Machine Learning-Based Prediction and Optimisation System for Laser Shock Peening
Abstract
1. Introduction
2. Laser Peening Residual Stress Data
2.1. Experimental Laser Peening Data
2.1.1. Single-Shot Laser Peening (Dataset 1)
2.1.2. Multiple-Shot Laser Peening with Overlap (Dataset 2)
- Laser offset distance was measured from centre-to-centre of each laser spot. The number of laser spots per cm2 is a function of offset distance (ΔX, ΔY) along X and Y directions as shown in Figure 2b. It can be expressed as:
 - The effective number of layers can then be calculated as a function of offset distance and spot diameter (Ø) using:
 
2.2. Analysis of Residual Stresses Using Incremental Hole Drilling
2.3. Prediction Using Artificial Neural Networks
3. Garson’s Algorithm Theory
Bayesian Neural Networks
4. Genetic Algorithm for Optimisation of Process Parameters
- Start Program
 - Initialise chromosomes (Cs)
 - Loop till termination criteria is met
- Evaluate every Cs for its fitness using the validated ANN
 - Rank Cs according to the fitness (f)
 - Save solution with best f for next generation
 - Use rank-based selection for crossover and mutation
 - Generate new population using crossover and mutation rate
 
 - Take elite chromosome as the solution
 - End Program
 
5. Results and Discussion
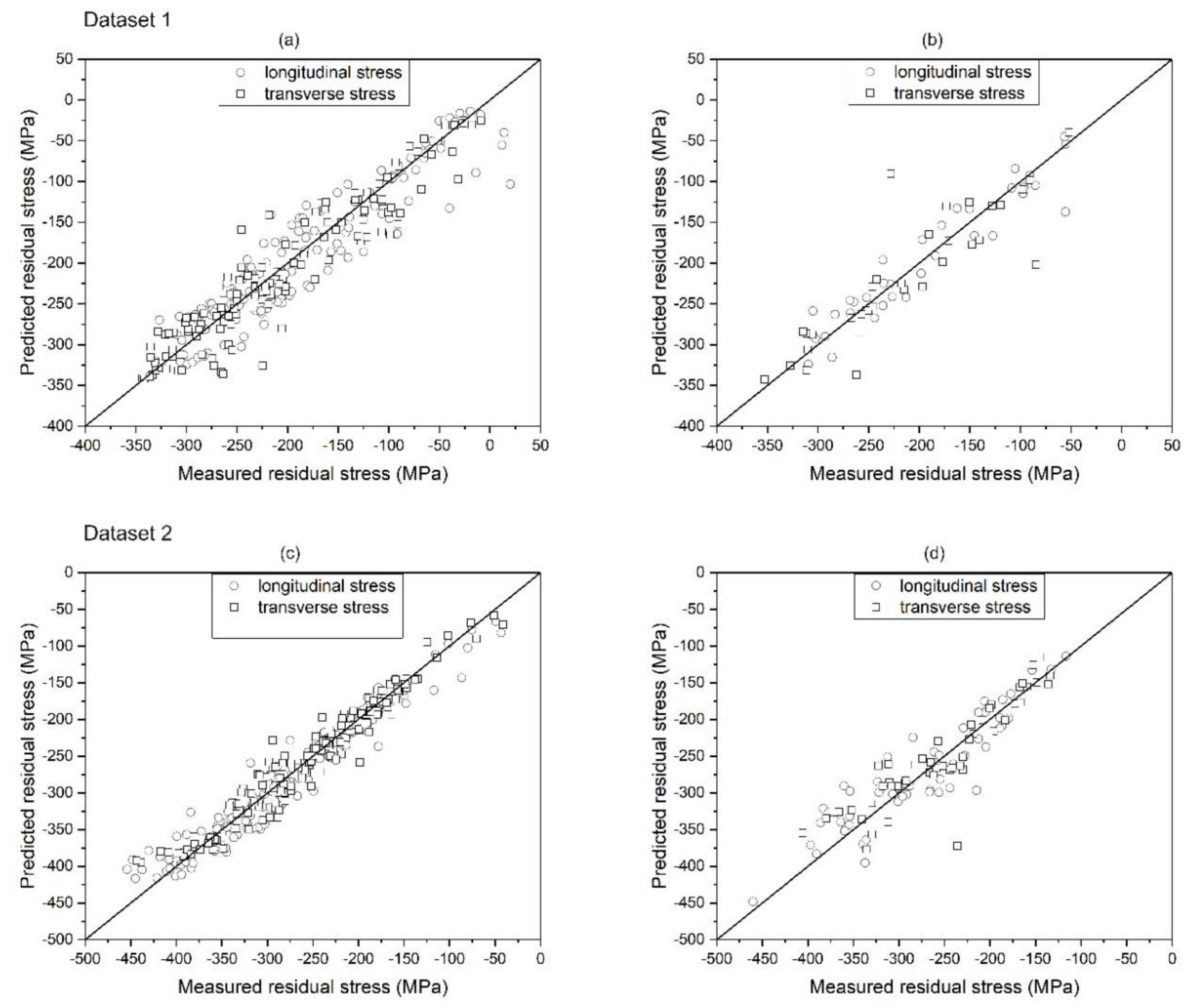
5.1. Generalisation Ability and Relevance of Input Parameters
5.2. Parametric Studies
5.3. Case Studies Using ANN and GA Models
6. Conclusions
- A data-based approach based on artificial neural-network was developed within a Bayesian framework for analysing residual stress data in laser shock peening. The ANN prediction model is capable of estimating the residual stress profile as a function of depth below the peened surface and using different process variables as inputs.
 - The accuracy of the prediction model was evaluated using different performance indicators, such as root mean square error (RMSE), absolute fraction of variance (R2) and mean absolute percentage error (MAPE). The ANN model was able to achieve the respective error values in the test data: Dataset 1—single-shot laser peening with square spots (RMSE = 0.0992, R2 = 0.9719 and MAPE = 23.8603) and Dataset 2—multiple-shot laser peening with circular spots (RMSE = 0.0912, R2 = 0.9894 and MAPE = 13.1025).
 - The contributions of different process parameters on the resulting residual stress distribution were evaluated using Garson’s algorithm and parametric studies.
 - The ANN approach was validated using several case studies employing a ‘leave-one-out’ cross validation method. Very good agreement was observed between the predicted and measured results, suggesting that the model was able to identify the non-evident relationships between the process variables and residual stress distribution.
 - The ANN-GA integrated system was used to optimise the process parameters for different case studies by specifying the desired residual stress magnitude at a given depth. The GA reported a mean RMSE of 7.61 and 14.64 in case studies with three and two degrees of freedom, respectively. The application of the ANN-GA system provides a reliable method for determining the optimal process parameters in laser shock peening with the caveat that vast amount of data covering a wide range of process parameters and extensive residual stress data are made available for training and validation of the machine learning models.
 
Author Contributions
Funding
Institutional Review Board Statement
Informed Consent Statement
Data Availability Statement
Acknowledgments
Conflicts of Interest
References
- Clauer, A.H.; Lahrman, D.F. Laser Shock Processing as a Surface Enhancement Process. Key Eng. Mater. 2001, 197, 121–144. [Google Scholar] [CrossRef]
 - Clauer, A.H.; Walters, C.T.; Ford, S.C. The effects of laser shock processing on the fatigue properties of 2024-T3 aluminum. In Lasers in Materials Processing; Metzbower, E.A., Ed.; American Society for Metals: Metals Park, OH, USA, 1983; pp. 7–22. [Google Scholar]
 - Peyre, P.; Fabbro, R. Laser shock processing: A review of the physics and applications. Opt. Quantum Electron. 1995, 27, 1213–1229. [Google Scholar] [CrossRef]
 - Montross, C.S.; Wei, T.; Ye, L.; Clark, G.; Mai, Y.-W. Laser shock processing and its effects on microstructure and properties of metal alloys: A review. Int. J. Fatigue 2002, 24, 1021–1036. [Google Scholar] [CrossRef]
 - Sticchi, M.; Schnubel, D.; Kashaev, N.; Huber, N. Review of Residual Stress Modification Techniques for Extending the Fatigue Life of Metallic Aircraft Components. Appl. Mech. Rev. 2014, 67, 010801. [Google Scholar] [CrossRef]
 - Hatamleh, O.; Lyons, J.; Forman, R. Laser and shot peening effects on fatigue crack growth in friction stir welded 7075-T7351 aluminum alloy joints. Int. J. Fatigue 2007, 29, 421–434. [Google Scholar] [CrossRef]
 - Ding, K.; Ye, L. Laser Shock Peening Performance and Process Simulation; Woodhead Publishing Limited: Cambridge, UK, 2006. [Google Scholar]
 - Zabeen, S.; Khan, M.K.; Fitzpatrick, M.E. Mechanisms of Residual Stress Generation in Mechanical surface Treatment: The Role of Cyclic Plasticity and Texture; Technical report Air Force Research Laboratory, European Office of Research and Development: Arlington, VA, USA, 2015; pp. 1–47. [Google Scholar]
 - Kallien, Z.; Keller, S.; Ventzke, V.; Kashaev, N.; Klusemann, B. Effect of laser peening process parameters and sequences on residual stress profiles. Metals 2019, 9, 655. [Google Scholar] [CrossRef]
 - Chupakhin, S.; Klusemann, B.; Huber, N.; Kashaev, N. Application of design of experiments for laser shock peening process optimization. Int. J. Adv. Manuf. Technol. 2019, 102, 1567–1581. [Google Scholar] [CrossRef]
 - Bhamare, S.; Ramakrishnan, G.; Mannava, S.R.; Langer, K.; Vasudevan, V.K.; Qian, D. Simulation-based optimization of laser shock peening process for improved bending fatigue life of Ti—6Al—2Sn—4Zr—2Mo alloy. Surf. Coat. Technol. 2013, 232, 464–474. [Google Scholar] [CrossRef]
 - Brockman, R.A.; Braisted, W.R.; Olson, S.E.; Tenaglia, R.D.; Clauer, A.H.; Langer, K.; Shepard, M.J. Prediction and characterization of residual stresses from laser shock peening. Int. J. Fatigue 2012, 36, 96–108. [Google Scholar] [CrossRef]
 - Hfaiedh, N.; Peyre, P.; Song, H.; Popa, I.; Ji, V.; Vignal, V. Finite element analysis of laser shock peening of 2050-T8 aluminum alloy. Int. J. Fatigue 2015, 70, 480–489. [Google Scholar] [CrossRef]
 - Keller, S.; Chupakhin, S.; Staron, P.; Maawad, E.; Kashaev, N.; Klusemann, B. Experimental and numerical investigation of residual stresses in laser shock peened AA2198. J. Mater. Process. Technol. 2018, 255, 294–307. [Google Scholar] [CrossRef]
 - Zhou, Z.; Bhamare, S.; Ramakrishnan, G.; Mannava, S.R.; Langer, K.; Wen, Y.; Qian, D.; Vasudevan, V.K. Thermal relaxation of residual stress in laser shock peened Ti—6Al—4V alloy. Surf. Coat. Technol. 2012, 206, 4619–4627. [Google Scholar] [CrossRef]
 - Amarchinta, H.K.; Grandhi, R.V.; Langer, K.; Stargel, D. Material model validation for laser shock peening process simulation. Model. Simul. Mater. Sci. Eng. 2009, 17, 1–15. [Google Scholar] [CrossRef]
 - Hutchings, M.T.; Withers, P.J.; Holden, T.M.; Lorentzen, T. Introduction to the Characterization of Residual Stress by Neutron Diffraction; Taylor and Francis: London, UK, 2005; pp. 149–199. [Google Scholar]
 - Schajer, G.S. Practical Residual Stress Measurement Methods; John Wiley & Sons Ltd.: Hoboken, NJ, USA, 2013; pp. 6–24. [Google Scholar]
 - Mathew, J.; Moat, R.J.; Paddea, S.; Francis, J.; Fitzpatrick, M.E.; Bouchard, P.J. Through-Thickness Residual Stress Profiles in Austenitic Stainless Steel Welds: A Combined Experimental and Prediction Study. Metall. Mater. Trans. A 2017, 48, 6178–6191. [Google Scholar] [CrossRef]
 - Mathew, J.; Griffin, J.; Alamaniotis, M.; Kanarachos, S.; Fitzpatrick, M.E. Prediction of welding residual stresses using machine learning: Comparison between neural networks and neuro-fuzzy systems. Appl. Soft Comput. J. 2018, 70, 131–146. [Google Scholar] [CrossRef]
 - Sibalija, T.V.; Petronic, S.Z.; Majstorovic, V.D.; Milosavljevic, A. Modelling and optimisation of laser shock peening using an integrated simulated annealing-based method. Int. J. Adv. Manuf. Technol. 2014, 73, 1141–1158. [Google Scholar] [CrossRef]
 - Ayeb, M.; Frija, M.; Fathallah, R. Prediction of residual stress profile and optimization of surface conditions induced by laser shock peening process using artificial neural networks. Int. J. Adv. Manuf. Technol. 2019, 100, 2455–2471. [Google Scholar] [CrossRef]
 - Sun, Y.Q.; Zhou, J.Z.; Chen, Y.B.; Huang, S. Optimization of laser peening parameters using Taguchi method. Appl. Mech. Mater. 2007, 10–12, 692–696. [Google Scholar] [CrossRef]
 - Singh, G.; Grandhi, R.V.; Stargel, D.S. Modeling and Parameter Design of a Laser Shock Peening Process. Int. J. Comput. Methods Eng. Sci. Mech. 2011, 12, 233–253. [Google Scholar] [CrossRef]
 - Huang, C.C.; Tang, T.T. Parameter optimization in melt spinning by neural networks and genetic algorithms. Int. J Adv. Manuf. Technol. 2006, 27, 1113–1118. [Google Scholar] [CrossRef]
 - Tong, K.W.; Kwong, C.K.; Yu, K.M. Process optimisation of transfer moulding for electronic packages using artificial neural networks and multi objective optimisation techniques. Int. J Adv. Manuf. Technol. 2004, 24, 675–685. [Google Scholar] [CrossRef]
 - Sibalija, T.V.; Majstorovic, V.D. An integrated approach to optimise parameter design of multi-response processes based on Taguchi method and artificial intelligence. J. Intell. Manuf. 2012, 23, 1511–1528. [Google Scholar] [CrossRef]
 - Sticchi, M.; Staron, P.; Sano, Y.; Meixer, M.; Klaus, M.; Huber, N.; Kashaev, N. A parametric study of laser spot size and coverage on the laser shock peening induced residual stress in thin aluminium samples. J. Eng. 2015, 1–9. [Google Scholar] [CrossRef]
 - Mackay, D.J.C. Bayesian Methods for Adaptive Models. Ph.D. Thesis, California Institute of Technology, Pasadena, CA, USA, December 1991. [Google Scholar]
 - MacKay, D.J.C. A practical Bayesian framework for backpropagation networks. Neural Comput. 1992, 4, 448–472. [Google Scholar] [CrossRef]
 - Garson, G.D. Interpreting neural-network connection weights. Artif. Intell. Expert 1991, 6, 47–51. [Google Scholar]
 - Grant, P.V.; Lord, J.D.; Whitehead, P.S. Measurement of residual stresses by the incremental hole drilling technique. In Measurement Good Practice Guide No. 53-Issue 2; National Physical Laboratory: Teddington, UK, 2006. [Google Scholar]
 - ASTM. Determining Residual Stresses by the Hole-Drilling Strain-Gauge Method; ASTM International: Conshohocken, PA, USA, 2008. [Google Scholar]
 - Bishop, C.M. Neural networks for Statistical Pattern Recognition; Oxford University Press: Oxford, UK, 1994. [Google Scholar]
 - Hornik, K.; Stinchcombe, M.; White, H. Multilayer feedforward networks are universal approximators. Neural Netw. 1989, 2, 359–366. [Google Scholar] [CrossRef]
 - Rumelhart, D.E.; Hinton, G.E. Learning representations by back-propagating errors. Nature 1986, 323, 533–536. [Google Scholar] [CrossRef]
 - Olden, J.D.; Joy, M.K.; Death, R.G. An accurate comparison of methods for quantifying variable importance in artificial neural networks using simulated data. Ecol. Model. 2004, 178, 389–397. [Google Scholar] [CrossRef]
 - Olden, J.D.; Jackson, D.A. Illuminating the “black box”: Understanding variable contributions in artificial neural networks. Ecol. Model. 2002, 154, 135–150. [Google Scholar] [CrossRef]
 - Mammone, R.J. Artificial Neural Networks for Speech and Vision; Chapman & Hall Inc.: London, UK, 1993; pp. 126–142. [Google Scholar]
 - Kshirsagar, R.; Jones, S.; Lawrence, J.; Tabor, J. Optimization of TIG Welding Parameters Using a Hybrid Nelder Mead-Evolutionary Algorithms Method. J. Manuf. Mater. Process. 2020, 4, 10. [Google Scholar] [CrossRef]
 - Senthilkumar, B.; Kannan, T.; Madesh, R. Optimization of flux-cored arc welding process parameters by using genetic algorithm. Int. J Adv. Manuf. Technol. 2017, 93, 35–41. [Google Scholar] [CrossRef]
 - Li, X.; Xing, K.; Wu, Y.; Wang, X.; Luo, J. Total energy consumption optimization via genetic algorithm in flexible manufacturing systems. Comput. Ind. Eng. 2017, 104, 188–200. [Google Scholar] [CrossRef]
 - Zhang, R.; Chiong, R. Solving the energy-efficient job shop scheduling problem: A multi-objective genetic algorithm with enhanced local search for minimizing the total weighted tardiness and total energy consumption. J. Clean. Prod. 2016, 112, 3361–3375. [Google Scholar] [CrossRef]
 











| Mechanical Property | Elastic Modulus E/GPa | Yield Strength σy/MPa | E/σy | Ultimate Tensile Strength/MPa | Elongation to Failure/% | 
|---|---|---|---|---|---|
| Al-T39 alloy | 70 | 460 | 152 | 550 | 14 | 
| Laser Shock Peening Process Parameters | |||
|---|---|---|---|
| Dataset 1 | Spot Size/mm | Layers | Power Density/GW cm−2 | 
| 8.5 | 1 | 1 | |
| 8.5 | 2 | 1 | |
| 8.5 | 4 | 1 | |
| 8.5 | 7 | 1 | |
| 5 | 1 | 3 | |
| 5 | 2 | 3 | |
| 5 | 4 | 3 | |
| 5 | 7 | 3 | |
| 3.5 | 1 | 6 | |
| 3.5 | 2 | 6 | |
| 3.5 | 4 | 6 | |
| 3.5 | 7 | 6 | |
| Dataset 2 | Spot Size/mm | Layers | Offset Distance/mm | 
| 1.5 | 3.6 | 0.7 | |
| 1.5 | 4.9 | 0.6 | |
| 1.5 | 7 | 0.5 | |
| 1.5 | 11 | 0.4 | |
| 2.0 | 6.4 | 0.7 | |
| 2.0 | 8.7 | 0.6 | |
| 2.0 | 12.5 | 0.5 | |
| 2.0 | 19.6 | 0.4 | |
| 2.5 | 10 | 0.7 | |
| 2.5 | 13.6 | 0.6 | |
| 2.5 | 19.6 | 0.5 | |
| 2.5 | 30.7 | 0.4 | |
| 3.0 | 14.4 | 0.7 | |
| 3.0 | 19.6 | 0.6 | |
| 3.0 | 28.3 | 0.5 | |
| 3.0 | 44.2 | 0.4 | |
| Number of Hidden Neurons | RMSE | R2 | MAPE | 
|---|---|---|---|
| Dataset 1 | |||
| 4 | 0.1022 | 0.8965 | 28.9731 | 
| 5 | 0.1020 | 0.9289 | 28.9711 | 
| 6 | 0.1005 | 0.9461 | 28.0551 | 
| 7 | 0.1049 | 0.9599 | 26.9964 | 
| 8 | 0.1001 | 0.9603 | 25.9371 | 
| 9 | 0.0997 | 0.9671 | 26.0025 | 
| 10 | 0.0992 | 0.9614 | 25.5172 | 
| 11 | 0.1000 | 0.9651 | 25.2216 | 
| 12 | 0.0992 | 0.9719 | 23.8603 | 
| 13 | 0.0994 | 0.9739 | 24.2183 | 
| 14 | 0.0997 | 0.9739 | 25.8913 | 
| 15 | 0.1001 | 0.9740 | 26.2089 | 
| Dataset 2 | |||
| 4 | 0.1043 | 0.9727 | 13.4467 | 
| 5 | 0.1017 | 0.9779 | 13.4128 | 
| 6 | 0.0981 | 0.9806 | 13.1154 | 
| 7 | 0.0974 | 0.9830 | 13.1073 | 
| 8 | 0.0975 | 0.9831 | 13.0648 | 
| 9 | 0.0947 | 0.9856 | 13.0278 | 
| 10 | 0.0943 | 0.9866 | 13.0253 | 
| 11 | 0.0939 | 0.9876 | 13.0198 | 
| 12 | 0.0930 | 0.9890 | 12.9909 | 
| 13 | 0.0912 | 0.9894 | 13.1025 | 
| 14 | 0.0929 | 0.9892 | 13.1480 | 
| 15 | 0.0937 | 0.9893 | 13.1983 | 
| Iteration | Alpha (α) | Beta (β) | 
|---|---|---|
| Dataset 1 | ||
| 1 | 0.0021 | 94.8083 | 
| 2 | 0.0022 | 87.1687 | 
| 3 | 0.0024 | 79.9232 | 
| 4 | 0.0019 | 102.9715 | 
| Dataset 2 | ||
| 1 | 0.0045 | 100.6955 | 
| 2 | 0.0044 | 100.2085 | 
| 3 | 0.0043 | 99.2576 | 
| 4 | 0.0047 | 102.2559 | 
| Parameter | Value | 
|---|---|
| Number of chromosomes | 10 | 
| Crossover rate | 0.8 | 
| Mutation rate | 0.3 | 
| Termination error | 0.001 | 
| . | Laser Peening Conditions for Case Studies | |||
|---|---|---|---|---|
| Dataset 1 | Spot Size/mm | Layers | Power Density/GW cm−2 | |
| (a) | longitudinal | 8.5 | 4 | 1 | 
| (b) | transverse | 8.5 | 4 | 1 | 
| (c) | longitudinal | 3.5 | 2 | 6 | 
| (d) | transverse | 3.5 | 2 | 6 | 
| Dataset 2 | Spot Size/mm | Layers | Offset Distance/mm | |
| (e) | longitudinal | 2 | 12.5 | 0.5 | 
| (f) | transverse | 2 | 12.5 | 0.5 | 
| (g) | longitudinal | 2.5 | 13.6 | 0.6 | 
| (h) | transverse | 2.5 | 13.6 | 0.6 | 
| No. | Relative Depth (x/t) | Longitudinal Residual Stress/MPa | Transverse Residual Stress/MPa | 
|---|---|---|---|
| 1 | 0.6 | −35 | −35 | 
| 2 | 0.9 | −80 | −110 | 
| 3 | 0.3 | −280 | −280 | 
| No. | Power Density/GW/cm2 | Layers | Spot Size/mm | Longitudinal Residual Stress (MPa)  | Transverse Residual Stress (MPa) | Mean RMSE Error | 
|---|---|---|---|---|---|---|
| 1 | 1.33 | 1 | 8.24 | −43.47 | −31.84 | 7.61 | 
| 2 | 1.15 | 1 | 7.94 | −83.28 | −121.49 | |
| 3 | 3.26 | 3 | 4.28 | −289.84 | −274.82 | 
| No. | Relative Depth (x/t) | Longitudinal Residual Stress (MPa) | Transverse Residual Stress (MPa) | Fixed Number of Layers | 
|---|---|---|---|---|
| 1 | 0.6 | −35 | −35 | 2 | 
| 2 | 0.9 | −80 | −110 | 3 | 
| 3 | 0.3 | −280 | −280 | 5 | 
| No. | Power Density/GW/cm2 | Layers | Spot Size/mm | Longitudinal Residual Stress (MPa)  | Transverse Residual Stress (MPa) | Mean RMSE Error | 
|---|---|---|---|---|---|---|
| 1 | 1.53 | 2 | 8.50 | −44.39 | −27.28 | 14.64 | 
| 2 | 1.30 | 3 | 8.28 | −89.57 | −124.38 | |
| 3 | 2.38 | 5 | 7.93 | −270.93 | −310.41 | 
Publisher’s Note: MDPI stays neutral with regard to jurisdictional claims in published maps and institutional affiliations.  | 
© 2021 by the authors. Licensee MDPI, Basel, Switzerland. This article is an open access article distributed under the terms and conditions of the Creative Commons Attribution (CC BY) license (http://creativecommons.org/licenses/by/4.0/).
Share and Cite
Mathew, J.; Kshirsagar, R.; Zabeen, S.; Smyth, N.; Kanarachos, S.; Langer, K.; Fitzpatrick, M.E. Machine Learning-Based Prediction and Optimisation System for Laser Shock Peening. Appl. Sci. 2021, 11, 2888. https://doi.org/10.3390/app11072888
Mathew J, Kshirsagar R, Zabeen S, Smyth N, Kanarachos S, Langer K, Fitzpatrick ME. Machine Learning-Based Prediction and Optimisation System for Laser Shock Peening. Applied Sciences. 2021; 11(7):2888. https://doi.org/10.3390/app11072888
Chicago/Turabian StyleMathew, Jino, Rohit Kshirsagar, Suraiya Zabeen, Niall Smyth, Stratis Kanarachos, Kristina Langer, and Michael E. Fitzpatrick. 2021. "Machine Learning-Based Prediction and Optimisation System for Laser Shock Peening" Applied Sciences 11, no. 7: 2888. https://doi.org/10.3390/app11072888
APA StyleMathew, J., Kshirsagar, R., Zabeen, S., Smyth, N., Kanarachos, S., Langer, K., & Fitzpatrick, M. E. (2021). Machine Learning-Based Prediction and Optimisation System for Laser Shock Peening. Applied Sciences, 11(7), 2888. https://doi.org/10.3390/app11072888
        
                                                
