The Lattice-Boltzmann Modeling of Microflows in a Cell Culture Microdevice for High-Throughput Drug Screening
Abstract
:Featured Application
Abstract
1. Introduction
2. Description of Model and Simulation Parameters
3. Results and Discussion
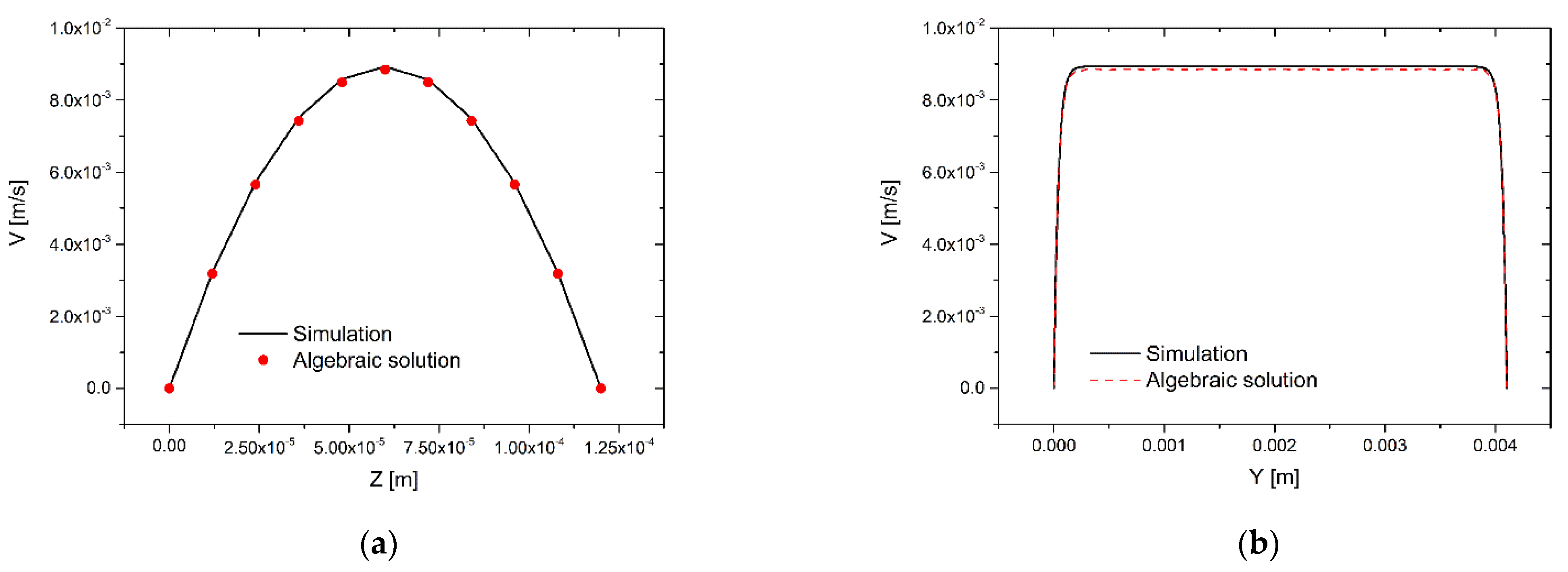
3.1. Model Validation
3.2. Inlet and Outlet Effects
4. Summary and Conclusions
5. Patents
- (1)
- Szafran Roman, Kazimierz Gąsiorowski, Katarzyna Gębczak, Benita Wiatrak, Microfluidic device for cell culture in gradient of bioactive substance, WO2018106132 (A1), 2018.
- (2)
- Szafran Roman, Kazimierz Gąsiorowski, Katarzyna Gębczak, Benita Wiatrak, Microfluidal device for growing cell culture in a gradient of bioactive PL237365B1, 2021.
- (3)
- Szafran Roman, Method for manufacturing micro-fluidized bed device for growing cell culture in a gradient of bioactive substance, PL238206B1, 2021.
- (4)
- Szafran Roman, Kazimierz Gąsiorowski, Katarzyna Gębczak, Benita Wiatrak, Method for producing stable active substance concentration gradient in the cell culture microsystems, PL419813 (A1), 2016.
Supplementary Materials
Author Contributions
Funding
Institutional Review Board Statement
Informed Consent Statement
Data Availability Statement
Conflicts of Interest
References
- Amini, H.; Lee, W.; Di Carlo, D. Inertial microfluidic physics. Lab Chip 2014, 14, 2739–2761. [Google Scholar] [CrossRef] [PubMed]
- Haddadi, H.; Di Carlo, D. Inertial flow of a dilute suspension over cavities in a microchannel. J. Fluid Mech. 2017, 811, 436–467. [Google Scholar] [CrossRef]
- Di Carlo, D. Inertial microfluidics. Lab Chip 2009, 9, 3038–3046. [Google Scholar] [CrossRef]
- Ngo, I.L.; Lai, T.K.; Choi, H.J.; Le, H.T.T.; Kim, G.M.; Dang, T.D. A study on mixing performance of dean flows through spiral micro-channel under various effects. Phys. Fluids 2020, 32, 022004. [Google Scholar] [CrossRef]
- Yoon, D.H.; Ha, J.B.; Bahk, Y.K.; Arakawa, T.; Shoji, S.; Go, J.S. Size-selective separation of micro beads by utilizing secondary flow in a curved rectangular microchannel. Lab Chip 2009, 9, 87–90. [Google Scholar] [CrossRef]
- Kim, G.Y.; Han, J.I.; Park, J.K. Inertial Microfluidics-Based Cell Sorting. Biochip J. 2018, 12, 257–267. [Google Scholar] [CrossRef]
- Nakadate, H.; Aomura, S.; Zhang, Y.; Kakuta, A.; Fujiwara, S. Strain magnitude and strain rate influence stretch-induced injury of PC12 cells. In Proceedings of the IFMBE Proceedings, Singapore, Singapore, 1–6 August 2010; Springer: Berlin/Heidelberg, Germany, 2010; Volume 31, pp. 1091–1094. [Google Scholar]
- Ryan, D.P.; Chen, Y.; Nguyen, P.; Goodwin, P.M.; Carey, J.W.; Kang, Q.; Werner, J.H.; Viswanathan, H.S. 3D particle transport in multichannel microfluidic networks with rough surfaces. Sci. Rep. 2020, 10, 13848. [Google Scholar] [CrossRef]
- Hoseinpour, B.; Sarreshtehdari, A. Lattice Boltzmann simulation of droplets manipulation generated in lab-on-chip (LOC) microfluidic T-junction. J. Mol. Liq. 2020, 297, 111736. [Google Scholar] [CrossRef]
- Li, J.; Liu, H.; Ioannou, N.; Zhang, Y.; Reese, J.M. Lattice Boltzmann Simulations of Thermocapillary Motion of Droplets in Microfluidic Channels. Commun. Comput. Phys. 2020, 17, 1113–1126. [Google Scholar] [CrossRef] [Green Version]
- Lain, S.; Ernst, M.; Sommerfeld, M. Study of Colliding Particle-Pair Velocity Correlation in Homogeneous Isotropic Turbulence. Appl. Sci. 2020, 10, 9095. [Google Scholar] [CrossRef]
- Krüger, T.; Kuzmin, H.K.A.; Shardt, O.; Silva, G.; Viggen, E.M. The Lattice Boltzmann Method: Principles and Practice; Springer: Berlin/Heidelberg, Germany, 2016; ISBN 3319446479. [Google Scholar]
- Tomczak, T.; Szafran, R.G. A new GPU implementation for lattice-Boltzmann simulations on sparse geometries. Comput. Phys. Commun. 2019, 235, 258–278. [Google Scholar] [CrossRef] [Green Version]
- Tomczak, T.; Szafran, R.G. Sparse Geometries Handling in Lattice Boltzmann Method Implementation for Graphic Processors. IEEE Trans. Parallel Distrib. Syst. 2018, 29, 1865–1878. [Google Scholar] [CrossRef] [Green Version]
- Shi, H.; Nie, K.; Dong, B.; Long, M.; Xu, H.; Liu, Z. Recent progress of microfluidic reactors for biomedical applications. Chem. Eng. J. 2019, 361, 635–650. [Google Scholar] [CrossRef]
- Zhang, B.; Radisic, M.; Niklason, L.E.; Forgacs, G.; Stockbridge, N. Organ-on-a-chip devices advance to market. Lab Chip 2017, 6, e26397. [Google Scholar] [CrossRef]
- Hachey, S.J.; Hughes, C. Applications of Tumor Chip Technology. Lab Chip 2018, 18, 2893–2912. [Google Scholar] [CrossRef]
- Esch, E.W.; Bahinski, A.; Huh, D. Organs-on-chips at the frontiers of drug discovery. Nat. Rev. Drug Discov. 2015, 14, 248–260. [Google Scholar] [CrossRef] [Green Version]
- Low, L.A.; Tagle, D.A. Tissue chips—Innovative tools for drug development and disease modeling. Lab Chip 2017, 17, 3026–3036. [Google Scholar] [CrossRef] [PubMed]
- Szafran, R.G.; Gąsiorowski, K.; Wiatrak, B. Colorectal Adenocarcinoma Cell Culture in a Microfluidically Controlled Environment with a Static Molecular Gradient of Polyphenol. Molecules 2021, 26, 3215. [Google Scholar] [CrossRef] [PubMed]
- U.S. Food and Drug Administration/Center for Biologics Evaluation and Research Guideline for Industry. Text on Validation of Analytical Procedures (ICH-Q2A). Guidelines 1995, 9, 1–5. [Google Scholar]
- Food and Drug Administration. FDA Guidance for Industry Q2B Validation of Analytical Procedures: Methodology; Food and Drug Administration: Rockville, MD, USA, 1996; Volume 20857, pp. 301–827. [Google Scholar]
- Szafran, R.G. MF3D Validation Test No. 1. Available online: http://www.microflow.pwr.edu.pl/images/site_own/validation/Test_description.pdf (accessed on 30 September 2021).
- Bhatnagar, P.L.; Gross, E.P.; Krook, M. A Model for Collision Processes in Gases. I. Small Amplitude Processes in Charged and Neutral One-Component Systems. Phys. Rev. 1954, 94, 511–525. [Google Scholar] [CrossRef]
- He, X.; Shan, X.; Doolen, G.D. Discrete Boltzmann equation model for nonideal gases. Phys. Rev. E 1998, 57, R13–R16. [Google Scholar] [CrossRef]
- Zou, Q.; Hou, S.; Chen, S.; Doolen, G.D. A improved incompressible lattice Boltzmann model for time-independent flows. J. Stat. Phys. 1995, 81, 35–48. [Google Scholar] [CrossRef]
- Spiga, M.; Morino, G.L. A symmetric solution for velocity profile in laminar flow through rectangular ducts. Int. Commun. Heat Mass Transf. 1994, 21, 469–475. [Google Scholar] [CrossRef]
- Shah, R.K.; London, A.L. Laminar Flow Forced Convection in Ducts; Elsevier: Amsterdam, The Netherlands, 1978; ISBN 978-0-12-020051-1. [Google Scholar]
- Zhong, J.-J.; Fujiyama, K.; Seki, T.; Yoshida, T. A quantitative analysis of shear effects on cell suspension and cell culture ofperilla frutescens in bioreactors. Biotechnol. Bioeng. 1994, 44, 649–654. [Google Scholar] [CrossRef] [PubMed]
- Estrada, R.; Giridharan, G.A.; Nguyen, M.-D.; Roussel, T.J.; Shakeri, M.; Parichehreh, V.; Prabhu, S.D.; Sethu, P. Endothelial Cell Culture Model for Replication of Physiological Profiles of Pressure, Flow, Stretch, and Shear Stress In Vitro. Anal. Chem 2011, 83, 45. [Google Scholar] [CrossRef] [PubMed]










Publisher’s Note: MDPI stays neutral with regard to jurisdictional claims in published maps and institutional affiliations. |
© 2021 by the authors. Licensee MDPI, Basel, Switzerland. This article is an open access article distributed under the terms and conditions of the Creative Commons Attribution (CC BY) license (https://creativecommons.org/licenses/by/4.0/).
Share and Cite
Szafran, R.G.; Davykoza, M. The Lattice-Boltzmann Modeling of Microflows in a Cell Culture Microdevice for High-Throughput Drug Screening. Appl. Sci. 2021, 11, 9140. https://doi.org/10.3390/app11199140
Szafran RG, Davykoza M. The Lattice-Boltzmann Modeling of Microflows in a Cell Culture Microdevice for High-Throughput Drug Screening. Applied Sciences. 2021; 11(19):9140. https://doi.org/10.3390/app11199140
Chicago/Turabian StyleSzafran, Roman G., and Mikita Davykoza. 2021. "The Lattice-Boltzmann Modeling of Microflows in a Cell Culture Microdevice for High-Throughput Drug Screening" Applied Sciences 11, no. 19: 9140. https://doi.org/10.3390/app11199140
APA StyleSzafran, R. G., & Davykoza, M. (2021). The Lattice-Boltzmann Modeling of Microflows in a Cell Culture Microdevice for High-Throughput Drug Screening. Applied Sciences, 11(19), 9140. https://doi.org/10.3390/app11199140

