K.; Lee, C.-J.; Lim, Y. Optimization of layer patterning on a plate fin heat exchanger considering abnormal operating conditions. Appl. Therm. Eng. 2017, 127, 1036–1048. [Google Scholar] [CrossRef]
- Zarea, H.; Kashkooli, F.M.; Soltani, M.; Rezaeian, M. A novel single and multi-objective optimization approach based on Bees Algorithm Hybrid with Particle Swarm Optimization (BAHPSO): Application to thermal-economic design of plate fin heat exchangers. Int. J. Therm. Sci. 2018, 129, 552–564. [Google Scholar] [CrossRef]
- Li, K.; Wen, J.; Wang, S.; Li, Y. Multi-parameter optimization of serrated fins in plate-fin heat exchanger based on fluid-structure interaction. Appl. Therm. Eng. 2020, 176, 115357. [Google Scholar] [CrossRef]
- Deb, K.; Pratap, A.; Agarwal, S.; Meyarivan, T. A fast and elitist multiobjective genetic algorithm: NSGA-II. IEEE Trans. Evolut. Comput. 2020, 6, 182–197. [Google Scholar] [CrossRef] [Green Version]
- Liu, D.; Huang, Q.; Yang, Y.; Liu, D.; Wei, X. Bi-objective algorithm based on NSGA-II framework to optimize reservoirs operation. J. Hydrol. 2020, 585, 124830. [Google Scholar] [CrossRef]
- Cao, Y.; Dhahad, H.; Mohamed, A.; Anqi, A. Thermo-economic investigation and multi-objective optimization of a novel enhanced heat pump system with zeotropic mixture using NSGA-II. Appl. Therm. Eng. 2020, 194, 116374. [Google Scholar] [CrossRef]
- Shabani-Naeeni, F.; Yaghin, R. Integrating data visibility decision in a multi-objective procurement transport planning under risk: A modified NSGA-II. Appl. Soft Comput. 2021, 107, 107406. [Google Scholar] [CrossRef]
- Hajabdollahi, H. Multi-objective optimization of plate fin heat exchanger using constructal theory. Int. Commun. Heat Mass Transf. 2019, 108, 104283. [Google Scholar] [CrossRef]
- Najafi, H.; Najafi, B.; Hoseinpoori, P. Energy and cost optimization of a plate and fin heat exchanger using genetic algorithm. Appl. Therm. Eng. 2011, 31, 1839–1847. [Google Scholar] [CrossRef]
- Joshi, H.M.; Webb, R.L. Heat transfer and friction in the offset stripfin heat exchanger. Int. J. Heat Mass Transf. 1987, 30, 69–84. [Google Scholar] [CrossRef]
- Ismail, L.S.; Velraj, R.; Ranganayakulu, C. Studies on pumping power in terms of pressure drop and heat transfer characteristics of compact plate-fin heat exchangers—A review. Renew. Sustain. Energy Rev. 2010, 14, 478–485. [Google Scholar] [CrossRef]
- Dowtherm, A. Heat Transfer Fluid. Product Technical Data; The Dow Chemical Company: Midland, MI, USA, 1997. [Google Scholar]
- Zhang, C.; Wei, H.; Xie, L.; Shen, Y.; Zhang, K. Direct interval forecasting of wind speed using radial basis function neural networks in a multi-objective optimization framework. Neurocomputing 2016, 205, 53–63. [Google Scholar] [CrossRef]
- Cui, Y.; Geng, Z.; Zhu, Q.; Han, Y. Review: Multi-objective optimization methods and application in energy saving. Energy 2017, 125, 681–704. [Google Scholar] [CrossRef]
- Sayyaadi, H.; Mehrabipour, R. Efficiency enhancement of a gas turbine cycle using an optimized tubular recuperative heat exchanger. Energy 2012, 38, 362–375. [Google Scholar] [CrossRef]
- McLinden, M.O.; Klein, S.A.; Lemmon, E.W.; Peskin, A.P. NSRD12. NIST Thermodynamic and Transport Properties of Refrigerants and Refrigerant Mixtures REFPROP, Version 6.0; NIST: Gaithersburg, MD, USA, 1998. [Google Scholar]










| Item | Value |
|---|---|
| Mass flow rate of exhaust (kg/s) | 21.77 |
| Mass flow rate of thermal oil (kg/s) | 13.07 |
| Inlet pressure of exhaust (kPa) | 105.5 |
| Inlet temperature of exhaust (K) | 783 |
| Inlet temperature of thermal oil (K) | 397 |
| Outlet temperature of thermal oil (K) | 673 |
| Parameter | Description | Specified Range |
|---|---|---|
| Nhot | Number of fin layers on hot side | 2–200 |
| Lw (m) | Plate width | 0.1–5 |
| ls,hot (m) | Offset fin length on hot side | 0.03–0.010 |
| ls,cold (m) | Offset fin length on cold side | 0.03–0.010 |
| shot (m) | Spacing of fins on hot side | 0.001–0.005 |
| scold (m) | Spacing of fins on cold side | 0.001–0.005 |
| Hhot (m) | Height of fins on hot side | 0.002–0.020 |
| Hcold (m) | Height of fins on cold side | 0.002–0.020 |
| thot (m) | Thickness of fins on hot side | 0.0001–0.0005 |
| tcold (m) | Thickness of fins on cold side | 0.0001–0.0005 |
| Nhot | Lw (m) | ls,hot (mm) | ls,cold (mm) | shot (mm) | scold (mm) | Hhot (mm) | Hcold (mm) | thot (mm) | tcold (mm) | A (m2) | Δp (kPa) |
|---|---|---|---|---|---|---|---|---|---|---|---|
| 48.49 | 1.83 | 8.75 | 3.11 | 1.17 | 1.68 | 13.68 | 15.17 | 0.36 | 0.28 | 782.33 | 7.77 |
| 46.31 | 1.93 | 3.61 | 7.48 | 1.72 | 1.18 | 15.02 | 8.25 | 0.36 | 0.25 | 831.33 | 9.13 |
| 24.58 | 4.00 | 7.32 | 3.49 | 1.28 | 1.54 | 16.20 | 3.66 | 0.20 | 0.20 | 936.00 | 4.49 |
| 20.13 | 4.55 | 6.57 | 7.30 | 2.26 | 1.31 | 17.31 | 4.60 | 0.25 | 0.35 | 938.83 | 3.64 |
| 68.31 | 1.22 | 8.76 | 5.44 | 1.66 | 1.11 | 19.20 | 14.25 | 0.44 | 0.48 | 779.18 | 3.08 |
| 168.69 | 0.74 | 4.32 | 4.08 | 1.12 | 1.04 | 12.74 | 12.96 | 0.47 | 0.39 | 649.68 | 7.14 |
| 81.50 | 2.37 | 7.95 | 5.81 | 1.06 | 1.30 | 12.64 | 10.03 | 0.47 | 0.14 | 975.84 | 3.84 |
| 180.48 | 0.45 | 9.71 | 7.90 | 1.05 | 1.02 | 17.36 | 10.41 | 0.43 | 0.19 | 651.97 | 7.53 |
| 57.01 | 1.87 | 8.46 | 6.12 | 1.23 | 1.19 | 11.55 | 15.80 | 0.35 | 0.47 | 771.08 | 5.66 |
| 182.61 | 0.57 | 8.96 | 6.66 | 1.07 | 1.52 | 12.68 | 14.99 | 0.11 | 0.17 | 957.40 | 3.91 |
| 136.68 | 1.50 | 3.22 | 4.99 | 1.45 | 1.29 | 12.46 | 2.20 | 0.44 | 0.13 | 922.72 | 3.96 |
| 117.22 | 0.82 | 7.41 | 4.29 | 1.33 | 1.86 | 11.48 | 14.00 | 0.28 | 0.19 | 893.36 | 7.84 |
| 106.31 | 1.42 | 8.37 | 9.68 | 1.47 | 1.10 | 9.60 | 3.16 | 0.15 | 0.14 | 855.37 | 3.33 |
| 44.22 | 3.88 | 7.41 | 8.66 | 1.09 | 1.05 | 9.18 | 5.77 | 0.34 | 0.43 | 712.00 | 5.28 |
| 148.05 | 0.85 | 3.60 | 3.34 | 1.32 | 1.85 | 8.99 | 7.18 | 0.16 | 0.35 | 839.25 | 9.75 |
| 35.35 | 3.36 | 7.94 | 9.01 | 2.08 | 1.09 | 12.05 | 5.58 | 0.47 | 0.21 | 969.11 | 5.71 |
| 57.08 | 1.40 | 6.52 | 6.98 | 1.50 | 1.20 | 16.64 | 5.63 | 0.39 | 0.37 | 681.91 | 7.10 |
| 189.73 | 0.66 | 9.39 | 9.45 | 1.06 | 1.13 | 11.56 | 15.28 | 0.38 | 0.32 | 828.73 | 5.57 |
| 71.38 | 0.93 | 7.53 | 4.06 | 1.53 | 1.42 | 16.77 | 3.93 | 0.24 | 0.40 | 706.44 | 7.85 |
| 34.81 | 1.93 | 7.65 | 8.12 | 1.54 | 1.99 | 19.57 | 14.67 | 0.27 | 0.16 | 989.33 | 5.47 |
| Nhot | Lw (m) | ls,hot (mm) | ls,cold (mm) | shot (mm) | scold (mm) | Hhot (mm) | Hcold (mm) | thot (mm) | tcold (mm) | A (m2) | Δp (kPa) | Rank |
|---|---|---|---|---|---|---|---|---|---|---|---|---|
| 41.33 | 1.30 | 3.74 | 3.00 | 1.00 | 1.00 | 20.00 | 13.02 | 0.10 | 0.50 | 526.89 | 4.55 | 1 |
| 41.47 | 1.26 | 9.81 | 3.00 | 1.00 | 1.00 | 20.00 | 13.57 | 0.10 | 0.50 | 510.78 | 5.13 | 2 |
| 41.02 | 1.16 | 9.71 | 3.00 | 1.00 | 1.00 | 20.00 | 17.02 | 0.10 | 0.50 | 469.65 | 7.60 | 3 |
| 41.28 | 1.26 | 4.47 | 3.00 | 1.00 | 1.00 | 20.00 | 14.54 | 0.10 | 0.50 | 504.31 | 5.40 | 4 |
| 41.08 | 1.16 | 5.46 | 3.00 | 1.00 | 1.00 | 20.00 | 13.90 | 0.10 | 0.50 | 472.43 | 6.98 | 5 |
| 41.01 | 1.21 | 7.57 | 3.00 | 1.00 | 1.00 | 20.00 | 12.37 | 0.10 | 0.50 | 489.71 | 6.01 | 6 |
| 42.19 | 1.37 | 5.34 | 3.00 | 1.00 | 1.00 | 20.00 | 14.28 | 0.10 | 0.50 | 580.02 | 3.25 | 7 |
| 41.33 | 1.30 | 10.00 | 3.00 | 1.00 | 1.00 | 20.00 | 17.28 | 0.10 | 0.50 | 528.96 | 4.48 | 8 |
| 42.06 | 1.27 | 4.27 | 3.00 | 1.00 | 1.00 | 20.00 | 14.69 | 0.10 | 0.50 | 539.48 | 4.13 | 9 |
| 41.40 | 1.26 | 9.97 | 3.00 | 1.00 | 1.00 | 20.00 | 13.33 | 0.10 | 0.50 | 514.77 | 4.97 | 10 |
| 42.18 | 1.32 | 4.30 | 3.00 | 1.00 | 1.00 | 20.00 | 14.80 | 0.10 | 0.50 | 555.76 | 3.70 | 11 |
| 40.96 | 1.21 | 9.91 | 3.00 | 1.00 | 1.00 | 20.00 | 13.62 | 0.10 | 0.50 | 493.13 | 5.84 | 12 |
| 40.79 | 1.22 | 5.69 | 3.00 | 1.00 | 1.00 | 20.00 | 14.21 | 0.10 | 0.50 | 488.67 | 6.07 | 13 |
| 41.04 | 1.26 | 10.00 | 3.00 | 1.00 | 1.00 | 20.00 | 17.12 | 0.10 | 0.50 | 531.51 | 4.40 | 14 |
| 42.13 | 1.29 | 3.80 | 3.00 | 1.00 | 1.00 | 20.00 | 12.94 | 0.10 | 0.50 | 549.13 | 3.85 | 15 |
| 42.18 | 1.38 | 9.70 | 3.00 | 1.00 | 1.00 | 20.00 | 17.18 | 0.10 | 0.50 | 569.60 | 3.39 | 16 |
| 41.36 | 1.24 | 8.37 | 3.00 | 1.00 | 1.00 | 20.00 | 12.31 | 0.10 | 0.50 | 498.08 | 5.67 | 17 |
| 41.33 | 1.25 | 3.58 | 3.00 | 1.00 | 1.00 | 20.00 | 12.90 | 0.10 | 0.50 | 509.82 | 5.16 | 18 |
| 41.44 | 1.27 | 3.89 | 3.00 | 1.00 | 1.00 | 20.00 | 14.25 | 0.10 | 0.50 | 520.59 | 4.75 | 19 |
| 41.04 | 1.18 | 3.58 | 3.00 | 1.00 | 1.00 | 20.00 | 12.87 | 0.10 | 0.50 | 476.80 | 6.74 | 20 |
Publisher’s Note: MDPI stays neutral with regard to jurisdictional claims in published maps and institutional affiliations. |
© 2021 by the authors. Licensee MDPI, Basel, Switzerland. This article is an open access article distributed under the terms and conditions of the Creative Commons Attribution (CC BY) license (https://creativecommons.org/licenses/by/4.0/).
Share and Cite
Cao, Y.; Zhan, J.; Zhou, J.; Si, F. Design Optimization of Plate-Fin Heat Exchanger in a Gas Turbine and Supercritical Carbon Dioxide Combined Cycle with Thermal Oil Loop. Appl. Sci. 2022, 12, 42. https://doi.org/10.3390/app12010042
Cao Y, Zhan J, Zhou J, Si F. Design Optimization of Plate-Fin Heat Exchanger in a Gas Turbine and Supercritical Carbon Dioxide Combined Cycle with Thermal Oil Loop. Applied Sciences. 2022; 12(1):42. https://doi.org/10.3390/app12010042
Chicago/Turabian StyleCao, Yue, Jun Zhan, Jianxin Zhou, and Fengqi Si. 2022. "Design Optimization of Plate-Fin Heat Exchanger in a Gas Turbine and Supercritical Carbon Dioxide Combined Cycle with Thermal Oil Loop" Applied Sciences 12, no. 1: 42. https://doi.org/10.3390/app12010042
APA StyleCao, Y., Zhan, J., Zhou, J., & Si, F. (2022). Design Optimization of Plate-Fin Heat Exchanger in a Gas Turbine and Supercritical Carbon Dioxide Combined Cycle with Thermal Oil Loop. Applied Sciences, 12(1), 42. https://doi.org/10.3390/app12010042

