Exploring the Bioethanol Production Potential of Miscanthus Cultivars
Abstract
:1. Introduction
2. Materials and Methods
2.1. Miscanthus Samples
2.2. Lignin Composition Analysis
2.2.1. Lignin Composition Analysis by the Klason Method
2.2.2. Lignin Analysis by the Acetyl Bromide Soluble Lignin Method (ABSL)
2.3. α-Cellulose and Hemicellulose Analysis
2.4. Miscanthus Morphology Analysis Using Scanning Electron Microscopy
2.5. Miscanthus Pre-Treatment and Enzymatic Saccharification
2.6. Yeast Fermentation
2.7. Sugar and Ethanol Analysis
2.8. Element Content Analysis Using ICP-MS
3. Results and Discussion
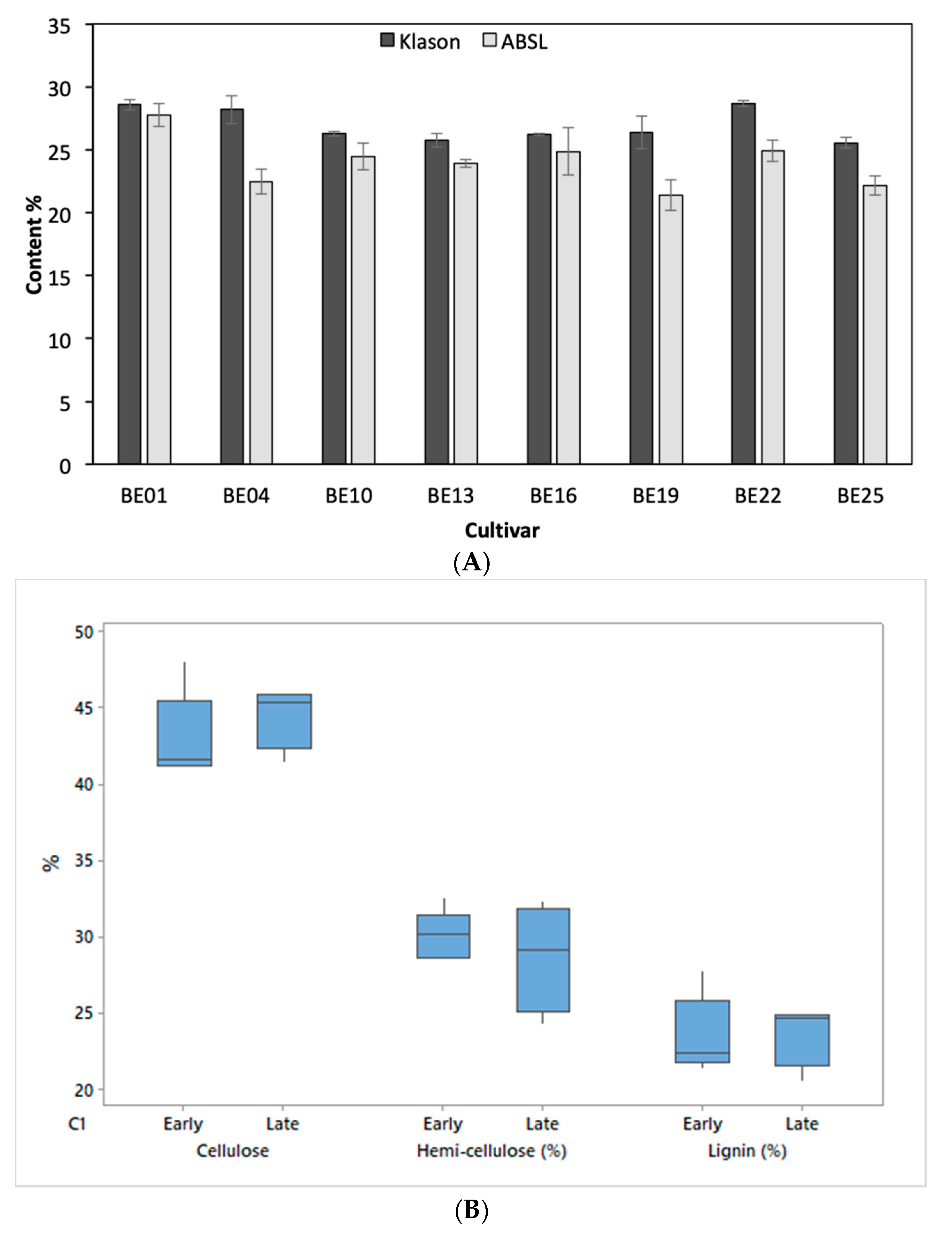
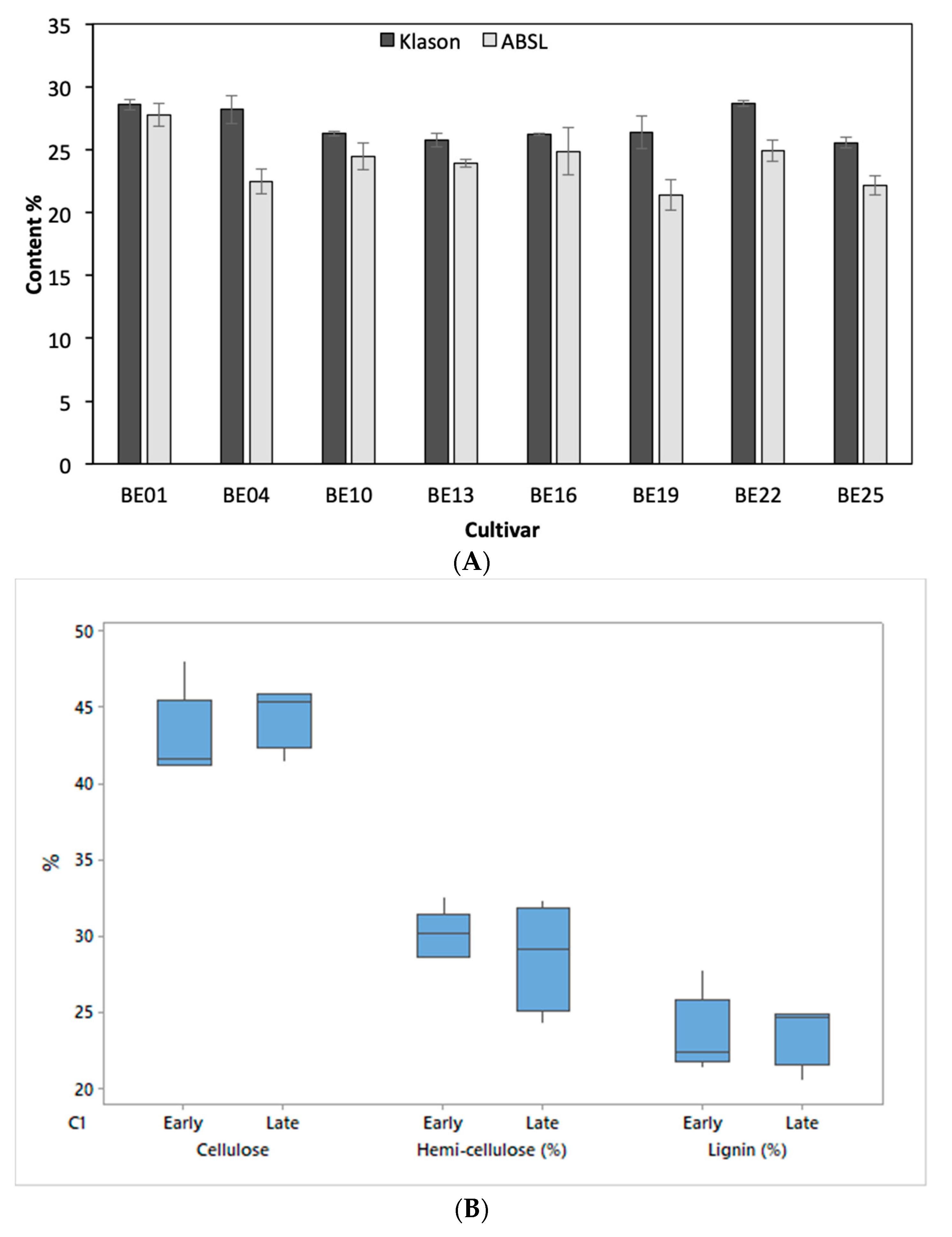
3.1. Comparison of Lignin Content Using the Klason Method or ABSL Method
3.2. Carbohydrate Composition of Miscanthus Cultivars
3.3. Miscanthus Cultivar Hydrolysis and Fermentation
3.4. Analysis of Miscanthus Structure Using Scanning Electron Microscopy
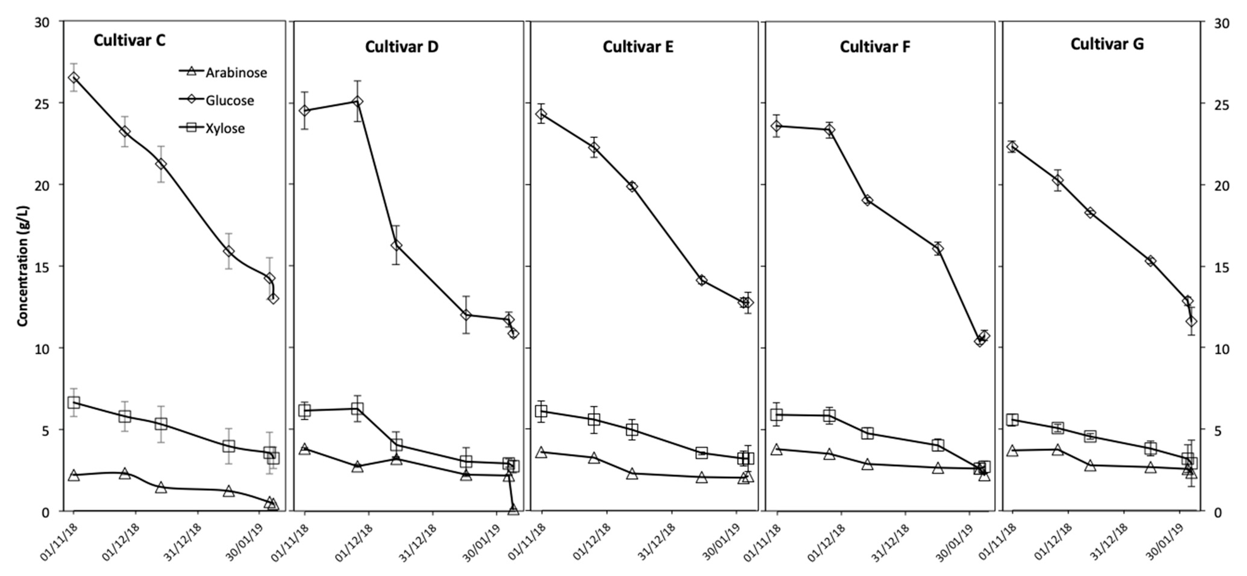
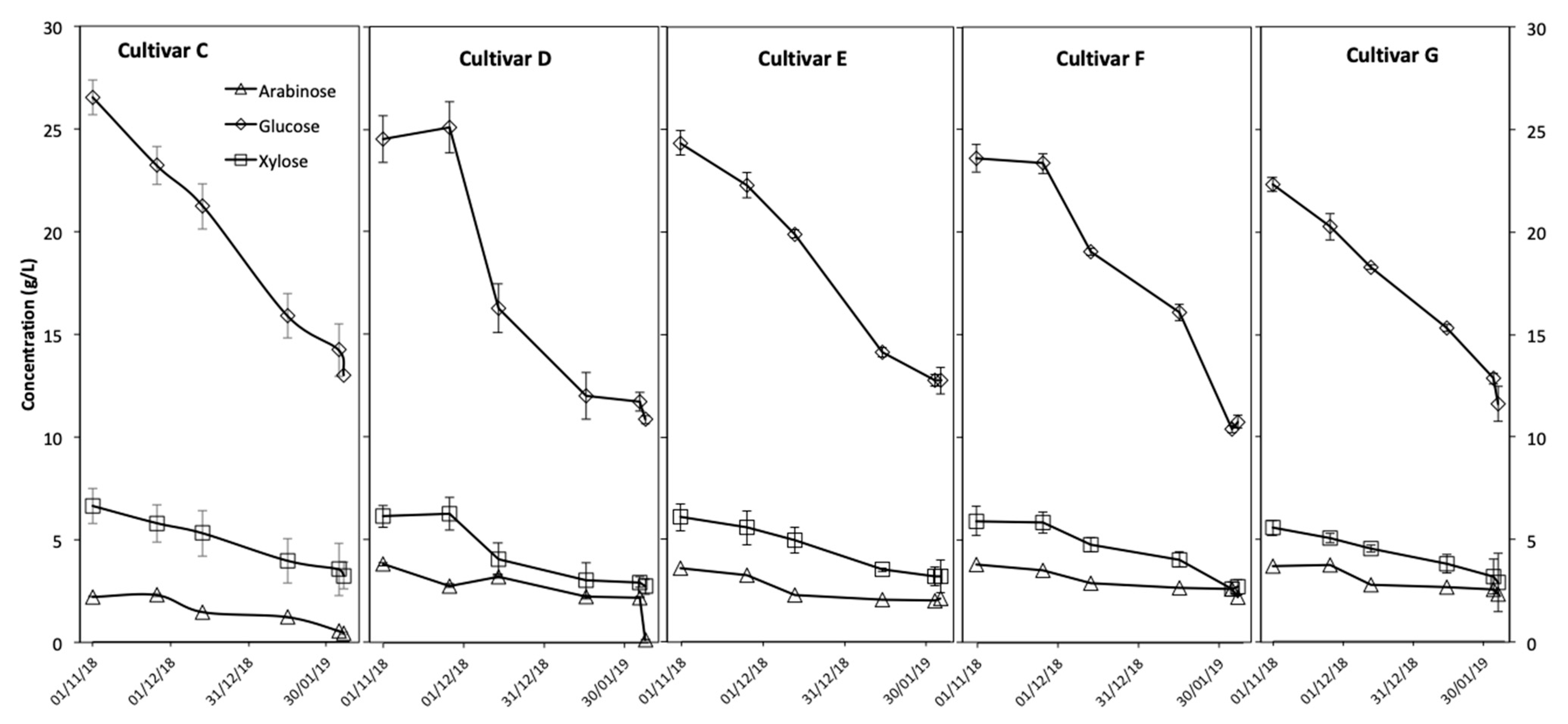
3.5. Sugar Profiles of Miscanthus Cultivars through a Growing Season
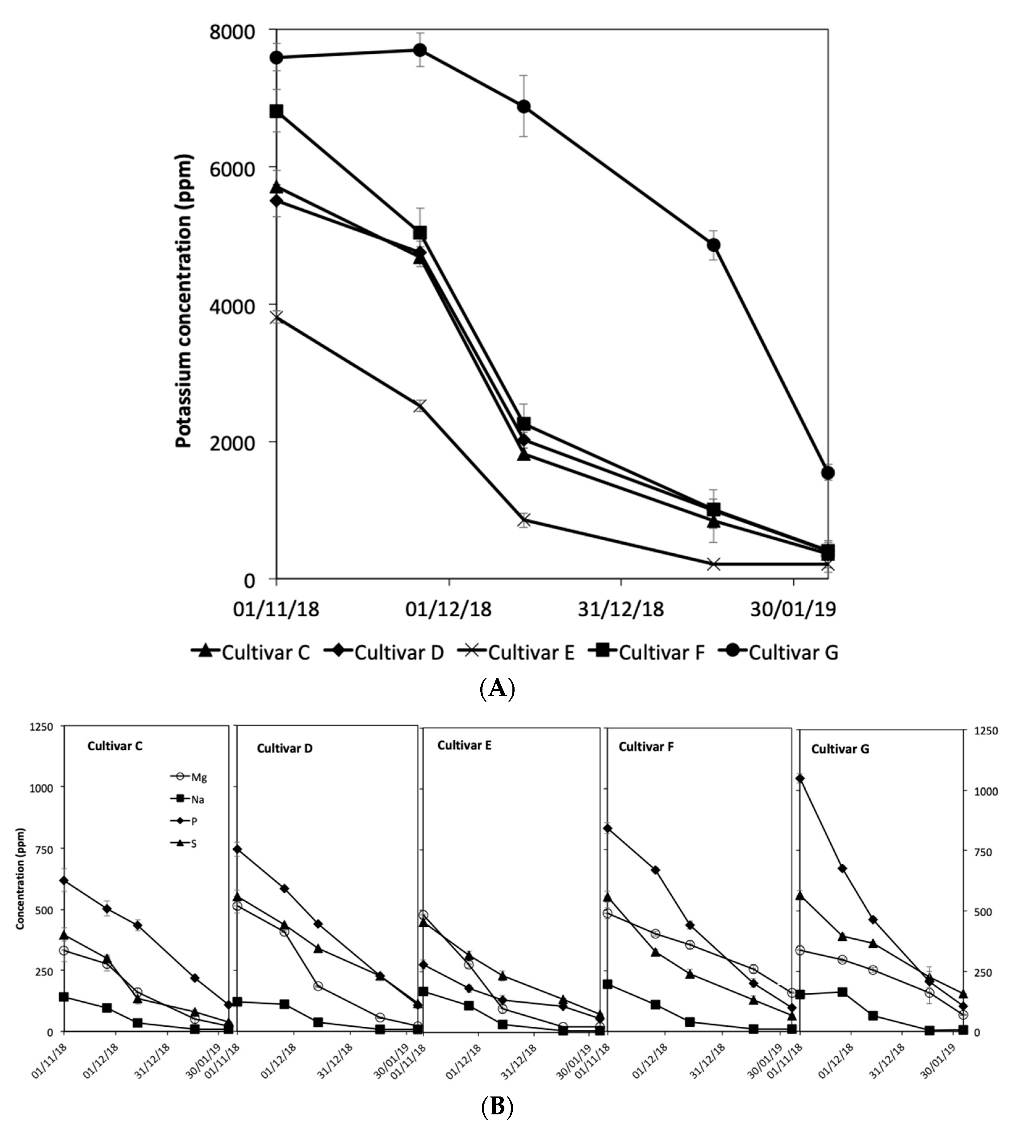
3.6. Elemental Composition of Cultivars through the Growing Season
4. Conclusions and Future Work
Author Contributions
Funding
Informed Consent Statement
Data Availability Statement
Conflicts of Interest
Nomenclature
| ABSL | Acetyl Bromide Soluble Lignin |
| FPU | Filter Paper Unit |
| HPLC | High Performance Liquid Chromatography |
| ICP-MS | Inductively Coupled Plasma–Mass Spectrometry |
| MFV | Mini Fermentation Vessel |
| RO | Reverse Osmosis |
| SEM | Scanning Electron Microscopy |
| YPD | Yeast Extract, Peptone, Dextrose |
References
- Chung, J.H.; Kim, D.S. Miscanthus as a potential bioenergy crop in East Asia. J. Crop. Sci. Biotechnol. 2012, 15, 65–77. [Google Scholar] [CrossRef]
- Adjuik, T.; Rodjom, A.M.; Miller, K.E.; Reza, M.T.M.; Davis, S.C. Application of hydrochar, digestate, and synthetic fertilizer to a Miscanthus x giganteus crop: Implications for biomass and greenhouse gas emissions. Appl. Sci. 2020, 10, 8953. [Google Scholar] [CrossRef]
- Edgar, V.N.; Fabián, F.L.; Julián Mario, P.C.; Ileana, V.R. Coupling plant biomass derived from phytoremediation of potential toxic-metal polluted soils to bioenergy production and high-value by-products—A review. Appl. Sci. 2021, 11, 2982. [Google Scholar] [CrossRef]
- Stewart, J.R.; Toma, Y.; Fernándes, F.G.; Nishiwaki, A.; Yamada, T.; Bollero, G. The ecology and agronomy of Miscanthus sinensis, a species important to bioenergy crop development, in its native range in Japan: A review. Glob. Chang. Biol. Bioenergy 2009, 1, 126–153. [Google Scholar] [CrossRef]
- Heaton, E.A.; Dohleman, F.G.; Miguez, A.F.; Juvik, J.A.; Lozovaya, V.; Widholm, J.; Zabotina, O.A.; Mcisaac, G.F.; David, M.B.; Voigt, T.B.; et al. Miscanthus: A promising biomass crop. Adv. Bot. Res. 2010, 56, 75–137. [Google Scholar] [CrossRef]
- Lewandowski, I.; Heinz, A. Delayed harvest of Miscanthus—Influences on biomass quantity and quality and environmental impacts of energy production. Eur. J. Agron. 2003, 19, 45–63. [Google Scholar] [CrossRef]
- Hodgson, E.M.; Lister, S.J.; Bridgwater, A.V.; Clifton-Brown, J.; Donnison, I.S. Genotypic and environmentally derived variation in the cell wall composition of Miscanthus in relation to its use as a biomass feedstock. Biomass Bioenergy 2010, 34, 652–660. [Google Scholar] [CrossRef]
- Wang, C.; Kong, Y.; Hu, R.; Zhou, G. Miscanthus: A fast-growing crop for environmental remediation and biofuel production. Glob. Chang. Biol. Bioenergy 2020, 13, 58–69. [Google Scholar] [CrossRef]
- Alam, A.; Zhang, R.; Liu, P.; Huang, J.; Wang, Y.; Hu, Z.; Madadi, M.; Sun, D.; Hu, R.; Ragauskas, A.J. A finalized determinant for complete lignocellulose enzymatic saccharification potential to maximize bioethanol production in bioenergy Miscanthus Biotechnol. Biofuels 2019, 12, 99. [Google Scholar] [CrossRef] [PubMed] [Green Version]
- Lee, W.C.; Kuan, W.C. Miscanthus as cellulosic biomass for bioethanol production. Biotechnol. J. 2015, 10, 840–854. [Google Scholar] [CrossRef] [PubMed]
- Adams, J.M.M.; Winters, A.L.; Hodgson, E.M.; Gallagher, J.A. What cell wall components are the best indicators for Miscanthus digestibility and conversion to ethanol following variable pretreatments? Biotechnol. Biofuels 2018, 11, 67. [Google Scholar] [CrossRef] [Green Version]
- Le Ngoc Huyen, T.; Remond, C.; Dheilly, R.M.; Chabbert, B. Effect of harvesting date on the composition and saccharification of Miscanthus × giganteus. Bioresour. Technol. 2010, 101, 8224–8231. [Google Scholar] [CrossRef]
- Larsen, S.U.; Jørgensen, U.; Kjeldsen, J.B.; Lærke, P.E. long-term Miscanthus yields influenced by location, genotype, row distance, fertilization and harvest season. Bioenergy Res. 2014, 7, 620–635. [Google Scholar] [CrossRef]
- Kam, J.; Thomas, D.; Pierre, S.; Ashman, C.; McCalmont, J.P.; Purdy, S.J. A new carbohydrate retaining variety of Miscanthus increases biogas methane yields compared to M. × giganteus and narrows the yield advantage of maize. Food Energy Secur. 2020, 9, e224. [Google Scholar] [CrossRef]
- Mangold, A.; Lewandowski, I.; Möhring, J.; Clifton-Brown, J.; Krzyzak, J.; Mos, M.; Pogrzeba, M.; Kiesel, A. Harvest date and leaf:stem ratio determine methane hectare yield of Miscanthus biomass. Glob. Chang. Biol. Bioenergy 2019, 11, 21–33. [Google Scholar] [CrossRef]
- Hastings, A.; Mos, M.; Yesufu, J.A.; McCalmont, J.; Schwarz, K.; Shafei, R.; Ashman, C.; Nunn, C.; Schuele, H.; Cosentino, S.; et al. Economic and environmental assessment of seed and rhizome propagated Miscanthus in the UK. Front. Plant Sci. 2017, 8, 1058. [Google Scholar] [CrossRef] [Green Version]
- Greetham, D.; Zaky, A.S.; Du, C. Exploring the tolerance of marine yeast to inhibitory compounds for improving bioethanol production. Sustain. Energy Fuel 2019, 3, 1545–1553. [Google Scholar] [CrossRef] [Green Version]
- Greetham, D.; Adams, J.M.; Du, C. The utilization of seawater for the hydrolysis of macroalgae and subsequent bioethanol fermentation. Sci. Rep. 2020, 10, 9728. [Google Scholar] [CrossRef]
- Schafer, J.; Sattler, M.; Iqbal, Y.; Lewandowski, I.; Bunzel, M. Characterization of Miscanthus cell wall polymers. Glob. Chang. Biol. Bioenergy 2019, 11, 191–205. [Google Scholar] [CrossRef] [PubMed] [Green Version]
- Hodgson, E.M.; Nowakowski, D.J.; Shield, I.; Riche, A.; Bridgwater, A.V.; Clifton-Brown, J.C.; Donnisona, I.S. Variation in Miscanthus chemical composition and implications for conversion by pyrolysis and thermo-chemical bio-refining for fuels and chemicals. Bioresour. Technol. 2011, 102, 3411–3418. [Google Scholar] [CrossRef] [PubMed]
- Kim, S.J.; Kim, M.Y.; Jeong, S.J.; Jang, M.S.; Chung, I.M. Analysis of the biomass content of various Miscanthus genotypes for biofuel production in Korea. Ind. Crop. Prod. 2012, 38, 46–49. [Google Scholar] [CrossRef]
- Bergs, M.; Völkering, G.; Kraska, T.; Pude, R.; Do, X.T.; Kusch, P.; Monakhova, Y.; Konow, C.; Schulze, M. Miscanthus × giganteus Stem Versus Leaf-Derived Lignins Differing in Monolignol Ratio and Linkage. Int. J. Mol. Sci. 2019, 20, 1200. [Google Scholar] [CrossRef] [PubMed] [Green Version]
- Brosse, N.; Sannigrahi, P.; Ragauskas, A. Pretreatment of Miscanthus × giganteus using the ethanol organosolv process for ethanol production. Ind. Eng. Chem. Res. 2009, 48, 8328–8334. [Google Scholar] [CrossRef]
- Han, M.; Kim, Y.; Koo, B.; Choi, G.W. Bioethanol production by Miscanthus as a lignocellulosic biomass: Focus on high efficiency conversion to glucose and ethanol. BioResources 2011, 6, 1939–1953. [Google Scholar]
- Jensen, E.; Robson, P.; Farrar, K.; Jones, S.T.; Clifton-Brown, J.; Payne, R.; Donnison, I. Towards Miscanthus combustion quality improvement: The role of flowering and senescence. Glob. Chang. Biol. Bioenergy 2016, 9, 891–908. [Google Scholar] [CrossRef] [Green Version]
- Smith, R.; Slater, F. Mobilisation of minerals and moisture loss during senescence of the energy crops Miscanthus × giganteus, Arundo donax and Phalaris arundinacea in Wales, UK. Glob. Chang. Biol. Bioenergy 2011, 3, 148–157. [Google Scholar] [CrossRef]









| GENOTYPE | Samples Code | Harvest Point | Reference |
|---|---|---|---|
| Miscanthus Cultivar A M. × giganteus | BE01 | Early season * | |
| Miscanthus Cultivar A M. × giganteus | BE07 | Late season * | |
| Miscanthus Cultivar B M. × giganteus | BE04 | Early season * | |
| Miscanthus Cultivar B M. × giganteus | BE10 | Late season * | |
| Miscanthus Cultivar C (GNT3) | BE13 | Early season * | [15] |
| Miscanthus Cultivar C (GNT3) | BE16 | Late season * | [15] |
| Miscanthus Cultivar C (GNT3) | Various harvest points ** | ||
| Miscanthus Cultivar D (GNT5) | BE19 | Early season * | [16] |
| Miscanthus Cultivar D (GNT5) | BE22 | Late season * | [16] |
| Miscanthus Cultivar D (GNT5) | Various harvest points ** | ||
| Miscanthus Cultivar E | Various harvest points ** | ||
| Miscanthus Cultivar F | Various harvest points ** | ||
| Miscanthus Cultivar G (GNT14) | BE25 | Early season * | [14] |
| Miscanthus Cultivar G (GNT14) | Various harvest points ** |
| Sample | Total (Klason) | Total (ABSL) | Cellulose | Hemicellulose | Lignin (Klason) | Lignin (ABSL) |
|---|---|---|---|---|---|---|
| BE01 | 98.55 | 97.77 | 41.27 ± 1.39 | 28.70 ± 2.90 | 28.58 ± 0.73 | 27.78 ± 0.90 |
| BE04 | 104.82 | 99.08 | 48.09 ± 0.26 | 28.53 ± 0.25 | 28.20 ± 1.94 | 22.46 ± 0.97 |
| BE07 | N/A | N/A | 45.64 ± 0.03 | 27.76 ± 0.55 | N/A | N/A |
| BE10 | 102.08 | 100.29 | 45.24 ± 0.25 | 30.58 ± 0.40 | 26.26 ± 0.28 | 24.47 ± 1.07 |
| BE13 | 99.08 | 97.24 | 43.00 ± 0.37 | 30.32 ± 0.39 | 25.76 ± 0.98 | 23.92 ± 0.33 |
| BE16 | 96.52 | 95.14 | 46.02 ± 0.95 | 24.27 ± 1.01 | 26.23 ± 0.16 | 24.85 ± 1.89 |
| BE19 | 100.97 | 95.19 | 41.15 ± 0.27 | 32.62 ± 0.33 | 27.20 ± 1.98 | 21.42 ± 1.23 |
| BE22 | 102.4 | 98.65 | 41.46 ± 0.83 | 32.28 ± 0.81 | 28.66 ± 0.42 | 24.91 ± 0.87 |
| BE25 | 97.44 | 94.04 | 41.65 ± 1.04 | 30.25 ± 0.62 | 25.54 ± 0.74 | 22.14 ± 0.75 |
| Cultivars | Lignin (ABSL) (%, w/w) | |
|---|---|---|
| November | February | |
| Cultivars C | 25.00 | 21.38 |
| Cultivars D | 18.78 | 22.43 |
| Cultivars E | 22.22 | 22.25 |
| Cultivars F | 21.56 | 23.71 |
| Cultivars G | 17.56 | 21.98 |
Publisher’s Note: MDPI stays neutral with regard to jurisdictional claims in published maps and institutional affiliations. |
© 2021 by the authors. Licensee MDPI, Basel, Switzerland. This article is an open access article distributed under the terms and conditions of the Creative Commons Attribution (CC BY) license (https://creativecommons.org/licenses/by/4.0/).
Share and Cite
Turner, W.; Greetham, D.; Mos, M.; Squance, M.; Kam, J.; Du, C. Exploring the Bioethanol Production Potential of Miscanthus Cultivars. Appl. Sci. 2021, 11, 9949. https://doi.org/10.3390/app11219949
Turner W, Greetham D, Mos M, Squance M, Kam J, Du C. Exploring the Bioethanol Production Potential of Miscanthus Cultivars. Applied Sciences. 2021; 11(21):9949. https://doi.org/10.3390/app11219949
Chicago/Turabian StyleTurner, William, Darren Greetham, Michal Mos, Michael Squance, Jason Kam, and Chenyu Du. 2021. "Exploring the Bioethanol Production Potential of Miscanthus Cultivars" Applied Sciences 11, no. 21: 9949. https://doi.org/10.3390/app11219949
APA StyleTurner, W., Greetham, D., Mos, M., Squance, M., Kam, J., & Du, C. (2021). Exploring the Bioethanol Production Potential of Miscanthus Cultivars. Applied Sciences, 11(21), 9949. https://doi.org/10.3390/app11219949

