Effects of Different LED Light Recipes and NPK Fertilizers on Basil Cultivation for Automated and Integrated Horticulture Methods
Abstract
Featured Application
Abstract
1. Introduction
2. Materials and Methods
2.1. Materials
2.2. Germination and Growth Trials without Fertilizer Addition
2.3. Design of Experiments (DoE)
2.4. Growth Experiments with Fertilizer Addition through DoE
2.5. Characterization
3. Results and Discussion
3.1. Germination and Growth Trials without Fertilizer Addition
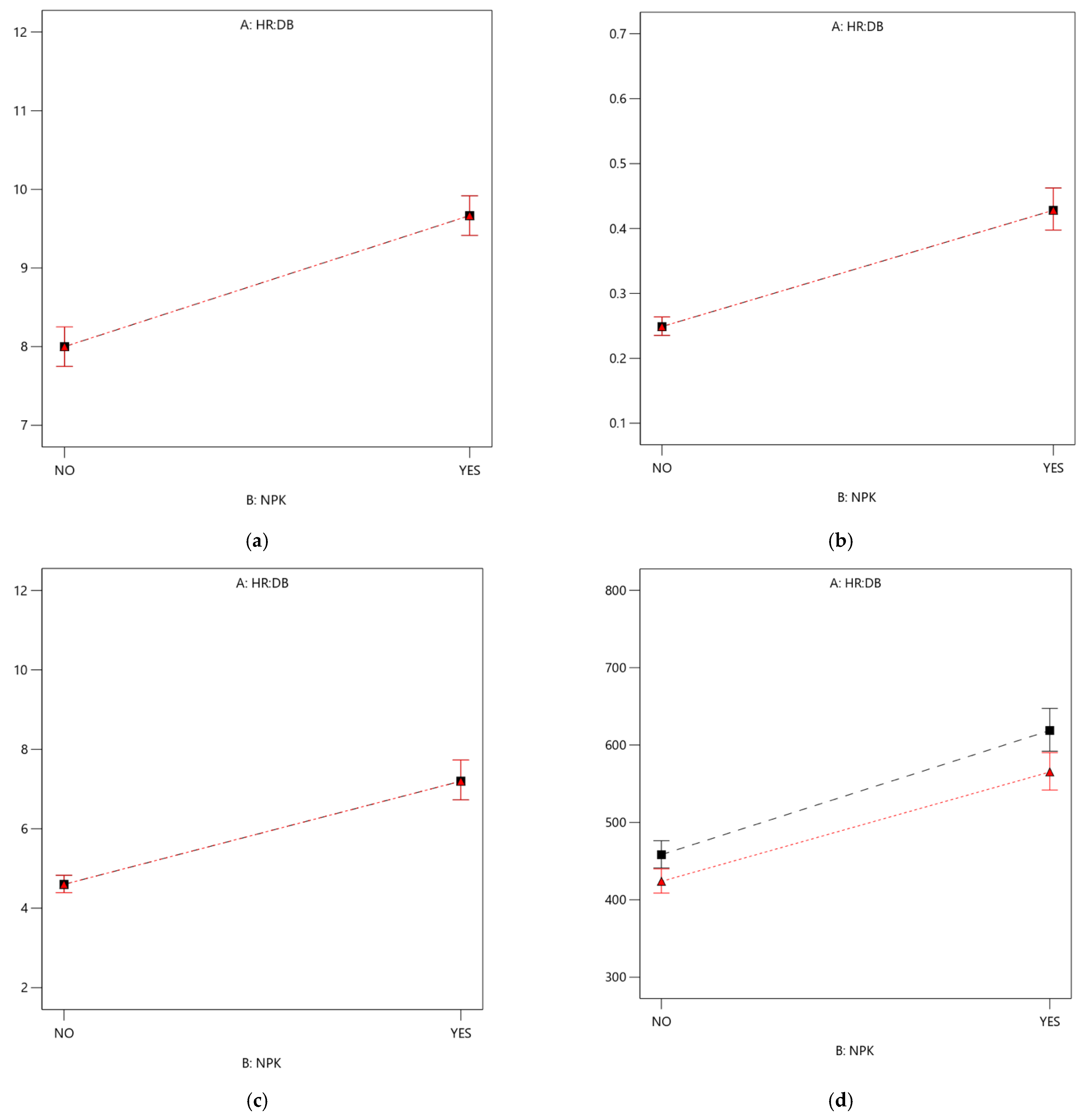
3.2. Growth Experiments with Fertilizer Addition through DoE
4. Conclusions
Author Contributions
Funding
Institutional Review Board Statement
Informed Consent Statement
Data Availability Statement
Acknowledgments
Conflicts of Interest
References
- Sipos, L.; Boros, I.F.; Csambalik, L.; Székely, G.; Jung, A.; Balázs, L. Horticultural lighting system optimalization: A review. Sci. Hortic. 2020, 273, 109631. [Google Scholar] [CrossRef]
- Folta, K.M.; Childers, K.S. Light as a growth regulator: Controlling plant biology with narrow-bandwidth solid-state lighting systems. HortScience 2008, 43, 1957–1964. [Google Scholar] [CrossRef]
- Pinho, P.; Hytönen, T.; Rantanen, M.; Elomaa, P.; Halonen, L. Dynamic control of supplemental lighting intensity in a greenhouse environment. Light. Res. Technol. 2013, 45, 295–304. [Google Scholar] [CrossRef]
- FAO Statistics Division. Available online: http://www.fao.org/documents/card/en/c/cb3411en (accessed on 10 March 2021).
- Goto, E. Plant production in a closed plant factory with artificial lighting. Acta Hortic. 2012, 956, 37–49. [Google Scholar] [CrossRef]
- Hernández, R.; Kubota, C. Tomato seedling growth and morphological responses to supplement LED lighting red:blue ratios under varied daily solar light integrals. Acta Hortic. 2012, 956, 187–194. [Google Scholar] [CrossRef]
- Folta, K.M.; Carvalho, S.D. Photoreceptors and control of horticultural plant traits. HortScience 2015, 50, 1274–1280. [Google Scholar] [CrossRef]
- Heijde, M.; Ulm, R. UV-B photoreceptor-mediated signalling in plants. Trends Plant Sci. 2012, 17, 230–237. [Google Scholar] [CrossRef] [PubMed]
- Dueck, T.A.; Janse, J.; Eveleens, B.A.; Kempkes, F.L.K.; Marcelis, L.F.M. Growth of tomatoes under hybrid led and HPS lighting. Acta Hortic. 2012, 952, 335–342. [Google Scholar] [CrossRef]
- Yeh, N.; Chung, J.P. High-brightness LEDs-Energy efficient lighting sources and their potential in indoor plant cultivation. Renew. Sustain. Energy Rev. 2009, 13, 2175–2180. [Google Scholar] [CrossRef]
- Currey, C.J.; Lopez, R.G. Cuttings of Impatiens, Pelargonium, and Petunia propagated under light-emitting diodes and high-pressure sodium lamps have comparable growth, morphology, gas exchange, and post-transplant performance. HortScience 2013, 48, 428–434. [Google Scholar] [CrossRef]
- Durmus, D. Real-Time Sensing and Control of Integrative Horticultural Lighting Systems. J. Multidiscip. Sci. J. 2020, 3, 20. [Google Scholar] [CrossRef]
- van Iersel, M.W. Optimizing LED Lighting in Controlled Environment Agriculture. In Light Emitting Diodes for Agriculture: Smart Lighting; Dutta Gupta, S., Ed.; Springer: Singapore, 2017; pp. 59–80. ISBN 9789811058073. [Google Scholar]
- Zhang, X.; Bian, Z.; Yuan, X.; Chen, X.; Lu, C. A review on the effects of light-emitting diode (LED) light on the nutrients of sprouts and microgreens. Trends Food Sci. Technol. 2020, 99, 203–216. [Google Scholar] [CrossRef]
- Yanagi, T.; Okamoto, K.; Takita, S. Effects of blue, red and blue/red lights of two different PPF levels on growth and morphogenesis of lettuce plants. Acta Hortic. 1996, 440, 117–122. [Google Scholar] [CrossRef]
- Schwartz, A.; Zeiger, E. Metabolic energy for stomatal opening. Roles of photophosphorylation and oxidative phosphorylation. Planta 1984, 161, 129–136. [Google Scholar] [CrossRef]
- Cosgrove, D.J.; Green, P.B. Rapid Suppression of Growth by Blue Light. Plant Physiol. 1981, 68, 1447–1453. [Google Scholar] [CrossRef] [PubMed]
- Nhut, D.T.; Takamura, T.; Watanabe, H.; Okamoto, K.; Tanaka, M. Responses of strawberry plantlets cultured in vitro under superbright red and blue light-emitting diodes (LEDs). Plant Cell. Tissue Organ Cult. 2003, 73, 43–52. [Google Scholar] [CrossRef]
- Iacona, C.; Muleo, R. Light quality affects in vitro adventitious rooting and ex vitro performance of cherry rootstock Colt. Sci. Hortic. 2010, 125, 630–636. [Google Scholar] [CrossRef]
- Chory, J. Light signal transduction: An infinite spectrum of possibilities. Plant J. 2010, 61, 982–991. [Google Scholar] [CrossRef] [PubMed]
- Tarakanov, I.; Yakovleva, O.; Konovalova, I.; Paliutina, G.; Anisimov, A. Light-emitting diodes: On the way to combinatorial lighting technologies for basic research and crop production. Acta Hortic. 2012, 956, 171–178. [Google Scholar] [CrossRef]
- Piovene, C.; Orsini, F.; Bosi, S.; Sanoubar, R.; Bregola, V.; Dinelli, G.; Gianquinto, G. Optimal red: Blue ratio in led lighting for nutraceutical indoor horticulture. Sci. Hortic. 2015, 193, 202–208. [Google Scholar] [CrossRef]
- Lobiuc, A.; Vasilache, V.; Pintilie, O.; Stoleru, T.; Burducea, M.; Oroian, M.; Zamfirache, M.M. Blue and red LED illumination improves growth and bioactive compounds contents in acyanic and cyanic ocimum Basilicum L. Microgreens. Molecules 2017, 22, 2111. [Google Scholar] [CrossRef] [PubMed]
- Lin, K.H.; Huang, M.Y.; Hsu, M.H. Morphological and physiological response in green and purple basil plants (Ocimum basilicum) under different proportions of red, green, and blue LED lightings. Sci. Hortic. 2021, 275, 109677. [Google Scholar] [CrossRef]
- Carvalho, S.D.; Schwieterman, M.L.; Abrahan, C.E.; Colquhoun, T.A.; Folta, K.M. Light quality dependent changes in morphology, antioxidant capacity, and volatile production in sweet basil (Ocimum basilicum). Front. Plant Sci. 2016, 7, 1–14. [Google Scholar] [CrossRef]
- Avgoustaki, D.D.; Li, J.; Xydis, G. Basil plants grown under intermittent light stress in a small-scale indoor environment: Introducing energy demand reduction intelligent technologies. Food Control 2020, 118, 107389. [Google Scholar] [CrossRef]
- Barbi, S.; Barbieri, F.; Andreola, F.; Lancellotti, I.; Barbieri, L.; Montorsi, M. Preliminary study on sustainable NPK slow-release fertilizers based on byproducts and leftovers: A design-of-experiment approach. ACS Omega 2020, 5, 27154–27163. [Google Scholar] [CrossRef]
- Barbi, S.; Barbieri, F.; Andreola, F.; Lancellotti, I.; García, C.M.; Palomino, T.C.; Montorsi, M.; Barbieri, L. Design and characterization of controlled release PK fertilizers from agro-residues. EEMJ 2020, 19, 1669–1676. [Google Scholar]
- Montgomery, D.C. Design and Analysis of Experiments, 8th ed.John Wiley & Sons: Hoboken, NJ, USA, 2012; Volume 2, ISBN 9781118146927. [Google Scholar]
- Intelligent Led Solutions Petunia Led Modules. Available online: https://i-led.co.uk/PDFs/Kits/12Multi-OslonSSL-PetuniaColourV3.pdf (accessed on 28 January 2021).
- LEDiL C12528 PETUNIA Lens. Available online: https://www.ledil.com/product-card/?product=C12528_PETUNIA (accessed on 10 February 2021).
- OSRAM LH CP7P 660 nm Hyper Red LED. Available online: https://www.osram.com/ecat/OSLON®SSL80LHCP7P/com/en/class_pim_web_catalog_103489/prd_pim_device_2402508/ (accessed on 6 March 2021).
- OSRAM LD CQ7P 451 nm Deep Blue LED. Available online: https://www.osram.com/ecat/OSLON®SSL80LDCQ7P/com/en/class_pim_web_catalog_103489/prd_pim_device_2402502/ (accessed on 6 March 2021).
- Ag, A. AS7341 Spectral. Available online: https://ams.com/as7341 (accessed on 10 February 2021).
- Eriksson, L.; Johansson, E.; Kettaneh-Wold, N.; WikstrÄom, C.; Wold, S. Design of Experiments: Principles and Applications; Umetrics Academy: Umeå, Sweden, 2008; ISBN 10:9197373044. [Google Scholar]
- Morris, P.; John, P.W.M. Statistical Design and Analysis of Experiments. Math. Gaz. 1999, 83, 189. [Google Scholar] [CrossRef]
- Region Emilia-Romagna, Disciplinari di Produzione Integrata Norme Tecniche di Coltura; 2018; pp. 1–7. Available online: EMR_M10.1.1_2016_Racc_Col_Ort.pdf (accessed on 10 February 2021).
- Stagnari, F.; Di Mattia, C.; Galieni, A.; Santarelli, V.; D’Egidio, S.; Pagnani, G.; Pisante, M. Light quantity and quality supplies sharply affect growth, morphological, physiological and quality traits of basil. Ind. Crops Prod. 2018, 122, 277–289. [Google Scholar] [CrossRef]
- Italian, R. Legislative Decree n. 75/2010 Concerning Fertilizers. Gazz. Uff. Ser. Gen. n.218 del 17-09-2013. 2010. Available online: biostimulants.weebly.com (accessed on 10 February 2021).
- Frerichs, C.; Daum, D.; Koch, R. Influence of nitrogen form and concentration on yield and quality of pot grown basil. Acta Hortic. 2019, 1242, 209–216. [Google Scholar] [CrossRef]
- Mortensen, L.M.; Strømme, E. Effects of light quality on some greenhouse crops. Sci. Hortic. 1987, 33, 27–36. [Google Scholar] [CrossRef]
- Mortensen, L.M. Effects of temperature and light quality on growth and flowering of Begonia × hiemalis Fotsch. and Campanula isophylla Moretti. Sci. Hortic. 1990, 44, 309–314. [Google Scholar] [CrossRef]








| Property | Irish Peat | Vegetal Soil | Organic Soil | Floradur B |
|---|---|---|---|---|
| Apparent density (kg/m3) (fresh matter) | 200 | 300 | 320 | 120 |
| Electrical conductivity (mS/cm) | 0.0058 | 0.0053 | 0.0062 | 0.3800 |
| pH | 3.5 | 6.5 | 6.8 | 6.1 |
| Salt content (kg/m3) | - | - | 1.5 | 1.2 |
| N (kg/m3) | 0.70 | - | 0.05–0.30 | 0.21 |
| P2O5 (kg/m3) | - | - | 0.08–0.30 | 0.12 |
| K2O (kg/m3) | - | - | 0.08–0.40 | 0.26 |
| LEDs Ratio (Light Recipe Code) | Number of HR LEDs | Number of DB LEDs |
|---|---|---|
| 3HR:1DB | 9 | 3 |
| 1HR:1DB | 6 | 6 |
| 1HR:3DB | 3 | 9 |
| Light Recipe Code | PPF HR LEDs [µmol/s] | PPF DB LEDs [µmol/s] | Total PPF [µmol/s] | %PPF HR | %PPF DB |
|---|---|---|---|---|---|
| 3HR:1DB | 18.13 | 6.79 | 24.92 | 72.76 | 27.24 |
| 1HR:1DB | 12.08 | 13.57 | 25.65 | 47.10 | 52.90 |
| 1HR:3DB | 6.04 | 20.36 | 26.40 | 22.88 | 77.12 |
| Run | HR:DB | NPK | Height (cm) | NoL | TFM (g) | TDM (g) | LAI (%) | SLA (cm2/g) |
|---|---|---|---|---|---|---|---|---|
| 1 | 3:1 | yes | 14.63 | 9.0 | 4.641 | 0.353 | 7.56 | 566.70 |
| 2 | 3:1 | yes | 13.33 | 8.4 | 3.931 | 0.293 | 8.17 | 601.84 |
| 3 | 3:1 | no | 12.69 | 8.0 | 2.346 | 0.217 | 4.56 | 463.71 |
| 4 | 3:1 | no | 14.41 | 8.0 | 2.772 | 0.259 | 4.20 | 448.71 |
| 5 | 1:1 | yes | 16.96 | 11.0 | 8.124 | 0.563 | 6.48 | 601.78 |
| 6 | 1:1 | yes | 12.09 | 8.0 | 4.512 | 0.328 | 7.06 | 542.05 |
| 7 | 1:1 | no | 12.17 | 7.0 | 2.772 | 0.285 | 4.12 | 422.19 |
| 8 | 1:1 | no | 12.11 | 7.6 | 2.187 | 0.210 | 4.23 | 439.59 |
| 9 | 1:3 | yes | 14.94 | 9.3 | 5.518 | 0.373 | 6.60 | 679.11 |
| 10 | 1:3 | yes | 15.09 | 10.7 | 6.128 | 0.407 | 7.42 | 637.12 |
| 11 | 1:3 | no | 11.84 | 8.0 | 2.452 | 0.208 | 4.82 | 523.50 |
| 12 | 1:3 | no | 11.33 | 7.6 | 2.174 | 0.192 | 4.23 | 479.51 |
| Daylight | 3HR:1DB | 1HR:3DB | |
|---|---|---|---|
| Height (cm) | 6.60 ± 1.09 | 6.11 ± 1.03 | 9.28 ± 0.96 |
| LoN | 7.0 ± 1.4 | 6.0 ± 0.0 | 5.6 ± 0.5 |
| TFM (g) | 2.895 ± 0.630 | 5.788 ± 0.392 | 5.145 ± 0.488 |
| TDM (g) | 0.388 ± 0.201 | 0.589 ± 0.038 | 0.465 ± 0.072 |
| TLM (g) | 2.330 ± 0.496 | 4.914 ± 0.349 | 4.308 ± 0.503 |
| ALM (g) | 0.357 ± 0.037 | 0.819 ± 0.058 | 0.769 ± 0.054 |
| TLA (cm2) | 72.73 ± 10.99 | 110.48 ± 10.33 | 106.12 ± 11.11 |
| ALA (cm2) | 9.70 ± 0.71 | 18.41 ± 1.72 | 18.98 ± 1.83 |
| SLA (cm2/g) | 209 ± 56 | 224 ± 18 | 282 ± 37 |
| LAI (%) | 2.7 ± 1.1 | 5.1 ± 0.5 | 4.9 ± 0.5 |
| Response | Transformation | R2 | Pred-R2 | Models’ Mathematical Expression | |
|---|---|---|---|---|---|
| NPK = NO | NPK = YES | ||||
| Height | NONE | 0.13 | 0.10 | - | |
| NoL | NONE | 0.47 | 0.41 | = 8.000 | = 9.666 |
| TFM | Inverse Square Root | 0.58 | 0.53 | = 2.032 | = 1.565 |
| TDM | NONE | 0.28 | 0.19 | - | |
| LAI | Inverse Square Root | 0.55 | 0.49 | = 0.543 | = 0.413 |
| SLA | Inverse Square Root | 0.75 | 0.68 | = 0.045 + 3.7 × 10−5 × HR:DB | = 0.039 + 3.7 × 10−5 × HR:DB |
| Response | Intercept | NPK | HR:DB |
|---|---|---|---|
| NoL | 8.83 | 0.8333 | - |
| TFM | 1.80 | −0.2340 | - |
| LAI | 0.47 | −0.0615 | - |
| SLA | 0.04 | −0.0032 | 0.0009 |
Publisher’s Note: MDPI stays neutral with regard to jurisdictional claims in published maps and institutional affiliations. |
© 2021 by the authors. Licensee MDPI, Basel, Switzerland. This article is an open access article distributed under the terms and conditions of the Creative Commons Attribution (CC BY) license (http://creativecommons.org/licenses/by/4.0/).
Share and Cite
Barbi, S.; Barbieri, F.; Bertacchini, A.; Barbieri, L.; Montorsi, M. Effects of Different LED Light Recipes and NPK Fertilizers on Basil Cultivation for Automated and Integrated Horticulture Methods. Appl. Sci. 2021, 11, 2497. https://doi.org/10.3390/app11062497
Barbi S, Barbieri F, Bertacchini A, Barbieri L, Montorsi M. Effects of Different LED Light Recipes and NPK Fertilizers on Basil Cultivation for Automated and Integrated Horticulture Methods. Applied Sciences. 2021; 11(6):2497. https://doi.org/10.3390/app11062497
Chicago/Turabian StyleBarbi, Silvia, Francesco Barbieri, Alessandro Bertacchini, Luisa Barbieri, and Monia Montorsi. 2021. "Effects of Different LED Light Recipes and NPK Fertilizers on Basil Cultivation for Automated and Integrated Horticulture Methods" Applied Sciences 11, no. 6: 2497. https://doi.org/10.3390/app11062497
APA StyleBarbi, S., Barbieri, F., Bertacchini, A., Barbieri, L., & Montorsi, M. (2021). Effects of Different LED Light Recipes and NPK Fertilizers on Basil Cultivation for Automated and Integrated Horticulture Methods. Applied Sciences, 11(6), 2497. https://doi.org/10.3390/app11062497

