Buckling Analysis of CNTRC Curved Sandwich Nanobeams in Thermal Environment
Abstract
1. Introduction
2. Theoretical Formulation
2.1. Geometric and Mechanical Properties
- UD (Uniformly-Distributed) CNTRC multilayered nanobeam:
- FG-O CNTRC multilayered nanobeam:
- FG-X CNTRC multilayered nanobeam:
2.2. Kinematic Field
2.3. Constitutive Equations
3. Equilibrium Governing Equations
3.1. Classical Formulation of Curved Sandwich Beams
3.2. Nonlocal Strain Gradient Approach
3.3. Temperature Field
4. Analytical Solution
- For SS beam
- For CC beam
- For CS beam
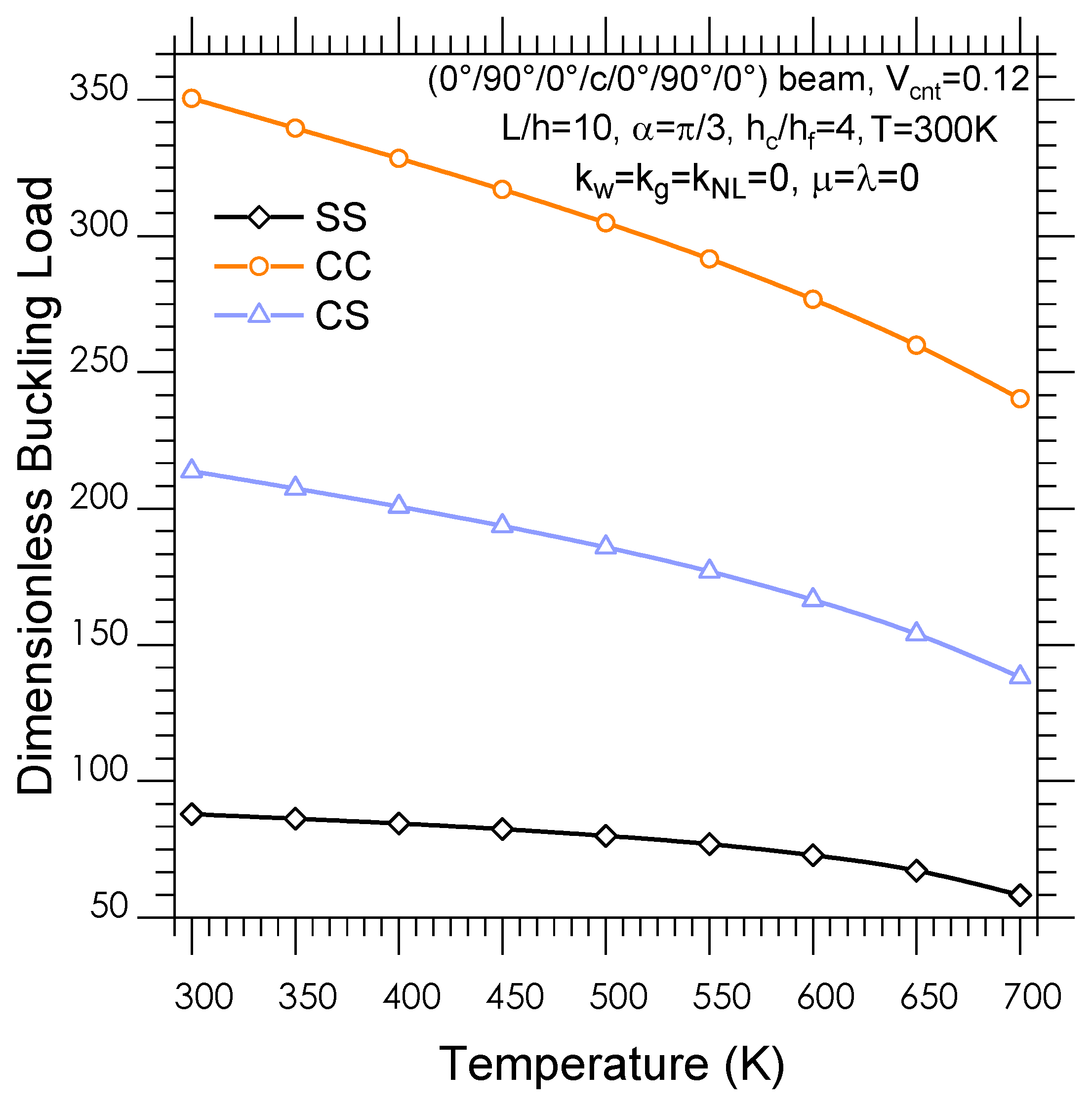
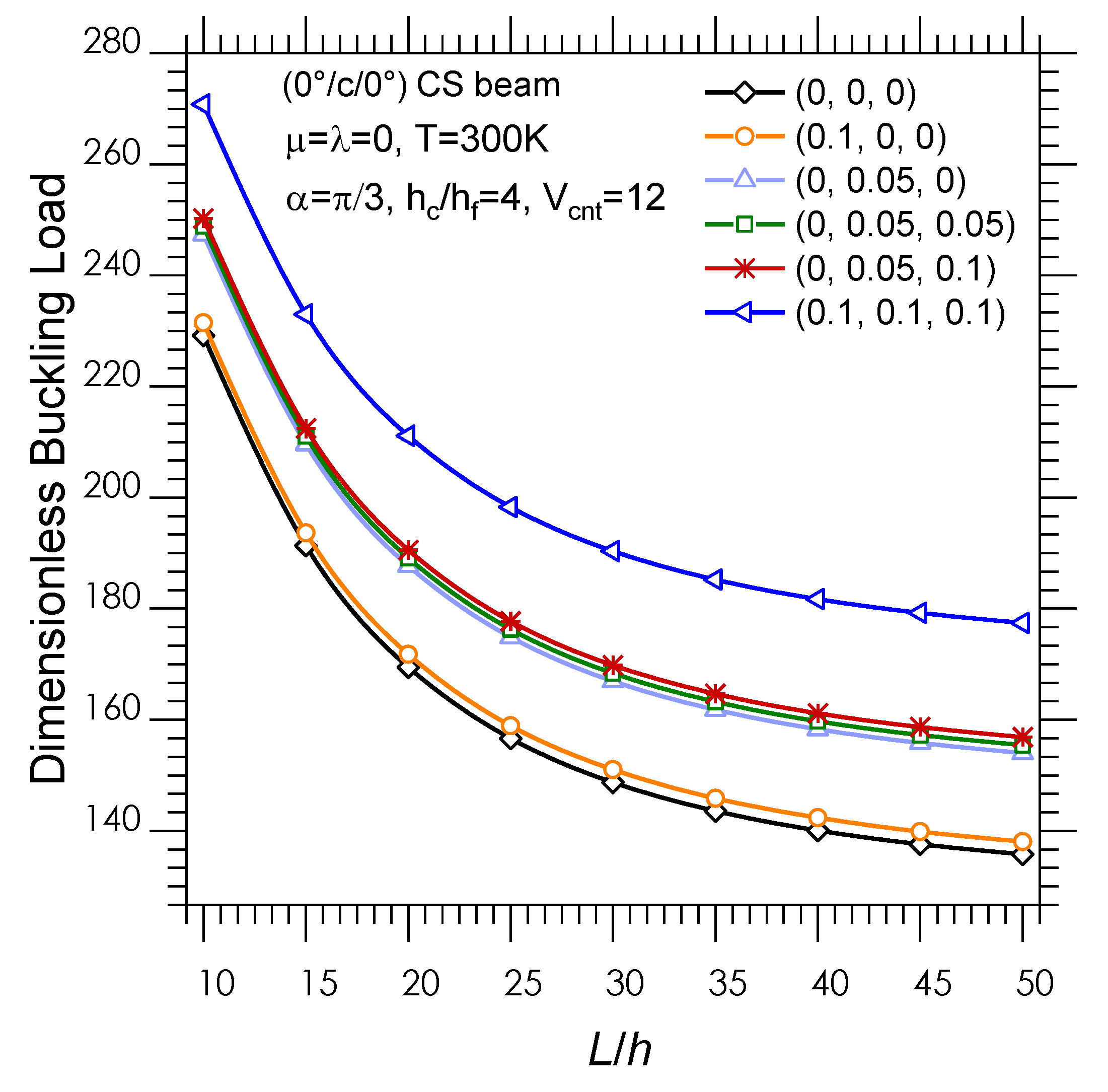
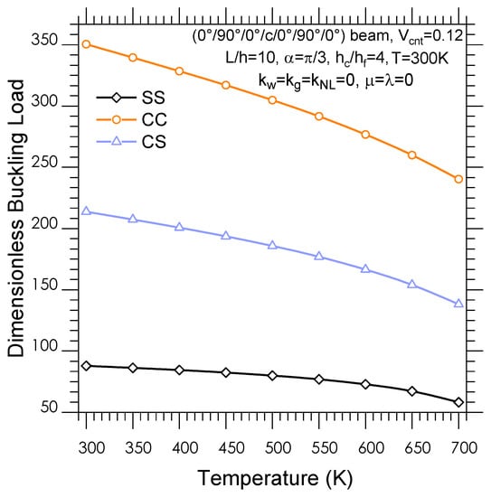
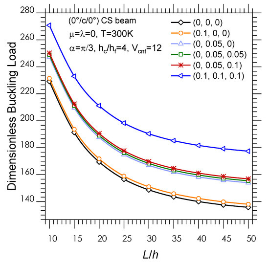
5. Results and Discussion
5.1. Comparison Study
5.2. Parametric Study
6. Conclusions
Author Contributions
Funding
Conflicts of Interest
References
- Griebel, M.; Hamaekers, J. Molecular dynamics simulations of the elastic moduli of polymer–carbon nanotube composites. Comput. Methods Appl. Mech. Eng. 2004, 193, 1773–1788. [Google Scholar] [CrossRef]
- Han, Y.; Elliott, J. Molecular dynamics simulations of the elastic properties of polymer/carbon nanotube composites. Comput. Mater. Sci. 2007, 39, 315–323. [Google Scholar] [CrossRef]
- Fidelus, J.; Wiesel, E.; Gojny, F.; Schulte, K.; Wagner, H. Thermo-mechanical properties of randomly oriented carbon/epoxy nanocomposites. Compos. Part A Appl. Sci. Manuf. 2005, 36, 1555–1561. [Google Scholar] [CrossRef]
- Shen, H.-S. Nonlinear bending of functionally graded carbon nanotube-reinforced composite plates in thermal environments. Compos. Struct. 2009, 91, 9–19. [Google Scholar] [CrossRef]
- Lim, C.; Zhang, G.; Reddy, J. A higher-order nonlocal elasticity and strain gradient theory and its applications in wave propagation. J. Mech. Phys. Solids 2015, 78, 298–313. [Google Scholar] [CrossRef]
- Wu, H.; Kitipornchai, S.; Yang, J. Free Vibration and Buckling Analysis of Sandwich Beams with Functionally Graded Carbon Nanotube-Reinforced Composite Face Sheets. Int. J. Struct. Stab. Dyn. 2015, 15, 1540011. [Google Scholar] [CrossRef]
- Eltaher, M.; Khater, M.; Park, S.; Abdel-Rahman, E.; Yavuz, M. On the static stability of nonlocal nanobeams using higher-order beam theories. Adv. Nano Res. 2016, 4, 51–64. [Google Scholar] [CrossRef]
- Ebrahimi, F.; Farazmandnia, N. Vibration analysis of functionally graded carbon nanotube-reinforced composite sandwich beams in thermal environment. Adv. Aircr. Spacecr. Sci. 2018, 5, 107. [Google Scholar] [CrossRef]
- Sobhy, M.; Zenkour, A.M. Magnetic field effect on thermomechanical buckling and vibration of viscoelastic sandwich nanobeams with CNT reinforced face sheets on a viscoelastic substrate. Compos. Part B Eng. 2018, 154, 492–506. [Google Scholar] [CrossRef]
- Daikh, A.A.; Megueni, A. Thermal buckling analysis of functionally graded sandwich plates. J. Therm. Stress. 2018, 41, 139–159. [Google Scholar] [CrossRef]
- Arefi, M.; Arani, A.H.S. Higher order shear deformation bending results of a magnetoelectrothermoelastic functionally graded nanobeam in thermal, mechanical, electrical, and magnetic environments. Mech. Based Des. Struct. Mach. 2018, 46, 669–692. [Google Scholar] [CrossRef]
- Bekhadda, A.; Cheikh, A.; Bensaid, I.; Hadjoui, A.; Daikh, A.A. A novel first order refined shear-deformation beam theory for vibration and buckling analysis of continuously graded beams. Adv. Aircr. Spacecr. Sci. 2019, 6, 189–206. [Google Scholar] [CrossRef]
- Medani, M.; Benahmed, A.; Zidour, M.; Heireche, H.; Tounsi, A.; Bousahla, A.A.; Tounsi, A.; Mahmoud, S.R. Static and dynamic behavior of (FG-CNT) reinforced porous sandwich plate using energy principle. Steel Compos. Struct. 2019, 32, 595–610. [Google Scholar] [CrossRef]
- Arani, A.G.; Pourjamshidian, M.; Arefi, M.; Arani, M.R. Thermal, electrical and mechanical buckling loads of sandwich nano-beams made of FG-CNTRC resting on Pasternak’s foundation based on higher order shear deformation theory. Struct. Eng. Mech. 2019, 69, 439–455. [Google Scholar] [CrossRef]
- Nejati, M.; Ghasemi-Ghalebahman, A.; Soltanimaleki, A.; Dimitri, R.; Tornabene, F. Thermal vibration analysis of SMA hybrid composite double curved sandwich panels. Compos. Struct. 2019, 224, 111035. [Google Scholar] [CrossRef]
- Chaht, F.L.; Kaci, A.; Houari, M.S.A.; Tounsi, A.; Beg, O.A.; Mahmoud, S. Bending and buckling analyses of functionally graded material (FGM) size-dependent nanoscale beams including the thickness stretching effect. Steel Compos. Struct. 2015, 18, 425–442. [Google Scholar] [CrossRef]
- Ahouel, M.; Houari, M.S.A.; Bedia, E.A.; Tounsi, A. Size-dependent mechanical behavior of functionally graded trigonometric shear deformable nanobeams including neutral surface position concept. Steel Compos. Struct. 2016, 20, 963–981. [Google Scholar] [CrossRef]
- Bouafia, K.; Kaci, A.; Houari, M.S.A.; Benzair, A.; Tounsi, A. A nonlocal quasi-3D theory for bending and free flexural vibration behaviors of functionally graded nanobeams. Smart Struct. Syst. 2017, 19, 115–126. [Google Scholar] [CrossRef]
- She, G.-L.; Jiang, X.Y.; Karami, B. On thermal snap-buckling of FG curved nanobeams. Mater. Res. Express 2019, 6, 115008. [Google Scholar] [CrossRef]
- She, G.-L.; Yuan, F.-G.; Karami, B.; Ren, Y.-R.; Xiao, W.-S. On nonlinear bending behavior of FG porous curved nanotubes. Int. J. Eng. Sci. 2019, 135, 58–74. [Google Scholar] [CrossRef]
- Daikh, A.A.; Houari, M.S.A.; Tounsi, A. Buckling analysis of porous FGM sandwich nanoplates due to heat conduction via nonlocal strain gradient theory. Eng. Res. Express 2019, 1, 015022. [Google Scholar] [CrossRef]
- Daikh, A.A.; Bachiri, A.; Houari, M.S.A.; Tounsi, A. Size dependent free vibration and buckling of multilayered carbon nanotubes reinforced composite nanoplates in thermal environment. Mech. Based Des. Struct. Mach. 2020, 1–29, in press. [Google Scholar] [CrossRef]
- Daikh, A.A.; Drai, A.; Bensaid, I.; Houari, M.S.A.; Tounsi, A. On vibration of functionally graded sandwich nanoplates in the thermal environment. J. Sandw. Struct. Mater. 2020, 1–28, in press. [Google Scholar] [CrossRef]
- Daikh, A.A.; Guerroudj, M.; El Adjrami, M.; Megueni, A. Thermal Buckling of Functionally Graded Sandwich Beams. Adv. Mater. Res. 2019, 1156, 43–59. [Google Scholar] [CrossRef]
- Eltaher, M.; Mohamed, S.; Melaibari, A. Static stability of a unified composite beams under varying axial loads. Thin-Walled Struct. 2020, 147, 106488. [Google Scholar] [CrossRef]
- Hamed, M.A.; Abo-Bakr, R.M.; Mohamed, S.A.; Eltaher, M.A. Influence of axial load function and optimization on static stability of sandwich functionally graded beams with porous core. Eng. Comput. 2020, 36, 1929–1946. [Google Scholar] [CrossRef]
- Melaibari, A.; Abo-Bakr, R.M.; Mohamed, S.; Eltaher, M. Static stability of higher order functionally graded beam under variable axial load. Alex. Eng. J. 2020, 59, 1661–1675. [Google Scholar] [CrossRef]
- Zenkour, A.M.; Daikh, A.A. Bending of functionally graded sandwich nanoplates resting on Pasternak foundation under different boundary conditions. J. Appl. Comput. Mech. 2020, 6, 1245–1259. [Google Scholar] [CrossRef]
- Senturia, S.D. Microsystem Design; Springer Science & Business Media: Berlin, Germany, 2007. [Google Scholar]
- Emam, S.A.; Eltaher, M.A.; Khater, M.E.; Abdalla, W.S. Postbuckling and Free Vibration of Multilayer Imperfect Nanobeams under a Pre-Stress Load. Appl. Sci. 2018, 8, 2238. [Google Scholar] [CrossRef]
- Shi, D.-L.; Feng, X.-Q.; Huang, Y.Y.; Hwang, K.-C.; Gao, H. The Effect of Nanotube Waviness and Agglomeration on the Elastic Property of Carbon Nanotube-Reinforced Composites. J. Eng. Mater. Technol. 2004, 126, 250–257. [Google Scholar] [CrossRef]
- Khater, M.; Eltaher, M.; Abdel-Rahman, E.; Yavuz, M. Surface and thermal load effects on the buckling of curved nanowires. Eng. Sci. Technol. Int. J. 2014, 17, 279–283. [Google Scholar] [CrossRef][Green Version]
- Brischetto, S.; Tornabene, F. Advanced GDQ models and 3D stress recovery in multilayered plates, spherical and double-curved panels subjected to transverse shear loads. Compos. Part B Eng. 2018, 146, 244–269. [Google Scholar] [CrossRef]
- Tornabene, F.; Bacciocchi, M. Dynamic stability of doubly-curved multilayered shells subjected to arbitrarily oriented angular velocities: Numerical evaluation of the critical speed. Compos. Struct. 2018, 201, 1031–1055. [Google Scholar] [CrossRef]
- Tornabene, F. On the critical speed evaluation of arbitrarily oriented rotating doubly-curved shells made of functionally graded materials. Thin-Walled Struct. 2019, 140, 85–98. [Google Scholar] [CrossRef]
- Mohamed, N.; Eltaher, M.; Mohamed, S.; Seddek, L. Numerical analysis of nonlinear free and forced vibrations of buckled curved beams resting on nonlinear elastic foundations. Int. J. Non-Linear Mech. 2018, 101, 157–173. [Google Scholar] [CrossRef]
- Karami, B.; Janghorban, M.; Tounsi, A. Variational approach for wave dispersion in anisotropic doubly-curved nanoshells based on a new nonlocal strain gradient higher order shell theory. Thin-Walled Struct. 2018, 129, 251–264. [Google Scholar] [CrossRef]
- Arefi, M.; Pourjamshidian, M.; Arani, A.G. Free vibration analysis of a piezoelectric curved sandwich nano-beam with FG-CNTRCs face-sheets based on various high-order shear deformation and nonlocal elasticity theories. Eur. Phys. J. Plus 2018, 133, 193. [Google Scholar] [CrossRef]
- Arefi, M.; Bidgoli, E.M.-R.; Dimitri, R.; Tornabene, F.; Reddy, J.N. Size-Dependent Free Vibrations of FG Polymer Composite Curved Nanobeams Reinforced with Graphene Nanoplatelets Resting on Pasternak Foundations. Appl. Sci. 2019, 9, 1580. [Google Scholar] [CrossRef]
- Karami, B.; Janghorban, M.; Shahsavari, D.; Dimitri, R.; Tornabene, F. Nonlocal Buckling Analysis of Composite Curved Beams Reinforced with Functionally Graded Carbon Nanotubes. Molecules 2019, 24, 2750. [Google Scholar] [CrossRef]
- Karami, B.; Shahsavari, D.; Janghorban, M.; Li, L. Influence of homogenization schemes on vibration of functionally graded curved microbeams. Compos. Struct. 2019, 216, 67–79. [Google Scholar] [CrossRef]
- Arefi, M.; Bidgoli, E.M.-R.; Dimitri, R.; Bacciocchi, M.; Tornabene, F. Nonlocal bending analysis of curved nanobeams reinforced by graphene nanoplatelets. Compos. Part B Eng. 2019, 166, 1–12. [Google Scholar] [CrossRef]
- Eltaher, M.; Mohamed, N.; Mohamed, S.; Seddek, L. Periodic and nonperiodic modes of postbuckling and nonlinear vibration of beams attached to nonlinear foundations. Appl. Math. Model. 2019, 75, 414–445. [Google Scholar] [CrossRef]
- Malikan, M.; Nguyen, V.B.; Dimitri, R.; Tornabene, F. Dynamic modeling of non-cylindrical curved viscoelastic single-walled carbon nanotubes based on the second gradient theory. Mater. Res. Express 2019, 6, 075041. [Google Scholar] [CrossRef]
- Mohamed, N.; Eltaher, M.A.; Mohamed, S.A.; Seddek, L.F. Energy equivalent model in analysis of postbuckling of imperfect carbon nanotubes resting on nonlinear elastic foundation. Struct. Eng. Mech. 2019, 70, 737–750. [Google Scholar] [CrossRef]
- Van Tham, V.; Quoc, T.H.; Tu, T.M. Free Vibration Analysis of Laminated Functionally Graded Carbon Nanotube-Reinforced Composite Doubly Curved Shallow Shell Panels Using a New Four-Variable Refined Theory. J. Compos. Sci. 2019, 3, 104. [Google Scholar] [CrossRef]
- Dindarloo, M.H.; Li, L.; Dimitri, R.; Tornabene, F. Nonlocal Elasticity Response of Doubly-Curved Nanoshells. Symmetry 2020, 12, 466. [Google Scholar] [CrossRef]
- Eltaher, M.A.; Mohamed, N. Nonlinear stability and vibration of imperfect CNTs by Doublet mechanics. Appl. Math. Comput. 2020, 382, 125311. [Google Scholar] [CrossRef]
- Karami, B.; Shahsavari, D. On the forced resonant vibration analysis of functionally graded polymer composite doubly-curved nanoshells reinforced with graphene-nanoplatelets. Comput. Methods Appl. Mech. Eng. 2020, 359, 112767. [Google Scholar] [CrossRef]
- Karami, B.; Janghorban, M.; Tounsi, A. Novel study on functionally graded anisotropic doubly curved nanoshells. Eur. Phys. J. Plus 2020, 135, 103. [Google Scholar] [CrossRef]
- Mohamed, N.; Mohamed, S.A.; Eltaher, M.A. Buckling and post-buckling behaviors of higher order carbon nanotubes using energy-equivalent model. Eng. Comput. 2020, 1–14, in press. [Google Scholar] [CrossRef]
- Eringen, A.C. On differential equations of nonlocal elasticity and solutions of screw dislocation and surface waves. J. Appl. Phys. 1983, 54, 4703–4710. [Google Scholar] [CrossRef]
- Touloukian, Y.S. Thermophysical Properties of High Temperature Solid Materials; MacMillan: New York, NY, USA, 1967. [Google Scholar]









| η1 | η2 | η3 | |
|---|---|---|---|
| 0.12 | 0.137 | 1.022 | 0.715 |
| 0.17 | 0.142 | 1.626 | 1.138 |
| 0.28 | 0.141 | 1.585 | 1.109 |
| T[K] | ||||||
|---|---|---|---|---|---|---|
| 300 | 5.6466 | 7.0800 | 1.9445 | 0.175 | 3.4584 | 5.1682 |
| 400 | 5.5679 | 6.9814 | 1.9703 | 0.175 | 4.1496 | 5.0905 |
| 500 | 5.5308 | 6.9348 | 1.9643 | 0.175 | 4.5361 | 5.0189 |
| 700 | 5.4744 | 6.8641 | 1.9644 | 0.175 | 4.6677 | 4.8943 |
| 1000 | 5.2814 | 6.6220 | 1.9451 | 0.175 | 4.2800 | 4.7532 |
| P0 | P−1 | P1 | P2 | P3 | P4 | |
|---|---|---|---|---|---|---|
| 6.5653 | 0 | −8.9437 × 10−4 | 1.9182 × 10−6 | −1.8198 × 10−9 | 6.0043 × 10−13 | |
| 8.2271 | 0 | −8.9024 × 10−4 | 1.9066 × 10−6 | −1.8063 × 10−9 | 5.9486 × 10−13 | |
| 1.1056 | 0 | 5.6727 × 10−3 | −1.4815 × 10−5 | 1.6402 × 10−8 | −6.5007 × 10−12 | |
| −1.1279 | 0 | −2.0340 × 10−2 | 2.5672 × 10−5 | −1.0186 × 10−8 | 5.9455 × 10−14 | |
| 5.4359 | 0 | −1.7906 × 10−4 | 4.6367 × 10−8 | 1.2424 × 10−11 | −5.3290 × 10−14 | |
| 0.175 | 0 | 0 | 0 | 0 | 0 |
| L/h | CC | SS | ||||||
|---|---|---|---|---|---|---|---|---|
| UD | 10 | Wu [6] | 0.0254 | 0.0296 | 0.0373 | 0.0070 | 0.0082 | 0.0107 |
| Present | 0.0271 | 0.0319 | 0.0413 | 0.0071 | 0.0084 | 0.0110 | ||
| Present | 0.0267 | 0.0316 | 0.0410 | 0.0066 | 0.0080 | 0.0106 | ||
| 20 | Wu [6] | 0.0070 | 0.0082 | 0.0107 | 0.0018 | 0.0021 | 0.0028 | |
| Present | 0.0071 | 0.0084 | 0.0110 | 0.0018 | 0.0021 | 0.0028 | ||
| Present | 0.0069 | 0.0082 | 0.0108 | 0.0017 | 0.0020 | 0.0027 | ||
| 30 | Wu [6] | 0.0031 | 0.0037 | 0.0049 | 0.0008 | 0.0009 | 0.0012 | |
| Present | 0.0032 | 0.0038 | 0.0049 | 0.0008 | 0.0009 | 0.0012 | ||
| Present | 0.0031 | 0.0037 | 0.0049 | 0.0007 | 0.0008 | 0.0012 | ||
| FG | 10 | Wu [6] | 0.0261 | 0.0305 | 0.0387 | 0.0072 | 0.0085 | 0.0111 |
| Present | 0.0271 | 0.0319 | 0.0413 | 0.0071 | 0.0084 | 0.0110 | ||
| Present | 0.0267 | 0.0316 | 0.0410 | 0.0066 | 0.0079 | 0.0106 | ||
| 20 | Wu [6] | 0.0072 | 0.0085 | 0.0111 | 0.0018 | 0.0022 | 0.0029 | |
| Present | 0.0071 | 0.0084 | 0.0110 | 0.0018 | 0.0021 | 0.0028 | ||
| Present | 0.0069 | 0.0082 | 0.0108 | 0.0017 | 0.0020 | 0.0027 | ||
| 30 | Wu [6] | 0.0032 | 0.0039 | 0.0051 | 0.0008 | 0.0010 | 0.0013 | |
| Present | 0.0032 | 0.0038 | 0.0049 | 0.0008 | 0.0010 | 0.0012 | ||
| Present | 0.0031 | 0.0037 | 0.0049 | 0.0007 | 0.0009 | 0.0012 | ||
| L/h | |||||||
|---|---|---|---|---|---|---|---|
| UD | 5 | 73.7930 | 73.4424 | 120.6917 | 120.1610 | 146.3642 | 145.5590 |
| 10 | 49.0266 | 49.0250 | 77.6401 | 77.6399 | 101.4712 | 101.4484 | |
| 20 | 21.9451 | 21.9242 | 33.2103 | 33.1708 | 48.7346 | 48.7136 | |
| 30 | 11.4565 | 11.4369 | 17.0329 | 16.9992 | 26.2191 | 26.1931 | |
| FG-X | 5 | 79.5433 | 79.1094 | 128.5687 | 127.9463 | 149.0114 | 148.3479 |
| 10 | 57.1285 | 57.1134 | 90.5184 | 90.5055 | 111.0156 | 110.9778 | |
| 20 | 28.9721 | 28.9611 | 44.1395 | 44.1160 | 61.6479 | 61.6372 | |
| 30 | 15.9804 | 15.9653 | 23.8972 | 23.8700 | 35.6810 | 35.6608 | |
| FG-O | 5 | 58.0980 | 57.9593 | 96.1446 | 95.9410 | 128.1600 | 127.5412 |
| 10 | 33.6793 | 33.6650 | 52.7577 | 52.7221 | 75.9965 | 75.9952 | |
| 20 | 12.7261 | 12.6870 | 18.9830 | 18.9144 | 29.3401 | 29.2905 | |
| 30 | 6.2518 | 6.2261 | 9.1882 | 9.1452 | 14.5124 | 14.4755 | |
| α | SS | CC | CS | |||||||
|---|---|---|---|---|---|---|---|---|---|---|
| UD | π/4 | 74.6585 | 100.3288 | 139.9486 | 339.9366 | 442.8754 | 611.3111 | 212.5558 | 278.2913 | 381.2890 |
| π/3 | 41.9954 | 56.4350 | 78.7211 | 257.7059 | 343.7374 | 492.5488 | 149.4863 | 199.1205 | 281.3863 | |
| π/2 | 18.6646 | 25.0822 | 34.9871 | 198.9635 | 272.9172 | 407.7090 | 104.4352 | 142.5681 | 210.0248 | |
| 2π/3 | 10.4989 | 14.1087 | 19.6803 | 178.3950 | 248.1198 | 378.0018 | 88.6652 | 122.7722 | 185.0451 | |
| FG-X | π/4 | 74.8276 | 100.6190 | 140.6169 | 340.6800 | 444.0969 | 613.9162 | 213.0218 | 279.0764 | 383.0227 |
| π/3 | 42.0905 | 56.5982 | 79.0970 | 258.1393 | 344.4732 | 494.1862 | 149.7553 | 199.5840 | 282.4389 | |
| π/2 | 18.7069 | 25.1548 | 35.1542 | 199.1755 | 273.3061 | 408.6553 | 104.5634 | 142.8020 | 210.5910 | |
| 2π/3 | 10.5226 | 14.1496 | 19.7743 | 178.5296 | 248.3875 | 378.7063 | 88.7442 | 122.9258 | 185.4411 | |
| FG-O | π/4 | 74.5146 | 100.1307 | 139.7518 | 339.3283 | 442.1373 | 610.8484 | 212.1712 | 277.8003 | 380.9295 |
| π/3 | 41.9144 | 56.3235 | 78.6104 | 257.3788 | 343.3707 | 492.4602 | 149.2768 | 198.8661 | 281.2614 | |
| π/2 | 18.6286 | 25.0327 | 34.9379 | 198.8371 | 272.8157 | 407.8875 | 104.3507 | 142.4828 | 210.0675 | |
| 2π/3 | 10.4786 | 14.0809 | 19.6526 | 178.3388 | 248.1110 | 378.2735 | 88.6244 | 122.7461 | 185.1463 | |
| hc/hf | ||||||||||
|---|---|---|---|---|---|---|---|---|---|---|
| μ | T = 300 K | T = 500 K | T = 700 K | |||||||
| λ | 4 | 6 | 8 | 4 | 6 | 8 | 4 | 6 | 8 | |
| 0 | 0 | 81.8686 | 73.5399 | 66.3319 | 61.1267 | 56.6032 | 52.3027 | 19.0516 | 18.8260 | 18.5363 |
| 1 | 83.8886 | 75.3545 | 67.9686 | 62.6350 | 57.9999 | 53.5932 | 19.5217 | 19.2906 | 18.9937 | |
| 2 | 85.9086 | 77.1690 | 69.6053 | 64.1432 | 59.3965 | 54.8837 | 19.9918 | 19.7551 | 19.4511 | |
| 3 | 87.9287 | 78.9835 | 71.2419 | 65.6515 | 60.7931 | 56.1743 | 20.4618 | 20.2196 | 19.9084 | |
| 1 | 0 | 79.8972 | 71.7691 | 64.7347 | 59.6548 | 55.2402 | 51.0433 | 18.5928 | 18.3727 | 18.0900 |
| 1 | 81.8686 | 73.5399 | 66.3319 | 61.1267 | 56.6032 | 52.3027 | 19.0516 | 18.8260 | 18.5363 | |
| 2 | 83.8400 | 75.3108 | 67.9292 | 62.5987 | 57.9662 | 53.5622 | 19.5104 | 19.2794 | 18.9827 | |
| 3 | 85.8114 | 77.0816 | 69.5265 | 64.0706 | 59.3292 | 54.8216 | 19.9691 | 19.7327 | 19.4290 | |
| 2 | 0 | 78.0185 | 70.0816 | 63.2125 | 58.2521 | 53.9413 | 49.8431 | 18.1557 | 17.9407 | 17.6646 |
| 1 | 79.9436 | 71.8107 | 64.7722 | 59.6894 | 55.2723 | 51.0729 | 18.6036 | 18.3834 | 18.1005 | |
| 2 | 81.8686 | 73.5399 | 66.3319 | 61.1267 | 56.6032 | 52.3027 | 19.0516 | 18.8260 | 18.5363 | |
| 3 | 83.7936 | 75.2691 | 67.8916 | 62.5640 | 57.9342 | 53.5325 | 19.4996 | 19.2687 | 18.9722 | |
| 3 | 0 | 76.2262 | 68.4715 | 61.7603 | 56.9139 | 52.7021 | 48.6980 | 17.7386 | 17.5285 | 17.2588 |
| 1 | 78.1070 | 70.1610 | 63.2842 | 58.3181 | 54.0025 | 49.8996 | 18.1762 | 17.9610 | 17.6847 | |
| 2 | 79.9878 | 71.8505 | 64.8081 | 59.7224 | 55.3029 | 51.1011 | 18.6139 | 18.3935 | 18.1105 | |
| 3 | 81.8686 | 73.5399 | 66.3319 | 61.1267 | 56.6032 | 52.3027 | 19.0516 | 18.8260 | 18.5363 | |
| Kw | Kg | Knl | SS | CC | CS | ||||||
|---|---|---|---|---|---|---|---|---|---|---|---|
| UD | FG-X | FG-O | UD | FG-X | FG-O | UD | FG-X | FG-O | |||
| 0 | 0 | 0 | 59.3208 | 59.9622 | 58.6879 | 406.4881 | 408.7038 | 404.3375 | 229.0790 | 230.5969 | 227.5994 |
| 0.05 | 60.7067 | 61.3482 | 60.0738 | 410.5303 | 412.7460 | 408.3797 | 230.5082 | 232.0261 | 229.0286 | ||
| 0.1 | 62.0926 | 62.7341 | 61.4597 | 414.5725 | 416.7882 | 412.4220 | 231.9374 | 233.4554 | 230.4578 | ||
| 0.05 | 0 | 77.5586 | 78.2001 | 76.9257 | 424.7259 | 426.9416 | 422.5753 | 247.3168 | 248.8347 | 245.8372 | |
| 0.05 | 78.9446 | 79.5860 | 78.3117 | 428.7681 | 430.9838 | 426.6175 | 248.7460 | 250.2640 | 247.2664 | ||
| 0.1 | 80.3305 | 80.9719 | 79.6976 | 432.8103 | 435.0261 | 430.6598 | 250.1752 | 251.6932 | 248.6957 | ||
| 0.1 | 0 | 95.7965 | 96.4379 | 95.1636 | 442.9637 | 445.1794 | 440.8131 | 265.5546 | 267.0725 | 264.0750 | |
| 0.05 | 97.1824 | 97.8238 | 96.5495 | 447.0059 | 449.2216 | 444.8554 | 266.9838 | 268.5018 | 265.5042 | ||
| 0.1 | 98.5683 | 99.2097 | 97.9354 | 451.0482 | 453.2639 | 448.8976 | 268.4130 | 269.9310 | 266.9335 | ||
| 0.05 | 0 | 0 | 61.1687 | 61.8101 | 60.5358 | 407.8740 | 410.0897 | 405.7234 | 230.2339 | 231.7518 | 228.7543 |
| 0.05 | 62.5546 | 63.1960 | 61.9217 | 411.9162 | 414.1319 | 409.7656 | 231.6631 | 233.1811 | 230.1835 | ||
| 0.1 | 63.9405 | 64.5819 | 63.3076 | 415.9584 | 418.1742 | 413.8079 | 233.0923 | 234.6103 | 231.6128 | ||
| 0.05 | 0 | 79.4065 | 80.0479 | 78.7736 | 426.1118 | 428.3275 | 423.9612 | 248.4717 | 249.9897 | 246.9921 | |
| 0.05 | 80.7924 | 81.4338 | 80.1595 | 430.1540 | 432.3697 | 428.0034 | 249.9009 | 251.4189 | 248.4214 | ||
| 0.1 | 82.1783 | 82.8197 | 81.5454 | 434.1962 | 436.4120 | 432.0457 | 251.3301 | 252.8481 | 249.8506 | ||
| 0.1 | 0 | 97.6443 | 98.2857 | 97.0114 | 444.3496 | 446.5653 | 442.1990 | 266.7095 | 268.2275 | 265.2300 | |
| 0.05 | 99.0302 | 99.6717 | 98.3973 | 448.3918 | 450.6076 | 446.2413 | 268.1387 | 269.6567 | 266.6592 | ||
| 0.1 | 100.4162 | 101.0576 | 99.7833 | 452.4341 | 454.6498 | 450.2835 | 269.5680 | 271.0859 | 268.0884 | ||
| 0.1 | 0 | 0 | 63.0166 | 63.6580 | 62.3837 | 409.2599 | 411.4756 | 407.1093 | 231.3888 | 232.9068 | 229.9092 |
| 0.05 | 64.4025 | 65.0439 | 63.7696 | 413.3021 | 415.5178 | 411.1515 | 232.8180 | 234.3360 | 231.3385 | ||
| 0.1 | 65.7884 | 66.4298 | 65.1555 | 417.3443 | 419.5601 | 415.1938 | 234.2473 | 235.7652 | 232.7677 | ||
| 0.05 | 0 | 81.2544 | 81.8958 | 80.6215 | 427.4977 | 429.7134 | 425.3471 | 249.6266 | 251.1446 | 248.1471 | |
| 0.05 | 82.6403 | 83.2817 | 82.0074 | 431.5399 | 433.7556 | 429.3894 | 251.0559 | 252.5738 | 249.5763 | ||
| 0.1 | 84.0262 | 84.6676 | 83.3933 | 435.5822 | 437.7979 | 433.4316 | 252.4851 | 254.0030 | 251.0055 | ||
| 0.1 | 0 | 99.4922 | 100.1336 | 98.8593 | 445.7355 | 447.9512 | 443.5849 | 267.8645 | 269.3824 | 266.3849 | |
| 0.05 | 100.8781 | 101.5195 | 100.2452 | 449.7777 | 451.9935 | 447.6272 | 269.2937 | 270.8116 | 267.8141 | ||
| 0.1 | 102.2640 | 102.9054 | 101.6311 | 453.8200 | 456.0357 | 451.6694 | 270.7229 | 272.2408 | 269.2433 | ||
Publisher’s Note: MDPI stays neutral with regard to jurisdictional claims in published maps and institutional affiliations. |
© 2021 by the authors. Licensee MDPI, Basel, Switzerland. This article is an open access article distributed under the terms and conditions of the Creative Commons Attribution (CC BY) license (https://creativecommons.org/licenses/by/4.0/).
Share and Cite
Daikh, A.A.; Houari, M.S.A.; Karami, B.; Eltaher, M.A.; Dimitri, R.; Tornabene, F. Buckling Analysis of CNTRC Curved Sandwich Nanobeams in Thermal Environment. Appl. Sci. 2021, 11, 3250. https://doi.org/10.3390/app11073250
Daikh AA, Houari MSA, Karami B, Eltaher MA, Dimitri R, Tornabene F. Buckling Analysis of CNTRC Curved Sandwich Nanobeams in Thermal Environment. Applied Sciences. 2021; 11(7):3250. https://doi.org/10.3390/app11073250
Chicago/Turabian StyleDaikh, Ahmed Amine, Mohammed Sid Ahmed Houari, Behrouz Karami, Mohamed A. Eltaher, Rossana Dimitri, and Francesco Tornabene. 2021. "Buckling Analysis of CNTRC Curved Sandwich Nanobeams in Thermal Environment" Applied Sciences 11, no. 7: 3250. https://doi.org/10.3390/app11073250
APA StyleDaikh, A. A., Houari, M. S. A., Karami, B., Eltaher, M. A., Dimitri, R., & Tornabene, F. (2021). Buckling Analysis of CNTRC Curved Sandwich Nanobeams in Thermal Environment. Applied Sciences, 11(7), 3250. https://doi.org/10.3390/app11073250

