Finite-Horizon Kinetic Energy Optimization of a Redundant Space Manipulator
Abstract
Featured Application
Abstract
1. Introduction
2. Materials and Methods
2.1. Mathematical Formulation
2.2. Parameters Description
3. Results and Discussion
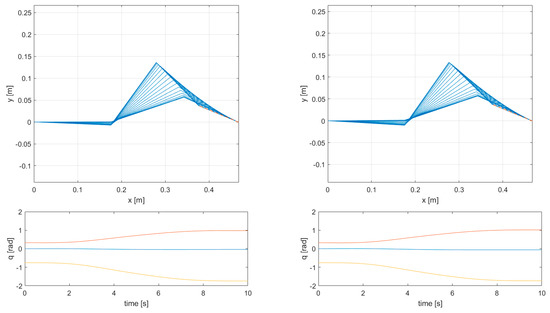
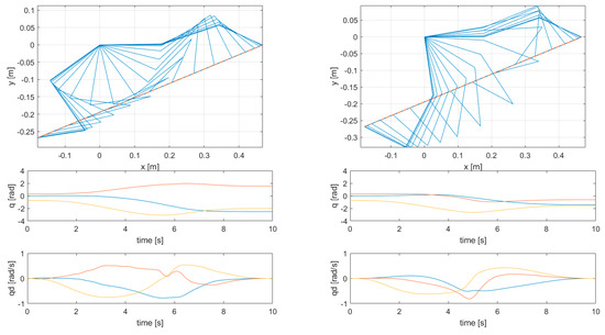
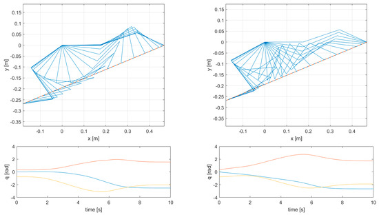
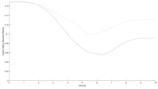
3.1. Simulation Setup
3.2. Simulation Results
4. Conclusions
Author Contributions
Funding
Conflicts of Interest
References
- Flores-Abad, A.; Ma, O.; Pham, K.; Ulrich, S. A review of space robotics technologies for on-orbit servicing. Prog. Aerosp. Sci. 2014, 68, 1–26. [Google Scholar] [CrossRef]
- Nenchev, D.N. Redundancy resolution through local optimization: A review. J. Robot. Syst. 1989, 6, 769–798. [Google Scholar] [CrossRef]
- Cocuzza, S.; Pretto, I.; Debei, S. Least-Squares-Based Reaction Control of Space Manipulators. J. Guid. Control. Dyn. 2012, 35, 976–986. [Google Scholar] [CrossRef]
- Cocuzza, S.; Pretto, I.; Debei, S. Novel reaction control techniques for redundant space manipulators: Theory and simulated microgravity tests. Acta Astronaut. 2011, 68, 1712–1721. [Google Scholar] [CrossRef]
- Cocuzza, S.; Tringali, A.; Yan, X.-T. Energy-efficient motion of a space manipulator. In Proceedings of the 67th International Astronautical Congress, Guadalajara, Mexico, 26–30 September 2016. [Google Scholar]
- Kelemen, M.; Virgala, I.; Lipták, T.; Miková, L.; Filakovský, F.; Bulej, V. A novel approach for a inverse kinematics solution of a redundant manipulator. Appl. Sci. 2018, 8, 2229. [Google Scholar] [CrossRef]
- Woolfrey, J.; Lu, W.; Liu, D. A Control Method for Joint Torque Minimization of Redundant Manipulators Handling Large External Forces. J. Intell. Robot. Syst. Theory Appl. 2019, 96, 3–16. [Google Scholar] [CrossRef]
- Sarkar, N.; Podder, T.K. Coordinated motion planning and control of autonomous underwater vehicle-manipulator systems subject to drag optimization. IEEE J. Ocean. Eng. 2001, 26, 228–239. [Google Scholar] [CrossRef]
- Klein, C.A.; Huang, C.H. Review of Pseudoinverse Control for Use with Kinematically Redundant Manipulators. IEEE Trans. Syst. Man Cybern. 1983, SMC-13, 245–250. [Google Scholar] [CrossRef]
- Baillieul, J.; Hollerbach, J.M.; Brockett, R. Programming and control of kinematically redundant manipulators. In Proceedings of the 23rd Conference on Decision and Control, Las Vegas, NV, USA, 12–14 December 1984; pp. 768–774. [Google Scholar]
- Whitney, D. Resolved Motion Rate Control of Manipulators and Human Prostheses. IEEE Trans. Man Mach. Syst. 1969, 10, 47–53. [Google Scholar] [CrossRef]
- Hollerbach, J.M.; Suh, K.C. Redundancy Resolution of Manipulators through Torque Optimization. IEEE J. Robot. Autom. 1987, 3, 308–316. [Google Scholar] [CrossRef]
- Nedungadi, A.; Kazerouinian, K. A local solution with global characteristics for the joint torque optimization of a redundant manipulator. J. Robot. Syst. 1989, 6, 631–654. [Google Scholar] [CrossRef]
- Vukobratovic, M.; Kircanski, M. A Dynamic Approach to Nominal Trajectory Synthesis for Redundant Manipulators. IEEE Trans. Syst. Man Cybern. 1984, 103, 580–586. [Google Scholar] [CrossRef]
- Maciejewski, A.A.; Klein, C.A. Numerical Filtering of the Operation of Robotic Manipulators through Kinematically Singular Configurations. J. Robot. Syst. 1988, 5, 527–552. [Google Scholar] [CrossRef]
- Hu, B.; Teo, C.L.; Lee, H.P. Local Optimization of Weighted Joint Torques for Redundant Robotic Manipulators. IEEE Trans. Robot. Autom. 1995, 11, 422–425. [Google Scholar] [CrossRef]
- Kanoun, O.; Lamiraux, F.; Wieber, P. Kinematic control of redundant manipulators: Generalizing the task priority framework to inequality tasks. IEEE Trans. Robot. 2011, 27, 1–9. [Google Scholar] [CrossRef]
- Zhang, Y.; Ge, S.S.; Lee, T.H. A unified quadratic-programming-based dynamical system approach to joint torque optimization of physically constrained redundant manipulators. IEEE Trans. Syst. Man Cybern. Part B Cybern. 2004, 34, 2126–2132. [Google Scholar] [CrossRef]
- Gregory, J.; Olivares, A.; Staffetti, E. Energy-optimal trajectory planning for robot manipulators with holonomic constraints. Syst. Control Lett. 2012, 61, 279–291. [Google Scholar] [CrossRef]
- Halevi, Y.; Carpanzano, E.; Montalbano, G. Minimum Energy Control of Redundant Linear Manipulators. J. Dyn. Syst. Meas. Control 2014, 136, 1–8. [Google Scholar] [CrossRef]
- von Stryk, O.; Schlemmer, M. Optimal Control of the Industrial Robot Manutec r3. Comput. Optim. Control 1994, 115, 367–382. [Google Scholar]
- Saramago, S.F.P.; Steffen, V., Jr. Trajectory Modeling of Robot Manipulators in the Presence of Obstacles. J. Optim. Theory Appl. 2001, 110, 17–34. [Google Scholar] [CrossRef]
- Field, G.; Stepanenko, Y. Iterative Dynamic Programming: An Approach to Minimum Energy Trajectory Planning for Robotic Manipulators. In Proceedings of the 1996 IEEE Intemational Conference on Robotics and Automation, Minneapolis, MN, USA, 22–28 April 1996; pp. 2755–2760. [Google Scholar]
- Nurmi, J.; Mattila, J. Global energy-optimal redundancy resolution of hydraulic manipulators: Experimental results for a forestry manipulator. Energies 2017, 10, 647. [Google Scholar] [CrossRef]
- Tringali, A.; Cocuzza, S. Globally optimal inverse kinematics method for a redundant robot manipulator with linear and nonlinear constraints. Robotics 2020, 9, 61. [Google Scholar] [CrossRef]
- Faroni, M.; Beschi, M.; Pedrocchi, N.; Visioli, A. Predictive Inverse Kinematics for Redundant Manipulators with Task Scaling and Kinematic Constraints. IEEE Trans. Robot. 2019, 35, 278–285. [Google Scholar] [CrossRef]
- Nakamura, Y.; Hanafusa, H.; Yoshikawa, T. Task-Priority Based Redundancy Control of Robot Manipulators. Int. J. Robot. Res. 1987, 6, 32–42. [Google Scholar] [CrossRef]












| Step nr. | Operation | |
|---|---|---|
| 1 | A horizon is selected ( is a positive integer number). | |
| 2 | A prediction step size is selected. It is a multiple of the pseudoinverse algorithm step size and it is generally much larger. | |
| 3 | An update interval size is selected. It is a multiple of the pseudoinverse step size , but it is generally smaller than . | |
| 4 | Expression (4) is optimized with sampling times Any deterministic optimisation algorithm can be used, and the Matlab fmincon Sequential Quadratic Programming (SQP) function has been used in this work. This provides a prediction of the optimal joint variables for a future window that is defined here as prediction window | |
| 5 | The optimization at point 4 outputs a set of joint configurations, for the sampling times The set of these vectors is from now on referred as . A specific vector in the set is referred with its sampling time as a subscript, with a notation such as for the sampling time ( for ). | |
| 6 | A 4th order spline interpolation from to is computed, which intersect all the points in the set . Endpoint conditions of the interpolation are set so that and at are always set equal to the ones reached by the manipulator at time , and are set to zero at . This ensures that the resulting spline has not large derivatives in the interval of interest. The resulting spline is from now on referred as . | |
| 7 | For each step in the update interval , the joint velocities are computed as per (2), using the error between the previous joint variables and the computed value of divided per as arbitrary vector: | |
| 8 | Once time has passed, steps 4 to 7 are repeated for the new update interval, using the last time step of previous interval as . | |
| 9 | Steps 4–8 are repeated until the amount of time before the end of the trajectory is | |
| 10 | The steps left at this point are computed with the last computed . | |
| Parameter | ||||
|---|---|---|---|---|
| 0.01 | 1 | 2 | 0.5 |
| Link nr. | Mass (kg) | Length (m) | Moment of Inertia (Barycentric) (kgm2) | Center of Gravity (m) |
|---|---|---|---|---|
| 1 | 0.615 | 0.176 | 0.001811 | 0.0950 |
| 2 | 0.615 | 0.176 | 0.003173 | 0.0717 |
| 3 | 0.307 | 0.1375 | 0.002103 | 0.0526 |
| Simulation nr. | Shape | Characteristic Dimension | Length [m] |
|---|---|---|---|
| 1 | Rectilinear | Length | 0.10 |
| 2 | Circular | Radius | 0.05 |
| 3 | Rectilinear | Length | 0.40 |
| 4 | Rectilinear | Length | 0.70 |
| Simulation nr. | PMKE Result [Js] | LSV Result [Js] | Global Result [Js] | PMKE Computational Time [s] |
|---|---|---|---|---|
| 1 | 5.98 × 10−3 | 8.81 × 10−3 (+47.4%) | 5.97 × 10−3 (−0.13%) | 0.915 |
| 2 | 4.08 × 10−3 | 5.37 × 10−3 (+31.7%) | 3.87 × 10−3 (−5.03%) | 0.934 |
| 3 | 7.57 × 10−3 | 2.17 × 10−2 (+187%) | 6.09 × 10−3 (−19.5%) | 0.961 |
| 4 | 3.97 × 10−2 | 5.17 × 10−2 (+30.1%) | 3.03 × 10−2 (−23.6%) | 0.914 |
Publisher’s Note: MDPI stays neutral with regard to jurisdictional claims in published maps and institutional affiliations. |
© 2021 by the authors. Licensee MDPI, Basel, Switzerland. This article is an open access article distributed under the terms and conditions of the Creative Commons Attribution (CC BY) license (http://creativecommons.org/licenses/by/4.0/).
Share and Cite
Tringali, A.; Cocuzza, S. Finite-Horizon Kinetic Energy Optimization of a Redundant Space Manipulator. Appl. Sci. 2021, 11, 2346. https://doi.org/10.3390/app11052346
Tringali A, Cocuzza S. Finite-Horizon Kinetic Energy Optimization of a Redundant Space Manipulator. Applied Sciences. 2021; 11(5):2346. https://doi.org/10.3390/app11052346
Chicago/Turabian StyleTringali, Alessandro, and Silvio Cocuzza. 2021. "Finite-Horizon Kinetic Energy Optimization of a Redundant Space Manipulator" Applied Sciences 11, no. 5: 2346. https://doi.org/10.3390/app11052346
APA StyleTringali, A., & Cocuzza, S. (2021). Finite-Horizon Kinetic Energy Optimization of a Redundant Space Manipulator. Applied Sciences, 11(5), 2346. https://doi.org/10.3390/app11052346

