Intra–Community Scale Variability of Air Quality in the Center of a Megacity in South Korea: A High-Density Cost-Effective Sensor Network
Abstract
:1. Introduction
2. Methods
2.1. Monitoring Site and Spatially Dense Air Quality Monitoring Network
2.2. Sensor-Nodes and Data Quality
2.3. Other Observation Data
3. Results and Discussion
3.1. Meteorology and Air Quality
3.2. Traffic
3.3. Temporal Variations of Air Pollutants in the Various Micro-Environments
3.3.1. Daily Variations
3.3.2. Diurnal Variations
3.4. Spatial Variations of Air Pollutants
3.4.1. Differences between Pollutant Concentrations at the Roadside and the On-Site AQMS
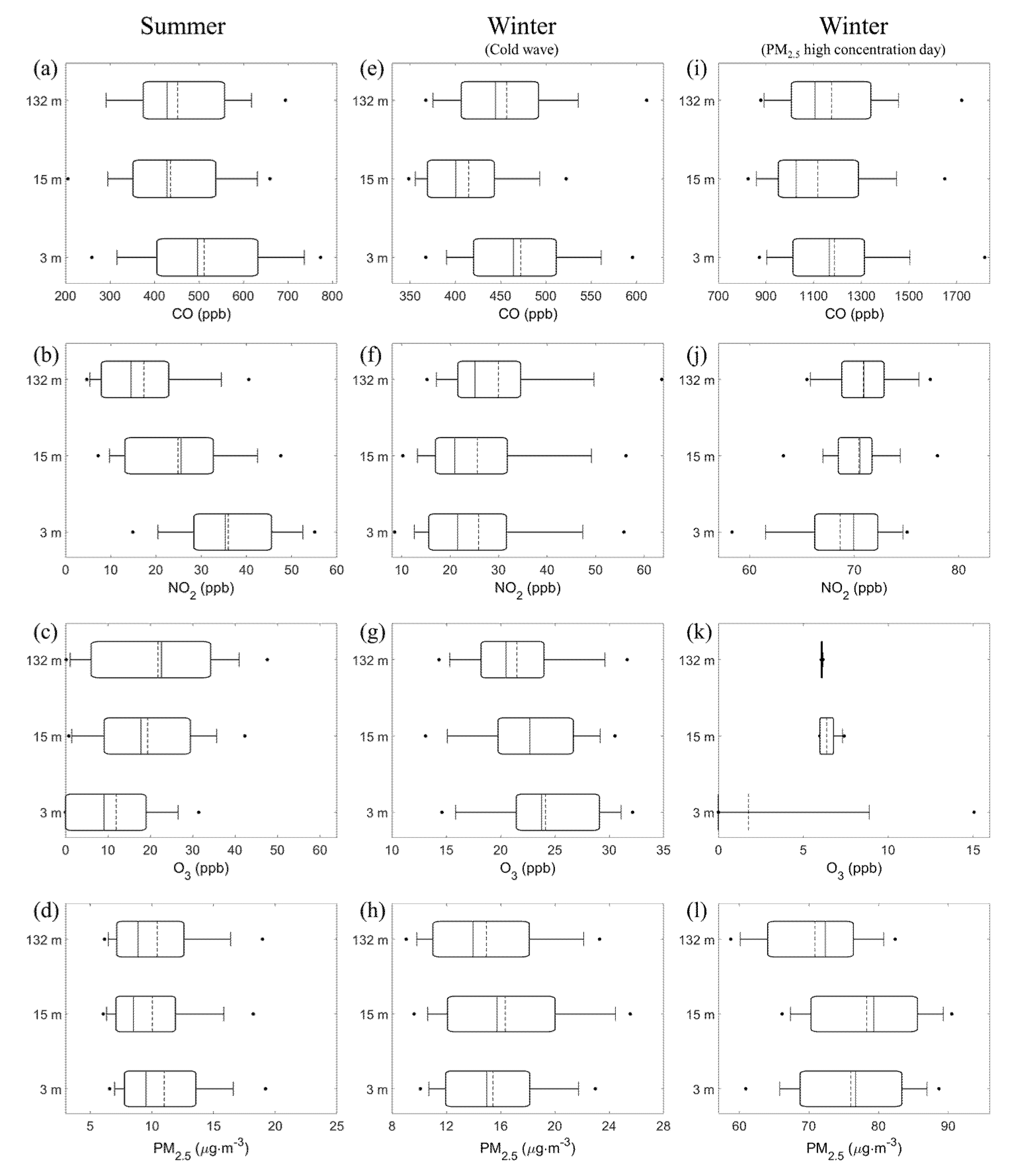
3.4.2. Vertical Distribution of Air Pollutants
3.4.3. Spatial and Temporal Variability of Air Pollutants
4. Conclusions
Supplementary Materials
Author Contributions
Funding
Institutional Review Board Statement
Informed Consent Statement
Data Availability Statement
Conflicts of Interest
References
- Krzyzanowski, M. Health Effects of Transport-Related Air Pollution: Summary for Policy-Makers; WHO Regional Office for Europe: Copenhagen, Denmark, 2005; ISBN 978-928-901-375-8. [Google Scholar]
- CAPSS. National Air Pollutants Emission; National Institute of Environmental Research (NIER): Incheon, Korea, 2020. Available online: https://airemiss.nier.go.kr/user/boardList.do?comand=view&page=1&boardId=74&boardSeq=579&id=airemiss_040100000000 (accessed on 15 July 2021). (In Korean)
- Baumgartner, J.; Zhang, Y.; Schauer, J.J.; Huang, W.; Wang, Y.; Ezzati, M. Highway proximity and black carbon from cookstoves as a risk factor for higher blood pressure in rural China. Proc. Natl. Acad. Sci. USA 2014, 111, 13229–13234. [Google Scholar] [CrossRef] [Green Version]
- Brugge, D.; Durant, J.L.; Rioux, C. Near-highway pollutants in motor vehicle exhaust: A review of epidemiologic evidence of cardiac and pulmonary health risks. Environ. Health 2007, 6, 23. [Google Scholar] [CrossRef] [Green Version]
- Wellenius, G.A.; Burger, M.R.; Coull, B.A.; Schwartz, J.; Suh, H.H.; Koutrakis, P.; Schlaug, G.; Gold, D.R.; Mittleman, M.A. Ambient Air Pollution and the Risk of Acute Ischemic Stroke. Arch. Intern. Med. 2012, 172, 229–234. [Google Scholar] [CrossRef]
- United Nations. World Urbanization Prospects 2018; Department of Economic and Social Affairs, United Nations: New York, NY, USA, 2019. [Google Scholar]
- Britter, R.E.; Hanna, S.R. Flow and dispersion in urban areas. Annu. Rev. Fluid Mech. 2003, 35, 469–496. [Google Scholar] [CrossRef]
- Tan, Y.; Lipsky, E.M.; Saleh, R.; Robinson, A.L.; Presto, A.A. Characterizing the Spatial Variation of Air Pollutants and the Contributions of High Emitting Vehicles in Pittsburgh, PA. Environ. Sci. Technol. 2014, 48, 14186–14194. [Google Scholar] [CrossRef]
- Vachon, G.; Louka, P.; Rosant, J.M.; Mestayer, P.G.; Sini, J.F. Measurements of Traffic-Induced Turbulence within a Street Canyon during the Nantes ‘99 Experiment. Water Air Soil Pollut. Focus 2002, 2, 127–140. [Google Scholar] [CrossRef]
- Choi, W.; Ranasinghe, D.; Bunavage, K.; DeShazo, J.R.; Wu, L.; Seguel, R.; Winer, A.M.; Paulson, S.E. The effects of the built environment, traffic patterns, and micrometeorology on street level ultrafine particle concentrations at a block scale: Results from multiple urban sites. Sci. Total. Environ. 2016, 553, 474–485. [Google Scholar] [CrossRef] [Green Version]
- Fu, X.; Liu, J.; Ban-Weiss, G.A.; Zhang, J.; Huang, X.; Ouyang, B.; Popoola, O.; Tao, S. Effects of canyon geometry on the distribution of traffic-related air pollution in a large urban area: Implications of a multi-canyon air pollution dispersion model. Atmos. Environ. 2017, 165, 111–121. [Google Scholar] [CrossRef]
- Steffens, J.T.; Heist, D.K.; Perry, S.G.; Isakov, V.; Baldauf, R.W.; Zhang, K.M. Effects of roadway configurations on near-road air quality and the implications on roadway designs. Atmos. Environ. 2014, 94, 74–85. [Google Scholar] [CrossRef]
- Pirjola, L.; Lähde, T.; Niemi, J.V.; Kousa, A.; Rönkkö, T.; Karjalainen, P.; Keskinen, J.; Frey, A.; Hillamo, R. Spatial and temporal characterization of traffic emissions in urban microenvironments with a mobile laboratory. Atmos. Environ. 2012, 63, 156–167. [Google Scholar] [CrossRef]
- Woo, S.-H.; Kwak, K.-H.; Bae, G.-N.; Kim, K.H.; Kim, C.H.; Yook, S.-J.; Jeon, S.; Kwon, S.; Kim, J.; Lee, S.-B. Overestimation of on-road air quality surveying data measured with a mobile laboratory caused by exhaust plumes of a vehicle ahead in dense traffic areas. Environ. Pollut. 2016, 218, 1116–1127. [Google Scholar] [CrossRef] [PubMed]
- Cheadle, L.; Deanes, L.; Sadighi, K.; Gordon Casey, J.; Collier-Oxandale, A.; Hannigan, M. Quantifying Neighborhood-Scale Spatial Variations of Ozone at Open Space and Urban Sites in Boulder, Colorado Using Low-Cost Sensor Technology. Sensors 2017, 17, 2072. [Google Scholar] [CrossRef] [PubMed] [Green Version]
- Feinberg, S.N.; Williams, R.; Hagler, G.; Low, J.; Smith, L.; Brown, R.; Garver, D.; Davis, M.; Morton, M.; Schaefer, J.; et al. Examining spatiotemporal variability of urban particulate matter and application of high-time resolution data from a network of low-cost air pollution sensors. Atmos. Environ. 2019, 213, 579–584. [Google Scholar] [CrossRef] [PubMed]
- Heimann, I.; Bright, V.B.; McLeod, M.W.; Mead, M.I.; Popoola, O.A.M.; Stewart, G.B.; Jones, R.L. Source attribution of air pollution by spatial scale separation using high spatial density networks of low cost air quality sensors. Atmos. Environ. 2015, 113, 10–19. [Google Scholar] [CrossRef] [Green Version]
- Lung, S.-C.C.; Wang, W.-C.V.; Wen, T.-Y.J.; Liu, C.-H.; Hu, S.-C. A versatile low-cost sensing device for assessing PM2.5 spatiotemporal variation and quantifying source contribution. Sci. Total. Environ. 2020, 716, 137–145. [Google Scholar] [CrossRef]
- Mead, M.I.; Popoola, O.A.M.; Stewart, G.B.; Landshoff, P.; Calleja, M.; Hayes, M.; Baldovi, J.J.; McLeod, M.W.; Hodgson, T.F.; Dicks, J.; et al. The use of electrochemical sensors for monitoring urban air quality in low-cost, high-density networks. Atmos. Environ. 2013, 70, 186–203. [Google Scholar] [CrossRef] [Green Version]
- Mukherjee, A.; Brown, S.G.; McCarthy, M.C.; Pavlovic, N.R.; Stanton, L.G.; Snyder, J.L.; D’Andrea, S.; Hafner, H.R. Measuring Spatial and Temporal PM2.5 Variations in Sacramento, California, Communities Using a Network of Low-Cost Sensors. Sensors 2019, 19, 4701. [Google Scholar] [CrossRef] [Green Version]
- Karner, A.A.; Eisinger, D.S.; Niemeier, D.A. Near-Roadway Air Quality: Synthesizing the Findings from Real-World Data. Environ. Sci. Technol. 2010, 44, 5334–5344. [Google Scholar] [CrossRef]
- Kim, J.-J.; Baik, J.-J. A numerical study of the effects of ambient wind direction on flow and dispersion in urban street canyons using the RNG k–ε turbulence model. Atmos. Environ. 2004, 38, 3039–3048. [Google Scholar] [CrossRef]
- Park, H.-S.; Kim, R.-E.; Park, Y.-M.; Hwang, K.-C.; Lee, S.-H.; Kim, J.-J.; Choi, J.-Y.; Lee, D.-G.; Chang, L.-S.; Choi, W. The Potential of Commercial Sensors for Spatially Dense Short-term Air Quality Monitoring Based on Multiple Short-term Evaluations of 30 Sensor Nodes in Urban Areas in Korea. Aerosol Air Qual. Res. 2020, 20, 369–380. [Google Scholar] [CrossRef] [Green Version]
- Urasinska-Wojcik, B.; Vincent, T.A.; Chowdhury, M.F.; Gardner, J.W. Ultrasensitive WO3 gas sensors for NO2 detection in air and low oxygen environment. Sens. Actuators B Chem. 2017, 239, 1051–1059. [Google Scholar] [CrossRef]
- Zheng, T.; Bergin, M.H.; Johnson, K.K.; Tripathi, S.N.; Shirodkar, S.; Landis, M.S.; Sutaria, R.; Carlson, D.E. Field evaluation of low-cost particulate matter sensors in high- and low-concentration environments. Atmos. Meas. Tech. 2018, 11, 4823–4846. [Google Scholar] [CrossRef] [Green Version]
- Kelly, K.E.; Whitaker, J.; Petty, A.; Widmer, C.; Dybwad, A.; Sleeth, D.; Martin, R.; Butterfield, A. Ambient and laboratory evaluation of a low-cost particulate matter sensor. Environ. Pollut. 2017, 221, 491–500. [Google Scholar] [CrossRef] [PubMed]
- Peng, J.; Hu, M.; Shang, D.; Wu, Z.; Du, Z.; Tan, T.; Wang, Y.; Zhang, F.; Zhang, R. Explosive Secondary Aerosol Formation during Severe Haze in the North China Plain. Environ. Sci. Technol. 2021, 55, 2189–2207. [Google Scholar] [CrossRef] [PubMed]
- Seo, J.; Lim, Y.B.; Youn, D.; Kim, J.Y.; Jin, H.C. Synergistic enhancement of urban haze by nitrate uptake into transported hygroscopic particles in the Asian continental outflow. Atmos. Chem. Phys. 2020, 20, 7575–7594. [Google Scholar] [CrossRef]
- Ranasinghe, D.R.; Choi, W.; Winer, A.M.; Paulson, S.E. Developing High Spatial Resolution Concentration Maps Using Mobile Air Quality Measurements. Aerosol Air Qual. Res. 2016, 16, 1841–1853. [Google Scholar] [CrossRef] [Green Version]
- Krudysz, M.A.; Froines, J.R.; Fine, P.M.; Sioutas, C. Intra-community spatial variation of size-fractionated PM mass, OC, EC, and trace elements in the Long Beach, CA area. Atmos. Environ. 2008, 42, 5374–5389. [Google Scholar] [CrossRef]
- Moore, K.; Krudysz, M.; Pakbin, P.; Hudda, N.; Sioutas, C. Intra-Community Variability in Total Particle Number Concentrations in the San Pedro Harbor Area (Los Angeles, California). Aerosol Sci. Technol. 2009, 43, 587–603. [Google Scholar] [CrossRef] [Green Version]
- Wilson, J.G.; Kingham, S.; Pearce, J.; Sturman, A.P. A review of intraurban variations in particulate air pollution: Implications for epidemiological research. Atmos. Environ. 2005, 39, 6444–6462. [Google Scholar] [CrossRef]
- Choi, W.; Ranasinghe, D.; DeShazo, J.R.; Kim, J.-J.; Paulson, S.E. Where to locate transit stops: Cross-intersection profiles of ultrafine particles and implications for pedestrian exposure. Environ. Pollut. 2018, 233, 235–245. [Google Scholar] [CrossRef]
- Kumar, P.; Morawska, L.; Martani, C.; Biskos, G.; Neophytou, M.; Di Sabatino, S.; Bell, M.; Norford, L.; Britter, R. The rise of low-cost sensing for managing air pollution in cities. Environ. Int. 2015, 75, 199–205. [Google Scholar] [CrossRef] [PubMed] [Green Version]
- Vardoulakis, S.; Gonzalez-Flesca, N.; Fisher, B.E.A.; Pericleous, K. Spatial variability of air pollution in the vicinity of a permanent monitoring station in central Paris. Atmos. Environ. 2005, 39, 2725–2736. [Google Scholar] [CrossRef]








| Qualitative Characteristics | Site-1 (Eulji-ro) | Site-2 (Sogong-ro) | Site-3 (Namdaemun-ro) | Site-4 (Deogsugung-gil) |
|---|---|---|---|---|
| Surrounding built environments | Typical urban canyon surrounded by tall buildings on both sides of the road | Large open lot and moderate buildings between several large buildings | Tall buildings on both sides of the road with the open space and small buildings between tall buildings | Pedestrian-oriented one lane road. Medium sized building on one side and empty lot on the other side |
| Traffic (Daytime traffic volume for 10:00–18:00) | Heavy traffic (predominant in the direction to the city hall—westbound). Due to access to the largest department store and hotel, slower vehicle speeds (21,740 veh·8-h−1) | Moderate traffic. Due to narrow road width, frequent daytime traffic jam occurs (16,867 veh·8-h−1) | Heavy traffic distributed equally in both directions (due to wide road width, higher vehicle speeds) (19,972 veh·8-h−1) | No vehicle access from 11:00 to 13:00. Traffic is minimal on the pedestrian-oriented one-lane road (-) |
| Road width (m) 1 /Number of lanes | ~35/7 | ~19/5 | ~42/8 | ~13/1 |
| Mean building height (m) | 53.8 | 32.3 | 22.0 | 13.0 |
| Building area-weighted building height 2 (m) | 99.2 | 22.7 | 38.4 | 23.8 |
| Monitoring period | 25–31 August 2017 9–22 January 2018 | – 9–22 January 2018 | 25–31 August 2017 9–22 January 2018 | |
| Period | Temperature (°C) | Relative Humidity (%) | Wind Speed (m·s−1) | ||
|---|---|---|---|---|---|
| Summer | Upper | 25–31 August 2017 | 21.2 (3.3) | / | 1.8 (1.3) |
| Ground | 26–31 August 2017 | 23.4 (3.2) | 49.1 (13.8) | 0.6 (0.3) | |
| Winter | Upper | 09–22 January 2018 | −2.3 (5.7) | / | 2.3 (1.4) |
| Ground | 10–18 January 2018 | −1.0 (6.4) | 53.0 (14.2) | 1.1 (0.8) |
|
Relative Differences in Concentrations 1 (Standard Deviation (1 ) in Parenthesis) | Avg. AQMS Conc. (1 ) | |||||
|---|---|---|---|---|---|---|
| Site-1 | Site-2 | Site-3 | Site-4 | |||
| Summer | CO | 19.0 (29.8) | 37.3 (27.7) | / | 11.9 (24.4) | 469.8 (174.2) |
| NO2 | 43.7 (61.5) | 33.6 (50.9) | / | −20.8 (23.2) | 28.1 (15.3) | |
| O3 | −77.9 (19.9) | −77.7 (23.7) | / | −48.4 (25.7) | 24.9 (19.4) | |
| PM2.5 | −3.1 (23.7) | −2.9 (23.3) | / | −6.9 (23.3) | 12.7 (6.0) | |
| Winter (Cold-wave) | CO | 9.2 (13.2) | 24.4 (18.4) | 23.1 (20.1) | −1.9 (9.4) | 429.2 (68.3) |
| NO2 | 42.9 (36.7) | 111.5 (56.9) | 115.1 (68.4) | 32.3 (31.9) | 15.3 (4.5) | |
| O3 | −5.4 (12.4) | −51.2 (11.4) | −52.4 (16.3) | 0.7 (9.9) | 21.6 (5.4) | |
| PM2.5 | −4.6 (12.9) | 1.9 (13.0) | 6.8 (15.9) | −0.8 (13.3) | 17.0 (6.0) | |
| Winter (PM2.5 pollution period) | CO | 3.5 (10.7) | 8.2 (11.6) | 0.8 (12.7) | −10.6 (5.1) | 1170 (337.7) |
| NO2 | 6.5 (18.3) | 7.7 (19.3) | 3.8 (18.0) | 5.2 (18.5) | 65.9 (10.5) | |
| O3 | −90.7 (23.3) | −88.6 (23.5) | −88.5 (23.0) | −72.0 (39.5) | 5.5 (4.7) | |
| PM2.5 | −0.006 (8.0) | 3.6 (7.4) | 5.0 (9.2) | 5.5 (8.0) | 76.5 (11.1) | |
Publisher’s Note: MDPI stays neutral with regard to jurisdictional claims in published maps and institutional affiliations. |
© 2021 by the authors. Licensee MDPI, Basel, Switzerland. This article is an open access article distributed under the terms and conditions of the Creative Commons Attribution (CC BY) license (https://creativecommons.org/licenses/by/4.0/).
Share and Cite
Park, Y.; Park, H.-S.; Han, S.; Hwang, K.; Lee, S.; Choi, J.-Y.; Lee, J.-B.; Lee, S.-H.; Kwak, K.-H.; Kim, J.-J.; et al. Intra–Community Scale Variability of Air Quality in the Center of a Megacity in South Korea: A High-Density Cost-Effective Sensor Network. Appl. Sci. 2021, 11, 9105. https://doi.org/10.3390/app11199105
Park Y, Park H-S, Han S, Hwang K, Lee S, Choi J-Y, Lee J-B, Lee S-H, Kwak K-H, Kim J-J, et al. Intra–Community Scale Variability of Air Quality in the Center of a Megacity in South Korea: A High-Density Cost-Effective Sensor Network. Applied Sciences. 2021; 11(19):9105. https://doi.org/10.3390/app11199105
Chicago/Turabian StylePark, Yongmi, Ho-Seon Park, Subin Han, Kyucheol Hwang, Seunghyun Lee, Jin-Young Choi, Jae-Bum Lee, Sang-Hyun Lee, Kyung-Hwan Kwak, Jae-Jin Kim, and et al. 2021. "Intra–Community Scale Variability of Air Quality in the Center of a Megacity in South Korea: A High-Density Cost-Effective Sensor Network" Applied Sciences 11, no. 19: 9105. https://doi.org/10.3390/app11199105
APA StylePark, Y., Park, H.-S., Han, S., Hwang, K., Lee, S., Choi, J.-Y., Lee, J.-B., Lee, S.-H., Kwak, K.-H., Kim, J.-J., & Choi, W. (2021). Intra–Community Scale Variability of Air Quality in the Center of a Megacity in South Korea: A High-Density Cost-Effective Sensor Network. Applied Sciences, 11(19), 9105. https://doi.org/10.3390/app11199105

