Numerical Study on Flow and Heat Transfer of Supercritical Hydrocarbon Fuel in Curved Cooling Channel
Abstract
:1. Introduction
2. Materials and Methods
2.1. Governing Equations and Solution Method
2.2. Chemical Kinetics Model
2.3. Validation of Numerical Model
3. Model Setup
4. Results and Discussion
4.1. Effect of Secondary Flow on Pyrolysis and Heat Transfer
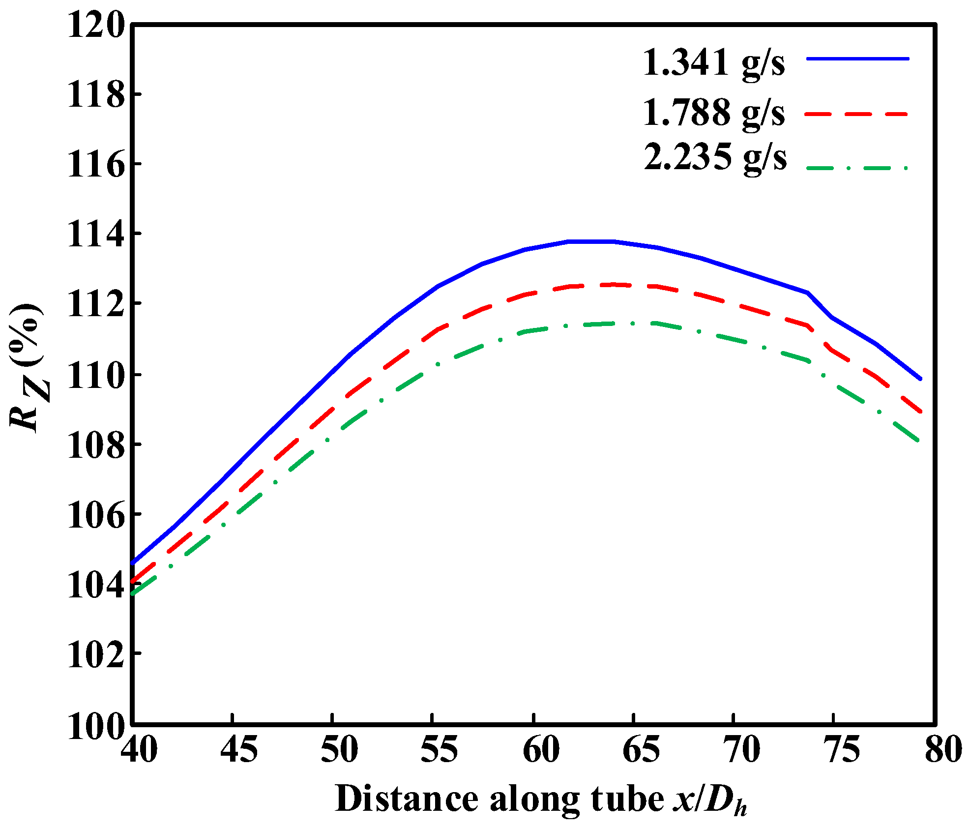
4.2. Effect of Mass Flow Rate on Heat and Mass Transfers in the Curved Cooling Channel
4.3. Radius of Curvature Effect on Heat and Mass Transfers in the Curved Cooling Channel
5. Conclusions
- (1)
- The secondary flow enhanced the fluid mixing and thermal exchange in the curved cooling channel. Additionally, the fuel conversion and heat-absorbing capacity was higher, and the heat transfer was effectively enhanced. At the outlet of the curved section, the heat transfer coefficient increased by around 90%.
- (2)
- With the increase of inlet mass flow rate, the centrifugal force became larger. The heat and components exchange between the near-wall region and the main flow was much more severe. The non-uniformities of the fuel temperature and conversion at the cross section decreased, which was beneficial for the promotion of fuel pyrolysis, and helpful for improving the utilization level of the fuel heat-absorbing capacity. The increasing inlet mass flow rate can effectively enhance the heat transfer in a curved cooling channel.
- (3)
- The radius of curvature was inversely proportional to the centrifugal force, so as the radius of curvature decreased, the secondary flow velocity increased. Therefore, the increasing radius of curvature raised non-uniformities of the fuel temperature and conversion at the cross section, which suppresses the fuel pyrolysis and reduces the utilized efficiency of the fuel heat-absorbing capacity. The increasing radius of curvature deteriorated the heat transfer in the curved cooling channel.
Author Contributions
Funding
Institutional Review Board Statement
Informed Consent Statement
Data Availability Statement
Conflicts of Interest
Nomenclature
| A | surface area, m2 | U, u | velocity, m/s |
| a, b | parameters in PR Eos | V | volume, m3 |
| Cp | specific heat capacity, J/kg/K | v | diffusion volume, m3 |
| D | diffusion coefficient, m2/s | VSec | secondary flow velocity, m/s |
| Dh | hydraulic diameter, mm | x, y, z | three coordinate directions of Cartesian coordinate system |
| h | heat transfer coefficient, W/(m2·K) | xi | mole fraction of species i |
| H | Enthalpy, J/Kg | Y | mass fraction |
| M Mij | mass flow rate, g/s the mixed molar mass of species i and species j, kg/(K·mol) | ZRP-3 | conversion of RP-3 |
| Nu | Nusselt number | Greek | |
| p | pressure, MPa | ρ | density, kg/m3 |
| Pr | Prandtl number | τ | viscous stress, N/m2 |
| pr | comparison pressure | λ | thermal conductivity, W/(m·K) |
| heat flux, W/m2 | Subscripts | ||
| R | curvature radius, mm, or molar gas constant, J/(K·mol), or non-uniformity | eff | effective parameter |
| Re | Reynolds number | w | wall parameter |
| SM | source term of chemical reaction | b | bulk fluid parameter |
| T | Temperature, K | in | inlet parameter |
| Tb | Bulk fluid temperature | i | species |
| Tw | wall temperature | m | mixture |
| Tr | comparison temperature | + | value under low pressure |
References
- Zhu, Y.; Peng, W.; Xu, R.; Jiang, P. Review on active thermal protection and its heat transfer for airbreathing hypersonic vehicles. Chin. J. Aeronaut. 2018, 31, 1929–1953. [Google Scholar] [CrossRef]
- Wang, H.; Wang, Z.; Sun, M.; Wu, H. Combustion modes of hydrogen jet combustion in a cavity-based supersonic combustor. Int. J. Hydrogen Energy 2013, 38, 12078–12089. [Google Scholar] [CrossRef]
- Lv, L.; Wen, J.; Fu, Y.; Quan, Y.; Zhu, J.; Xu, G. Numerical investigation on convective heat transfer of supercritical aviation kerosene in a horizontal tube under hyper gravity conditions. Aerosp. Sci. Technol. 2020, 105, 105962. [Google Scholar] [CrossRef]
- Wang, H.; Wang, Z.; Sun, M.; Qin, N. Large-Eddy/Reynolds-averaged Navier–Stokes simulation of combustion oscillations in a cavity-based supersonic combustor. Int. J. Hydrogen Energy 2013, 38, 5918–5927. [Google Scholar] [CrossRef]
- Hou, L.-Y.; Zhang, D.-R.; Zhang, X.-X. Interaction between thermal cracking and steam reforming reactions of aviation kerosene. Fuel Process. Technol. 2017, 167, 655–662. [Google Scholar] [CrossRef]
- Xu, Q.; Lin, G.; Li, H. Evaluation Model for Fast Convective Heat Transfer Characteristics of Thermal Cracked Hydrocarbon Fuel Regenerative Cooling Channel in Hydrocarbon-Fueled Scramjet. Appl. Therm. Eng. 2021, 199, 117616. [Google Scholar] [CrossRef]
- Sun, X.; Meng, H.; Zheng, Y. Asymmetric heating and buoyancy effects on heat transfer of hydrocarbon fuel in a horizontal square channel at supercritical pressures. Aerosp. Sci. Technol. 2019, 93, 105358. [Google Scholar] [CrossRef]
- Taddeo, L.; Gascoin, N.; Chetehouna, K.; Ingenito, A.; Stella, F.; Bouchez, M.; Le Naour, B. Experimental Study of Pyrolysis-Combustion Coupling in a Regeneratively Cooled Combustor: System Dynamics Analysis. Aerosp. Sci. Technol. 2017, 67, 473–483. [Google Scholar] [CrossRef]
- Hou, L.-Y.; Dong, N.; Sun, D.-P. Heat transfer and thermal cracking behavior of hydrocarbon fuel. Fuel 2013, 103, 1132–1137. [Google Scholar] [CrossRef]
- Xu, K.; Sun, X.; Meng, H. Conjugate heat transfer, endothermic fuel pyrolysis and surface coking of aviation kerosene in ribbed tube at supercritical pressure. Int. J. Therm. Sci. 2018, 132, 209–218. [Google Scholar] [CrossRef]
- Zhao, G.; Song, W.; Zhang, R. Effect of pressure on thermal cracking of china RP-3 aviation kerosene under supercritical conditions. Int. J. Heat Mass Transf. 2015, 84, 625–632. [Google Scholar] [CrossRef]
- Ward, T.; Ervin, J.S.; Zabarnick, S.; Shafer, L. Pressure Effects on Flowing Mildly-Cracked n-Decane. J. Propuls. Power 2005, 21, 344–355. [Google Scholar] [CrossRef]
- Feng, Y.; Jiang, Y.; Li, X.; Zhang, S.; Qin, J.; Cao, Y.; Huang, H. Numerical study on the influences of heat and mass transfers on the pyrolysis of hydrocarbon fuel in mini-channel. Appl. Therm. Eng. 2017, 119, 650–658. [Google Scholar] [CrossRef]
- Feng, Y.; Liu, S.; Qin, J.; Cao, Y.; Jiang, Y.; Zhang, S. Numerical study on the influence of turbulence on the pyrolysis of hydrocarbon fuel in mini-channel. Int. J. Heat Mass Transf. 2018, 119, 768–776. [Google Scholar] [CrossRef]
- Liu, Z.; Liang, J.; Pan, Y. Numerical study of coupled heat transfer of supercritical n-decane in a curved cooling channel. J. Thermophys. Heat Transf. 2016, 30, 635–641. [Google Scholar] [CrossRef]
- Matsubara, K.; Matsui, A.; Miura, T.; Sakurai, A.; Suto, H.; Kawai, K. A spatially advancing turbulent flow and heat transfer in a curved channel. Heat Transf. Asian Res. 2010, 39, 14–26. [Google Scholar] [CrossRef]
- Amp, K.M.; Takeda, M. Heat Transfer Characteristics and Reynolds Stress Budget of Spatially Advancing Turbulent Flow in a Curved Channel. Numer. Heat Transf. 2011, 60, 234–253. [Google Scholar]
- Pizzarelli, M.; Nasuti, F.; Onofri, M. Investigation of transcritical methane flow and heat transfer in curved cooling channels. In Proceedings of the 45th AIAA/ASME/SAE/ASEE Joint Propulsion Conference & Exhibit, Denver, CO, USA, 2–5 August 2009. [Google Scholar] [CrossRef]
- Pizzarelli, M.; Nasuti, F.; Onofri, M. Analysis of Curved-Cooling-Channel Flow and Heat Transfer in Rocket Engines. J. Propuls. Power 2011, 27, 1045–1053. [Google Scholar] [CrossRef]
- Pizzarelli, M. Effectiveness of Spalart–Allmaras Turbulence Model in Analysis of Curved Cooling Channels. AIAA J. 2013, 51, 2158–2167. [Google Scholar] [CrossRef]
- Mondal, R.N.; Watanabe, T.; Hossain, M.A.; Yanase, S. Vortex-Structure and Unsteady Solutions with Convective Heat Transfer Through a Curved Duct. J. Thermophys. Heat Transf. Asian Res. 2017, 31, 243–254. [Google Scholar] [CrossRef]
- Röhrig, R.; Jakirlić, S.; Tropea, C. Comparative computational study of turbulent flow in a 90° pipe elbow. Int. J. Heat Fluid Flow 2015, 55, 120–131. [Google Scholar] [CrossRef]
- Jing, T.; He, G.; Li, W.; Zhang, D.; Qin, F.; Li, R. Flow and thermal analyses of supercritical hydrocarbon fuel in curved regenerative cooling channel around cavity in rocket based combined cycle engine. Appl. Therm. Eng. 2018, 145, 423–434. [Google Scholar] [CrossRef]
- Sun, X.; Xu, K.; Meng, H. Supercritical-Pressure Heat Transfer, Pyrolytic Reactions and Surface Coking of n-Decane in Helical Tubes. Energy Fuels 2018, 32, 12298–12307. [Google Scholar] [CrossRef]
- Ward, T.; Ervin, J.S.; Striebich, R.C.; Zabarnick, S. Simulations of Flowing Mildly-Cracked Normal Alkanes Incorporating Proportional Product Distributions. J. Propuls. Power 2004, 20, 394–402. [Google Scholar] [CrossRef]
- Jing, T.; He, G.; Lin, B.B.; Li, W.; Qin, F.; Liu, Y. Thermal analysis of RBCC engine at ejector, ramjet and scramjet modes. In Proceedings of the 14th International Energy Conversion Engineering Conference, Salt Lake City, UT, USA, 25–27 July 2016. [Google Scholar]
- Gong, K.; Cao, Y.; Feng, Y.; Liu, S.; Qin, J. Influence of secondary reactions on heat transfer process during pyrolysis of hydrocarbon fuel under supercritical conditions. Appl. Therm. Eng. 2019, 159, 113912. [Google Scholar] [CrossRef]
- Jiang, R.; Liu, G.; Zhang, X. Thermal Cracking of Hydrocarbon Aviation Fuels in Regenerative Cooling Microchannels. Energy Fuels 2013, 27, 2563–2577. [Google Scholar] [CrossRef]
- Huang, W.; Li, S.-B.; Yan, L.; Wang, Z.-G. Performance evaluation and parametric analysis on cantilevered ramp injector in supersonic flows. Acta Astronaut. 2013, 84, 141–152. [Google Scholar] [CrossRef]
- Zhang, S.; Feng, Y.; Zhang, D.; Jiang, Y.; Qin, J.; Bao, W. Parametric numerical analysis of regenerative cooling in hydrogen fueled scramjet engines. Int. J. Hydrogen Energy 2016, 41, 10942–10960. [Google Scholar] [CrossRef]
- Cismondi, M.; Mollerup, J. Development and application of a three-parameter RK–PR equation of state. Fluid Phase Equilibria 2005, 232, 74–89. [Google Scholar] [CrossRef]
- Kim, S.-K.; Choi, H.-S.; Kim, Y. Thermodynamic modeling based on a generalized cubic equation of state for kerosene/LOx rocket combustion. Combust. Flame 2012, 159, 1351–1365. [Google Scholar] [CrossRef]
- Poling, B.E.; Prausnitz, J.M.; O’Connell, J.P. The Properties of Gases and Liquids; McGraw-Hill: New York, NY, USA, 2000. [Google Scholar]
- Liu, S.; Feng, Y.; Chu, Y.; Gong, K.; Cao, Y. Numerical study of catalytic steam reforming of aviation kerosene at supercritical pressures. Fuel 2018, 212, 375–386. [Google Scholar] [CrossRef]
- Meyer, M.L. The Effect of Cooling Passage Aspect Ratio on Curvature Heat Transfer Enhancement; NASA TM-107426; NASA: Washington, DC, USA, 1997.
- Meyer, M. Electrically heated tube investigation of cooling channel geometry effects. In Proceedings of the 31st Joint Propulsion Conference and Exhibit, San Diego, CA, USA, 10–12 July 1995; pp. 10–12. [Google Scholar] [CrossRef] [Green Version]
- Lin, B.; Pan, H.; Shi, L.; Ye, J. Effect of Primary Rocket Jet on Thermodynamic Cycle of RBCC in Ejector Mode. Int. J. Turbo Jet-Engines 2020, 37, 61–70. [Google Scholar] [CrossRef] [Green Version]
- Xu, K.; Tang, L.; Meng, H. Numerical study of supercritical-pressure fluid flows and heat transfer of methane in ribbed cooling tubes. Int. J. Heat Mass Transf. 2015, 84, 346–358. [Google Scholar] [CrossRef]
- Gong, K.; Cao, Y.; Feng, Y.; Zhang, Y.; Qin, J. Flow and Mass Transfer of Pyrolytic Aviation Kerosene in Curved Channel. J. Thermophys. Heat Transf. 2021, 35, 53–62. [Google Scholar] [CrossRef]
- Berger, S. Flow and heat transfer in curved pipes and tubes. In Proceedings of the 29th Aerospace Sciences Meeting, Reno, NV, USA, 7–10 January 1991. [Google Scholar] [CrossRef]
- Zhang, S.; Feng, Y.; Jiang, Y.; Qin, J.; Bao, W.; Han, J.; Haidn, O.J. Thermal behavior in the cracking reaction zone of scramjet cooling channels at different channel aspect ratios. Acta Astronaut. 2016, 127, 41–56. [Google Scholar] [CrossRef]



















| Case | m (g/s) | Tin (K) | Pin (MPa) | Rein | q″ (W/m2) |
|---|---|---|---|---|---|
| 1 | 1.341 | 700 | 3 | 6.0 × 104 | 5.0 × 106 |
| 2 | 1.788 | 700 | 3 | 8.0 × 104 | 6.67 × 106 |
| 3 | 2.235 | 700 | 3 | 1.0 × 105 | 8.33 × 106 |
| Case | R (mm) | Part I (mm) | Part II (mm) | Part III (mm) | Part IV (mm) |
|---|---|---|---|---|---|
| 4 | 100 | 50 | 50 | 100 | 250 |
| 5 | 150 | 50 | 50 | 150 | 200 |
| 6 | 200 | 50 | 50 | 200 | 150 |
| 7 | 250 | 50 | 50 | 250 | 100 |
Publisher’s Note: MDPI stays neutral with regard to jurisdictional claims in published maps and institutional affiliations. |
© 2022 by the authors. Licensee MDPI, Basel, Switzerland. This article is an open access article distributed under the terms and conditions of the Creative Commons Attribution (CC BY) license (https://creativecommons.org/licenses/by/4.0/).
Share and Cite
Zhang, Y.; Cao, Y.; Gong, K.; Liu, S.; Wang, L.; Chen, Z. Numerical Study on Flow and Heat Transfer of Supercritical Hydrocarbon Fuel in Curved Cooling Channel. Appl. Sci. 2022, 12, 2356. https://doi.org/10.3390/app12052356
Zhang Y, Cao Y, Gong K, Liu S, Wang L, Chen Z. Numerical Study on Flow and Heat Transfer of Supercritical Hydrocarbon Fuel in Curved Cooling Channel. Applied Sciences. 2022; 12(5):2356. https://doi.org/10.3390/app12052356
Chicago/Turabian StyleZhang, Ying, Yong Cao, Keyu Gong, Shuyuan Liu, Limin Wang, and Zhengchun Chen. 2022. "Numerical Study on Flow and Heat Transfer of Supercritical Hydrocarbon Fuel in Curved Cooling Channel" Applied Sciences 12, no. 5: 2356. https://doi.org/10.3390/app12052356
APA StyleZhang, Y., Cao, Y., Gong, K., Liu, S., Wang, L., & Chen, Z. (2022). Numerical Study on Flow and Heat Transfer of Supercritical Hydrocarbon Fuel in Curved Cooling Channel. Applied Sciences, 12(5), 2356. https://doi.org/10.3390/app12052356

