Novel Sodium Alginate/Polyvinylpyrrolidone/TiO2 Nanocomposite for Efficient Removal of Cationic Dye from Aqueous Solution
Abstract
:Featured Application
Abstract
1. Introduction
2. Materials and Methods
2.1. Materials
2.2. Preparation of Polymeric Beads
2.3. Characterization
2.4. Photocatalytic Decay of Methylene Blue
2.5. Kinetic Models
3. Results and Discussion
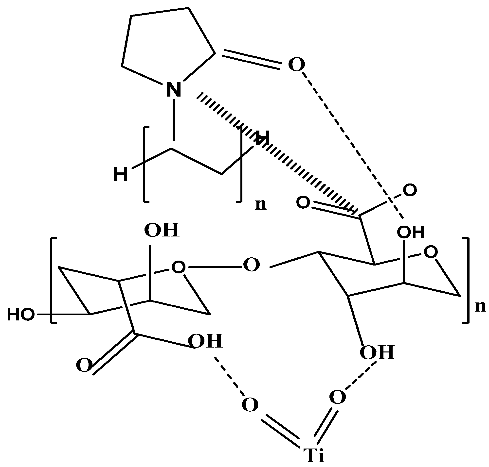
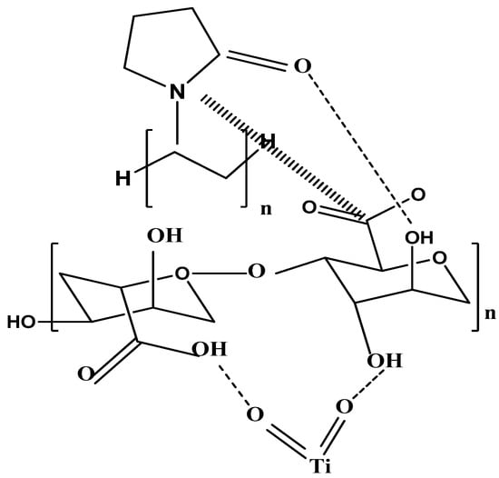
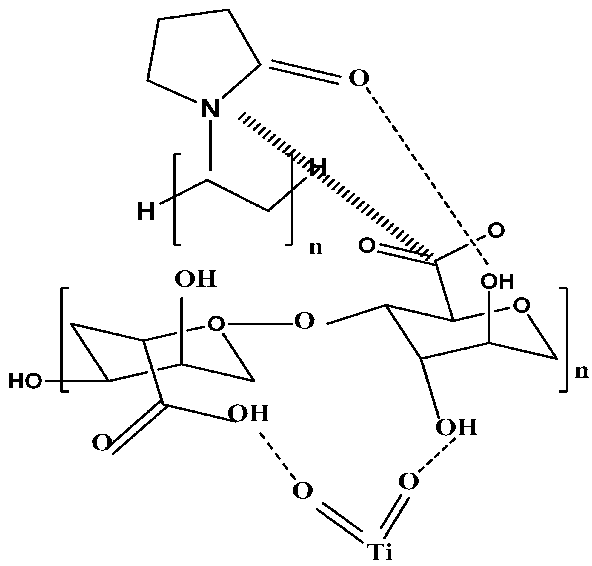
3.1. Characterization of SA/PVP/TiO2 Nanocomposite
3.2. Adsorption and Photocatalytic Removal of MB
3.2.1. Effect of TiO2 Amount in the SA/PVP Matrix
3.2.2. Effect of Illumination Time on the Decay of MB
3.2.3. Effect of Light Intensity on MB Photocatalytic Degradation
3.2.4. Effect of the MB Dye Initial Concentration on its Photocatalytic Decay
3.3. Reaction Kinetics Mechanism
3.3.1. Kinetic Models
3.3.2. Proposed MB Decay Reaction Mechanism onto SA/PVP/TiO2
3.4. Reusability of SA/PVP/TiO2 Nanocomposite
4. Conclusions
Author Contributions
Funding
Data Availability Statement
Acknowledgments
Conflicts of Interest
References
- Elsayed, E.M.; Elnouby, M.S.; Gouda, M.H.; Elessawy, N.A.; Santos, D.M.F. Effect of the morphology of tungsten oxide embedded in sodium alginate/polyvinylpyrrolidone composite beads on the photocatalytic degradation of methylene blue dye solution. Materials 2020, 13, 1905. [Google Scholar] [CrossRef]
- Eltaweil, A.S.; Abd El-Monaem, E.M.; Omer, A.M.; Khalifa, R.E.; Abd El-Latif, M.M.; El-Subruiti, G.M. Efficient removal of toxic methylene blue (MB) dye from aqueous solution using a metal-organic framework (MOF) MIL-101(Fe): Isotherms, kinetics, and thermodynamic studies. Desalination Water Treat. 2020, 189, 395–407. [Google Scholar] [CrossRef]
- Mohy Eldin, M.S.; Gouda, M.H.; Abu-Saied, M.A.; Youssef, M.E.; El-Shazly, Y.M.S.; Farag, H.A. Removal of methylene blue by amidoxime polyacrylonitrile-grafted cotton fabrics: Kinetic, equilibrium, and simulation studies. Fiber. Polym. 2016, 17, 1884–1897. [Google Scholar] [CrossRef]
- El Essawy, N.A.; Ali, S.M.; Farag, H.A.; Konsowa, A.H.; Elnouby, M.; Hamad, H.A. Green synthesis of graphene from recycled PET bottle wastes for use in the adsorption of dyes in aqueous solution. Ecotox. Environ. Safe 2017, 145, 57–68. [Google Scholar] [CrossRef] [PubMed]
- Salama, A.; Mohamed, A.; Aboamera, N.M.; Osman, T.A.; Khattab, A. Photocatalytic degradation of organic dyes using composite nanofibers under UV irradiation. Appl. Nanosci. 2018, 8, 155–161. [Google Scholar] [CrossRef] [Green Version]
- Sadettin, S.; Donmez, G. Bioaccumulation of reactive dyes by thermophilic cyanobacteria. Process. Biochem. 2006, 41, 836–841. [Google Scholar] [CrossRef]
- Aksu, Z.; Tezer, S. Biosorption of reactive dyes on the green alga Chlorella vulgaris. Process. Biochem. 2005, 40, 1347–1361. [Google Scholar] [CrossRef]
- Guibal, E.; Roussy, J. Coagulation and flocculation of dye-containing solutions using a biopolymer (Chitosan). React. Funct. Polym. 2007, 67, 33–42. [Google Scholar] [CrossRef]
- Sarkar, S.; Chakraborty, S.; Bhattacharjee, C. Photocatalytic degradation of pharmaceutical wastes by alginate supported TiO2 nanoparticles in packed bed photoreactor (PBPR). Ecotox. Environ. Safe. 2015, 121, 263–270. [Google Scholar] [CrossRef] [PubMed]
- Kanakaraju, D.; Ravichandar, S.; Lim, Y.C. Combined effects of adsorption and photocatalysis by hybrid TiO2/ZnO-calcium alginate beads for the removal of copper. J. Environ. Sci. 2017, 55, 214–223. [Google Scholar] [CrossRef]
- Fujishima, A.; Honda, K. Electrochemical photolysis of water at a semiconductor electrode. Nature 1972, 238, 37–38. [Google Scholar] [CrossRef]
- Luttrell, T.; Halpegamage, S.; Tao, J.; Kramer, A.; Sutter, E.; Batzill, M. Why is anatase a better photocatalyst than rutile? Model studies on epitaxial TiO2 films. Sci. Rep. 2014, 4, 4043. [Google Scholar] [CrossRef] [Green Version]
- Zhan, W.; Guo, Y.; Gong, X.; Guo, Y.; Wang, Y.; Lu, G. Current status and perspective of rare earth catalytic materials and catalysis. Chin. J. Catal. 2014, 35, 1238–1250. [Google Scholar] [CrossRef]
- Zhao, K.; Feng, L.; Li, Z.; Fu, Y.; Zhang, X.; Wei, J.; Wei, S. Preparation, characterization and photocatalytic degradation properties of a TiO2/calcium alginate composite film and the recovery of TiO2 nanoparticles. RSC Adv. 2014, 4, 51321–51329. [Google Scholar] [CrossRef]
- Thakur, S.; Arotiba, O. Synthesis, characterization and adsorption studies of an acrylic acid-grafted sodium alginate-based TiO2 hydrogel nanocomposite. Adsorpt. Sci. Technol. 2018, 36, 458–477. [Google Scholar] [CrossRef] [Green Version]
- Reveendran, G.; Ong, S.T. Application of experimental design for dyes removal in aqueous environment by using sodium alginate-TiO2 thin film. Chem. Data Collect. 2018, 15–16, 32–40. [Google Scholar] [CrossRef]
- Babu, V.R.; Sairam, M.; Hosamani, K.M.; Aminabhavi, T.M. Preparation of sodium alginate–methylcellulose blend microspheres for controlled release of nifedipine. Carbohydr. Polym. 2007, 69, 241–250. [Google Scholar] [CrossRef]
- Akamatsu, K.; Maruyama, K.; Chen, W.; Nakao, A.; Nakao, S. Drastic difference in porous structure of calcium alginate microspheres prepared with fresh or hydrolyzed sodium alginate. J. Colloid Interface Sci. 2011, 363, 707–710. [Google Scholar] [CrossRef] [PubMed]
- Mirzaie, Z.; Reisi-Vanani, A.; Barati, M. Polyvinyl alcohol-sodium alginate blend, composited with 3D-graphene oxide as a controlled release system for curcumin. J. Drug Deliv. Sci. Technol. 2019, 50, 380–387. [Google Scholar] [CrossRef]
- Mary, C.S.; Swamiappan, S. Sodium alginate with PEG/PEO blends as a floating drug delivery carrier—In vitro evaluation. Adv. Pharm. Bull. 2016, 6, 435–442. [Google Scholar] [CrossRef] [Green Version]
- Bhattacharyya, R.; Ray, S.K. Adsorption of industrial dyes by semi-IPN hydrogels of acrylic copolymers and sodium alginate. J. Ind. Eng. Chem. 2015, 22, 92–102. [Google Scholar] [CrossRef]
- Gouda, M.H.; Gouveia, W.; Afonso, M.L.; Šljukić, B.; El Essawy, N.A.; Nassr, A.B.A.A.; Santos, D.M.F. Poly(vinyl alcohol)-based crosslinked ternary polymer blend doped with sulfonated graphene oxide as a sustainable composite membrane for direct borohydride fuel cells. J. Power Sources 2019, 432, 92–101. [Google Scholar] [CrossRef]
- Gouda, M.H.; Gouveia, W.; Elessawy, N.A.; Šljukić, B.; Nassr, A.B.A.A.; Santos, D.M.F. Simple design of PVA-based blend doped with SO4(PO4)-functionalised TiO2 as an effective membrane for direct borohydride fuel cells. Int. J. Hydrog. Energy 2020, 45, 15226–15238. [Google Scholar] [CrossRef]
- Habib, M.A.; Shahadat, M.T.; Bahadur, N.M.; Ismail, I.M.I.; Mahmood, A.J. Synthesis and characterization of ZnO-TiO2 nanocomposites and their application as photocatalyst. Int. Nano Lett. 2013, 3, 5. [Google Scholar] [CrossRef] [Green Version]
- Li, K.; Zhu, J.; Guan, G.; Wu, H. Preparation of chitosan-sodium alginate films through layer-by-layer assembly and ferulic acid crosslinking: Film properties, characterization, and formation mechanism. Int. J. Biol. Macromol. 2019, 122, 485–498. [Google Scholar] [CrossRef] [PubMed]
- Ebrahimi, R.; Maleki, A.; Zandsalimi, Y.; Ghanbari, R.; Shahmoradi, B.; Rezaee, R.; Safari, M.; Joo, S.W.; Daraei, H.; Puttaiah, S.H.; et al. Photocatalytic degradation of organic dyes using WO3-doped ZnO nanoparticles fixed on a glass surface in aqueous solution. J. Ind. Eng. Chem. 2019, 73, 297–305. [Google Scholar] [CrossRef]
- Şahin, Ö.; Kaya, M.; Saka, C. Plasma-surface modification on bentonite clay to improve the performance of adsorption of methylene blue. Appl. Clay Sci. 2015, 116, 46–53. [Google Scholar] [CrossRef]
- Dutta, D.; Thakur, D.; Bahadur, D. SnO2 quantum dots decorated silica nanoparticles for fast removal of cationic dye (methylene blue) from wastewater. Chem. Eng. J. 2015, 281, 482–490. [Google Scholar] [CrossRef]
- Abdelrahman, E.A.; Hegazey, R.M.; Kotp, Y.H.; Alharbi, A. Facile synthesis of Fe2O3 nanoparticles from Egyptian insecticide cans for efficient photocatalytic degradation of methylene blue and crystal violet dyes. Spectrochim. Acta A Mol. Biomol. Spectrosc. 2019, 222, 117195. [Google Scholar] [CrossRef]
- Abdelrahman, E.A.; Hegazey, R.M. Facile synthesis of HgO nanoparticles using hydrothermal method for efficient photocatalytic degradation of crystal violet dye under UV and sunlight irradiation. J. Inorg. Organomet. Polym. Mater. 2019, 29, 346–358. [Google Scholar] [CrossRef]
- Nassar, M.Y.; Aly, H.M.; Abdelrahman, E.A.; Moustafa, M.E. Synthesis, characterization, and biological activity of some novel Schiff bases and their Co(II) and Ni(II) complexes: A new route for Co3O4 and NiO nanoparticles for photocatalytic degradation of methylene blue dye. J. Mol. Struct. 2017, 1143, 462–471. [Google Scholar] [CrossRef]
- Yang, Y.; Zhang, C.; Huang, D.; Zeng, G.; Huang, J.; Lai, C.; Zhou, C.; Wang, W.; Guo, H.; Xue, W.; et al. Boron nitride quantum dots decorated ultrathin porous g-C3N4: Intensified exciton dissociation and charge transfer for promoting visible-light-driven molecular oxygen activation. Appl. Catal. B 2019, 245, 87–99. [Google Scholar] [CrossRef]
- Liu, Z.; Liu, R.; Yi, Y.; Han, W.; Kong, F.; Wang, S. Photocatalytic degradation of dyes over a xylan/PVA/TiO2 composite under visible light irradiation. Carbohydr. Polym. 2019, 223, 115081. [Google Scholar] [CrossRef]
- Liu, S.; Tang, W.; Chou, P. Microwave-assisted synthesis of triple 2D g-C3N4/Bi2WO6/rGO composites for ibuprofen photodegradation: Kinetics, mechanism and toxicity evaluation of degradation products. Chem. Eng. J. 2020, 387, 124098. [Google Scholar] [CrossRef]
- Bhavsar, K.S.; Labhane, P.K.; Dhake, R.B.; Sonawane, G.H. Solvothermal synthesis of activated carbon loaded CdS nanoflowers: Boosted photodegradation of dye by adsorption and photocatalysis synergy. Chem. Phys. Lett. 2020, 744, 137202. [Google Scholar] [CrossRef]
- Eltaweil, A.S.; Abd El-Monaem, E.M.; El-Subruiti, G.M.; Abd El-Latif, M.M.; Omer, A.M. Fabrication of UiO-66/MIL-101(Fe) binary MOF/carboxylated-GO composite for adsorptive removal of methylene blue dye from aqueous solutions. RSC Adv. 2020, 10, 19008–19019. [Google Scholar] [CrossRef]
- Subekti, R.; Helmiyati, H. Sodium alginate-TiO2-bentonite nanocomposite synthesis for photocatalysis of methylene blue dye removal. IOP Conf. Ser. Mater. Sci. Eng. 2020, 763, 012018. [Google Scholar] [CrossRef]
- Albarelli, J.Q.; Santos, D.T.; Murphy, S.; Oelgemöller, M. Use of Ca-alginate as a novel support for TiO2 immobilization in methylene blue decolorisation. Water Sci Technol. 2009, 60, 1081–1087. [Google Scholar] [CrossRef]
- Dai, J.; Tian, Q.; Sun, Q.; Wei, W.; Zhuang, J.; Liu, M.; Cao, Z.; Xie, W.; Fan, M. TiO2-alginate composite aerogels as novel oil/water separation and wastewater remediation filters. Compos. Part. B Eng. 2019, 160, 480–487. [Google Scholar] [CrossRef]
- Thomas, M.; Natarajan, T.S.; Sheikh, M.U.D.; Bano, M.; Khan, F. Self-organized graphene oxide and TiO2 nanoparticles incorporated alginate/carboxymethyl cellulose nanocomposites with efficient photocatalytic activity under direct sunlight. J. Photochem. Photobiol. A Chem. 2017, 346, 113–125. [Google Scholar] [CrossRef]








| Time (min) | Dye Removal % with SA/PVP/TiO2-1 in Dark | Dye Removal % with SA/PVP/TiO2-3 in Dark | Dye Removal % with SA/PVP/TiO2-1 in Light | Dye Removal % with SA/PVP/TiO2-3 in Light |
|---|---|---|---|---|
| 10 | 21.0 ± 0.1 | 20.0 ± 0.1 | 23.9 ± 0.1 | 26.4 ± 0.1 |
| 20 | 39.0 ± 0.1 | 38.0 ± 0.1 | 41.0 ± 0.1 | 48.7 ± 0.1 |
| 30 | 48.0 ± 0.1 | 49.3 ± 0.1 | 58.6 ± 0.1 | 63.5 ± 0.1 |
| 40 | 58.0 ± 0.1 | 58.1 ± 0.1 | 67.0 ± 0.1 | 72.0 ± 0.1 |
| 50 | 58.6 ± 0.1 | 58.8 ± 0.1 | 70.3 ± 0.1 | 79.1 ± 0.1 |
| 60 | 58.9 ± 0.1 | 59.0 ± 0.1 | 78.9 ± 0.1 | 85.2 ± 0.1 |
| 70 | 59.3 ± 0.1 | 59.0 ± 0.1 | 84.4 ± 0.1 | 90.7 ± 0.1 |
| 80 | 59.5 ± 0.1 | 59.6 ± 0.1 | 88.0 ± 0.1 | 94.3 ± 0.1 |
| 90 | 59.8 ± 0.1 | 59.9 ± 0.1 | 91.3 ± 0.1 | 98.2 ± 0.1 |
| 100 | 59.9 ± 0.1 | 60.0 ± 0.1 | 91.6 ± 0.1 | 98.4 ± 0.1 |
| 110 | 60.0 ± 0.1 | 60.3 ± 0.1 | 91.8 ± 0.1 | 98.8 ± 0.1 |
| 120 | 60.2 ± 0.1 | 60.1 ± 0.1 | 92.1 ± 0.1 | 98.9 ± 0.1 |
| Nanocomposite Material | Pseudo-First Order | Pseudo-Second Order | |||
|---|---|---|---|---|---|
| qe mg g−1 | K1 s−1 | R2 | K2 g mg−1 s−1 | R2 | |
| SA/PVP/TiO2-1 in dark | 71.4 ± 0.2 | 0.051 ± 0.001 | 0.96 | 0.0004 ± 10−5 | 0.91 |
| SA/PVP/TiO2-3 in dark | 73.6 ± 0.1 | 0.059 ± 0.001 | 0.93 | 0.0005 ± 10−5 | 0.98 |
| SA/PVP/TiO2-1 in light | 91.9 ± 0.3 | 0.036 ± 0.001 | 0.96 | 0.0003 ± 10−5 | 0.99 |
| SA/PVP/TiO2-3 in light | 98.3 ± 0.1 | 0.038 ± 0.001 | 0.98 | 0.0004 ± 10−5 | 0.97 |
| Materials | TiO2 Morphology | Dye | Efficiency | Source |
|---|---|---|---|---|
| TiO2 embedded in SA/PVP nanocomposite beads | nanotube | methylene blue | up to 98.9% | this work |
| SA-TiO2-bentonite | nanoparticles | methylene blue | 90% | [37] |
| TiO2 immobilized in a Ca-alginate | nanoparticles | methylene blue | 95% | [38] |
| TiO2/Ca-alginate composite films | nanoparticles | methyl orange | 82.2% | [14] |
| Acrylic acid-grafted SA-based TiO2 hydrogel nanocomposite | nanoparticles | methyl violet | 99.6% | [15] |
| SA-TiO2 thin film | nanoparticles | Congo red | ~59% | [16] |
| SA–TiO2 hybrid aerosol | nanoparticles | methyl orange | <85% | [39] |
| SA/carboxymethyl cellulose with nano-TiO2 and graphene oxide composite | nanoparticles | Congo red | 98% | [40] |
Publisher’s Note: MDPI stays neutral with regard to jurisdictional claims in published maps and institutional affiliations. |
© 2021 by the authors. Licensee MDPI, Basel, Switzerland. This article is an open access article distributed under the terms and conditions of the Creative Commons Attribution (CC BY) license (https://creativecommons.org/licenses/by/4.0/).
Share and Cite
Elessawy, N.A.; Gouda, M.H.; Elnouby, M.S.; Zahran, H.F.; Hashim, A.; Abd El-Latif, M.M.; Santos, D.M.F. Novel Sodium Alginate/Polyvinylpyrrolidone/TiO2 Nanocomposite for Efficient Removal of Cationic Dye from Aqueous Solution. Appl. Sci. 2021, 11, 9186. https://doi.org/10.3390/app11199186
Elessawy NA, Gouda MH, Elnouby MS, Zahran HF, Hashim A, Abd El-Latif MM, Santos DMF. Novel Sodium Alginate/Polyvinylpyrrolidone/TiO2 Nanocomposite for Efficient Removal of Cationic Dye from Aqueous Solution. Applied Sciences. 2021; 11(19):9186. https://doi.org/10.3390/app11199186
Chicago/Turabian StyleElessawy, Noha A., Marwa H. Gouda, Mohamed S. Elnouby, Hoda F. Zahran, Aly Hashim, Mona M. Abd El-Latif, and Diogo M. F. Santos. 2021. "Novel Sodium Alginate/Polyvinylpyrrolidone/TiO2 Nanocomposite for Efficient Removal of Cationic Dye from Aqueous Solution" Applied Sciences 11, no. 19: 9186. https://doi.org/10.3390/app11199186
APA StyleElessawy, N. A., Gouda, M. H., Elnouby, M. S., Zahran, H. F., Hashim, A., Abd El-Latif, M. M., & Santos, D. M. F. (2021). Novel Sodium Alginate/Polyvinylpyrrolidone/TiO2 Nanocomposite for Efficient Removal of Cationic Dye from Aqueous Solution. Applied Sciences, 11(19), 9186. https://doi.org/10.3390/app11199186

