Online Active Set-Based Longitudinal and Lateral Model Predictive Tracking Control of Electric Autonomous Driving
Abstract
:1. Introduction
1.1. Literature Review
1.2. Contribution
1.3. Organisation
2. Vehicle State Estimation
2.1. Vehicle Dynamics Model
2.2. The Design of the State Estimator
2.3. EKF-Based State Estimation
3. Model Predictive Control-Based Longitudinal and Lateral Tracking Control
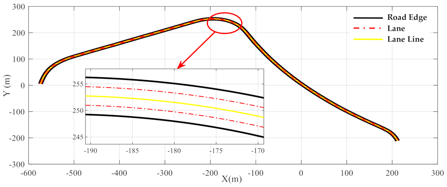
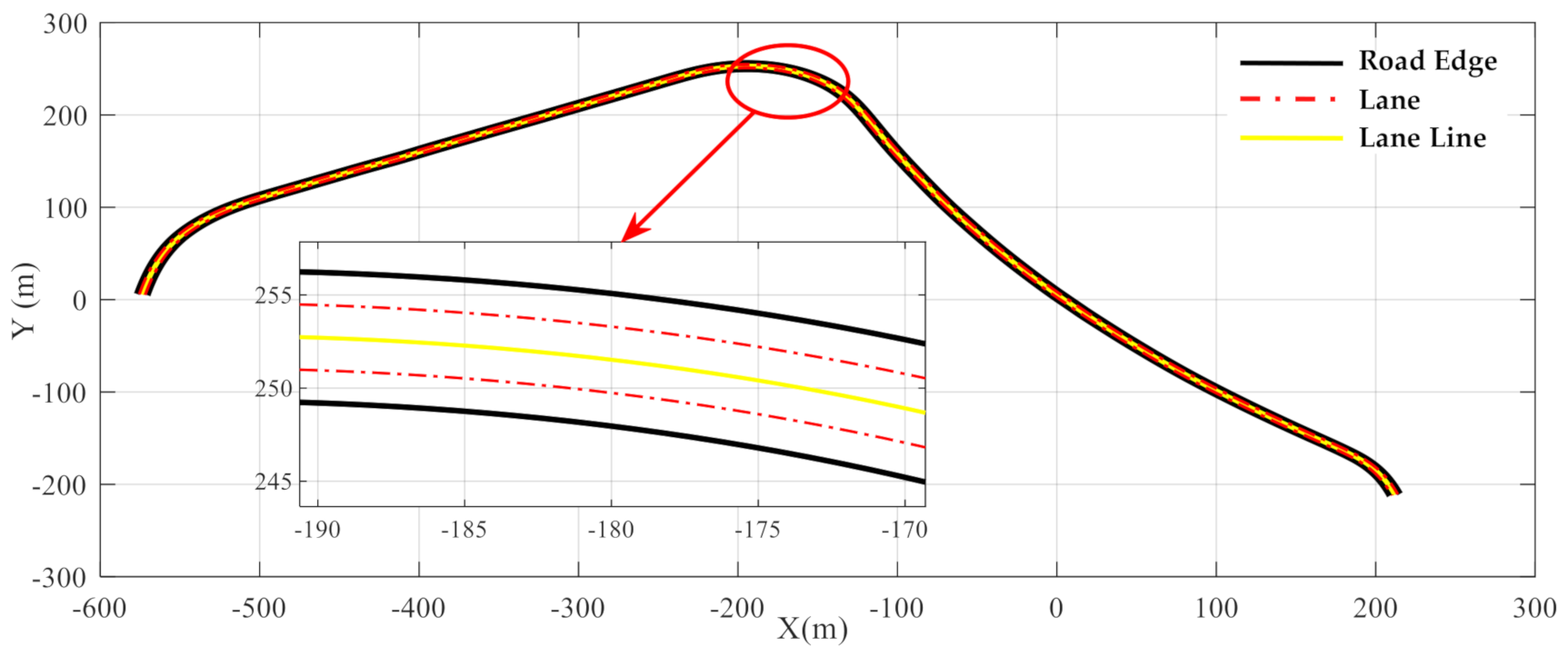
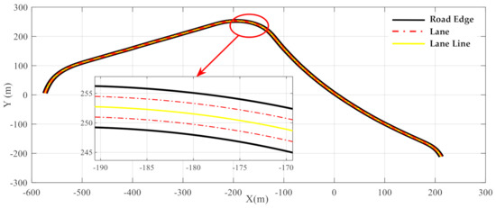
3.1. Reference Path Generation
3.2. Dimension Reduction-Based Errors Calculation
3.3. Model Predictive Control
3.4. Online Active Set Algorithm
4. Results and Discussions
4.1. HARDWARE-IN-LOOP
4.2. Simulation Results
5. Conclusions
Author Contributions
Funding
Institutional Review Board Statement
Informed Consent Statement
Data Availability Statement
Acknowledgments
Conflicts of Interest
Nomenclature
| A. ABBREVIATIONS | |
| IMU | Inertial measurement unit. |
| GPS | Global positioning system. |
| QP | Quadratic program. |
| PID | Proportional integral derivative. |
| MPC | Model predictive control. |
| DOF | Degrees of freedom. |
| EKF | extended Kalman Filter. |
| PF | Potential field. |
| B. SYMBOLS | |
| Mass and steering angle of the front tire. | |
| Longitudinal and lateral equivalent forces. | |
| Identity matrix. | |
| Torque of the centroid position. | |
| Longitudinal force of the front-driving tire. | |
| Error of each state variable. | |
| Observation variable error. | |
| Corresponding work set. | |
| Discrete form of the state function. | |
| Coefficient of Kalman gain. | |
| sampling period. | |
| Reference variables. | |
| Feasible parameter space. | |
| Lateral distance of ego vehicle. | |
| Vectors of control. | |
| Heading angle of the target point in the reference path. | |
| shaping parameter. | |
| Output matrix. | |
| Step length along the homotopy of parameter. | |
| Non-working set in the feasible set. | |
| Covariance matrices of the measure and model systems. | |
| Index of the inequality constraints. | |
| Longitudinal and lateral coordinates in a road coordinate system. | |
| Linear homotopies of the working set. | |
| Real-time position of the ego vehicle. | |
| Coordinate of target point. | |
| Lateral force of front, lateral force of rear tires. | |
| Lateral position, speed and heading angle errors. | |
| Augmented matrices of the prediction formulation. | |
| Shaping parameter. | |
| Current position of the ego vehicle. | |
| Discrete matrices of the state-equation. | |
| Reference path. | |
| Parameter vector in sampling instant. | |
| Longitudinal position, lateral position and the yaw angle in the global Cartesian coordinate system. | |
| Longitudinal velocity, lateral velocity and yaw rate. | |
| Lateral positions of the left and right road boundaries. | |
| Longitudinal and lateral velocities in the global cartesian coordinate system. | |
| Linear homotopies of the primal and dual optimal solution. | |
| Front wheelbases, rear wheelbases and the vehicle inertia around the vertical axis. | |
| Update of the parameter, gradient and the boundary of the constraints. | |
References
- Anastasiadou, K.; Gavanas, N.; Pitsiava-Latinopoulou, M.; Bekiaris, E. Infrastructure Planning for Autonomous Electric Vehicles, Integrating Safety and Sustainability Aspects: A Multi-Criteria Analysis Approach. Energies 2021, 14, 5269. [Google Scholar] [CrossRef]
- Tostado-Véliz, M.; León-Japa, R.S.; Jurado, F. Optimal electrification of off-grid smart homes considering flexible demand and vehicle-to-home capabilities. Appl. Energy 2021, 298, 117184. [Google Scholar] [CrossRef]
- Hoffmann, G.M.; Tomlin, C.J.; Montemerlo, M.; Thrun, S. Autonomous Automobile Trajectory Tracking for Off Road Driving: Controller Design, Experimental Validation and Racing. In Proceedings of the 2007 American Control Conference, New York, NY, USA, 9–13 July 2007; pp. 2296–2301. [Google Scholar]
- Hayakawa, Y.; White, R.; Kimura, T.; Naito, G. Driver compatible steering system for wide speed range path following. IEEE/ASME Trans. Mechatron. 2004, 9, 544–552. [Google Scholar] [CrossRef]
- Netto, M.; Blosseville, J.; Lusetti, B.; Mammar, S. A new robust control system with optimized use of the lane detection data for vehicle full lateral control under strong curvatures. In Proceedings of the 2006 IEEE Intelligent Transportation Systems Conference, Toronto, ON, Canada, 17–20 September 2006; pp. 1382–1387. [Google Scholar]
- Zhang, W. The energy saving simulation of suspension robot path tracking based on improved PID control. Mach. Des. Manuf. Eng. 2019, 48, 29–32. [Google Scholar]
- Lee, H.; Tomizuka, M. Coordinated Longitudinal and Lateral Motion Control of Vehicles for IVHS. J. Dyn. Syst. 2001, 123, 535. [Google Scholar] [CrossRef]
- Brown, M.; Funke, J.; Erlien, S.; Gerdes, J.C. Safe driving envelopes for path tracking in autonomous vehicles ScienceDirect. Control Eng. Pract. 2017, 61, 307–316. [Google Scholar] [CrossRef]
- Kumarawadu, S.; Lee, T.T. Neuroadaptive Combined Lateral and Longitudinal Control of Highway Vehicles Using RBF Networks. IEEE Trans. Intell. Transp. Syst. 2006, 7, 500–512. [Google Scholar] [CrossRef]
- Zhao, X.; Chen, H. A Study on Lateral Control Method for the Path Tracking of Intelligent Vehicles. Automot. Eng. 2011, 33, 18–23. [Google Scholar]
- Hu, C.; Jing, H.; Wang, R.; Yan, F.; Chadli, M. Robust H∞ output-feedback control for path following of autonomous ground vehicles. Mech. Syst. Signal Process. 2015, 70, 414–427. [Google Scholar]
- Pan, S.; Changfu, Z.; Masayoshi, T. Combined Longitudinal and Lateral Control for Automated Lane Guidance of Full Drive by Wire Vehicles. SAE Int. J. Passeng. Cars Electron. Electr. Syst. 2015, 8, 477–485. [Google Scholar]
- Guo, H.; Cao, D.; Chen, H.; Sun, Z.; Hu, Y. Model predictive path following control for autonomous cars considering a measurable disturbance: Implementation, testing, and verification. Mech. Syst. Signal Process. 2019, 118, 41–60. [Google Scholar] [CrossRef]
- Du, X.; Htet, K.K.K.; Tan, K.K. Development of a Genetic-Algorithm-Based Nonlinear Model Predictive Control Scheme on Velocity and Steering of Autonomous Vehicles. IEEE Trans. Ind. Electron. 2016, 63, 6970–6977. [Google Scholar] [CrossRef]
- Li, S.E.; Jia, Z.; Li, K.; Cheng, B. Fast Online Computation of a Model Predictive Controller and Its Application to Fuel Economy–Oriented Adaptive Cruise Control. IEEE Trans. Intell. Transp. Syst. 2015, 16, 1199–1209. [Google Scholar] [CrossRef]
- Sun, J. Research on Tracking Control Algorithm of Unmanned Vehicle Based on Model Predictive Control (in Chinese). Master’s Thesis, Beijing Institute of Technology, Beijing, China, 2015. [Google Scholar]
- Wang, H. Research on Intelligent Vehicle Motion Control Based on Integrated Longitudinal and Lateral Control (in Chinese). Master’s Thesis, Nanjing University of Aeronautics and Astronautics, Nanjing, China, 2016. [Google Scholar]
- Zhang, L.; Wu, G.; Guo, X. Path Tracking Using Linear Time-varying Model Predictive Control for Autonomous Vehicle. J. Tongji Univ. Nat. Sci. 2016, 44, 1595–1603. [Google Scholar]
- Chen, S.; Chen, H.; Dan, N. Implementation of MPC-Based Path Tracking for Autonomous Vehicles Considering Three Vehicle Dynamics Models with Different Fidelities. Automot. Innov. 2020, 3, 386–399. [Google Scholar] [CrossRef]
- Zhao, N.N.; De-Min, X.U.; Gao, J.; Zhang, Q.N. Formation Path Following Control of Multiple AUVs Based on Serret-Frenet Coordinate System. Torpedo Technol. 2015, 23, 35–39. [Google Scholar]
- Ferreau, H.J.; Kirches, C.; Potschka, A.; Bock, H.G.; Diehl, M. QpOASES: A parametric active-set algorithm for quadratic programming. Math. Program. Comput. 2014, 6, 327–363. [Google Scholar] [CrossRef]
- Forsgren, A.; Gill, P.E.; Wong, E. Technical Report: Active-set methods for convex quadratic programming. Mathematics 2015. Available online: http://www.optimization-online.org/DB_FILE/2015/03/4848.pdf (accessed on 1 October 2021).
- Goldfarb, D.; Liu, S. An O(n3L) primal interior point algorithm for convex quadratic programming. Math. Program. 1990, 49, 325–340. [Google Scholar] [CrossRef]
- Axehill, D.; Hansson, A. A dual gradient projection quadratic programming algorithm tailored for model predictive control. In Proceedings of the IEEE Conference on Decision & Control, Cancun, Mexico, 9–11 December 2008. [Google Scholar]
- Arioli, M.; Baldini, L. A Backward Error Analysis of a Null Space Algorithm in Sparse Quadratic Programming. Siam J. Matrix Anal. Appl. 2002, 23, 425–442. [Google Scholar] [CrossRef]
- Lu, B.; Li, G.; Yu, H.; Wang, H.; Guo, J.; Cao, D.; He, H. Adaptive Potential Field Based Path Planning for Complex Autonomous Driving Scenarios. IEEE Access 2020, 8, 225294–225305. [Google Scholar] [CrossRef]
- Lu, B.; He, H.; Yu, H.; Wang, H.; Li, G.; Shi, M.; Cao, D. Hybrid Path Planning Combining Potential Field with Sigmoid Curve for Autonomous Driving. Sensors 2020, 20, 7197. [Google Scholar] [CrossRef] [PubMed]










| State estimation | |
| 1: | Input: |
| 2: | |
| 3: | calculate the optimal estimation of the last moment: |
| ; | |
| 4: | calculate the error covariance matrix: |
| 5: | . |
| 6: | State Estimation: |
| 7: | estimate the states from the model: |
| ; | |
| 8: | estimate the states from the measurement: |
| ; | |
| 9: | estimate the error covariance matrix: |
| ; | |
| 10: | Updates: |
| 11: | update the Kalman Gain: |
| ; | |
| 12: | calculate the current optimal estimation: |
| ; | |
| 13: | updates the Error covariance matrix: |
| ; | |
| 14: | Cycle 1–5 steps until the end. |
| Parameters | Values | Parameters | Values |
|---|---|---|---|
| Traction coefficient | 0.85 | Front wheelbase | 1.421 [m] |
| Front tire lateral stiffness | −1037 [N/deg] | Rear wheelbase | 1.434 [m] |
| Rear tire lateral stiffness | −1105 [N/deg] | Equivalent torsional inertia | 4600 [kg·m2] |
| Vehicle mass | 2270 [kg] | Frontal area | 2.8 [m2] |
| Gravity acceleration | 9.8 [m/s2] | Coefficient of Drag | 0.28 |
Publisher’s Note: MDPI stays neutral with regard to jurisdictional claims in published maps and institutional affiliations. |
© 2021 by the authors. Licensee MDPI, Basel, Switzerland. This article is an open access article distributed under the terms and conditions of the Creative Commons Attribution (CC BY) license (https://creativecommons.org/licenses/by/4.0/).
Share and Cite
Fan, W.; He, H.; Lu, B. Online Active Set-Based Longitudinal and Lateral Model Predictive Tracking Control of Electric Autonomous Driving. Appl. Sci. 2021, 11, 9259. https://doi.org/10.3390/app11199259
Fan W, He H, Lu B. Online Active Set-Based Longitudinal and Lateral Model Predictive Tracking Control of Electric Autonomous Driving. Applied Sciences. 2021; 11(19):9259. https://doi.org/10.3390/app11199259
Chicago/Turabian StyleFan, Wenhui, Hongwen He, and Bing Lu. 2021. "Online Active Set-Based Longitudinal and Lateral Model Predictive Tracking Control of Electric Autonomous Driving" Applied Sciences 11, no. 19: 9259. https://doi.org/10.3390/app11199259
APA StyleFan, W., He, H., & Lu, B. (2021). Online Active Set-Based Longitudinal and Lateral Model Predictive Tracking Control of Electric Autonomous Driving. Applied Sciences, 11(19), 9259. https://doi.org/10.3390/app11199259

