Sign in to use this feature.

Years

Between: -

Subjects

remove_circle_outline
remove_circle_outline
remove_circle_outline
remove_circle_outline
remove_circle_outline

Journals

remove_circle_outline

Article Types

Countries / Regions

Search Results (1)

Search Parameters:
Keywords = adaptive double-layer unscented Kalman filter

Order results
Result details
Results per page
Select all
Export citation of selected articles as:
22 pages, 23092 KB  
Article
Design of Vehicle Stability Controller Based on Fuzzy Radial Basis Neural Network Sliding Mode Theory with Sideslip Angle Estimation
by Zhenzhao Zhang, Liang Chu, Jiaxu Zhang, Chong Guo and Jing Li
Appl. Sci. 2021, 11(3), 1231; https://doi.org/10.3390/app11031231 - 29 Jan 2021
Cited by 9 | Viewed by 2360
Abstract
This study is targeted at the key state parameters of vehicle stability controllers, the controlled vehicle model, and the nonlinearity and uncertainty of external disturbance. An adaptive double-layer unscented Kalman filter (ADUKF) is used to compute the sideslip angle, and a vehicle stability [...] Read more.
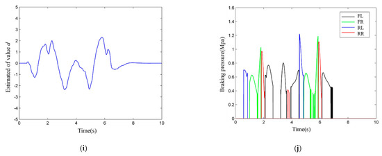
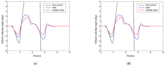
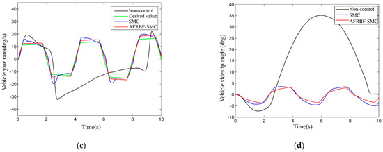
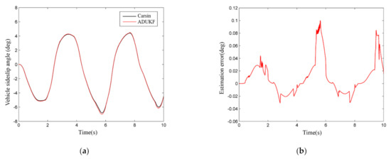
This study is targeted at the key state parameters of vehicle stability controllers, the controlled vehicle model, and the nonlinearity and uncertainty of external disturbance. An adaptive double-layer unscented Kalman filter (ADUKF) is used to compute the sideslip angle, and a vehicle stability control algorithm adaptive fuzzy radial basis function neural network sliding mode control (AFRBF-SMC) is proposed. Since the sideslip angle cannot be directly determined, a 7-degrees-of-freedom (DOF) nonlinear vehicle dynamic model is established and combined with ADUKF to estimate the sideslip angle. After that, a vehicle stability sliding mode controller is designed and used to trace the ideal values of the vehicle stability parameters. To handle the severe system vibration due to the large robustness coefficient in the sliding mode controller, we use a fuzzy radial basis function neural network (FRBFNN) algorithm to approximate the uncertain disturbance of the system. Then the adaptive rate of the system is solved using the Lyapunov algorithm, and the systemic stability and convergence of this algorithm are validated. Finally, the controlling algorithm is verified through joint simulation on MATLAB/Simulink-Carsim. ADUKF can estimate the sideslip angle with high precision. The AFRBF-SMC vehicle stability controller performs well with high precision and low vibration and can ensure the driving stability of vehicles. Full article
Show Figures

Figure 1

Back to TopTop