Explainable Artificial Intelligence-Based Decision Support System for Assessing the Nutrition-Related Geriatric Syndromes
Abstract
:1. Introduction
- A higher risk of hospitalization;
- An increased risk of death;
- A weakened immune system, which increases the risk of infections and cancer;
- Poor wound healing;
- Muscle weakness and decreased bone mass, which can lead to falls and fractures;
- Depression;
- Decreased cognitive function;
- Functional decline;
- Social isolation;
- Decreased quality of life.
2. Materials and Methods
2.1. Participants
2.2. Experimental Procedure
2.3. Enhanced SWOT Maps and Fuzzy Expert Maps for Risk Evaluation
2.4. XAI-Based CDSS as a Partial Case of the Universalized FSM
2.5. CDSS Implementation
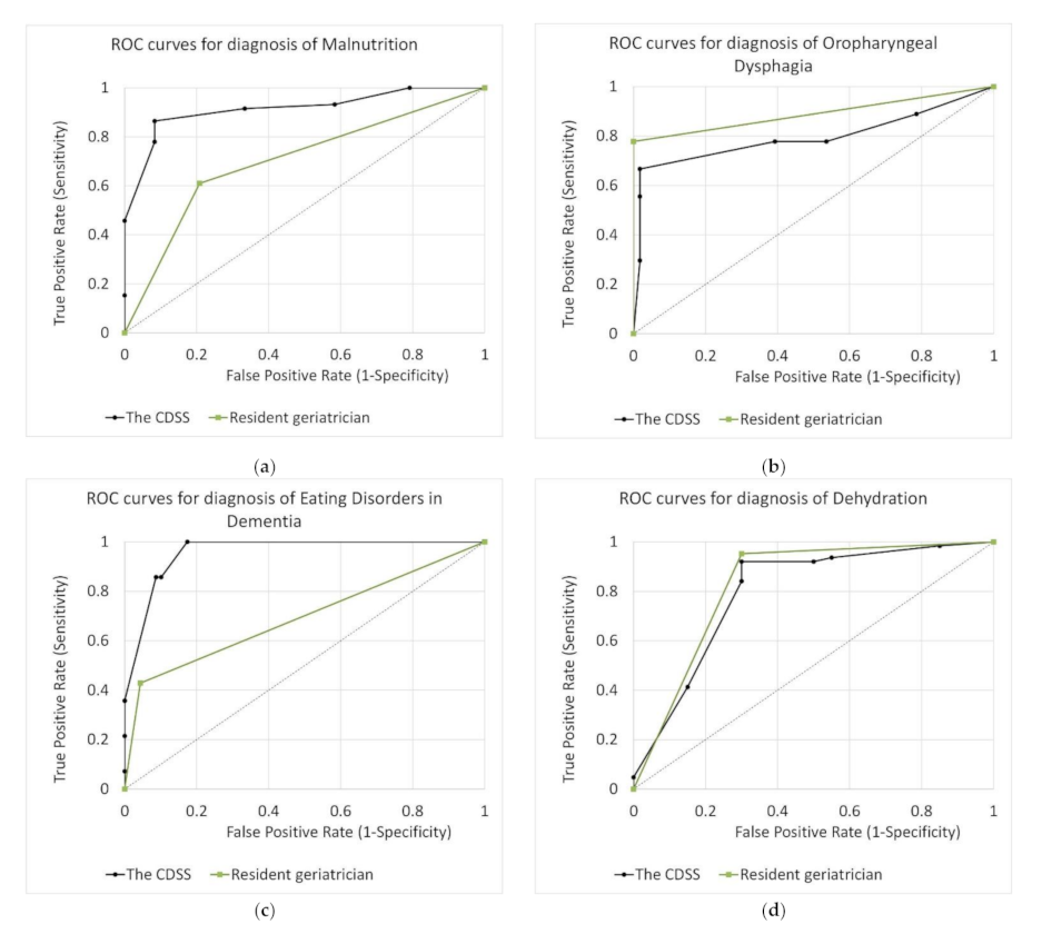
3. Results
4. Discussion
5. Conclusions
Author Contributions
Funding
Institutional Review Board Statement
Informed Consent Statement
Data Availability Statement
Conflicts of Interest
Appendix A




References
- Volkert, D.; Beck, A.M.; Cederholm, T.; Cruz-Jentoft, A.; Goisser, S.; Hooper, L.; Kiesswetter, E.; Maggio, M.; Raynaud-Simon, A.; Sieber, C.C.; et al. ESPEN Guideline on Clinical Nutrition and Hydration in Geriatrics. Clin. Nutr. 2019, 38, 10–47. [Google Scholar] [CrossRef] [PubMed] [Green Version]
- Stockdell, R.; Amella, E.J. The Edinburgh Feeding Evaluation in Dementia Scale: Determining How Much Help People with Dementia Need at Mealtime. AJN Am. J. Nurs. 2008, 108, 46–54. [Google Scholar] [CrossRef]
- Norman, K.; Haß, U.; Pirlich, M. Malnutrition in Older Adults—Recent Advances and Remaining Challenges. Nutrients 2021, 13, 2764. [Google Scholar] [CrossRef] [PubMed]
- Govindaraju, T.; Sahle, B.; McCaffrey, T.; McNeil, J.; Owen, A. Dietary Patterns and Quality of Life in Older Adults: A Systematic Review. Nutrients 2018, 10, 971. [Google Scholar] [CrossRef] [PubMed] [Green Version]
- Browne, S.; Kelly, L.; Geraghty, A.A.; Reynolds, C.M.E.; McBean, L.; McCallum, K.; Clyne, B.; Bury, G.; Perrotta, C.; Kennelly, S.; et al. Healthcare Professionals’ Perceptions of Malnutrition Management and Oral Nutritional Supplement Prescribing in the Community: A Qualitative Study. Clin. Nutr. ESPEN 2021, 44, 415–423. [Google Scholar] [CrossRef]
- Petrauskas, V.; Damuleviciene, G.; Dobrovolskis, A.; Dovydaitis, J.; Janaviciute, A.; Jasinevicius, R.; Kazanavicius, E.; Knasiene, J.; Lesauskaite, V.; Liutkevicius, A. XAI-Based Medical Decision Support System Model. IJSRP 2020, 10, 598–607. [Google Scholar] [CrossRef]
- Ali, L.; Khan, S.U.; Golilarz, N.A.; Yakubu, I.; Qasim, I.; Noor, A.; Nour, R. A Feature-Driven Decision Support System for Heart Failure Prediction Based on χ 2 Statistical Model and Gaussian Naive Bayes. Comput. Math. Methods Med. 2019, 2019, 1–8. [Google Scholar] [CrossRef] [PubMed] [Green Version]
- Casalino, G.; Castellano, G.; Castiello, C.; Pasquadibisceglie, V.; Zaza, G. A Fuzzy Rule-Based Decision Support System for Cardiovascular Risk Assessment. In Fuzzy Logic and Applications; Fullér, R., Giove, S., Masulli, F., Eds.; Lecture Notes in Computer Science; Springer International Publishing: Cham, Switzerland, 2019; Volume 11291, pp. 97–108. ISBN 978-3-030-12543-1. [Google Scholar]
- Apostolopoulos, I.D.; Groumpos, P.P.; Apostolopoulos, D.I. A Medical Decision Support System for the Prediction of the Coronary Artery Disease Using Fuzzy Cognitive Maps. In Creativity in Intelligent Technologies and Data Science; Kravets, A., Shcherbakov, M., Kultsova, M., Groumpos, P., Eds.; Communications in Computer and Information Science; Springer International Publishing: Cham, Switzerland, 2017; Volume 754, pp. 269–283. ISBN 978-3-319-65550-5. [Google Scholar]
- Kishore, A.H.N.; Jayanthi, V.E. Neuro-Fuzzy Based Medical Decision Support System for Coronary Artery Disease Diagnosis and Risk Level Prediction. J Comput. Theor. Nanosci. 2018, 15, 1027–1037. [Google Scholar] [CrossRef]
- Hamedan, F.; Orooji, A.; Sanadgol, H.; Sheikhtaheri, A. Clinical Decision Support System to Predict Chronic Kidney Disease: A Fuzzy Expert System Approach. Int. J. Med. Inform. 2020, 138, 104134. [Google Scholar] [CrossRef] [PubMed]
- Malmir, B.; Amini, M.; Chang, S.I. A Medical Decision Support System for Disease Diagnosis under Uncertainty. Expert Syst. Appl. 2017, 88, 95–108. [Google Scholar] [CrossRef]
- El-Sappagh, S.; Alonso, J.M.; Ali, F.; Ali, A.; Jang, J.-H.; Kwak, K.-S. An Ontology-Based Interpretable Fuzzy Decision Support System for Diabetes Diagnosis. IEEE Access 2018, 6, 37371–37394. [Google Scholar] [CrossRef]
- Spänig, S.; Emberger-Klein, A.; Sowa, J.-P.; Canbay, A.; Menrad, K.; Heider, D. The Virtual Doctor: An Interactive Clinical-Decision-Support System Based on Deep Learning for Non-Invasive Prediction of Diabetes. Artif. Intell. Med. 2019, 100, 101706. [Google Scholar] [CrossRef] [PubMed] [Green Version]
- Lee, S.J.; Yu, S.H.; Kim, Y.; Kim, J.K.; Hong, J.H.; Kim, C.-S.; Seo, S.I.; Byun, S.-S.; Jeong, C.W.; Lee, J.Y.; et al. Prediction System for Prostate Cancer Recurrence Using Machine Learning. Appl. Sci. 2020, 10, 1333. [Google Scholar] [CrossRef] [Green Version]
- Mazo, C.; Kearns, C.; Mooney, C.; Gallagher, W.M. Clinical Decision Support Systems in Breast Cancer: A Systematic Review. Cancers 2020, 12, 369. [Google Scholar] [CrossRef] [PubMed] [Green Version]
- Bucholc, M.; Ding, X.; Wang, H.; Glass, D.H.; Wang, H.; Prasad, G.; Maguire, L.P.; Bjourson, A.J.; McClean, P.L.; Todd, S.; et al. A Practical Computerized Decision Support System for Predicting the Severity of Alzheimer’s Disease of an Individual. Expert Syst. Appl. 2019, 130, 157–171. [Google Scholar] [CrossRef] [Green Version]
- Papageorgiou, E.I.; Billis, A.S.; Frantzidis, C.; Konstantinidis, E.I.; Bamidis, P.D. A Preliminary Fuzzy Cognitive Map—Based Desicion Support Tool for Geriatric Depression Assessment. In Proceedings of the 2013 IEEE International Conference on Fuzzy Systems (FUZZ-IEEE), Hyderabad, India, 7–10 July 2013; pp. 1–8. [Google Scholar]
- Tolonen, A.; Rhodius-Meester, H.F.M.; Bruun, M.; Koikkalainen, J.; Barkhof, F.; Lemstra, A.W.; Koene, T.; Scheltens, P.; Teunissen, C.E.; Tong, T.; et al. Data-Driven Differential Diagnosis of Dementia Using Multiclass Disease State Index Classifier. Front. Aging Neurosci. 2018, 10, 111. [Google Scholar] [CrossRef] [Green Version]
- Suárez-Araujo, C.P.; García Báez, P.; Cabrera-León, Y.; Prochazka, A.; Rodríguez Espinosa, N.; Fernández Viadero, C.; for the Alzheimer’s Disease Neuroimaging Initiative. A Real-Time Clinical Decision Support System, for Mild Cognitive Impairment Detection, Based on a Hybrid Neural Architecture. Comput. Math. Methods Med. 2021, 2021, 1–9. [Google Scholar] [CrossRef]
- Bruun, M.; Frederiksen, K.S.; Rhodius-Meester, H.F.M.; Baroni, M.; Gjerum, L.; Koikkalainen, J.; Urhemaa, T.; Tolonen, A.; van Gils, M.; Rueckert, D.; et al. Impact of a Clinical Decision Support Tool on Prediction of Progression in Early-Stage Dementia: A Prospective Validation Study. Alz Res. Ther. 2019, 11, 25. [Google Scholar] [CrossRef]
- Amirkhani, A.; Papageorgiou, E.I.; Mosavi, M.R.; Mohammadi, K. A Novel Medical Decision Support System Based on Fuzzy Cognitive Maps Enhanced by Intuitive and Learning Capabilities for Modeling Uncertainty. Appl. Math. Comput. 2018, 337, 562–582. [Google Scholar] [CrossRef]
- Mencar, C.; Alonso, J.M. Paving the Way to Explainable Artificial Intelligence with Fuzzy Modeling: Tutorial. In Fuzzy Logic and Applications; Fullér, R., Giove, S., Masulli, F., Eds.; Lecture Notes in Computer Science; Springer International Publishing: Cham, Switzerland, 2019; Volume 11291, pp. 215–227. ISBN 978-3-030-12543-1. [Google Scholar]
- Rubenstein, L.Z.; Harker, J.O.; Salva, A.; Guigoz, Y.; Vellas, B. Screening for Undernutrition in Geriatric Practice: Developing the Short-Form Mini-Nutritional Assessment (MNA-SF). J. Gerontol. Ser. A Biol. Sci. Med Sci. 2001, 56, M366–M372. [Google Scholar] [CrossRef] [Green Version]
- Belafsky, P.C.; Mouadeb, D.A.; Rees, C.J.; Pryor, J.C.; Postma, G.N.; Allen, J.; Leonard, R.J. Validity and Reliability of the Eating Assessment Tool (EAT-10). Ann. Otol. Rhinol. Laryngol. 2008, 117, 919–924. [Google Scholar] [CrossRef] [PubMed]
- Watson, R.; MacDonald, J.; McReady, T. The Edinburgh Feeding Evaluation in Dementia Scale #2 (EdFED #2): Inter- and Intra-Rater Reliability. Clin. Eff. Nurs. 2001, 5, 184–186. [Google Scholar] [CrossRef]
- Jasinevicius, R.; Petrauskas, V. Fuzzy Expert Maps: The New Approach. In Proceedings of the 2008 IEEE International Conference on Fuzzy Systems (IEEE World Congress on Computational Intelligence), Hong Kong, China, 1–6 June 2008; pp. 1511–1517. [Google Scholar]
- Petrauskas, V.; Jasinevicius, R.; Kazanavicius, E.; Meskauskas, Z. Concept of a System Using a Dynamic SWOT Analysis Network for Fuzzy Control of Risk in Complex Environments. Math. Comput. Sci. 2020, 5, 42. [Google Scholar] [CrossRef]
- Baijens, L.W.; Clavé, P.; Cras, P.; Ekberg, O.; Forster, A.; Kolb, G.; Leners, J.C.; Masiero, S.; Mateos del Nozal, J.; Ortega, O.; et al. European Society for Swallowing Disorders—European Union Geriatric Medicine Society White Paper: Oropharyngeal Dysphagia as a Geriatric Syndrome. Clin. Interv. Aging 2016, 11, 1403–1428. [Google Scholar] [CrossRef] [PubMed] [Green Version]










| General Threat of Syndromes (Threat, Certainty) | ||||
|---|---|---|---|---|
| Malnutrition (M) | Oropharyngeal Dysphagia (OD) | Eating Disorders in Dementia (D) | Dehydration (DH) | |
| Pessimistic diagnosis | LARGE | MEDIUM | SMALL | LARGE |
| 0.228 | 0.396 | 0.560 | 0.475 | |
| Optimistic diagnosis | MEDIUM | SMALL | NOT | MEDIUM |
| 0.772 | 0.604 | 0.440 | 0.525 | |
| Most likely diagnosis | MEDIUM | SMALL | SMALL | MEDIUM |
| 0.772 | 0.604 | 0.560 | 0.525 | |
| Subject’s No. | Assessments of the Syndromes Given by the CDSS (Threat, Certainty) | Assessments of the Syndromes Given by Resident Geriatricians | Assessments of the Syndromes Given by Expert Geriatricians | |||||||||
|---|---|---|---|---|---|---|---|---|---|---|---|---|
| M | OD | D | DH | M | OD | D | DH | M | OD | D | DH | |
| 1 | Small (0.583) | Small (0.901) | None (0.86) | Medium (0.738) | 1 | 0 | 0 | 1 | 0 | 0 | 0 | 1 |
| 2 | High (0.724) | Small (0.921) | Small (0.559) | Medium (0.971) | 1 | 0 | 0 | 1 | 1 | 0 | 0 | 1 |
| 3 | Small (0.8) | Small (0.95) | None (0.901) | Medium (0.773) | 1 | 0 | 0 | 1 | 0 | 0 | 0 | 1 |
| 4 | High (0.724) | Small (0.955) | Small (0.559) | Small (0.535) | 0 | 0 | 0 | 1 | 1 | 0 | 0 | 0 |
| 5 | Medium (0.616) | Medium (0.835) | Small (0.719) | Medium (0.613) | 0 | 1 | 1 | 1 | 1 | 1 | 0 | 1 |
| 6 | Medium (0.99) | Small (0.75) | None (0.749) | Medium (0.627) | 1 | 0 | 0 | 1 | 1 | 0 | 0 | 1 |
| … | … | … | … | … | … | … | … | … | … | … | … | … |
| 82 | Medium (0.677) | Medium (0.958) | Small (0.58) | Medium (0.794) | 0 | 1 | 0 | 0 | 1 | 1 | 0 | 1 |
| 83 | Medium (0.605) | Small (0.669) | None (0.887) | Medium (0.605) | 0 | 0 | 0 | 1 | 1 | 0 | 0 | 1 |
| Malnutrition | Oropharyngeal Dysphagia | Eating Disorders in Dementia | Dehydration | ||||||||||
|---|---|---|---|---|---|---|---|---|---|---|---|---|---|
| Decision Maker | Threshold Value (Risk, Certainty) | ACC (%) | TPR (%) | TNR (%) | ACC (%) | TPR (%) | TNR (%) | ACC (%) | TPR (%) | TNR (%) | ACC (%) | TPR (%) | TNR (%) |
| The proposed CDSS | Medium, 1.0 | 39.76 | 15.25 | 100.00 | 67.47 | 0.00 | 100.00 | 84.34 | 7.14 | 100.00 | 27.71 | 4.76 | 100.00 |
| Medium, 0.8 | 61.45 | 45.76 | 100.00 | 75.90 | 29.63 | 98.21 | 86.75 | 21.43 | 100.00 | 51.81 | 41.27 | 85.00 | |
| Medium, 0.7 | 81.93 | 77.97 | 91.67 | 84.34 | 55.56 | 98.21 | 89.16 | 35.71 | 100.00 | 80.72 | 84.13 | 70.00 | |
| Small, 1.0 | 87.95 | 86.44 | 91.67 | 87.95 | 66.67 | 98.21 | 89.16 | 35.71 | 100.00 | 86.75 | 92.06 | 70.00 | |
| Small, 0.8 | 84.34 | 91.53 | 66.67 | 66.27 | 77.78 | 60.71 | 90.36 | 85.71 | 91.30 | 81.93 | 92.06 | 50.00 | |
| Small, 0.7 | 78.31 | 93.22 | 41.67 | 56.63 | 77.78 | 46.43 | 89.16 | 85.71 | 89.86 | 81.93 | 93.65 | 45.00 | |
| Small, 0.5 | 77.11 | 100.00 | 20.83 | 43.37 | 88.89 | 21.43 | 85.54 | 100.00 | 82.61 | 78.31 | 98.41 | 15.00 | |
| Resident geriatricians | 66.27 | 61.02 | 79.17 | 92.77 | 77.78 | 100.00 | 86.75 | 42.86 | 95.65 | 89.16 | 95.24 | 70.00 | |
Publisher’s Note: MDPI stays neutral with regard to jurisdictional claims in published maps and institutional affiliations. |
© 2021 by the authors. Licensee MDPI, Basel, Switzerland. This article is an open access article distributed under the terms and conditions of the Creative Commons Attribution (CC BY) license (https://creativecommons.org/licenses/by/4.0/).
Share and Cite
Petrauskas, V.; Jasinevicius, R.; Damuleviciene, G.; Liutkevicius, A.; Janaviciute, A.; Lesauskaite, V.; Knasiene, J.; Meskauskas, Z.; Dovydaitis, J.; Kazanavicius, V.; et al. Explainable Artificial Intelligence-Based Decision Support System for Assessing the Nutrition-Related Geriatric Syndromes. Appl. Sci. 2021, 11, 11763. https://doi.org/10.3390/app112411763
Petrauskas V, Jasinevicius R, Damuleviciene G, Liutkevicius A, Janaviciute A, Lesauskaite V, Knasiene J, Meskauskas Z, Dovydaitis J, Kazanavicius V, et al. Explainable Artificial Intelligence-Based Decision Support System for Assessing the Nutrition-Related Geriatric Syndromes. Applied Sciences. 2021; 11(24):11763. https://doi.org/10.3390/app112411763
Chicago/Turabian StylePetrauskas, Vytautas, Raimundas Jasinevicius, Gyte Damuleviciene, Agnius Liutkevicius, Audrone Janaviciute, Vita Lesauskaite, Jurgita Knasiene, Zygimantas Meskauskas, Juozas Dovydaitis, Vygintas Kazanavicius, and et al. 2021. "Explainable Artificial Intelligence-Based Decision Support System for Assessing the Nutrition-Related Geriatric Syndromes" Applied Sciences 11, no. 24: 11763. https://doi.org/10.3390/app112411763
APA StylePetrauskas, V., Jasinevicius, R., Damuleviciene, G., Liutkevicius, A., Janaviciute, A., Lesauskaite, V., Knasiene, J., Meskauskas, Z., Dovydaitis, J., Kazanavicius, V., & Bitinaite-Paskeviciene, R. (2021). Explainable Artificial Intelligence-Based Decision Support System for Assessing the Nutrition-Related Geriatric Syndromes. Applied Sciences, 11(24), 11763. https://doi.org/10.3390/app112411763

