Full-Scale Measurements of Wind Characteristics on a High-Rise Building during Typhoon Sarika
Abstract
:1. Introduction
2. Full-Scale Measurement Program
2.1. Typhoon Sarika
2.2. The Ambient Condition of Experimental Site
2.3. Introduction of Measuring Instruments and Measuring Point Scheme
3. Wind Characteristics of Typhoon Sarika
3.1. Mean Wind Speeds and Wind Directions
3.2. Typhoon Stationarity Test
3.3. Turbulence Intensity and Integral Scale
3.3.1. Turbulence Intensity
3.3.2. Turbulence Integral Scale
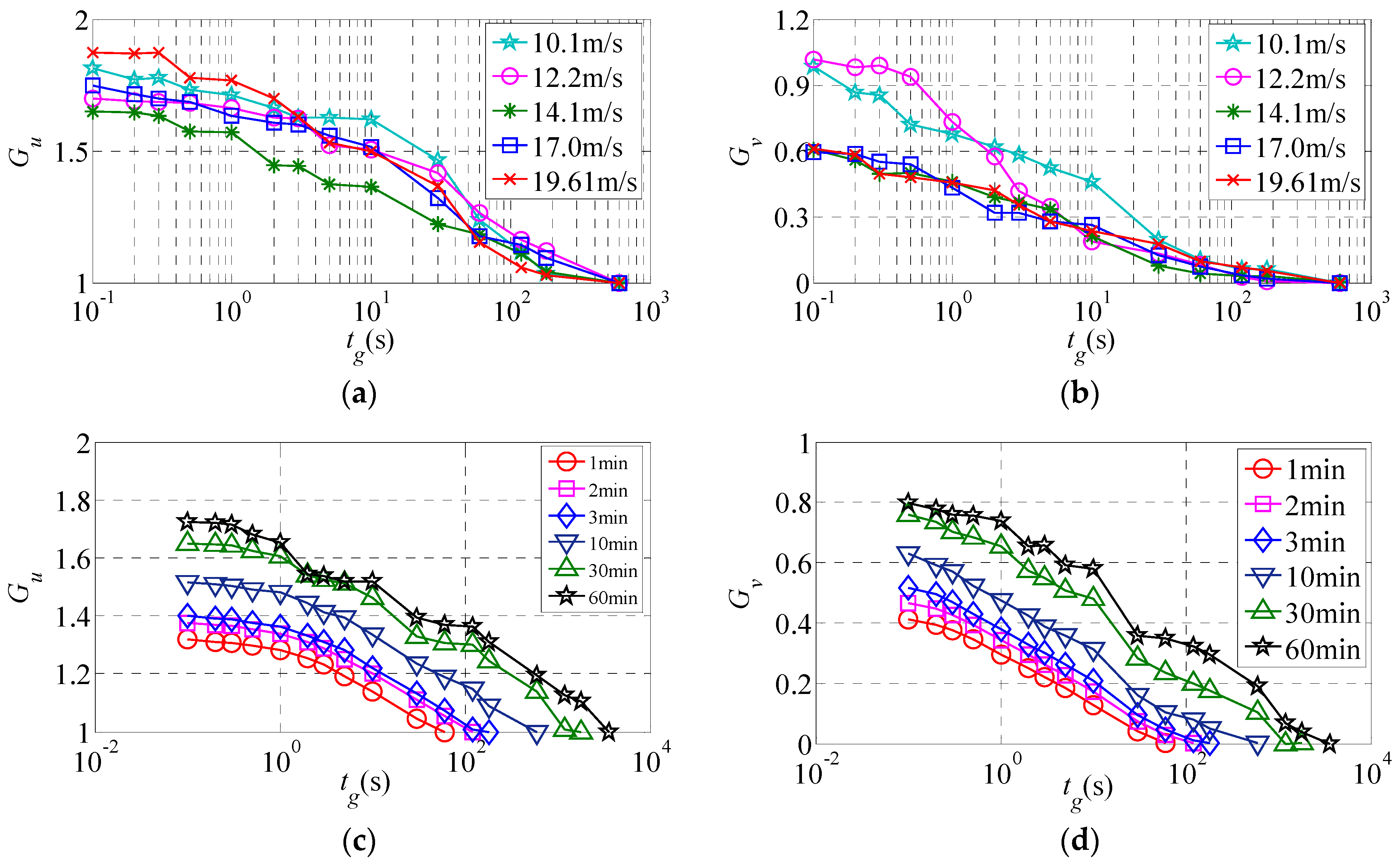
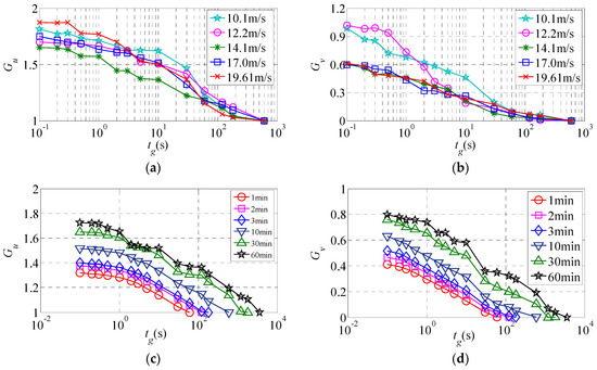
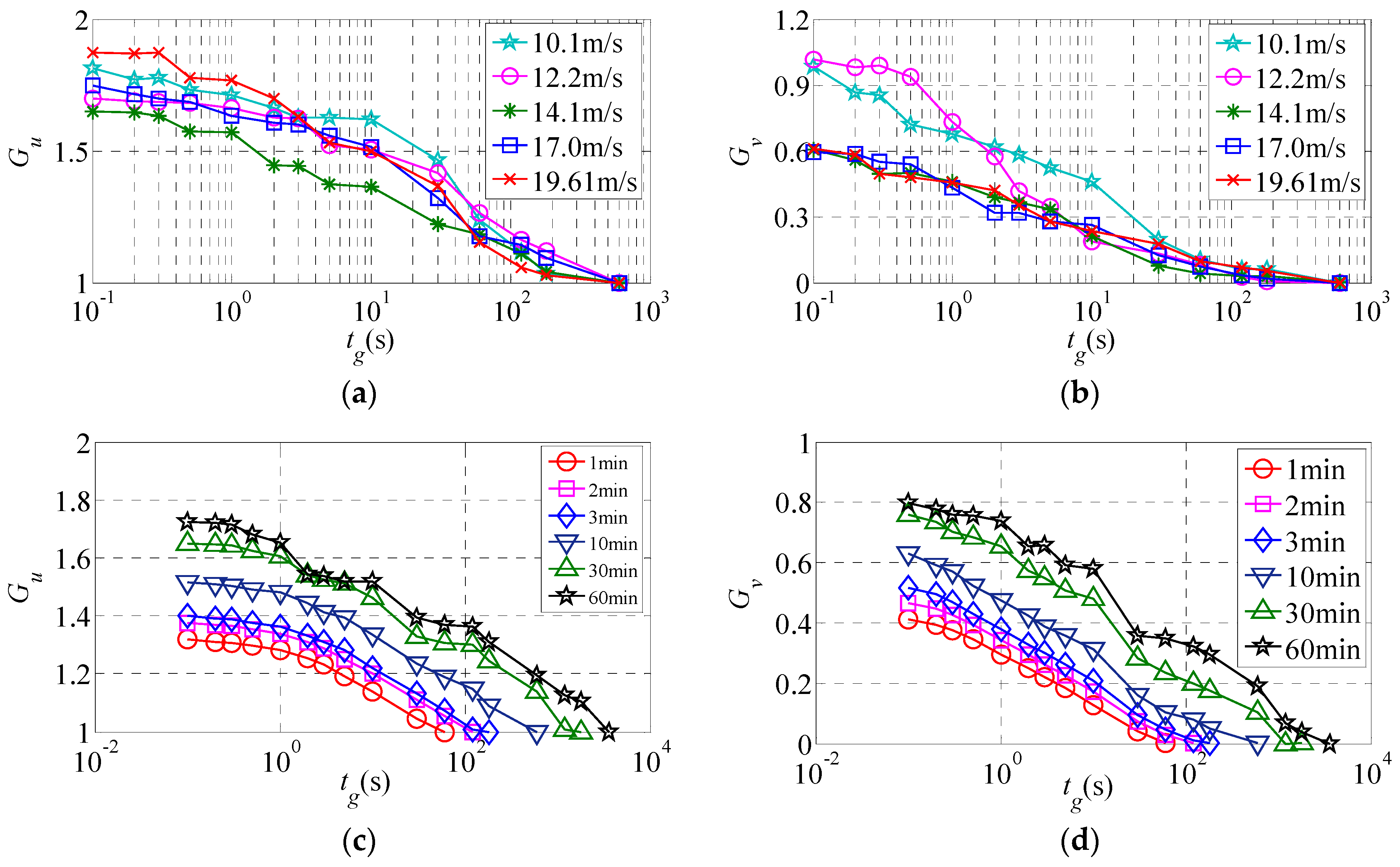
3.4. Gust Factor
3.5. Power Spectrum of Wind Speeds
3.6. Time-Frequency Analysis of Non-Stationary Samples of Fluctuating Wind Speed
3.7. The Measured Probability Density Characteristics of Typhoon Sarika
4. Conclusions
- (1)
- Turbulence intensity decreases with the increasing wind speed and remains slight changes under high wind speed, and the ratios between longitudinal and lateral turbulence intensities are basically within the range of 1.0~2.0. The measured longitudinal and lateral turbulence integral scales increase with the increasing mean wind speed and S.D of fluctuating wind. The ratio of the turbulence scale between the turbulence components : increases with the increasing mean wind speed and the increasing rate of longitudinal turbulence integral scales is more significant than that of lateral turbulence integral scales.
- (2)
- The gust factor is related to turbulence intensity, sample duration, and gust duration; the gust factor increases as turbulence intensity increases; and the findings show that the relationship between turbulence intensity and gust factor is approximate to linear. The gust factor increases with the rise of sample duration, while it decreases with the increasing gust averaging time.
- (3)
- The Von Karman-type spectrum has a slightly higher prediction of the longitudinal power spectrum of wind speeds when the dimensionless frequency is in the range of 10−2~10−1. Moreover, the measured longitudinal power spectrum of wind speed decays faster than the lateral power spectrum, and the Von Karman-type spectrum has a slightly higher prediction of the longitudinal power spectrum of wind speeds when the dimensionless frequency is in the range of 10−1~101.
- (4)
- The time-frequency analysis of non-stationary samples of fluctuating wind speed are conducted by wavelet transform, which shows that the amplitude of wavelet coefficients fluctuates greatly in time-domain coordinates, indicating that the higher the wind speed, the larger the amplitude of wavelet coefficients in time-domain.
Author Contributions
Funding
Data Availability Statement
Conflicts of Interest
References
- Li, Q.; Li, X.; He, Y.; Yi, J. Observation of wind fields over different terrains and wind effects on a super-tall building during a severe typhoon and verification of wind tunnel predictions. J. Wind Eng. Ind. Aerodyn. 2017, 162, 73–84. [Google Scholar] [CrossRef]
- Yi, J.; Li, Q.S. Wind tunnel and full-scale study of wind effects on a super-tall building. J. Fluids Struct. 2015, 58, 236–253. [Google Scholar] [CrossRef]
- Li, Q.S.; Zhi, L.H.; Yi, J.; Xie, J. Monitoring of typhoon effects on a super-tall building in Hong Kong. Struct. Control. Health Monit. 2014, 21, 926–949. [Google Scholar] [CrossRef]
- Li, Q.; Zhi, L.-H.; Tuan, A.Y.; Kao, C.-S.; Su, S.-C.; Wu, C.-F. Dynamic Behavior of Taipei 101 Tower: Field Measurement and Numerical Analysis. J. Struct. Eng. 2011, 137, 143–155. [Google Scholar] [CrossRef] [Green Version]
- Xu, Y.; Zhan, S. Field measurements of Di Wang Tower during typhoon york. J. Wind Eng. Ind. Aerodyn. 2001, 89, 73–93. [Google Scholar] [CrossRef]
- Li, L.; Xiao, Y.; Kareem, A.; Song, L.; Qin, P. Modeling typhoon wind power spectra near sea surface based on measurements in the South China sea. J. Wind Eng. Ind. Aerodyn. 2012, 104, 565–576. [Google Scholar] [CrossRef]
- Cao, S.; Tamura, Y.; Kikuchi, N.; Saito, M.; Nakayama, I.; Matsuzaki, Y. A case study of gust factor of a strong typhoon. J. Wind Eng. Ind. Aerodyn. 2015, 138, 52–60. [Google Scholar] [CrossRef]
- He, J.Y.; Li, Q.S.; Chan, P.W. Reduced gust factor for extreme tropical cyclone winds over ocean. J. Wind Eng. Ind. Aerodyn. 2020, 208, 104445. [Google Scholar] [CrossRef]
- Fang, G.; Zhao, L.; Cao, S.; Ge, Y.; Li, K. Gust characteristics of near-ground typhoon winds. J. Wind Eng. Ind. Aerodyn. 2019, 188, 323–337. [Google Scholar] [CrossRef]
- Lin, L.; Chen, K.; Xia, D.; Wang, H.; Hu, H.; He, F. Analysis on the wind characteristics under typhoon climate at the southeast coast of China. J. Wind Eng. Ind. Aerodyn. 2018, 182, 37–48. [Google Scholar] [CrossRef]
- Li, X.; Yu, X.; Li, Q.S.; Allsop, A. Field measurement and validation of structural dynamic parameters of skyscrapers under super typhoon excitatio. J. Civ. Struct. Health Monit. 2021, 11, 609–627. [Google Scholar] [CrossRef]
- Li, Z.; Hu, J.; Zhao, Z.; Wang, C. Dynamic system identification of a high-rise building during Typhoon Kalmaegi. J. Wind Eng. Ind. Aerodyn. 2018, 181, 141–160. [Google Scholar] [CrossRef]
- Ministry of Urban Rural Development of the People’s Republic of China. Chinese Code GB 50009-2012—Load Code for the Design of Building Structures; China Architecture & Building Press: Beijing, China, 2012. [Google Scholar]
- Ishizaki, H. Wind profiles, turbulence intensities and gust factors for design in typhoon-prone regions. J. Wind Eng. Ind. Aerodyn. 1983, 13, 55–66. [Google Scholar] [CrossRef]
- Tamura, Y.; Shimada, K.; Hibi, K. Wind response of a tower (Typhoon observation at the Nagasaki Huis Ten Bosch Domtoren). J. Wind Eng. Ind. Aerodyn. 1993, 50, 309–318. [Google Scholar] [CrossRef]
















| Time Steps | Stationary Samples | Non-Stationary Samples | The Ratio of Non-Stationary Samples |
|---|---|---|---|
| 30 s | 198 | 22 | 10.00% |
| 20 s | 190 | 30 | 13.64% |
| 10 s | 172 | 48 | 21.82% |
| 3 s | 113 | 107 | 51.36% |
Publisher’s Note: MDPI stays neutral with regard to jurisdictional claims in published maps and institutional affiliations. |
© 2021 by the authors. Licensee MDPI, Basel, Switzerland. This article is an open access article distributed under the terms and conditions of the Creative Commons Attribution (CC BY) license (https://creativecommons.org/licenses/by/4.0/).
Share and Cite
Hu, J.; Li, Z.; Zhao, Z. Full-Scale Measurements of Wind Characteristics on a High-Rise Building during Typhoon Sarika. Appl. Sci. 2022, 12, 324. https://doi.org/10.3390/app12010324
Hu J, Li Z, Zhao Z. Full-Scale Measurements of Wind Characteristics on a High-Rise Building during Typhoon Sarika. Applied Sciences. 2022; 12(1):324. https://doi.org/10.3390/app12010324
Chicago/Turabian StyleHu, Jiaxing, Zhengnong Li, and Zhefei Zhao. 2022. "Full-Scale Measurements of Wind Characteristics on a High-Rise Building during Typhoon Sarika" Applied Sciences 12, no. 1: 324. https://doi.org/10.3390/app12010324
APA StyleHu, J., Li, Z., & Zhao, Z. (2022). Full-Scale Measurements of Wind Characteristics on a High-Rise Building during Typhoon Sarika. Applied Sciences, 12(1), 324. https://doi.org/10.3390/app12010324
