An Orthogonal Wheel Odometer for Positioning in a Relative Coordinate System on a Floating Ground
Abstract
:1. Introduction
2. Materials and Methods
2.1. The Motion Model of a Single Orthogonal Wheel
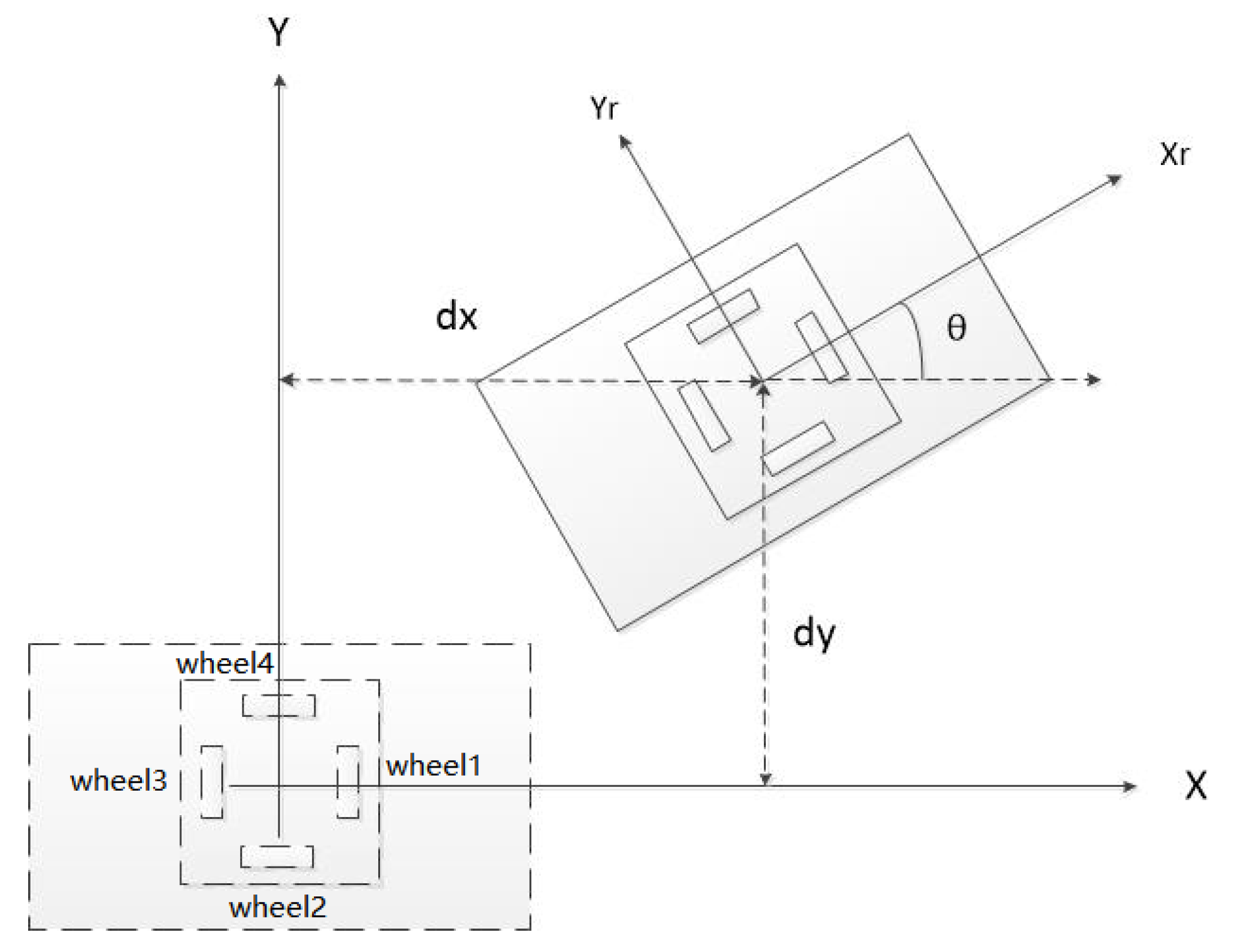
2.2. The Motion Model of Four Orthogonal Wheels
3. Experiments
3.1. The Experiment Equipment
3.2. The Experiment of Linear Motion
3.2.1. The Chassis Moves in the X Direction
3.2.2. The Chassis Moves in the Y Direction
3.2.3. The Experiment of Rotational Motion
3.2.4. The Experiment of Moving along a Square
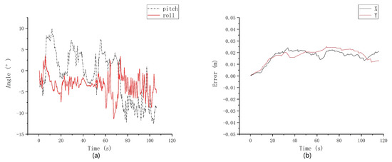
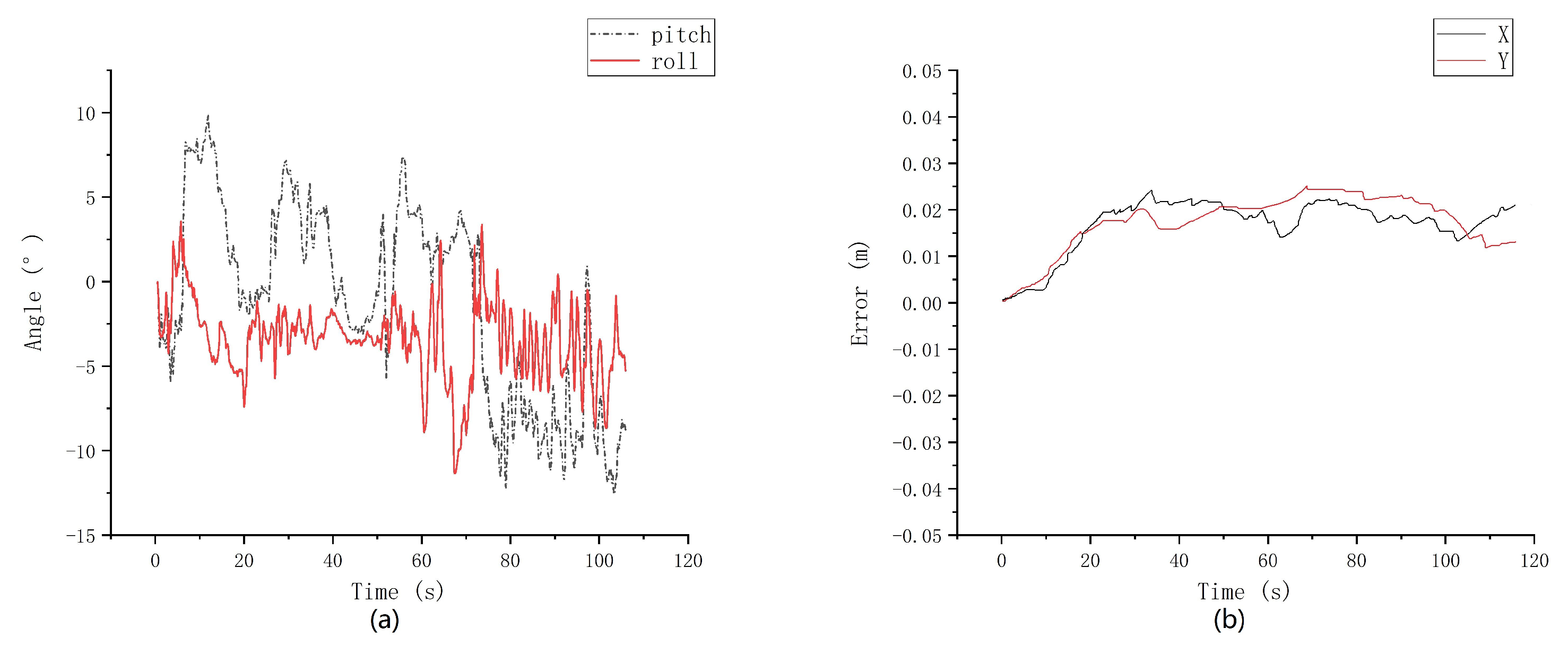
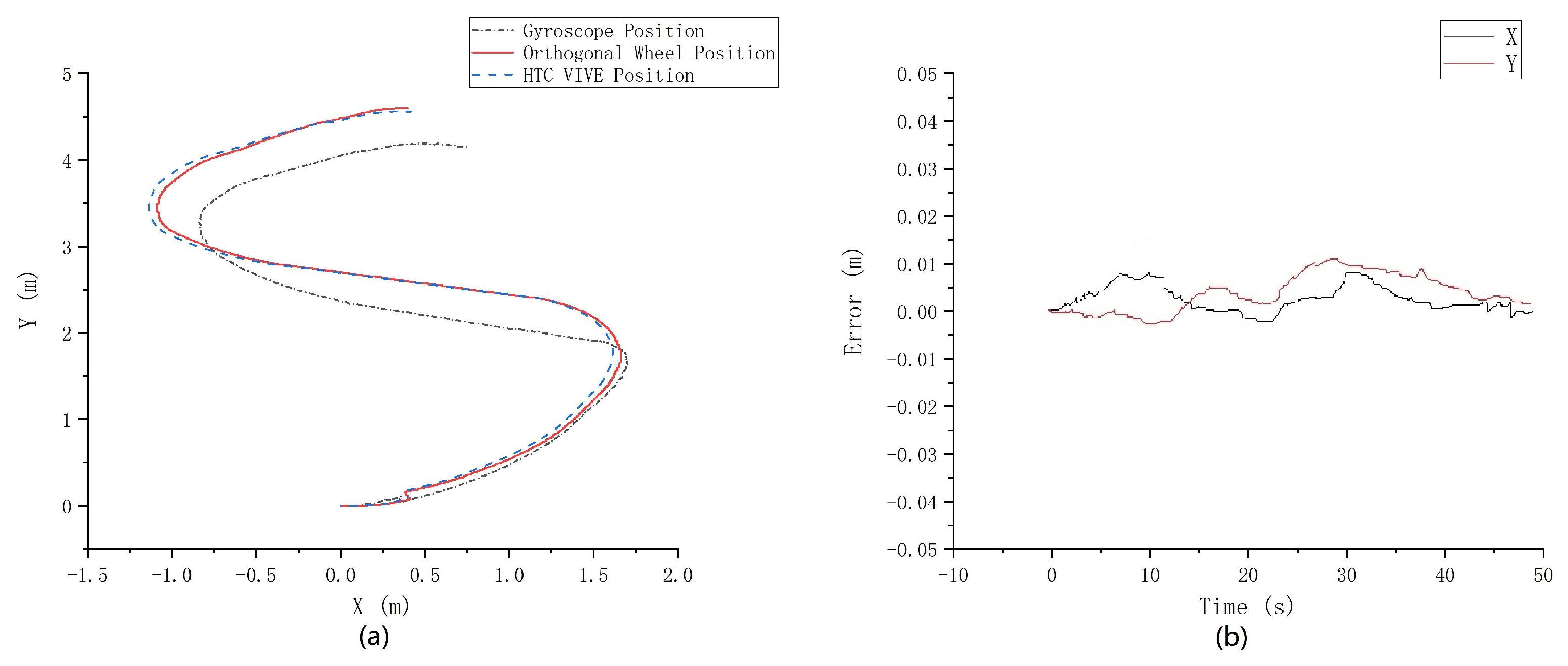
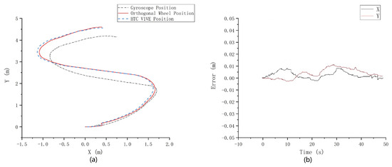
3.3. The Experiment of Random Curve Motion
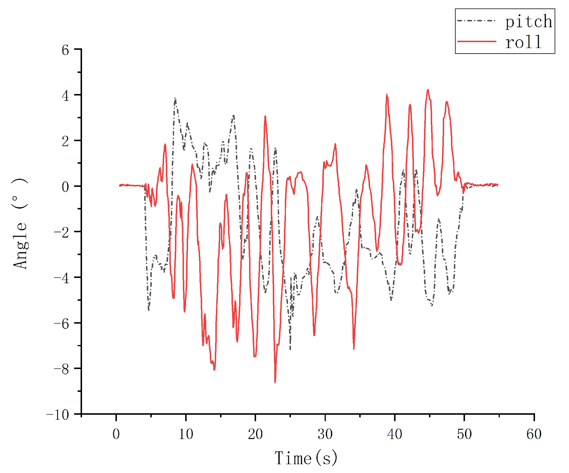
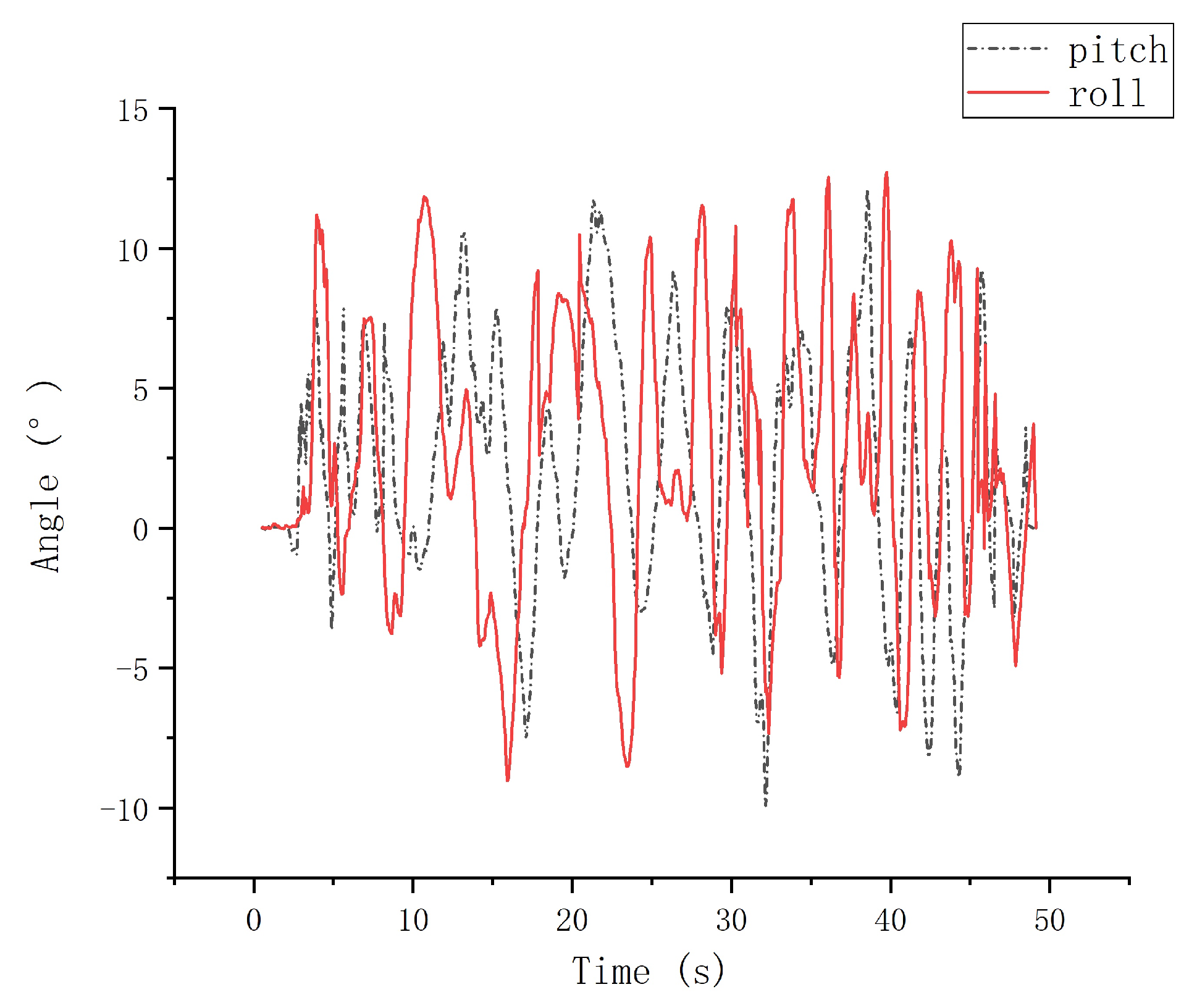
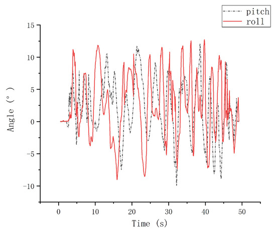
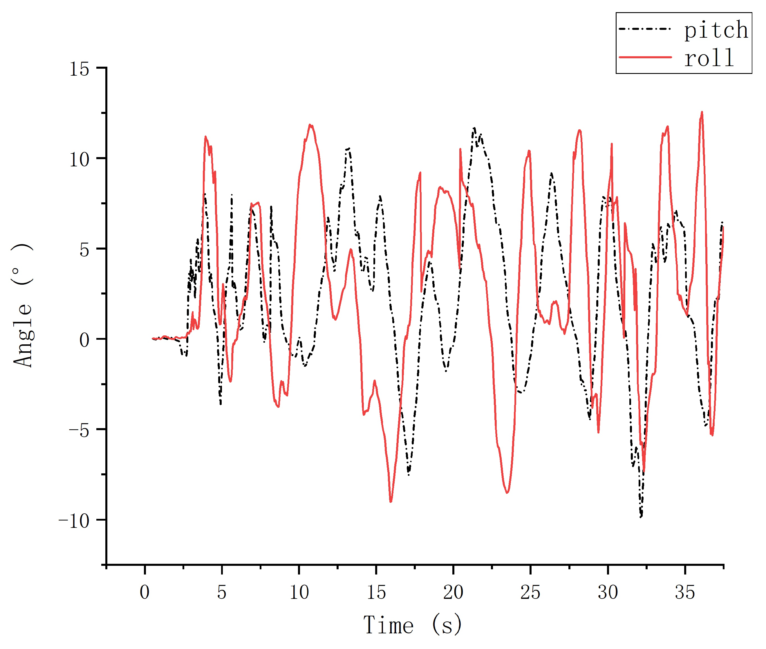
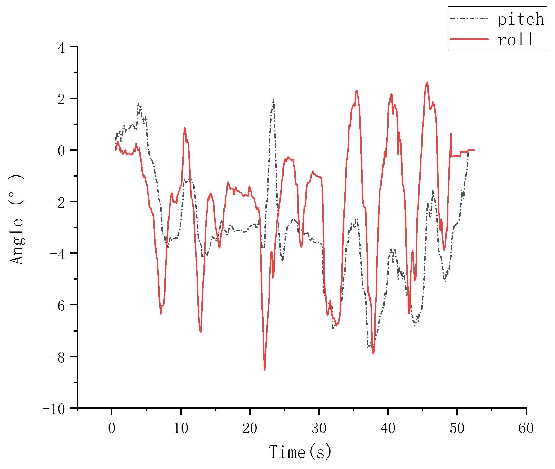
3.4. Simulated Floating Deck Experiment
4. Discussion
5. Conclusions and Future Work
Author Contributions
Funding
Institutional Review Board Statement
Informed Consent Statement
Data Availability Statement
Acknowledgments
Conflicts of Interest
References
- Graham, J.D. An Audience of the Scientific Age: Rossum’s Universal Robots and the Production of an Economic Conscience. Grey Room 2013, 50, 112–142. [Google Scholar] [CrossRef]
- Minsky, M.L. The emotion machine: Commonsense thinking, artificial intelligence, and the future of the human mind. Encycl. Neurol. Sci. 2008, 11, 15–17. [Google Scholar]
- Tabarelli, D.; Vilardi, A. Statistically robust evidence of stochastic resonance in human auditory perceptual system. Eur. Phys. J. B 2009, 1, 155–159. [Google Scholar] [CrossRef]
- Kube, C.R.; Vilardi, A. Task Modelling in Collective Robotics. Auton. Robot. 1997, 4, 53–72. [Google Scholar] [CrossRef]
- Rosenberg, L.B. Virtual fixtures: Perceptual tools for telerobotic manipulation. In Proceedings of the IEEE Virtual Reality International Symposium, Seattle, WA, USA, 18–22 September 1993; pp. 76–82. [Google Scholar]
- Wilson, A.R. Boston Dynamics introduces next generation humanoid robot. Vis. Syst. Des. 2016, 21, 53–72. [Google Scholar]
- Zhang, S.; Xie, L.; Adams, M. An efficient data association approach to simultaneous localization and map building. In Proceedings of the IEEE International Conference on Robotics & Automation, Barcelona, Spain, 18–22 April 2005; Volume 24, pp. 49–60. [Google Scholar]
- Cheng, Y.H.; Zhang, C.L. Mobile Robot Obstacle Avoidance Based on Multi-Sensor Information Fusion Technology. Appl. Mech. Mater. 2014, 2958, 490–491. [Google Scholar] [CrossRef]
- Sugihara, K.; Smith, J. Genetic algorithms for adaptive motion planning of an autonomous mobile robot. In Proceedings of the IEEE International Symposium on Computational Intelligence in Robotics & Automation, Monterey, CA, USA, 10–11 July 1997. [Google Scholar]
- Borio, D.; Closas, P. Robust transform domain signal processing for GNSS. Navigation 2019, 66, 305–323. [Google Scholar] [CrossRef] [Green Version]
- Borio, D.; Closas, P. A Pseudolite-Based Positioning System for Legacy GNSS Receivers. Sensors 2014, 4, 6104–6123. [Google Scholar]
- Tu, R.; Zhang, R. Real-time detection of BDS orbit manoeuvres based on the combination of GPS and BDS observations. IET Radar Sonar Navig. 2020, 10, 1603–1609. [Google Scholar] [CrossRef]
- Fujii, K.; Sakamoto, Y. Hyperbolic Positioning with Antenna Arrays and Multi-Channel Pseudolite for Indoor Localization. Sensors 2015, 10, 25157–25175. [Google Scholar] [CrossRef] [Green Version]
- Zhao, Y.; Peng, Z. A New Method of High-Precision Positioning for an Indoor Pseudolite without Using the Known Point Initialization. Sensors 2018, 18, 1977. [Google Scholar] [CrossRef] [Green Version]
- Stavrou, V.; Bardaki, C.; Papakyriakopoulos, D.; Pramatari, K. An Ensemble Filter for Indoor Positioning in a Retail Store Using Bluetooth Low Energy Beacons. Sensors 2019, 19, 4550. [Google Scholar] [CrossRef] [Green Version]
- Kwangjae, S.; Dong, L.; Hwangnam, K. Indoor Pedestrian Localization Using iBeacon and Improved Kalman Filter. Sensors 2018, 18, 1722. [Google Scholar]
- Xin, L.; Jian, W.; Liu, C. A Bluetooth/PDR Integration Algorithm for an Indoor Positioning System. Sensors 2015, 15, 24862–24885. [Google Scholar]
- Ferreira, A.; Matias, B.; Almeida, J.; Silva, E. Real-time GNSS precise positioning: RTKLIB for ROS. Int. J. Adv. Robot. Syst. 2020, 17, 1729881420904526. [Google Scholar] [CrossRef]
- Zhang, H.; Zhang, C.; Wei, Y.; Chen, C.Y. Localization and navigation using QR code for mobile robot in indoor environment. In Proceedings of the IEEE International Conference on Robotics & Biomimetics, Zhuhai, China, 6–9 December 2015. [Google Scholar]
- Duque Domingo, J.; Cerrada, C.; Valero, E.; Cerrada, J.A. An Improved Indoor Positioning System Using RGB-D Cameras and Wireless Networks for Use in Complex Environments. Sensors 2017, 17, 2391. [Google Scholar] [CrossRef] [Green Version]
- Xu, H.; Ding, Y.; Li, P.; Wang, R.; Li, Y. An RFID Indoor Positioning Algorithm Based on Bayesian Probability and K-Nearest Neighbor. Sensors 2017, 17, 1806. [Google Scholar] [CrossRef] [Green Version]
- Guarato, F.; Laudan, V.; Windmill, J.F.C. Ultrasonic sonar system for target localization with one emitter and four receivers: Ultrasonic 3D localization. In Proceedings of the 2017 IEEE SENSORS, Glasgow, Scotland, 29 October–1 November 2017. [Google Scholar]
- Kim, H.; Liu, B.; Myung, H. Road-feature extraction using point cloud and 3D LiDAR sensor for vehicle localization. In Proceedings of the 2017 14th International Conference on Ubiquitous Robots and Ambient Intelligence (URAI), Jeju, Korea, 28 June–1 July 2017. [Google Scholar]
- Wang, B.; Liu, X.; Yu, B.; Jia, R.; Gan, X. An Improved WiFi Positioning Method Based on Fingerprint Clustering and Signal Weighted Euclidean Distance. Sensors 2019, 19, 2300. [Google Scholar] [CrossRef] [Green Version]
- Chen, G.; Meng, X.; Wang, Y.; Zhang, Y.; Tian, P.; Yang, H. Integrated WiFi/PDR/Smartphone Using an Unscented Kalman Filter Algorithm for 3D Indoor Localization. Sensors 2015, 15, 24595–24614. [Google Scholar] [CrossRef] [PubMed] [Green Version]
- Zou, H.; Lu, X.; Jiang, H.; Xie, L. A Fast and Precise Indoor Localization Algorithm Based on an Online Sequential Extreme Learning Machine. Sensors 2015, 15, 1804. [Google Scholar] [CrossRef] [PubMed]
- Willemsen, T.; Keller, F.; Sternberg, H. Concept for building a MEMS based indoor localization system. In Proceedings of the International Conference on Indoor Positioning & Indoor Navigation, Busan, Korea, 27–30 October 2014. [Google Scholar]
- Eyobu, O.S.; Poulose, A.; Han, D.S. An Accuracy Generalization Benchmark for Wireless Indoor Localization based on IMU Sensor Data. In Proceedings of the 2018 IEEE 8th International Conference on Consumer Electronics, Berlin, Germany, 2–5 September 2018. [Google Scholar]
- Gan, X.; Yu, B.; Huang, L.; Jia, R.; Zhang, H.; Sheng, C.; Fan, G.; Wang, B. Doppler Differential Positioning Technology Using the BDS/GPS Indoor Array Pseudolite System. Sensors 2019, 19, 4580. [Google Scholar] [CrossRef] [PubMed] [Green Version]
- HTC Vive. China Releases First Self-Developed Group Standard for the VR Industry. Electronics Newsweekly, 25 April 2017; p. 74.


































| The Theoretical Movement Value (cm) | The Actual Movement Value (cm) | Error (cm) |
|---|---|---|
| 500 | 500.5 | 0.5 |
| 500 | 500.3 | 0.3 |
| 500 | 500.8 | 0.8 |
| 500 | 501.1 | 1.1 |
| The Theoretical Movement Value (cm) | The Actual Movement Value (cm) | Error (cm) |
|---|---|---|
| 500 | 500.1 | 0.1 |
| 500 | 500.3 | 0.3 |
| 500 | 500.7 | 0.7 |
| 500 | 501.0 | 1.0 |
| The Theoretical Angle Value (°) | The Actual Angle Value (°) | Error (°) |
|---|---|---|
| 180.00 | 180.12 | 0.12 |
| 360.00 | 360.42 | 0.42 |
| 540.00 | 540.62 | 0.62 |
| 720.00 | 721.15 | 1.15 |
| Theoretical Movement Value | Actual Movement Value | Error | ||||||
|---|---|---|---|---|---|---|---|---|
| x(m) | y(m) | (°) | x(m) | y(m) | (°) | d(m) | (°) | |
| 0 | 0 | 0 | 0 | 0 | 0 | 0 | 0 | |
| 1.80 | 0 | 90 | 1.802 | −0.008 | 90.02 | 0.008 | 0.02 | |
| 1.80 | 1.80 | 180 | 1.808 | 1.795 | 181.45 | 0.009 | 0.45 | |
| 0 | 1.80 | 270 | 0.011 | 1.805 | 270.87 | 0.012 | 0.87 | |
| 0 | 0 | 360 | 0.013 | −0.010 | 361.42 | 0.016 | 1.42 | |
Publisher’s Note: MDPI stays neutral with regard to jurisdictional claims in published maps and institutional affiliations. |
© 2021 by the authors. Licensee MDPI, Basel, Switzerland. This article is an open access article distributed under the terms and conditions of the Creative Commons Attribution (CC BY) license (https://creativecommons.org/licenses/by/4.0/).
Share and Cite
Lu, Z.; He, G.; Wang, R.; Wang, S.; Zhang, Y.; Liu, C.; Chen, D.; Hou, T. An Orthogonal Wheel Odometer for Positioning in a Relative Coordinate System on a Floating Ground. Appl. Sci. 2021, 11, 11340. https://doi.org/10.3390/app112311340
Lu Z, He G, Wang R, Wang S, Zhang Y, Liu C, Chen D, Hou T. An Orthogonal Wheel Odometer for Positioning in a Relative Coordinate System on a Floating Ground. Applied Sciences. 2021; 11(23):11340. https://doi.org/10.3390/app112311340
Chicago/Turabian StyleLu, Zhiguo, Guangda He, Ruchao Wang, Shixiong Wang, Yichen Zhang, Chong Liu, Ding Chen, and Teng Hou. 2021. "An Orthogonal Wheel Odometer for Positioning in a Relative Coordinate System on a Floating Ground" Applied Sciences 11, no. 23: 11340. https://doi.org/10.3390/app112311340
APA StyleLu, Z., He, G., Wang, R., Wang, S., Zhang, Y., Liu, C., Chen, D., & Hou, T. (2021). An Orthogonal Wheel Odometer for Positioning in a Relative Coordinate System on a Floating Ground. Applied Sciences, 11(23), 11340. https://doi.org/10.3390/app112311340

