Different Approaches for Incorporating Bioaccessibility of Inorganics in Human Health Risk Assessment of Contaminated Soils
Abstract
1. Introduction
2. Materials and Methods
2.1. Soil Characterization
2.2. Bioaccessible Concentration
2.3. Quality Control
2.4. Risk Assessment
3. Results and Discussion
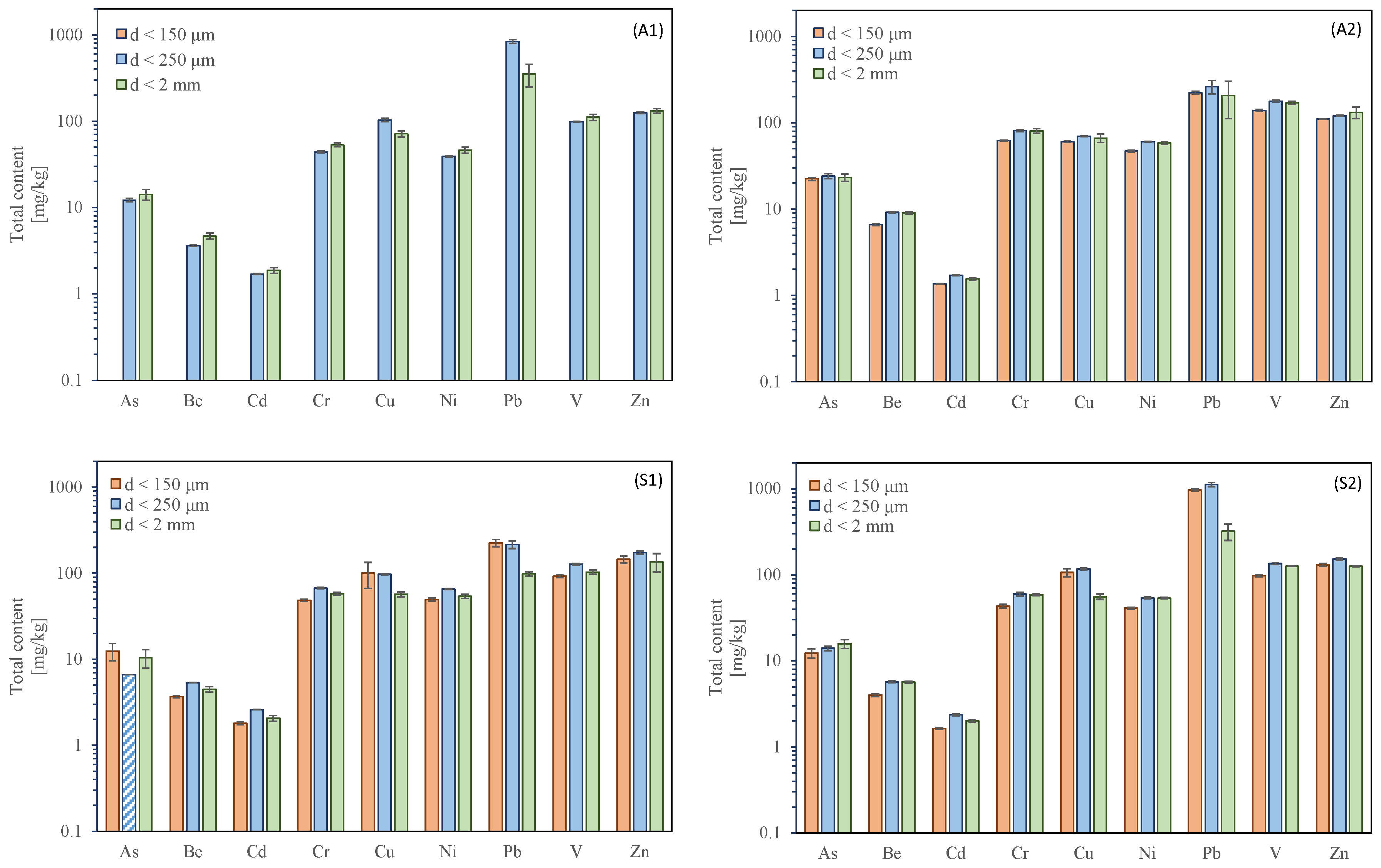
3.1. Soil Characterization
3.2. Quality Control
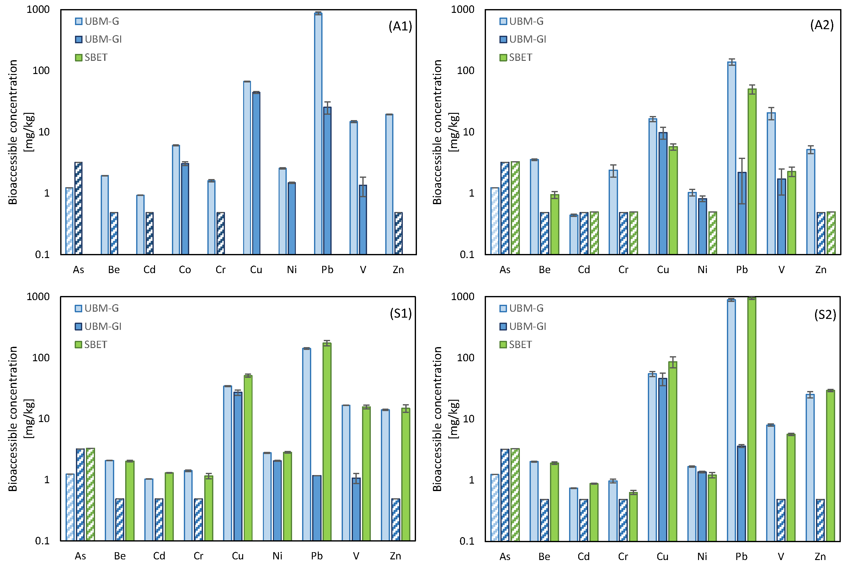
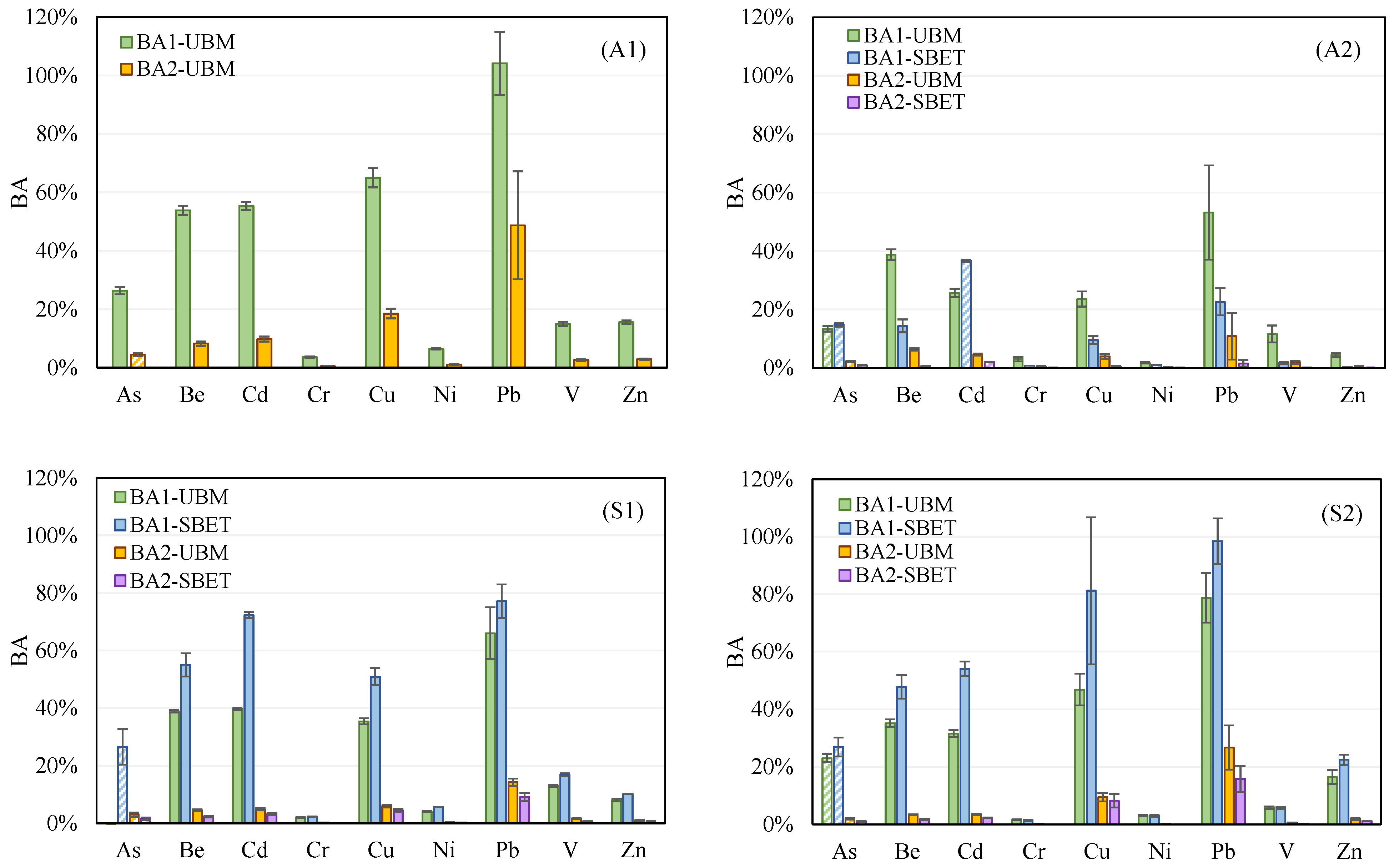
3.3. Bioaccessible Concentration
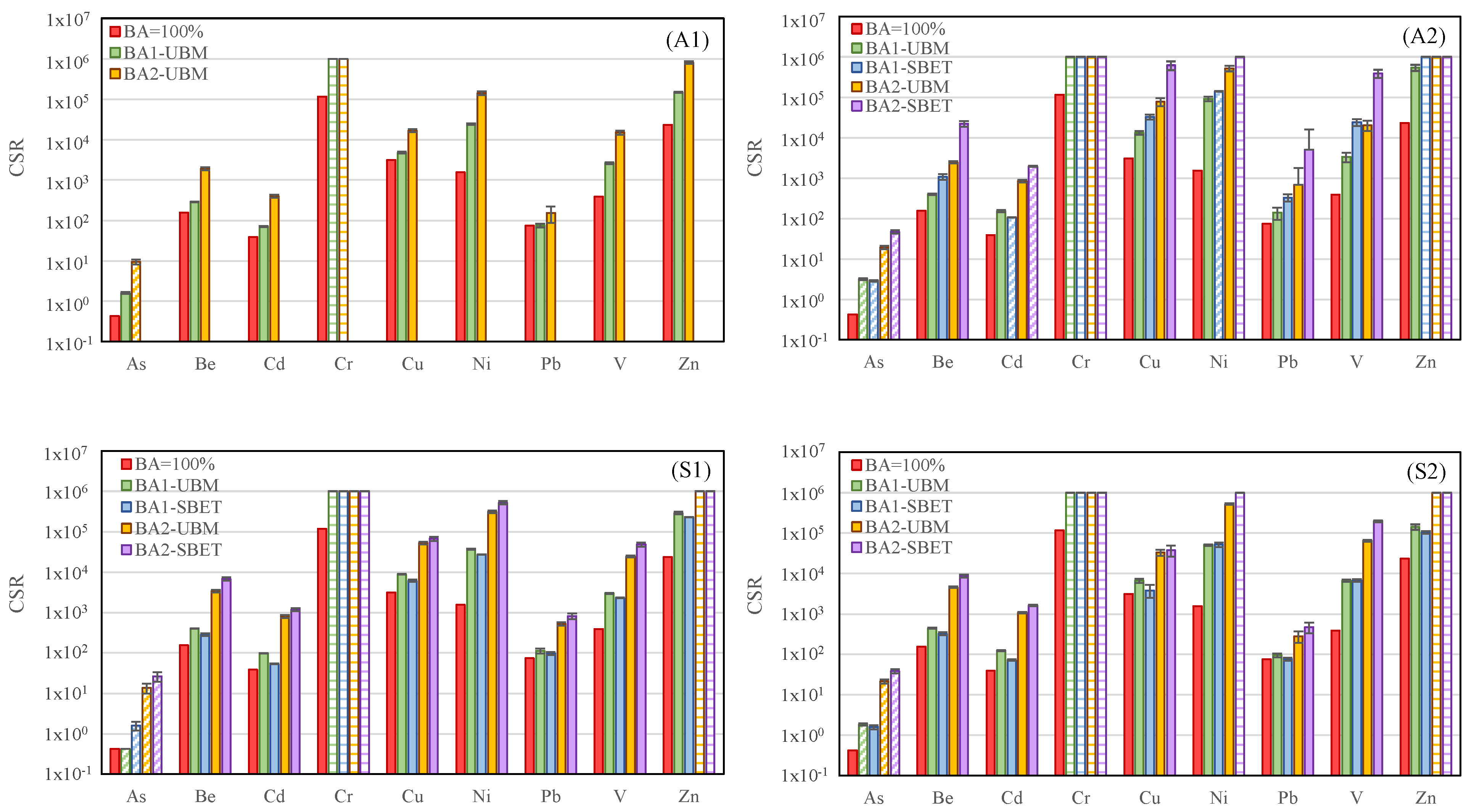
3.4. Implication for the Contaminated Site Management
4. Conclusions
Supplementary Materials
Author Contributions
Funding
Institutional Review Board Statement
Informed Consent Statement
Data Availability Statement
Conflicts of Interest
References
- Swartjes, F.A. Risk-Based Assessment of Soil and Groundwater Quality in the Netherlands: Standards and Remediation Urgency. Risk Anal. 1999, 19, 1235–1249. [Google Scholar] [CrossRef] [PubMed]
- Li, H.B.; Li, M.Y.; Zhao, D.; Li, J.; Li, S.M.; Xiang, P.; Juhasz, A.L.; Ma, L.Q. Arsenic, lead, and cadmium bioaccessibility in contaminated soils: Measurements and validations. Crit. Rev. Environ. Sci. Technol. 2020, 50, 1303–1338. [Google Scholar] [CrossRef]
- Ruby, M.V.; Davis, A.; Schoof, R.; Eberle, S.; Sellstone, C.M. Estimation of lead and arsenic bioavailability using a physiologically based extraction test. Environ. Sci. Technol. 1996, 30, 422–430. [Google Scholar] [CrossRef]
- Denys, S.; Tack, K.; Caboche, J.; Delalain, P. Bioaccessibility, solid phase distribution, and speciation of Sb in soil sand in digestive fluids. Chemosphere 2008, 74, 711–716. [Google Scholar] [CrossRef]
- Oomen, A.G.; Hack, A.; Minekus, M.; Zeijdner, E.; Cornelis, C.; Schoeters, G.; Verstraete, W.; Van de Wiele, T.; Wragg, J.; Rompelberg, C.J.M.; et al. Comparison of five in vitro digestion models to study the bioaccessibility of soil contaminants. Environ. Sci. Technol. 2002, 36, 3326–3334. [Google Scholar] [CrossRef] [PubMed]
- ISO 17924:2018. In Soil Quality—Assessment of Human Exposure from Ingestion of Soil and Soil Material—Procedure for the Estimation of the Human Bioaccessibility/Bioavailability of Metals in Soil; ISO: Genève, Switzerland, 2018.
- E1739-95 ASTM. In Standard Guide for Risk Based Corrective Action Applied at Petroleum Release Sites; ASTM International: West Conshohocken, PA, USA, 2015.
- E2081-00 ASTM. In Standard Guide for Risk Based Corrective Action; ASTM International: West Conshohocken, PA, USA, 2015.
- Ruby, M.V.; Fehling, K.A.; Paustenbach, D.J.; Landenberger, B.D.; Holsapple, M.P. Oral Bioaccessibility of Dioxins/Furans at Low Concentrations (50–350 ppt Toxicity Equivalent) in Soil. Environ. Sci. Technol. 2002, 36, 4905–4911. [Google Scholar] [CrossRef]
- Ruby, M.V.; Davis, A.; Link, T.E.; Schoof, R.; Chaney, R.L.; Freeman, G.B.; Bergstrom, P. Development of an in vitro screening test to evaluate the in vivo bioaccessibility of ingested mine-waste lead. Environ. Sci. Technol. 1993, 27, 2870–2877. [Google Scholar] [CrossRef]
- Ruby, M.V.; Schoof, R.; Brattin, W.; Goldade, M.; Post, G.; Harnois, M.; Mosby, D.E.; Casteel, S.W.; Berti, W.; Carpenter, M.; et al. Advances in evaluating the oral bioavailability of inorganics in soil for use in human health risk assessment. Environ. Sci. Technol. 1999, 33, 3697–3705. [Google Scholar] [CrossRef]
- Davis, A.; Ruby, M.V.; Goad, P.; Eberle, S.; Chryssoulis, S. Mass balance on surface-bound mineralogic, and total lead concentrations as related to industrial aggregate bioaccessibility. Environ. Sci. Technol. 1997, 31, 37–44. [Google Scholar] [CrossRef]
- Casteel, S.W.; Cowart, R.P.; Weis, C.P.; Henningsen, G.M.; Hoffman, E.; Brattin, W.J.; Guzman, R.E.; Starost, M.F.; Payne, J.T.; Stockham, S.L.; et al. Bioavailability of lead to juvenile swine dosed with soil from the Smuggler Mountain NPL Site of Aspen, Colorado. Toxicol. Sci. 1997, 36, 177–187. [Google Scholar] [CrossRef]
- Freeman, G.B.; Johnson, J.D.; Killinger, J.M.; Liao, S.C.; Feder, P.I.; Davis, A.O.; Ruby, M.V.; Chaney, R.L.; Lovre, S.C.; Bergstrom, P.D. Relative bioavailability of lead from mining waste soil in rats. Fundam. Appl. Toxicol. 1992, 19, 388–398. [Google Scholar] [CrossRef]
- Wragg, J.; Cave, M.R. In-Vitro Methods for the Measurement of the Oral Bioaccessibility of Selected Metals and Metalloids in Soils: A Critical Review; Environment Agency: Bristol, UK, 2003. [Google Scholar]
- Medlin, E.A. An in vitro method for estimating the relative bioavailability of lead in humans. Master’s Thesis, Department of Geological Sciences, University of Colorado at Boulder, Boulder, CO, USA, 1997. [Google Scholar]
- U.S. EPA. Standard Operating Procedure for an In Vitro Bioaccessibility Assay for Lead and Arsenic in Soil; OLEM 9200.2-164; U.S. EPA: Washington, DC, USA, 2017.
- Rodriguez, R.R.; Basta, N.T. An in vitro gastrointestinal method to estimate bioavailable arsenic in contaminated soils and solid media. Environ. Sci. Technol. 1999, 33, 642–649. [Google Scholar] [CrossRef]
- DIN E 19738. In Deutsches Institut fur Normung e.V. Soil Quality—Absorption Availability of Organic and Inorganic Pollutants from Contaminated Soil Material; 2000; Available online: https://www.techstreet.com/standards/din-19738?product_id=1982137#document (accessed on 22 March 2021).
- Oomen, A.G.; Rompelberg, C.J.M.; Bruil, M.A.; Dobbe, C.J.G.; Pereboom, D.P.K.H.; Sips, A.J.A.M. Development of an In Vitro Digestion Model for Estimating the Bioaccessibility of Soil Contaminants. Arch. Environ. Contam. Toxicol. 2003, 44, 281–287. [Google Scholar] [CrossRef]
- Juhasz, A.L.; Weber, J.; Smith, E.; Naidu, R.; Rees, M.; Rofe, A.; Kuchel, T.; Sansom, L. Assessment of four commonly employed in vitro arsenic bioaccessibility assays for predicting in vivo relative arsenic bioavailability in contaminated soils. Environ. Sci. Technol. 2009, 43, 9487–9494. [Google Scholar] [CrossRef]
- Denys, S.; Caboche, J.; Tack, K.; Rychen, G.; Wragg, J.; Cave, M.; Jondreville, C.; Feidt, C. In vivo validation of the unified BARGE method to assess the bioaccessibility of arsenic, antimony, cadmium, and lead in soils. Environ. Sci. Technol. 2012, 46, 6252–6260. [Google Scholar] [CrossRef]
- Wragg, J.; Cave, M.; Basta, N.; Brandon, E.; Casteel, S.; Denys, S.; Gron, C.; Oomen, A.; Reimer, K.; Tack, K.; et al. An inter-laboratory trial of the unified BARGE bioaccessibility method for arsenic, cadmium and lead in soil. Sci. Total Environ. 2011, 409, 4016–4030. [Google Scholar] [CrossRef]
- Drexler, J.W.; Brattin, W.J. An in vitro procedure for estimation of lead relative bioavailability: With validation. Hum. Ecol. Risk Assess. 2007, 13, 383–401. [Google Scholar] [CrossRef]
- USEPA. Validation Assessment of In Vitro Lead Bioaccessibility Assay for Predicting Relative Bioavailability of Lead in Soils and Soil-Like Materials at Superfund Sites; OSWER 9200; U.S. Environmental Protection Agency: Washington, DC, USA, 2009.
- Izquierdo, M.; De Miguel, E.; Ortega, M.F.; Mingot, J. Bioaccessibility of metals and human health risk assessment in community urban gardens. Chemosphere 2015, 135, 312–318. [Google Scholar] [CrossRef]
- Mendoza, C.J.; Garrido, R.T.; Quilodrán, R.C.; Segovia, C.M.; Parada, A.J. Evaluation of the bioaccessible gastric and intestinal fractions of heavy metals in contaminated soils by means of a simple bioaccessibility extraction test. Chemosphere 2017, 176, 81–88. [Google Scholar] [CrossRef] [PubMed]
- Guney, M.; Zagury, G.J.; Dogan, N.; Onay, T.T. Exposure assessment and risk characterization from trace elements following soil ingestion by children exposed to playgrounds, parks and picnic areas. J. Hazard. Mater. 2010, 182, 656–664. [Google Scholar] [CrossRef] [PubMed]
- Mehta, N.; Cipullo, S.; Cocerva, T.; Coulon, F.; Dino, G.A.; Ajmone-Marsan, F.; Padoan, E.; Cox, S.F.; Cave, M.R.; De Luca, D.A. Incorporating oral bioaccessibility into human health risk assessment due to potentially toxic elements in extractive waste and contaminated soils from an abandoned mine site. Chemosphere 2020, 255, 126927. [Google Scholar] [CrossRef] [PubMed]
- Zhang, R.; Han, D.; Jiang, L.; Zhong, M.; Liang, J.; Xia, T.X.; Zhao, Y. Derivation of site-specific remediation goals by incorporating the bioaccessibility of polycyclic aromatic hydrocarbons with the probabilistic analysis method. J. Hazard. Mater. 2020, 384, 121239. [Google Scholar] [CrossRef]
- Ma, J.; Li, Y.; Liu, Y.; Lin, C.; Cheng, H. Effects of soil particle size on metal bioaccessibility and health risk assessment. Ecotoxicol. Environ. Saf. 2019, 186, 109748. [Google Scholar] [CrossRef]
- Li, Y.; Padoan, E.; Ajmone-Marsan, F. Soil particle size fraction and potentially toxic elements bioaccessibility: A review. Ecotoxicol. Environ. Saf. 2021, 209, 111806. [Google Scholar] [CrossRef]
- Urrutia-Goyes, R.; Argyraki, A.; Ornelas-Soto, N. Assessing Lead, Nickel, and Zinc Pollution in Topsoil from a Historic Shooting Range Rehabilitated into a Public Urban Park. Int. J. Environ. Res. Public Health 2017, 14, 698. [Google Scholar] [CrossRef]
- Fayiga, A.O.; Saha, U.K. Soil pollution at outdoor shooting ranges: Health effects, bioavailability and best management practices. Environ. Pollut. 2016, 216, 135–145. [Google Scholar] [CrossRef]
- Walraven, N.; Bakker, M.; van Os, B.J.H.; Klaver, G.T.; Middelburg, J.J.; Davies, G.R. Factors controlling the oral bioaccessibility of anthropogenic Pb in polluted soils. Sci. Total Environ. 2015, 506–507, 149–163. [Google Scholar] [CrossRef] [PubMed]
- Sanderson, P.; Naidu, R.; Bolan, N.; Bowman, N.; Mclure, S. Effect of soil type on distribution and bioaccessibility of metal contaminants in shooting range soils. Sci. Total Environ. 2012, 438, 452–462. [Google Scholar] [CrossRef] [PubMed]
- Smith, E.; Weber, J.; Naidu, R.; McLaren, R.G.; Juhasz, A.L. Assessment of lead bioaccessibility in peri-urban contaminated soils. J. Hazard. Mater. 2011, 186, 300–305. [Google Scholar] [CrossRef] [PubMed]
- Moseley, R.A.; Barnett, M.O.; Stewart, M.A.; Mehlhorn, T.L.; Jardine, P.M.; Ginder-Vogel, M.; Fendorf, S. Decreasing lead bioaccessibility in industrial and firing range soils with phosphate-based amendments. J. Environ. Qual. 2008, 37, 2116–2124. [Google Scholar] [CrossRef]
- Cao, X.; Ma, L.Q.; Chen, M.; Hardison, D.W.; Harris, W.G. Weathering of lead bullets and their environmental effects at outdoor shooting ranges. J. Environ. Qual. 2003, 307, 526–534. [Google Scholar] [CrossRef]
- Sanderson, P.; Qi, F.; Seshadri, B.; Wijayawardena, A.; Naidu, R. Contamination, fate and management of metals in shooting range soils—a review. Curr. Pollut. Rep. 2018, 4, 175–187. [Google Scholar] [CrossRef]
- U.S. EPA. Method 3051A: Microwave Assisted acid Digestiom of Sediments, Sludges, Soils and Oils; U.S. EPA: Washington, DC, USA, 2007.
- U.S. EPA. Recommendations for Sieving Soil and Dust Samples at Lead Sites for Assessment of Incidental Ingestion; OLEM 9200.1-129; U.S. EPA: Washington, DC, USA, 2016.
- Ruby, M.V.; Lowney, Y.W. Selective soil particle adherence to hands: Implications for understanding oral exposure to soil contaminants. Environ. Sci. Technol. 2012, 46, 12759–12771. [Google Scholar] [CrossRef] [PubMed]
- APAT-ISPRA. Criteri Metodologici per l’Applicazione dell’Analisi Assoluta di Rischio ai Siti contaminati. 2008. Available online: https://www.isprambiente.gov.it/it/attivita/suolo-e-territorio/siti-contaminati/analisi-di-rischio (accessed on 24 January 2021).
- Legislative Decree No. 152/06. In Environmental Framework Regulation; Italian Official Bulletin No. 88; Italian Official Bulletin: Roma, Italy, 2006.
- Juhasz, A.L.; Smith, E.; Weber, J.; Rees, M.; Kuchel, T.; Rofe, A.; Sansom, L.; Naidu, R. Predicting lead relative bioavailability in peri-urban contaminated soils using in vitro bioaccessibility assays. J. Environ. Sci. Health Part A 2013, 48, 604–611. [Google Scholar] [CrossRef] [PubMed]





| A1 | A2 | S1 | S2 | |
|---|---|---|---|---|
| (%) | (%) | (%) | (%) | |
| d > 2 mm | 87.8 | 31.2 | 57.7 | 60.7 |
| d < 2 mm | 12.2 | 68.6 | 42.3 | 39.3 |
| d < 250 µm | 2.4 | 11 | 4.2 | 3.8 |
| d < 150 µm | n.d. | 4.3 | 2.2 | 2.1 |
Publisher’s Note: MDPI stays neutral with regard to jurisdictional claims in published maps and institutional affiliations. |
© 2021 by the authors. Licensee MDPI, Basel, Switzerland. This article is an open access article distributed under the terms and conditions of the Creative Commons Attribution (CC BY) license (http://creativecommons.org/licenses/by/4.0/).
Share and Cite
Zingaretti, D.; Baciocchi, R. Different Approaches for Incorporating Bioaccessibility of Inorganics in Human Health Risk Assessment of Contaminated Soils. Appl. Sci. 2021, 11, 3005. https://doi.org/10.3390/app11073005
Zingaretti D, Baciocchi R. Different Approaches for Incorporating Bioaccessibility of Inorganics in Human Health Risk Assessment of Contaminated Soils. Applied Sciences. 2021; 11(7):3005. https://doi.org/10.3390/app11073005
Chicago/Turabian StyleZingaretti, Daniela, and Renato Baciocchi. 2021. "Different Approaches for Incorporating Bioaccessibility of Inorganics in Human Health Risk Assessment of Contaminated Soils" Applied Sciences 11, no. 7: 3005. https://doi.org/10.3390/app11073005
APA StyleZingaretti, D., & Baciocchi, R. (2021). Different Approaches for Incorporating Bioaccessibility of Inorganics in Human Health Risk Assessment of Contaminated Soils. Applied Sciences, 11(7), 3005. https://doi.org/10.3390/app11073005
