Design of Vehicle Stability Controller Based on Fuzzy Radial Basis Neural Network Sliding Mode Theory with Sideslip Angle Estimation
Abstract
Featured Application
Abstract
1. Introduction
2. Estimation of Sideslip Angle
2.1. The 7-DOF Nonlinear Vehicle Dynamic Model
2.2. The Unitire Model
2.3. Design of Sideslip Angle Algorithm
- System status vector: ;
- Measuring status vector: ;
- Control input: ,
3. Design of Vehicle Stability Controller
3.1. Two-DOF Linear Reference Model
3.2. Expected Values of Control Variables
3.3. Design of RBFNN-SMC Controller
3.4. Allocation of Extra Yaw Moment
4. Simulated Results and Analysis
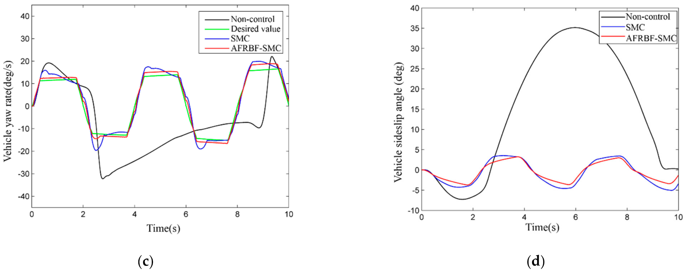
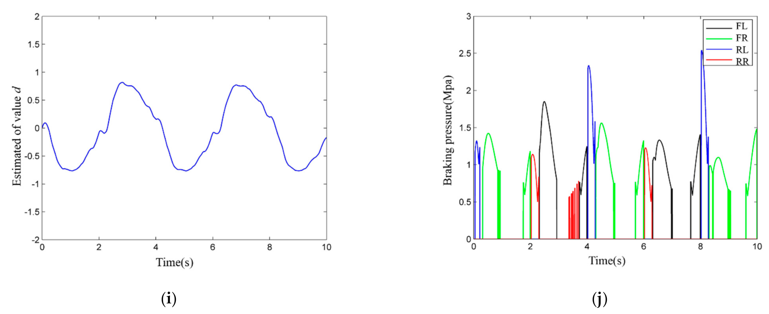
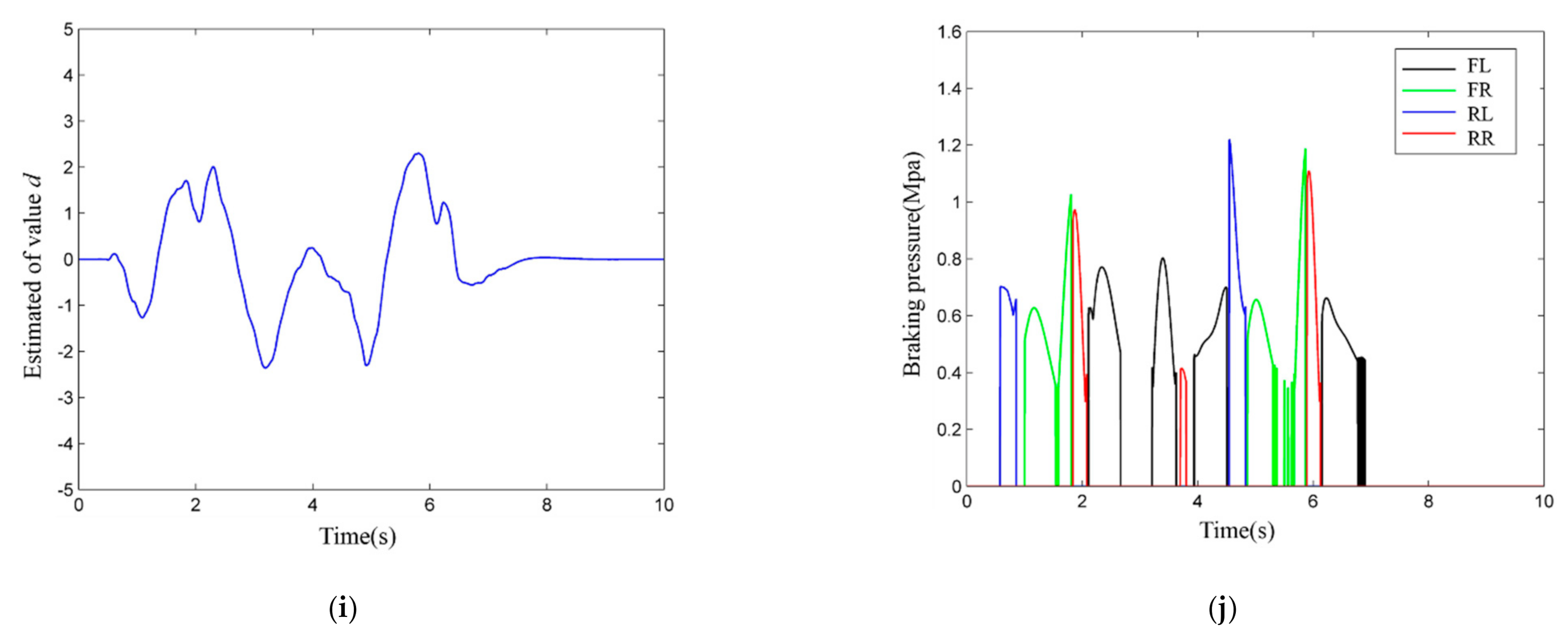
4.1. Sinusoidal Steering Condition
4.2. Double Lane Change (DLC) Condition
5. Summary
Author Contributions
Funding
Institutional Review Board Statement
Informed Consent Statement
Data Availability Statement
Conflicts of Interest
Appendix A. Parameters of the Unitire Model
| Parament | Symbol | Units |
|---|---|---|
| Longitudinal slip rate | Sx | null |
| Lateral slip rate | Sy | null |
| Longitudinal velocity at the center of a tire | Vx | m/s |
| Lateral velocity at the center of the tire | Vy | m/s |
| Valid rolling radius of the tire | R | m |
| Rotating speed | Ω | rad/s |
| Relative longitudinal slip rate | null | |
| Relative lateral slip rate | null | |
| Relative total slip rate | null | |
| Vertical loading of a tire | Fz | N |
| Longitudinal friction factor | μx | null |
| Lateral friction factor | μy | null |
| Longitudinal rigidity | Kx | N/unit slip |
| Lateral rigidity | Ky | N/rad |
| Longitudinal force | Fx | N |
| Lateral force | Fy | N |
| Aligning torque | Mz | N/m |
| Dimensionless longitudinal force | null | |
| Dimensionless lateral force | null |
Appendix B. The Selection Logic of the Controlled Wheel
| Δ | ωr-ωrd | dδ/dt | Steering Character | Object of Action |
|---|---|---|---|---|
| Δ ≥ 0 | >0 | >0 | oversteer | fr |
| <0 | oversteer | fr | ||
| <0 | >0 | understeer | rl | |
| <0 | — | — | ||
| Δ < 0 | >0 | >0 | — | — |
| <0 | understeer | rr | ||
| <0 | >0 | oversteer | fl | |
| <0 | oversteer | fl |
Appendix C. Parameters of the Test Vehicle Model and the Proposed Controller
| Parament | Symbol | Value | Units |
|---|---|---|---|
| Vehicle mass | m | 1230 | kg |
| Vehicle moment of inertia about z-axis | IZ | 1553 | kg.m2 |
| Distance from front axle to gravity center | a | 1.04 | m |
| Distance from rear axle to gravity center | b | 1.56 | m |
| Wheel base | L | 2.6 | m |
| Half of front track width | tf | 0.74 | m |
| Half of rear track width | tr | 0.74 | m |
| Height of gravity center | hg | 0.56 | m |
| Longitudinal velocity | u | - | m/s |
| Lateral velocity | v | - | m/s |
| Longitudinal accelerations | ax | - | m/s2 |
| Lateral accelerations | ay | - | m/s2 |
| Yaw rate | ωr | - | deg/s |
| Desired yaw rate | ωrd | - | deg/s |
| Front-wheel steering angle | δ | - | deg |
| Sideslip angle of center-of-mass | β | - | deg |
| Sideslip angle of tires | ai | - | deg |
| Longitudinal forces of tires | Fxi | - | N |
| Lateral forces of tires | Fyi | - | N |
| Vertical loading of tires | Fzi | - | N |
| Front tire cornering stiffness of reference model | Cf | 50,000 | N/rad |
| Rear tire cornering stiffness of reference model | Cr | 50,000 | N/rad |
| Learning rate | ϕ | 0.08 | null |
| Momentum factor | a | 0.6 | null |
References
- Huang, W.; Wong, P.K.; Wong, K.I.; Vong, C.M.; Zhao, J. Adaptive neural control of vehicle yaw stability with active front steering using an improved random projection neural network. Veh. Syst. Dyn. 2019, 1–19. [Google Scholar] [CrossRef]
- Cheng, S.; Li, L.; Guo, H.Q.; Chen, Z.G.; Song, P. Longitudinal Collision Avoidance and Lateral Stability Adaptive Control System Based on MPC of Autonomous Vehicles. IEEE Trans. Intell. Transp. Syst. 2020, 21, 2376–2385. [Google Scholar] [CrossRef]
- Peng, H.; Wang, W.; An, Q.; Xiang, C.; Li, L. Path Tracking and Direct Yaw Moment Coordinated Control Based on Robust MPC With the Finite Time Horizon for Autonomous Independent-Drive Vehicles. IEEE Trans. Veh. Technol. 2020, 69, 6053–6066. [Google Scholar] [CrossRef]
- Guo, N.; Zhang, X.; Zou, Y.; Lenzo, B.; Zhang, T. A Computationally Efficient Path-Following Control Strategy of Autonomous Electric Vehicles with Yaw Motion Stabilization. IEEE Trans. Transp. Electrif. 2020, 6, 728–739. [Google Scholar] [CrossRef]
- Zhang, W.; Drugge, L.; Nybacka, M.; Wang, Z. Active camber for enhancing path following and yaw stability of over-actuated autonomous electric vehicles. Veh. Syst. Dyn. 2020, 1–22. [Google Scholar] [CrossRef]
- Joanny, S.; Ali, C.; Dominique, M. Evaluation of a sliding mode observer for vehicle sideslip angle. Control. Eng. Pract. 2005, 38, 150–155. [Google Scholar] [CrossRef]
- Ma, B.; Liu, Y.; Gao, Y.; Yang, Y.; Ji, X.; Bo, Y. Estimation of vehicle sideslip angle based on steering torque. Int. J. Adv. Manuf. Technol. 2018, 94, 3229–3237. [Google Scholar] [CrossRef]
- Strano, S.; Terzo, M. Vehicle sideslip angle estimation via a Riccati equation based nonlinear filter. IEEE Access 2017, 8, 142120–142130. [Google Scholar] [CrossRef]
- Chen, T.; Chen, L.; Cai, Y.; Xu, X. Robust sideslip angle observer with regional stability constraint for an uncertain singular intelligent vehicle system. IET Control. Theory Appl. 2018, 12, 1802–1811. [Google Scholar] [CrossRef]
- Zhang, B.; Du, H.; Lam, J.; Zhang, N.; Li, W. A Novel Observer Design for Simultaneous Estimation of Vehicle Steering Angle and Sideslip Angle. IEEE Trans. Ind. Electron. 2016, 63, 4357–4366. [Google Scholar] [CrossRef]
- Basar, T. A New Approach to Linear Filtering and Prediction Problems; Wiley-IEEE Press: Hoboken, NJ, USA, 2009. [Google Scholar]
- Li, L.; Jia, G.; Ran, X.; Song, J.; Wu, K. A variable structure extended Kalman filter for vehicle sideslip angle estimation on a low friction road. Veh. Syst. Dyn. 2014, 52, 280–308. [Google Scholar] [CrossRef]
- Strano, S.; Terzo, M. Constrained nonlinear filter for vehicle sideslip angle estimation with no a priori knowledge of tyre characteristics. Control. Eng. Pract. 2017, 71, 10–17. [Google Scholar] [CrossRef]
- Boada, B.L.; Boada, M.J.L.; Diaz, V. Vehicle sideslip angle measurement based on sensor data fusion using an integrated ANFIS and an Unscented Kalman Filter algorithm. Mech. Syst. Signal Process 2016, 72, 832–845. [Google Scholar] [CrossRef]
- Chen, J.; Song, J.; Li, L.; Jia, G.; Ran, X.; Yang, C. UKF-based adaptive variable structure observer for vehicle sideslip with dynamic correction. IET Control. Theory Appl. 2016, 10, 1641–1652. [Google Scholar] [CrossRef]
- Di Biase, F.; Lenzo, B.; Timpone, F. Vehicle sideslip angle estimation for a heavy-duty vehicle via Extended Kalman Filter using a Rational tyre model. IEEE Access 2020, 8, 142120–142130. [Google Scholar] [CrossRef]
- Kim, D.; Min, K.; Kim, H.; Huh, K. Vehicle sideslip angle estimation using deep ensemble-based adaptive Kalman filter. Mech. Syst. Signal Process 2020, 144, 106862. [Google Scholar] [CrossRef]
- Yang, F.; Zheng, L.-T.; Wang, J.-Q.; Pan, Q. Double Layer Unscented Kalman Filter. Zidonghua Xuebao 2019, 45, 1386–1391. [Google Scholar] [CrossRef]
- Bartolini, G.; Fridman, L.; Pisano, A.; Usai, E. Modern Sliding Mode Control Theory: New Perspectives and Applications; Springer: Berlin/Heidelberg, Germany, 2008; Volume 375. [Google Scholar]
- Ferrara, A.; Incremona, G.P. Sliding modes control in vehicle longitudinal dynamics control. In Advances in Variable Structure Systems and Sliding Mode Control—Theory and Applications; Springer: Berlin/Heidelberg, Germany, 2018; pp. 357–383. [Google Scholar]
- Regolin, E.; Savitski, D.; Ivanov, V.; Augsburg, K.; Ferrara, A. Lateral vehicle dynamics control via sliding modes generation. In Sliding Mode Control of Vehicle Dynamics; IET Publisher: London, UK, 2017; pp. 121–159. [Google Scholar]
- Jin, X.J.; Yin, G.; Chen, N. Gain-scheduled robust control for lateral stability of four-wheel-independent-drive electric vehicles via linear parameter-varying technique. Mechatronics 2015, 30, 286–296. [Google Scholar] [CrossRef]
- Yao, J.; Jiao, Z.; Ma, D.; Yan, L. High-accuracy tracking control of hydraulic rotary actuators with modeling uncertainties. IEEE ASME Trans. Mechatron. 2013, 19, 633–641. [Google Scholar] [CrossRef]
- Zhang, J.; Li, J. Adaptive backstepping sliding mode control for wheel slip tracking of vehicle with uncertainty observer. Meas Control 2018, 51, 396–405. [Google Scholar] [CrossRef]
- Aripin, M.K.; Ghazali, R.; Sam, Y.M.; Danapalasingam, K.; Ismail, M.F. Uncertainty modelling and high performance robust controller for active front steering control. In Proceedings of the 2015 10th Asian Control. Conference (ASCC), Sabah, Malaysia, 31 May–3 June 2015; pp. 1–6. [Google Scholar] [CrossRef]
- Hsu, C.-F. Intelligent exponential sliding-mode control with uncertainty estimator for antilock braking systems. Neural Comput. Appl. 2016, 27, 1463–1475. [Google Scholar] [CrossRef]
- Lin, C.-M.; Li, H.-Y. Intelligent hybrid control system design for antilock braking systems using self-organizing function-link fuzzy cerebellar model articulation controller. IEEE Trans. Fuzzy Syst. 2013, 21, 1044–1055. [Google Scholar] [CrossRef]
- Rashidi, B.; Esmaeilpour, M.; Homaeinezhad, M.R. Precise angular speed control of permanent magnet DC motors in presence of high modeling uncertainties via sliding mode observer-based model reference adaptive algorithm. Mechatronics 2015, 28, 79–95. [Google Scholar] [CrossRef]
- El-Sousy, F.F.; Abuhasel, K.A. Nonlinear adaptive backstepping control-based dynamic recurrent RBFN uncertainty observer for high-speed micro permanent-magnet synchronous motor drive system. In Proceedings of the 2018 IEEE Energy Conversion Congress and Exposition (ECCE), Portland, OR, USA, 23–27 September 2018; pp. 1696–1703. [Google Scholar] [CrossRef]
- Guo, K.; Lu, D.; Chen, S.-K.; Lin, W.C.; Lu, X.-P. The UniTire model: A nonlinear and non-steady-state tyre model for vehicle dynamics simulation. Veh. Syst. Dyn. 2005, 43, 341–358. [Google Scholar] [CrossRef]
- Guo, K.; Lu, D. UniTire: Unified tire model for vehicle dynamic simulation. Veh. Syst. Dyn. 2007, 45, 79–99. [Google Scholar] [CrossRef]
- Hou, R.; Zhai, L.; Sun, T.; Hou, Y.; Hu, G. Steering stability control of a four in-wheel motor drive electric vehicle on a road with varying adhesion coefficient. IEEE Access 2019, 7, 32617–32627. [Google Scholar] [CrossRef]














Publisher’s Note: MDPI stays neutral with regard to jurisdictional claims in published maps and institutional affiliations. |
© 2021 by the authors. Licensee MDPI, Basel, Switzerland. This article is an open access article distributed under the terms and conditions of the Creative Commons Attribution (CC BY) license (http://creativecommons.org/licenses/by/4.0/).
Share and Cite
Zhang, Z.; Chu, L.; Zhang, J.; Guo, C.; Li, J. Design of Vehicle Stability Controller Based on Fuzzy Radial Basis Neural Network Sliding Mode Theory with Sideslip Angle Estimation. Appl. Sci. 2021, 11, 1231. https://doi.org/10.3390/app11031231
Zhang Z, Chu L, Zhang J, Guo C, Li J. Design of Vehicle Stability Controller Based on Fuzzy Radial Basis Neural Network Sliding Mode Theory with Sideslip Angle Estimation. Applied Sciences. 2021; 11(3):1231. https://doi.org/10.3390/app11031231
Chicago/Turabian StyleZhang, Zhenzhao, Liang Chu, Jiaxu Zhang, Chong Guo, and Jing Li. 2021. "Design of Vehicle Stability Controller Based on Fuzzy Radial Basis Neural Network Sliding Mode Theory with Sideslip Angle Estimation" Applied Sciences 11, no. 3: 1231. https://doi.org/10.3390/app11031231
APA StyleZhang, Z., Chu, L., Zhang, J., Guo, C., & Li, J. (2021). Design of Vehicle Stability Controller Based on Fuzzy Radial Basis Neural Network Sliding Mode Theory with Sideslip Angle Estimation. Applied Sciences, 11(3), 1231. https://doi.org/10.3390/app11031231
