Entropy Generation and MHD Convection within an Inclined Trapezoidal Heated by Triangular Fin and Filled by a Variable Porous Media
Abstract
1. Introduction
- Using an irregular flow domain heated by irregular fin that was not presented before.
- Properties of the porous medium are considered variables and this assumption makes the work more attractive to readers.
- Physically, the local thermal non-equilibrium state (two-energy equations model) is more realistic than the local thermal equilibrium case.
- Most of the published works in this field consider the magnetic field as inclined and the geometry as non-inclined, and hence, the formulation of the governing system when the magnetic force is horizontal and the geometry is inclined is unusual and novel.
- Analyses of the second law of thermodynamics for such kinds of complex geometries (triangular fin within a trapezoidal enclosure) have not been presented before.
- The numerical methodology which depends on mapping between the real–irregular domain and regular–rectangular computational domain has received less focus.
- Finally, various practical applications for the current simulations can be found, e.g., air conditioning systems in buildings, furnace and home heating, electronic equipment cooling, drying foods and double pane windows.
2. Formulation of the Problem
2.1. Correlations of the Hybrid Nanofluids
2.2. Heat Transfer Coefficient
2.3. Entropy Generation Analysis
3. Numerical Treatments
4. Discussion of Results
5. Conclusions
- 1
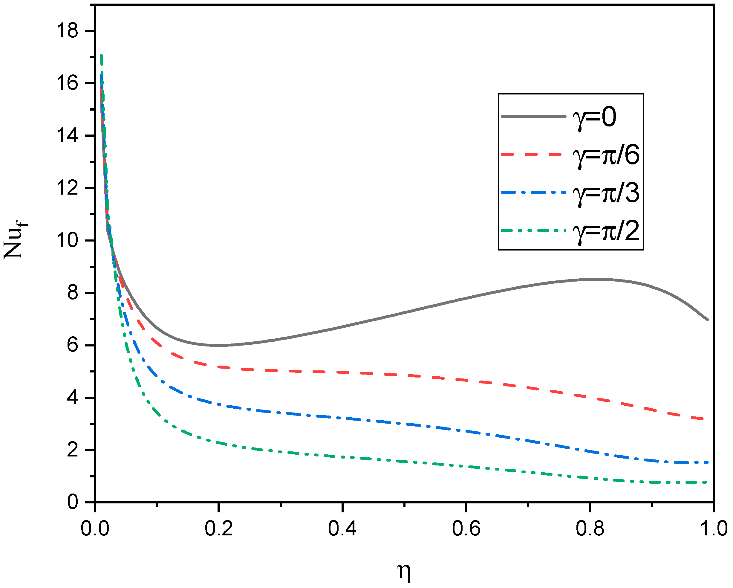
- The irreversibility due to the transfer of heat is dominant along the fin boundary in the case of a horizontal domain, while in the case of a vertical geometry, it is dominant near the boundaries of the trapezoidal.
- 2
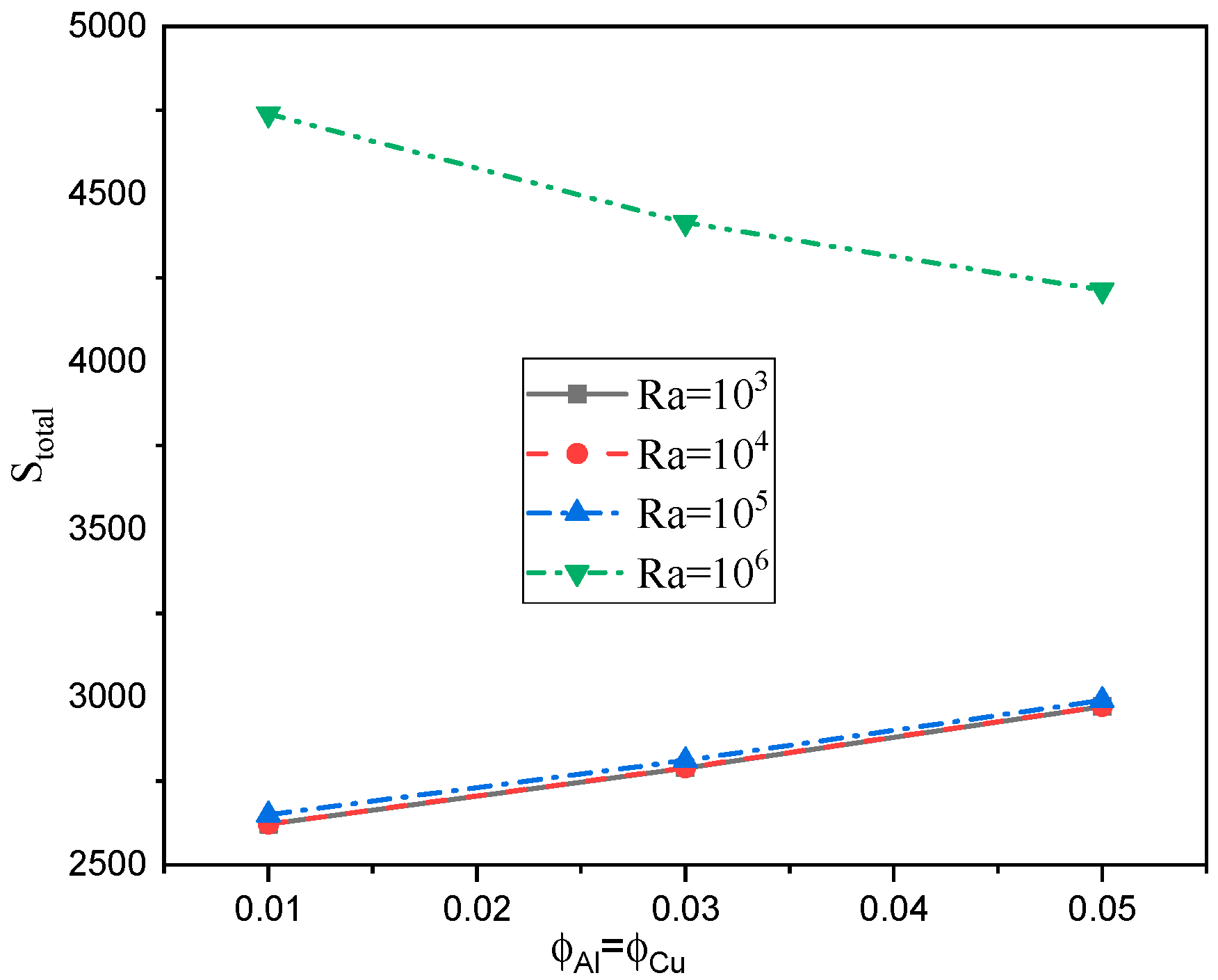
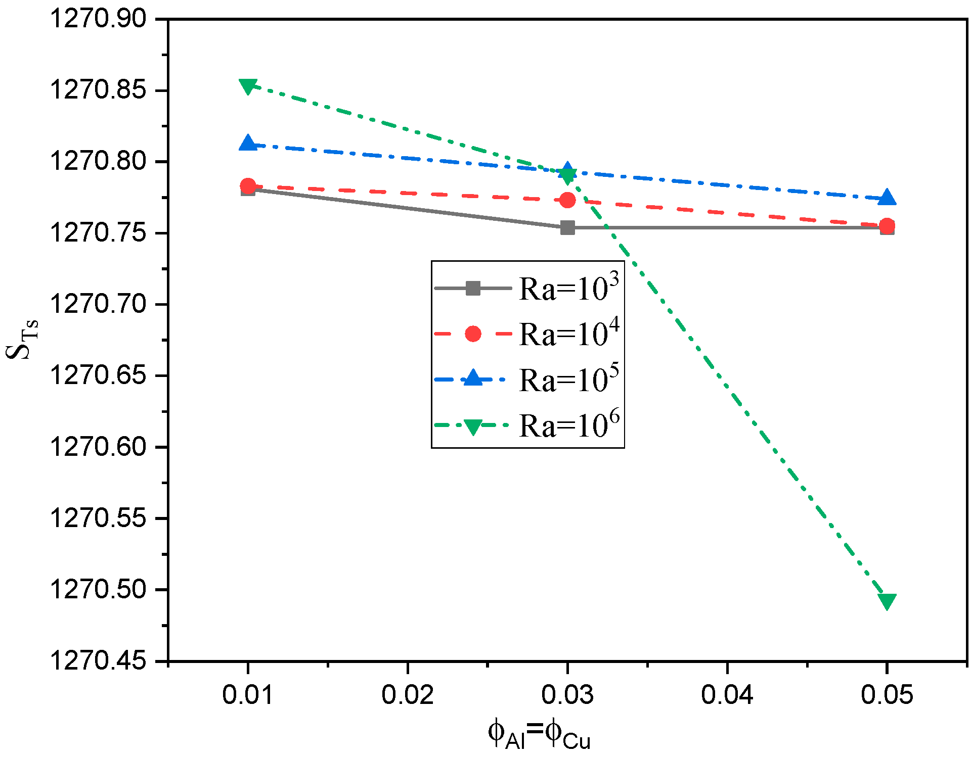
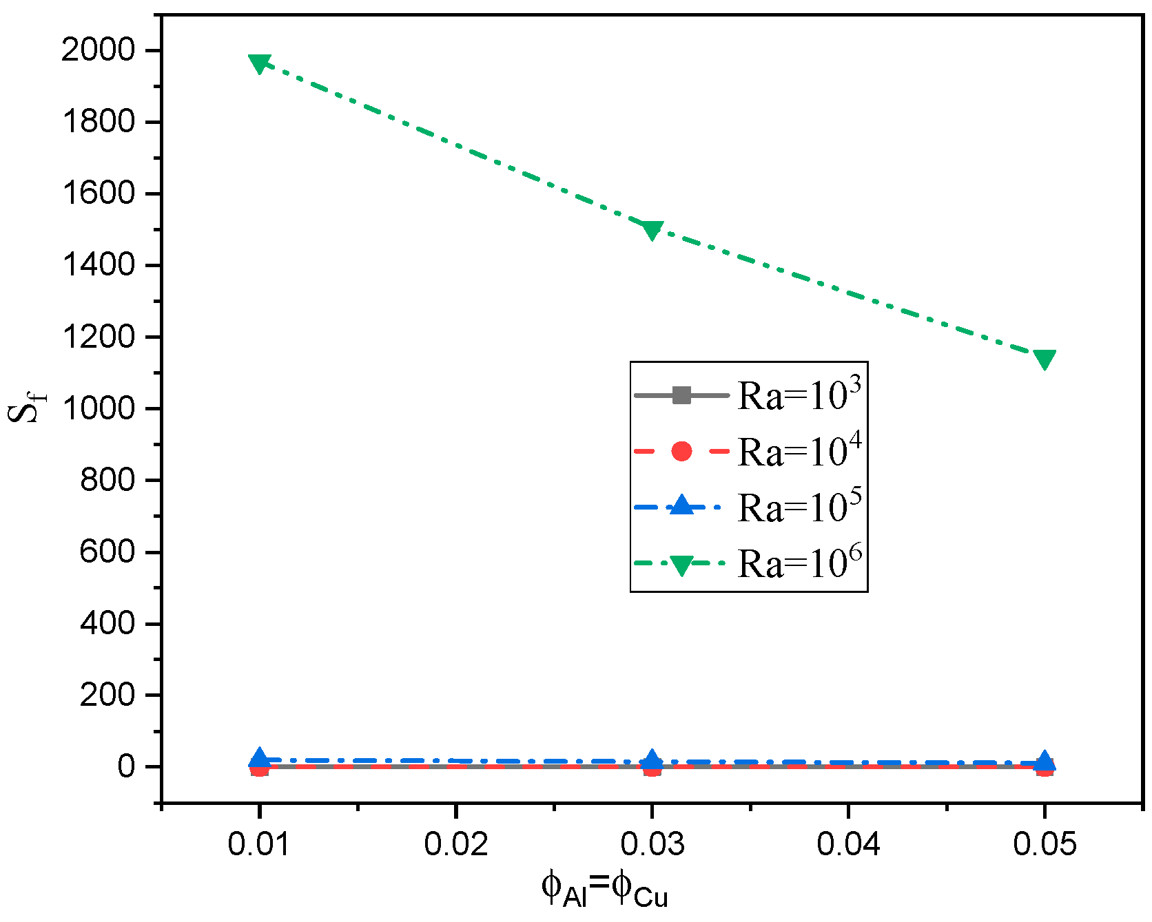
- Activity of the hybrid nanofluid as well as the fluid friction entropy are diminished as the grows.
- 3
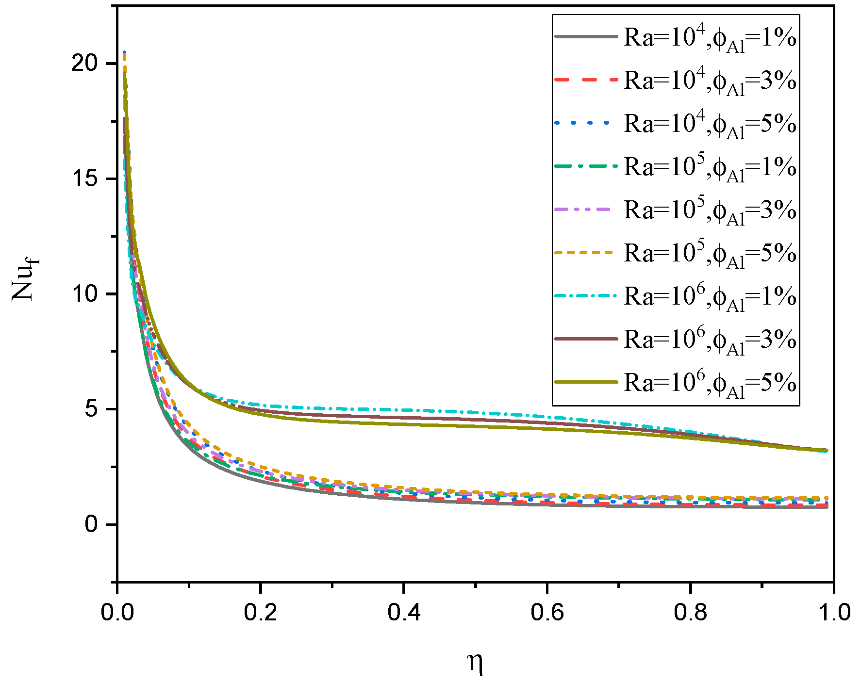
- The transfer of heat entropy is augmented as the concentration of the nanoparticles is boosted.The increase in the reduces the Nusselt number while it increases as the Rayleigh number or the volume fraction parameter are growing.
- 4
- From the obtained results, it is recommended to use a non-inclined irregular domain to enhance the heat transfer rate. Additionally, the variable-properties porous medium is more realistic than the porous medium with constant properties.
- 5
- It is recommended to use hybrid nanofluids for enhancement of the heat transfer instead of mono nanofluids.
Author Contributions
Funding
Institutional Review Board Statement
Informed Consent Statement
Data Availability Statement
Conflicts of Interest
Abbreviation
| Nomenclature | |
| Aspect ratio | |
| Bejan number | |
| Specific heat capacity | |
| Inertial coefficient | |
| Darcy number | |
| Solid particles diameter (m) | |
| Gravity acceleration | |
| Heat-transfer coefficient [] | |
| Hartmann number | |
| Thermal conductivity | |
| Porous medium permeability | |
| Thermal conductivity ratio | |
| Bottom wall length | |
| Nusselt number | |
| Pressure | |
| Prandtl number | |
| Rayleigh number | |
| Entropy generation due to the heat transfer | |
| Entropy generation due to the fluid friction | |
| Total entropy | |
| Time | |
| Temperature | |
| Dimensional velocity component () | |
| Dimensionless velocity component | |
| Cartesian coordinates (m) | |
| Dimensionless Cartesian coordinates | |
| Greek Symbols | |
| Thermal diffusivity | |
| Coefficient of thermal expansion | |
| Inclination angle of the cavity vector | |
| Dimensionless time | |
| Dimensionless temperature | |
| Dynamic viscosity | |
| Kinematic viscosity | |
| Density | |
| Solid volume fraction | |
| Trapezoidal angle | |
| Electrical conductivity | |
| Porosity | |
| ( | Coordinates of the rectangular domain |
| Subscripts | |
| eff | Effective |
| Fluid | |
| Porous medium | |
| Hybrid Nanofluid | |
| Hot | |
| Fluid phase | |
| Porous phase | |
| Cold | |
References
- Weber, J.E. The boundary-layer regime for convection in a vertical porous layer. Int. J. Heat Mass Transf. 1975, 18, 569–573. [Google Scholar] [CrossRef]
- Burns, P.; Chow, L.; Tien, C. Convection in a vertical slot filled with porous insulation. Int. J. Heat Mass Transf. 1977, 20, 919–926. [Google Scholar] [CrossRef]
- Walker, K.L.; Homsy, G.M. Convection in a porous cavity. J. Fluid Mech. 1978, 87, 449–474. [Google Scholar] [CrossRef]
- Bejan, A. On the boundary layer regime in a vertical enclosure filled with a porous medium. Lett. Heat Mass Transf. 1979, 6, 93–102. [Google Scholar] [CrossRef]
- Prasad, V.; Kulacki, F.A. Natural Convection in a Rectangular Porous Cavity with Constant Heat Flux on One Vertical Wall. J. Heat Transf. 1984, 106, 152–157. [Google Scholar] [CrossRef]
- Seki, N.; Fukusako, S.; Inaba, H. Heat transfer in a confined rectangular cavity packed with porous media. Int. J. Heat Mass Transf. 1978, 21, 985–989. [Google Scholar] [CrossRef]
- Prasad, V.; Kulacki, F.A.; Keyhani, M. Natural convection in porous media. J. Fluid Mech. 1985, 150, 89–119. [Google Scholar] [CrossRef]
- Cheng, P. Heat Transfer in Geothermal Systems. Adv. Heat Transf. 1979, 14, 1–105. [Google Scholar] [CrossRef]
- Slattery, J.C. Two-phase flow through porous media. AIChE J. 1970, 16, 345–352. [Google Scholar] [CrossRef]
- Poulikakos, D.; Bejan, A. The departure from Darcy flow in natural convection in a vertical porous layer. Phys. Fluids 1985, 28, 3477–3484. [Google Scholar] [CrossRef]
- Mohamed, A.B.; Hdidi, W.; Tlili, I. Evaporation of Water/Alumina Nanofluid Film by Mixed Convection Inside Heated Vertical Channel. Appl. Sci. 2020, 10, 2380. [Google Scholar] [CrossRef]
- Shah, Z.; OAlzahrani, E.; Dawar, A.; Alghamdi, W.; Zaka Ullah, M. Entropy Generation in MHD Second-Grade Nanofluid Thin Film Flow Containing CNTs with Cattaneo-Christov Heat Flux Model Past an Unsteady Stretching Sheet. Appl. Sci. 2020, 10, 2720. [Google Scholar] [CrossRef]
- Shah, Z.; Dawar, A.; Kumam, P.; Khan, W.; Islam, S. Impact of Nonlinear Thermal Radiation on MHD Nanofluid Thin Film Flow over a Horizontally Rotating Disk. Appl. Sci. 2019, 9, 1533. [Google Scholar] [CrossRef]
- Ahmed, A.S. FEM-CBS algorithm for convective transport of nanofluids in inclined enclosures filled with anisotropic non-Darcy porous media using LTNEM. Int. J. Numer. Methods Heat Fluid Flow 2020, 31, 570–594. [Google Scholar] [CrossRef]
- Rashed, Z.Z.; Ahmed, S.E.; Raizah, Z.A.S. Thermal dispersion and buongiorno’s nanofluid model effects on natural convection in an inclined rectangular enclosure partially filled with heat generating porous medium. J. Porous Media 2020, 23, 341–361. [Google Scholar] [CrossRef]
- Ahmed, S.E. Non-Darcian natural convection of a nanofluid due to triangular fins within trapezoidal enclosures partially filled with a thermal non-equilibrium porous layer. J. Therm. Anal. Calorim. 2020, 1–16. [Google Scholar] [CrossRef]
- Al-Weheibi, S.M.; Rahman, M.M.; Saghir, M.Z. Impacts of Variable Porosity and Variable Permeability on the Thermal Augmentation of Cu–H2O Nanofluid-Drenched Porous Trapezoidal Enclosure Considering Thermal Nonequilibrium Model. Arab. J. Sci. Eng. 2019, 45, 1237–1251. [Google Scholar] [CrossRef]
- Abelman, S.; Parsa, A.B.; Sayehvand, H.-O. Nanofluid flow and heat transfer in a Brinkman porous channel with variable porosity. Quaest. Math. 2018, 41, 449–467. [Google Scholar] [CrossRef]
- Saif, R.S.; Muhammad, T.; Sadia, H. Significance of inclined magnetic field in Darcy–Forchheimer flow with variable porosity and thermal conductivity. Phys. A Stat. Mech. Its Appl. 2020, 551, 124067. [Google Scholar] [CrossRef]
- Nithiarasu, P.; Seetharamu, K.; Sundararajan, T. Natural convective heat transfer in a fluid saturated variable porosity medium. Int. J. Heat Mass Transf. 1997, 40, 3955–3967. [Google Scholar] [CrossRef]
- El-Kabeir, S.M.M.; El-Hakiem, M.A.; Rashad, A.M. Natural Convection from a Permeable Sphere Embedded in a Variable Porosity Porous Medium Due to Thermal Dispersion. Nonlinear Anal. Model. Control 2007, 12, 345–357. [Google Scholar] [CrossRef]
- Amiri, A.; Vafai, K. Analysis of dispersion effects and non-thermal equilibrium, non-Darcian, variable porosity incompressible flow through porous media. Int. J. Heat Mass Transf. 1994, 37, 939–954. [Google Scholar] [CrossRef]
- Al-Kouz, W.; Kiwan, S.; Alshare, A.; Hammad, A.; Ammar, A. Two-Dimensional Analysis of Low Pressure Flows in the Annulus Region between Two Concentric Cylinders with Solid Fins. Jordan J. Mech. Ind. Eng. 2016, 10, 253–261. [Google Scholar]
- Al-Kouz, W.; Alshare, A.; Kiwan, S.; Al-Muhtady, A.; Alkhalidi, A.; Saadeh, H. Two-dimensional analysis of low-pressure flows in an inclined square cavity with two fins attached to the hot wall. Int. J. Therm. Sci. 2018, 126, 181–193. [Google Scholar] [CrossRef]
- Al-Kouz, W.; Al-Muhtady, A.; Owhaib, W.; Al-Dahidi, S.; Hader, M.; Abu-Alghanam, R. Entropy Generation Optimization for Rarified Nanofluid Flows in a Square Cavity with Two Fins at the Hot Wall. Entropy 2019, 21, 103. [Google Scholar] [CrossRef]
- Mahapatra, T.R.; Saha, B.C.; Pal, D. Magnetohydrodynamic double-diffusive natural convection for nanofluid within a trapezoidal enclosure. Comput. Appl. Math. 2018, 37, 6132–6151. [Google Scholar] [CrossRef]
- Li, J.; Yu, B.; Wang, M. Benchmark solutions for two-dimensional fluid flow and heat transfer problems in irregular regions using multigrid method. Adv. Mech. Eng. 2015, 7. [Google Scholar] [CrossRef]
- Alsabery, A.; Chamkha, A.; Saleh, H.; Hashim, I.; Chanane, B. Darcian Natural Convection in an Inclined Trapezoidal Cavity Partly Filled with a Porous Layer and Partly with a Nanofluid Layer. Sains Malays. 2017, 46, 803–815. [Google Scholar] [CrossRef]
- Alsabery, A.; Chamkha, A.; Hussain, S.; Saleh, H.; Hashim, I. Heatline visualization of natural convection in a trapezoidal cavity partly filled with nanofluid porous layer and partly with non-Newtonian fluid layer. Adv. Powder Technol. 2015, 26, 1230–1244. [Google Scholar] [CrossRef]
- Ahmed, S.E.; Mansour, M.A.; Rashad, A.M.; Salah, T. MHD natural convection from two heating modes in fined triangular enclosures filled with porous media using nanofluids. J. Therm. Anal. Calorim. 2019, 139, 3133–3149. [Google Scholar] [CrossRef]
- Ahmed, S.E. Natural Convection of Dusty Hybrid Nanofluids in Diverging–Converging Cavities Including Volumetric Heat Sources. J. Therm. Sci. Eng. Appl. 2020, 13. [Google Scholar] [CrossRef]
- Mansour, M.A.; El-Aziz, M.M.A.; Mohamed, R.A.; Ahmed, S.E. Thermal nonequilibrium modeling of unsteady natural convection in trapezoidal enclosures in the presence of thermal radiation: Effect of exponential variation of boundary conditions. Spec. Top. Rev. Porous Media Int. J. 2011, 2, 323–333. [Google Scholar] [CrossRef]
- Al-Mudhaf, A.F.; Rashad, A.; Ahmed, S.E.; Chamkha, A.J.; El-Kabeir, S. Soret and Dufour effects on unsteady double diffusive natural convection in porous trapezoidal enclosures. Int. J. Mech. Sci. 2018, 140, 172–178. [Google Scholar] [CrossRef]
- Ahmed, S.E.; Raizah, Z.A.S. Natural Convection Flow of Nanofluids in a Composite System with Variable-Porosity Media. J. Thermophys. Heat Transf. 2018, 32, 495–502. [Google Scholar] [CrossRef]
- Ahmed, S.E.; Hussein, A.K.; Mansour, M.A.; Raizah, Z.A.; Zhang, X. MHD mixed convection in trapezoidal enclosures filled with micropolar nanofluids. Nanosci. Technol. Int. J. 2018, 9, 343–372. [Google Scholar] [CrossRef]
- Miroshnichenko, I.V.; Sheremet, M.A.; Oztop, H.F.; Al-Salem, K. MHD natural convection in a partially open trapezoidal cavity filled with a nanofluid. Int. J. Mech. Sci. 2016, 119, 294–302. [Google Scholar] [CrossRef]
- Astanina, M.S.; Sheremet, M.A.; Oztop, H.F.; Abu-Hamdeh, N. MHD natural convection and entropy generation of ferrofluid in an open trapezoidal cavity partially filled with a porous medium. Int. J. Mech. Sci. 2018, 136, 493–502. [Google Scholar] [CrossRef]
- Al-Kouz, W.; Alshare, A.; Alkhalidi, A.; Kiwan, S. Two dimensional analysis of low pressure flows in the annulus region between two concentric cylinders. SpringerPlus 2016, 5. [Google Scholar] [CrossRef] [PubMed]
- Abu-Libdeh, N.; Redouane, F.; Aissa, A.; Mebarek-Oudina, F.; Almuhtady, A.; Jamshed, W.; Al-Kouz, W. Hydrothermal and Entropy Investigation of Ag/MgO/H2O Hybrid Nanofluid Natural Convection in a Novel Shape of Porous Cavity. Appl. Sci. 2021, 11, 1722. [Google Scholar] [CrossRef]
- Al-Kouz, W.; Saleem, K.B.; Chamkha, A. Numerical investigation of rarefied gaseous flows in an oblique wavy sided walls square cavity. Int. J. Heat Mass Transf. 2020, 116, 104719. [Google Scholar] [CrossRef]
- Al-Kouz, W.G.; Kiwan, S.; Alkhalidi, A.; Sari, M.; Alshare, A. Numerical study of heat transfer enhancement for low-pressure flows in a square cavity with two fins attached to the hot wall using AL2O3-air nanofluid. Strojniški Vestnik-J. Mech. Eng. 2018, 64, 26–36. [Google Scholar]
- Zahri, M.; Al-Kouz, W.; Rehman, K.U.; Malik, M. Thermally magnetized rectangular chamber optimization (TMRCO) of partially heated continuous stream: Hybrid meshed case study. Case Stud. Therm. Eng. 2020, 22, 100770. [Google Scholar] [CrossRef]
- Ergun, S. Fluid flow through packed columns. Chem. Eng. Prog. 1952, 48, 89–94. [Google Scholar]
- Cheng, P.; Hsu, C. Fully-developed, forced convective flow through an annular packed-sphere bed with wall effects. Int. J. Heat Mass Transf. 1986, 29, 1843–1853. [Google Scholar] [CrossRef]
- Ahmed, S.E. Caputo fractional convective flow in an inclined wavy vented cavity filled with a porous medium using Al2O3–Cu hybrid nanofluids. Int. Commun. Heat Mass Transf. 2020, 116, 104690. [Google Scholar] [CrossRef]
- Buonomo, B.; Manca, O.; Lauriat, G. Forced convection in micro-channels filled with porous media in local thermal non-equilibrium conditions. Int. J. Therm. Sci. 2014, 77, 206–222. [Google Scholar] [CrossRef]
- Ilis, G.G.; Mobedi, M.; Sunden, B. Effect of aspect ratio on entropy generation in a rectangular cavity with differentially heated vertical walls. Int. Commun. Heat Mass Transf. 2008, 35, 696–703. [Google Scholar] [CrossRef]













| Property | H2O | Cu | Al2O3 |
|---|---|---|---|
| ρ | 997.1 | 8933 | 3970 |
| Cp | 4179 | 385 | 765 |
| k | 0.613 | 401 | 40 |
| β | 21 × 10-5 | 1.67 × 10-5 | 0.85 × 10-5 |
| σ | 0.05 | 5.96 × 107 | 1 × 10-10 |
| Grid Size | ||
|---|---|---|
| 1.396400 | 2.751032 | |
| 1.297873 | 2.877911 | |
| 1.935634 | 3.034790 | |
| 1.964531 | 3.125698 | |
| 1.993429 | 3.196916 | |
| 2.021942 | 3.259058 |
Publisher’s Note: MDPI stays neutral with regard to jurisdictional claims in published maps and institutional affiliations. |
© 2021 by the authors. Licensee MDPI, Basel, Switzerland. This article is an open access article distributed under the terms and conditions of the Creative Commons Attribution (CC BY) license (http://creativecommons.org/licenses/by/4.0/).
Share and Cite
Almuhtady, A.; Alhazmi, M.; Al-Kouz, W.; Raizah, Z.A.S.; Ahmed, S.E. Entropy Generation and MHD Convection within an Inclined Trapezoidal Heated by Triangular Fin and Filled by a Variable Porous Media. Appl. Sci. 2021, 11, 1951. https://doi.org/10.3390/app11041951
Almuhtady A, Alhazmi M, Al-Kouz W, Raizah ZAS, Ahmed SE. Entropy Generation and MHD Convection within an Inclined Trapezoidal Heated by Triangular Fin and Filled by a Variable Porous Media. Applied Sciences. 2021; 11(4):1951. https://doi.org/10.3390/app11041951
Chicago/Turabian StyleAlmuhtady, Ahmad, Muflih Alhazmi, Wael Al-Kouz, Zehba A. S. Raizah, and Sameh E. Ahmed. 2021. "Entropy Generation and MHD Convection within an Inclined Trapezoidal Heated by Triangular Fin and Filled by a Variable Porous Media" Applied Sciences 11, no. 4: 1951. https://doi.org/10.3390/app11041951
APA StyleAlmuhtady, A., Alhazmi, M., Al-Kouz, W., Raizah, Z. A. S., & Ahmed, S. E. (2021). Entropy Generation and MHD Convection within an Inclined Trapezoidal Heated by Triangular Fin and Filled by a Variable Porous Media. Applied Sciences, 11(4), 1951. https://doi.org/10.3390/app11041951

