A Portable Intuitive Haptic Device on a Desk for User-Friendly Teleoperation of a Cable-Driven Parallel Robot
Abstract
1. Introduction
2. Kinematics, Dynamics, and Control of the Haptic CDPR
2.1. Kinematic and Wrench Force of the CDPR
2.2. Admittance Control
3. Design and Fabrication of the Haptic CDPR
3.1. Hardware Design
3.2. Embedded Controller
3.3. Teleoperation Scheme
4. Experimental Setup and Results
4.1. Experimental Setup
4.2. Validation of the Position Control
4.3. Validation of the Admittance Control
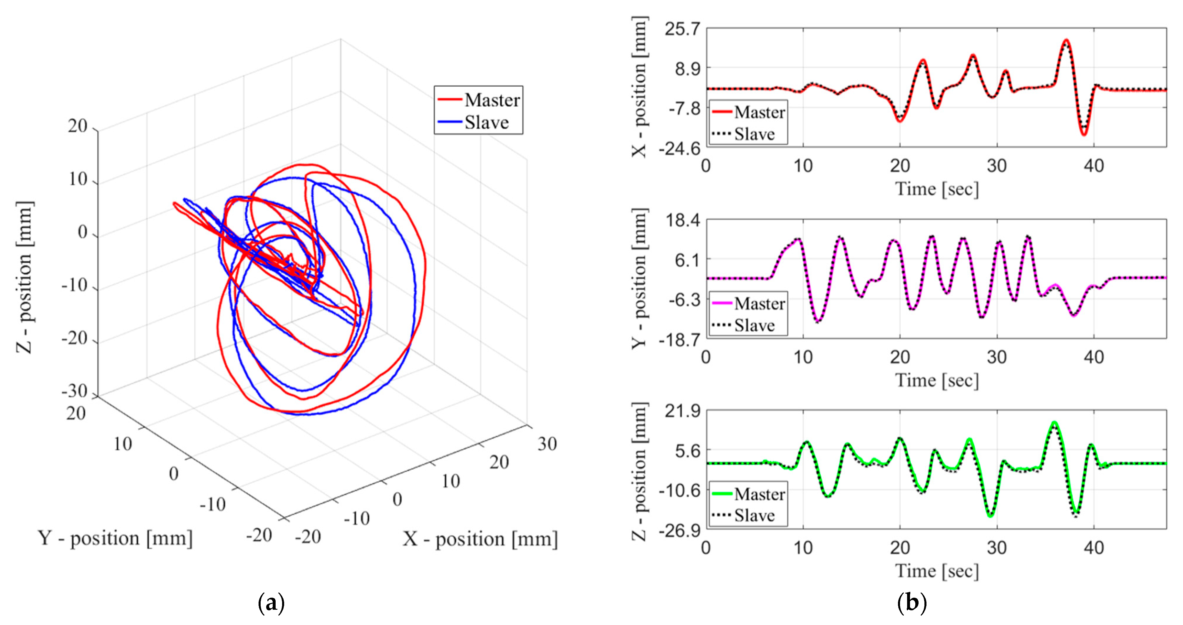
4.4. Evaluation of the Proposed Teleoperation System
5. Conclusions and Future Works
Author Contributions
Funding
Institutional Review Board Statement
Informed Consent Statement
Data Availability Statement
Conflicts of Interest
References
- Tang, X. An overview of the development for cable-driven parallel manipulator. Adv. Mech. Eng. 2014, 2014, 823028. [Google Scholar] [CrossRef]
- Dallej, T.; Gouttefarde, M.; Andreff, N.; Hervé, P.E.; Martinet, P. Modeling and vision-based control of large-dimension cable-driven parallel robots using a multiple-camera setup. Mechatronics 2019, 61, 20–36. [Google Scholar] [CrossRef]
- Jin, X.J.; Jung, J.; Ko, S.Y.; Choi, E.; Park, J.O.; Kim, C.S. Geometric parameter calibration for a cable-driven parallel robot based on a single one-dimensional laser distance sensor measurement and experimental modeling. Sensors 2018, 18, 2392. [Google Scholar] [CrossRef]
- Piao, J.; Jin, X.; Jung, J.; Choi, E.; Park, J.O.; Kim, C.S. Open-loop position control of a polymer cable–driven parallel robot via a viscoelastic cable model for high payload workspaces. Adv. Mech. Eng. 2017, 9. [Google Scholar] [CrossRef]
- Yuan, H.; You, X.; Zhang, Y.; Zhang, W.; Xu, W. A novel calibration algorithm for cable-driven parallel robots with application to rehabilitation. Appl. Sci. 2019, 9, 2182. [Google Scholar] [CrossRef]
- Boschetti, G.; Carbone, G.; Passarini, C. Cable failure operation strategy for a rehabilitation Cable-Driven Robot. Robotics 2019, 8, 17. [Google Scholar] [CrossRef]
- Chen, Q.; Zi, B.; Sun, Z.; Li, Y.; Xu, Q. Design and development of a new cable-driven parallel robot for waist rehabilitation. IEEE/ASME Trans. Mechatronics 2020, 24, 1497–1507. [Google Scholar] [CrossRef]
- Izard, J.-B.; Dubor, A.; Hervé, P.-E.; Cabay, E.; Culla, D.; Rodriguez, M.; Barrado, M. Large-scale 3D printing with cable-driven parallel robots. Constr. Robot. 2017, 1, 69–76. [Google Scholar] [CrossRef]
- Qian, S.; Bao, K.; Zi, B.; Wang, N. Kinematic calibration of a cable-driven parallel robot for 3D printing. Sensors 2018, 18, 2898. [Google Scholar] [CrossRef]
- Barnett, E.; Gosselin, C. Large-scale 3D printing with a cable-suspended robot. Addit. Manuf. 2015, 7, 27–44. [Google Scholar] [CrossRef]
- Kim, M.C.; Kim, E.S.; Park, J.O.; Choi, E.; Kim, C.S. Robotic localization based on planar cable robot and hall sensor array applied to magnetic capsule endoscope. Sensors 2020, 20, 5728. [Google Scholar] [CrossRef]
- Yang, K.; Yang, G.; Zhang, C.; Chen, C.; Zheng, T.; Cui, Y.; Chen, T. Cable tension analysis oriented the enhanced stiffness of a 3-DOF joint module of a modular cable-driven human-like robotic arm. Appl. Sci. 2020, 10, 8871. [Google Scholar] [CrossRef]
- Wang, T.; Pan, B.; Fu, Y.; Wang, S.; Ai, Y. Design of a new haptic device and experiments in minimally invasive surgical robot. Comput. Assist. Surg. 2017, 22, 240–250. [Google Scholar] [CrossRef]
- Kourrosh, Z.; Yaser, M.; Canaan, N.; Nariman, S.; Sutherland, G.R. Performance evaluation of haptic hand-controllers in a robot-assisted surgical system. Int. J. Med. Robot. Comput. Assist. Surg. 2015, 11, 486–501. [Google Scholar] [CrossRef]
- Wang, F.; Qian, Z.; Lin, Y.; Zhang, W. Design and Rapid Construction of a Cost-Effective Virtual Haptic Device. IEEE/ASME Trans. Mechatronics 2020, 26, 66–77. [Google Scholar] [CrossRef]
- Kim, M.; Jeon, C.; Kim, J. A Study on Immersion and Presence of a Portable Hand Haptic System for Immersive Virtual Reality. Sensors 2017, 17, 1141. [Google Scholar] [CrossRef]
- Kobayashi, F.; Ikai, G.; Fukui, W.; Kojima, F. Two-Fingered Haptic Device for Robot Hand Teleoperation. J. Robot. 2011, 2011, 1–8. [Google Scholar] [CrossRef]
- Park, J.; Khatib, O. A haptic teleoperation approach based on contact force control. Int. J. Rob. Res. 2006, 25, 575–591. [Google Scholar] [CrossRef]
- Choi, H.; Piao, J.; Kim, E.S.; Jung, J.; Choi, E.; Park, J.O.; Kim, C.S. Intuitive Bilateral Teleoperation of a Cable-driven Parallel Robot Controlled by a Cable-driven Parallel Robot. Int. J. Control. Autom. Syst. 2020, 18, 1792–1805. [Google Scholar] [CrossRef]
- Bayani, H.; Masouleh, M.T.; Kalhor, A. An experimental study on the vision-based control and identification of planar cable-driven parallel robots. Rob. Auton. Syst. 2016, 75, 187–202. [Google Scholar] [CrossRef]
- Vu, M.H.; Na, U.J. A new 6-DOF haptic device for teleoperation of 6-DOF serial robots. IEEE Trans. Instrum. Meas. 2011, 60, 3510–3523. [Google Scholar] [CrossRef]
- Vulliez, M.; Zeghloul, S.; Khatib, O. Design strategy and issues of the Delthaptic, a new 6-DOF parallel haptic device. Mech. Mach. Theory 2018, 128, 395–411. [Google Scholar] [CrossRef]
- Lambert, P.; Da Cruz, L.; Bergeles, C. Design, Modeling, and Implementation of a 7-DOF Cable-Driven Haptic Device with a Configurable Cable Platform. IEEE Robot. Autom. Lett. 2020, 5, 5764–5771. [Google Scholar] [CrossRef]
- Arata, J.; Kondo, H.; Ikedo, N.; Fujimoto, H. Haptic device using a newly developed redundant parallel mechanism. IEEE Trans. Robot. 2011, 27, 201–214. [Google Scholar] [CrossRef]
- Yang Ho, W.; Kraus, W.; Mangold, A.; Pott, A. Haptic Interaction with a Cable-Driven Parallel Robot Using Admittance Control. In Mechanisms and Machine Science; Springer: Berlin/Heidelberg, Germany, 2015; Volume 32, pp. 201–212. ISBN 9783319094885. [Google Scholar]
- He, G.; Fan, Y.; Su, T.; Zhao, L.; Zhao, Q. Variable Impedance Control of Cable Actuated Continuum Manipulators. Int. J. Control. Autom. Syst. 2020, 18, 1839–1852. [Google Scholar] [CrossRef]
- Shen, Z.; Zhuang, Y.; Zhou, J.; Gao, J.; Song, R. Design and Test of Admittance Control with Inner Adaptive Robust Position Control for a Lower Limb Rehabilitation Robot. Int. J. Control. Autom. Syst. 2020, 18, 134–142. [Google Scholar] [CrossRef]
- Campeau-Lecours, A.; Otis, M.J.D.; Gosselin, C. Modeling of physical human-robot interaction: Admittance controllers applied to intelligent assist devices with large payload. Int. J. Adv. Robot. Syst. 2016, 13, 1–12. [Google Scholar] [CrossRef]
- Bascetta, L.; Ferretti, G.; Magnani, G.; Rocco, P. Walk-through programming for robotic manipulators based on admittance control. Robotica 2013, 31, 1143–1153. [Google Scholar] [CrossRef]
- Pott, A.; Bruckmann, T.; Mikelsons, L. Closed-form force distribution for parallel wire robots. In Computational Kinematics; Springer: Berlin/Heidelberg, Germany, 2009; pp. 25–34. [Google Scholar]











| Objective | Specification |
|---|---|
| DOF | 6 DOF |
| Robot Size | 240 × 240 × 240 mm |
| Workspace | 120 × 120 × 120 mm |
| External Force | 10 N |
| Velocity | 0.1 m/s |
| Angle of force measurement | 90° |
| Cable No. | ||
|---|---|---|
| 1 | [−110, −80, 72.5] | [−20.5, −24.5, −27.5] |
| 2 | [80, −110, 72.5] | [20.5, −24.5, −27.5] |
| 3 | [110, 80, 72.5] | [20.5, 24.5, −27.5] |
| 4 | [−80, 110, 72.5] | [−20.5, 24.5, −27.5] |
| 5 | [−80, −110, −72.5] | [−20.5, 24.5, 27.5] |
| 6 | [110, −80, −72.5] | [20.5, −24.5, 27.5] |
| 7 | [80, 110, −72.5] | [20.5, 24.5, 27.5] |
| 8 | [−110, 80, −72.5] | [−20.5, 24.5, 27.5] |
| Parameter | Mean (mm) | SD (mm) | RMS (mm) |
|---|---|---|---|
| X axis | −0.4253 | 2.2046 | 2.2446 |
| Y axis | −0.7673 | 0.9058 | 1.1869 |
| Z axis | 0.6157 | 0.4005 | 0.7344 |
| Magnitude | 1.0718 | 2.4169 | 2.6432 |
| Parameter | Mean (mm) | SD (mm) | RMS (mm) |
|---|---|---|---|
| axis | 0.2191 | 0.7625 | 0.7933 |
| axis | 0.0284 | 0.4276 | 0.4285 |
| axis | −0.5852 | 0.9966 | 1.1556 |
| Magnitude | 0.6255 | 1.3257 | 1.4657 |
Publisher’s Note: MDPI stays neutral with regard to jurisdictional claims in published maps and institutional affiliations. |
© 2021 by the authors. Licensee MDPI, Basel, Switzerland. This article is an open access article distributed under the terms and conditions of the Creative Commons Attribution (CC BY) license (https://creativecommons.org/licenses/by/4.0/).
Share and Cite
Park, J.-H.; Kim, M.-C.; Böhl, R.; Gommel, S.A.; Kim, E.-S.; Choi, E.; Park, J.-O.; Kim, C.-S. A Portable Intuitive Haptic Device on a Desk for User-Friendly Teleoperation of a Cable-Driven Parallel Robot. Appl. Sci. 2021, 11, 3823. https://doi.org/10.3390/app11093823
Park J-H, Kim M-C, Böhl R, Gommel SA, Kim E-S, Choi E, Park J-O, Kim C-S. A Portable Intuitive Haptic Device on a Desk for User-Friendly Teleoperation of a Cable-Driven Parallel Robot. Applied Sciences. 2021; 11(9):3823. https://doi.org/10.3390/app11093823
Chicago/Turabian StylePark, Jae-Hyun, Min-Cheol Kim, Ralf Böhl, Sebastian Alexander Gommel, Eui-Sun Kim, Eunpyo Choi, Jong-Oh Park, and Chang-Sei Kim. 2021. "A Portable Intuitive Haptic Device on a Desk for User-Friendly Teleoperation of a Cable-Driven Parallel Robot" Applied Sciences 11, no. 9: 3823. https://doi.org/10.3390/app11093823
APA StylePark, J.-H., Kim, M.-C., Böhl, R., Gommel, S. A., Kim, E.-S., Choi, E., Park, J.-O., & Kim, C.-S. (2021). A Portable Intuitive Haptic Device on a Desk for User-Friendly Teleoperation of a Cable-Driven Parallel Robot. Applied Sciences, 11(9), 3823. https://doi.org/10.3390/app11093823

