Next Article in Journal
Barrier Function Based Adaptive Sliding Mode Controller for a Hybrid AC/DC Microgrid Involving Multiple Renewables
Next Article in Special Issue
Effects of the Sn4+ Substitution and the Sintering Additives on the Sintering Behavior and Electrical Properties of PLZT
Previous Article in Journal
Corrosion Behavior of Corrosion-Resistant Spring Steel Used in High Speed Railway
 
 
Font Type:
Arial Georgia Verdana
Font Size:
Aa Aa Aa
Line Spacing:
Column Width:
Background:
Article

Synthesis, Characterization, and Electromagnetic Wave Absorbing Properties of M12+–M24+ Substituted M-Type Sr-Hexaferrites

Department of Materials Science & Engineering, Korea National University of Transportation, Chungju 27469, Korea
*
Author to whom correspondence should be addressed.
Appl. Sci. 2021, 11(18), 8669; https://doi.org/10.3390/app11188669
Submission received: 23 August 2021 / Revised: 10 September 2021 / Accepted: 14 September 2021 / Published: 17 September 2021
(This article belongs to the Special Issue Sintering Phenomena and Microstructural Control — Volume II)

Abstract

Mn–Ti, Zn–Ti, Zn–Zr substituted M-type Sr-hexaferrites (SrM), SrFe12−2xM1xM2xO19 (0 ≤ x ≤ 2.0, M1 = Mn or Zn; M2 = Ti or Zr) were synthesized, and their solubility, crystalline structure, and high-frequency properties were studied. Zn–Zr substitution caused a relatively large lattice parameter change and resulted in lower solubility (x ≤ 1.0) in the M-type phase compared with Mn–Ti and Zn–Ti substitutions. However, the ferromagnetic resonance frequency (fFMR) effectively decreased with increasing x in SrFe12−2xZnxZrxO19 (Zn–Zr:SrM) (0 ≤ x ≤ 1.0) and the electromagnetic wave (EM) absorption frequency also varied according to the shift in fFMR in the 7–18 GHz range. This is attributed to a gradual decrease in the magnetocrystalline anisotropy of Zn–Zr:SrM (0 ≤ x ≤ 1.0) with an increase in x. Zn–Zr:SrM (x = 0.9)–epoxy(10 wt%) composites exhibited a high EM absorption in the X-band (8–12 GHz) with the lowest reflection loss of <−45 dB. The sample with x = 0.8 showed a broad Ku band (12–18 GHz) absorption performance satisfying RL <−19 dB at 11 ≤ f ≤ 18 GHz.

1. Introduction

Hexaferrite materials have attracted significant research interest in the past several decades owing to their interesting physical properties, such as their hard magnetic, magnetoelectric, electromagnetic absorption and magneto-dielectric properties. M-type Sr hexaferrites SrFe12O19 (SrM) are well-known hard magnetic materials used in permanent magnets because of their favorable hard magnetic properties, excellent phase stability, and low material cost [1,2]. The magnetic properties of SrM can be altered to become either harder or softer through cation substitutions. It has been reported that cation co-substitution of La–Co or La–Ca–Co into SrM increase the magnetocrystalline anisotropy [3,4], resulting in an enhancement of the permanent magnet performance, while, in contrast, those of Co2+–Ti4+ [5,6,7], Ti2+–Mn4+ [8,9,10], Mn2+–Zr4+ [11], and Mn4+–Zn2+ [12] result in a decrease in magnetocrystalline anisotropy. Cation-substituted SrM is also a promising candidate for high-frequency soft magnetic devices such EM wave absorbers [6,10,11,12,13,14,15].
When EM waves are irradiated into a material, the interactions of absorption, reflection, and transmission are classified based on the complex permittivity ε = ε′ − jε″ and permeability, μ = μ′ − jμ″ of the material. The imaginary parts of the permittivity (ε″) and permeability (μ″) are closely related to EM absorbing performances through the dielectric or magnetic loss mechanism, respectively. In addition, good impendence matching characteristics that are functions of these ε′, ε″, μ′, and μ″ material parameters are also important for the high EM absorbing performances without high EM reflection [16]. Recently, improved EM absorbing or shielding properties at GHz range have been reported by designing the nanocomposites where EM active materials are employed in template materials [17,18,19]. In the research, high EM absorbing performances with a relatively broad absorption bandwidth could be achieved through controlling the composite structures and its complex permittivity and permeability properties. The EM wave absorption of insulating hexaferrites is mostly dependent on the magnetic loss mechanism, which is closely related to the imaginary part of the permeability (μ″). The μ″ of hexaferrites increases at the ferromagnetic resonance (FMR) frequency (fFMR), which is related to the magnetic anisotropy field (Hani) by the equation below [20], where γ is the gyromagnetic ratio and μ0 is the permeability of vacuum.
f F M R = γ μ 0 2 π H a n i
SrM has a high fFMR of ~50 GHz, which is too high for hexaferrites to function as EM absorbers in the commercial radar frequency range, such as the X-band (8–12 GHz) and Ku-band (12–18 GHz). It has been reported that Co–Ti co-substitution effectively decreases the fFMR from 50 to a few gigahertz for a substitution x range of 0 ≤ x ≤ 1.5 for SrFe12−2xCoxTixO19 [5]. In our previous research [7], the EM absorption properties of Co–Ti-substituted SrM were investigated. The fFMR of Co–Ti substituted M-type Sr-hexaferrites (1.1 ≤ x ≤ 1.3) changed gradually from 6 to 15 GHz, which included the X-band (8–12 GHz) of interest in terms of radar applications. It was demonstrated that the EM absorption area can vary according to the gradual shift of the fFMR. As cobalt is an expensive element, it is important to find other substitution elements that are more price competitive. The EM absorption properties of Ti–Mn [8,9,10] and Mn–Zr [11] substituted M-type hexaferrites have been reported. However, systematic studies with varying substitution amounts and correlations among composition, magnetic properties, and EM absorption properties are rare. In particular, to the best of our knowledge, the EM absorption properties of Zn–Zr substituted M-type hexaferrites have not yet been reported. In this study, Zn–Ti, Mn–Ti, and Zn–Zr co-substituted SrM with the chemical formula SrFe12−2xM1xM2xO19 (0 ≤ x ≤ 2.0, M1 = Mn or Zn; M2 = Ti or Zr) were synthesized, and their crystalline structures, microstructures, high-frequency permeability, permittivity, and EM absorption properties were systematically studied.

2. Materials and Methods

M-type hexaferrites with chemical formulae of SrFe12−2xZnxTixO19, SrFe12−2xMnxTixO19 (x = 0, 0.5, 1.0, 1.5, 2.0), and SrFe12−2xZnxZrxO19 (x = 0, 0.5, 0.6, 0.7, 0.8, 0.9, 1.0, 1.1 1.5, 2.0) were synthesized via conventional solid-state reaction processes. Precursor powders of SrCO3, Fe2O3, MnCO3, ZnO, ZrO2 (all Kojundo Chemical, Saitama, Japan, 99.9%), and TiO2 (Sigma–Aldrich, 99.9%) were weighed based on the cation ratios of the formulae. The powders were ball-mixed in water, dried, and calcined in air at 1200 °C for 4 h. The calcined samples were ball-milled and calcined again at 1250 °C for 2 h in air to ensure compositional homogeneity. Subsequently, the samples were ground again to fine powders. The hexaferrite powder and epoxy binder (YD014, Kukdo Chemical, Kunshan, Korea) were mixed at a 9:1 wt% ratio, pressed into toroidal-shaped (inner and outer diameters of 3.04 and 7.00 mm, respectively) and disk-shaped (diameter = 15 mm) green compacts, and finally cured at 180 °C for 20 min in air. The volume fraction of the epoxy in the final sample was ~50% [6,7].
X-ray diffraction (XRD, D8 Advance, Bruker AXS GmbH, Germany) with a Cu Kα radiation source (λ = 0.154056 nm) and field-emission scanning electron microscopy (SEM, JSM-7610F, JEOL, Japan) analyses were performed on second calcined hexaferrite powders for crystalline phase analysis and microstructural observation, respectively. Magnetic properties on the disk-shaped composites were performed by a B–H tracer. The complex permittivity and permeability spectra (100 MHz–18 GHz) of the toroidal-shaped composite samples were measured using a vector network analyzer (E5063A, Keysight, Santa Rosa, CA, USA) with an airline kit (85051BR03) and N1500A software.

3. Results and Discussion

Figure 1a–c shows the XRD patterns of the Zn–Ti, Mn–Ti, and Zn–Zr substituted SrM (0 ≤ x ≤ 2.0) powders after second calcination at 1250 °C. The diffraction peaks of the samples were indexed based on the international center for diffraction data (PDF search number; SrM: 00-033-1340) and the hexagonal magnetoplumbite structure with the space group P63/mmc (ICDD 0801198). As shown in Figure 1a, Zn–Ti substituted SrM (Zn–Ti:SrM) exhibits a single M-type hexaferrite. It is believed that Zn–Ti is fully soluble in the SrM phase in the substitution range of x ≤ 2.0. For the case of Mn–Ti:SrM shown in Figure 1b, a single M-type phase can be identified for x ≤ 1.5 and a small number of second phase peaks of Fe2TiO5 can be observed. Unidentified secondary phase peaks are denoted by an asterisk (*). Unlike Zn–Ti and Mn–Ti:SrM, Zn–Zr:SrM exhibits large second phase peaks of ZnFe2O4, SrZrO3, and ZrO2 for x ≥ 1.5 in Figure 1c. For x = 2.0, ZrFe2O4 exhibits a primary peak. In order to reveal the solubility limit of Zn–Zr (x) in SrM, additional XRD analysis was carried out on samples with x between 0.6 and 1.1 with an interval of 0.1. A clear second phase peak of the ZrFe2O4 phase starts appearing at x = 1.0 and its intensity grows larger with increasing x. In the inset of Figure 1c, the (220) peaks of the samples around 2θ = 65° are presented. Going from x = 0 to x = 0.5, the peak shift to the left is large, and the peak position slightly moves to the left between x = 0.5 and x = 1.0, but beyond that the peak position does not change. For all samples shown in Figure 1a–c, the lattice parameters, a and c, are calculated from the values of dhkl corresponding to the (2011) and (220) peaks according to the following equation:
d h k l = { 4 ( h 2 + h k + k 2 ) 3 a 2 + l 2 c 2 } 1 / 2 ,
where dhkl is the interplanar spacing, and h, k, and l are the Miller indices. The values of a, c, and the cell volume of the sample are listed in Table 1, and their % changes are plotted in Figure 2a–c.
For Zn–Ti and Mn–Ti substitution (0 ≤ x ≤ 2.0), shown in Figure 2a,b, a, c, and the cell volume increase gradually with increasing x. Meanwhile, for the Zn–Zr substitution shown in Figure 2c, the increase in lattice parameters with x is much greater, but at x = 1.0 and above the cell parameter values are constant. Based on the lattice changes with substitution amount x, the solubility limit for Zn–Ti and Mn–Ti is estimated to be above x = 2.0, and for Zn–Zr, it is estimated to be x = ~1.0.
The high-frequency permeability characteristics of the three groups of samples, SrFe12−2xZnxTixO19, SrFe12−2xMnxTixO19, and SrFe12−2xZnxZrxO19, were evaluated. In the case of hexaferrites, utilization as an EM absorber in the GHz range requires a peak increase in μ″ in the corresponding frequency band, which can be caused by FMR phenomena. Figure 3a–f show the μ′ and μ″ spectra of these samples. As can be seen in the μ′ spectra, the samples have μ′ values between 1.5 and 2.0, and μ′ commonly decreases to close to 1.0 in the range of f < 1 GHz. This μ′ spectral transition (f < 1 GHz) is associated with magnetic domain wall motion [21]. In addition, the transition of μ″ in the frequency range of f < 1 GHz corresponds to the magnetic loss associated with magnetic domain wall motion. Therefore, it is believed that domain wall motion cannot contribute to the permeability at frequencies higher than 1 GHz, and the peak increase of μ′ > 1 and μ″ > 0 at f > 1 GHz is mostly caused by electron spin motions, that is, FMR [6,7]. It is known that non-substituted M-type Sr-hexaferrite, SrFe12O19, has fFMR ~50 GHz. Thus, no μ″ peak is observed in the measured frequency range of f ≤ 18 GHz. When Zn–Ti is substituted into SrM, fFMR decreases with increasing x. In Figure 3a,b sharp increases in the μ′, μ″ peaks can be observed at the right edge. We can see that fFMR is approximately 18 GHz for SrFe12−2xZnxTixO19 (x = 2.0), and that it is above 18 GHz for samples with x < 2.0. For the case of Mn–Ti substitution (Figure 3c,d), no clear peaks of μ′, μ″ spectra are absorbed at f > 1.0 GHz for all samples. Meanwhile, a clear FMR signal is absorbed by the Zn–Zr substituted samples, as shown in Figure 3e,f. In the vicinity of 10 GHz in the μ″ spectra, a peak from FMR is shown for x = 1.0, and the height gradually decreases as x reaches 2.0. For the sample with x = 0.5, there is no FMR peak at f >1 GHz because its fFMR is greater than 18 GHz. Although the FMR peak is supposed to shift to a lower frequency upon increasing x to 1.5, and 2.0, its position is almost the same. This is because even for x higher than 1.0, no substitution of Zn–Zr can occur, as mentioned previously in Figure 2c. In addition, the decrease in μ″ peak height with an increase in x up to 2.0 is due to an increase in the volume fraction of the non-magnetic secondary phase (Figure 1c).
Figure 4a–e show microstructures of the SrFe12−2xZnxZrxO19 (x = 0, 0.5, 1.0, 1.5, 2.0) samples calcined at 1250 °C. The average grain size (dg) roughly decreased with increasing x (dg = 1.0, 1.0, 0.82, 0.80, and 0.65 µm for x = 0, 0.5, 1.0, 1.5, and 2.0, respectively). It is notable that samples with x ≤ 1.0 only have a single M-type phase. Second phases (ZnFe2O4, SrZrO3, and ZrO2) are formed and increase with increasing x for x > 1.0, as shown in Figure 1c. SEM-BSE (back scattered electron) images of the x = 1.0, 1.5, and 2.0 samples are shown in Figure 4f–h. In the x = 1.0 sample (Figure 4f), all grains show nearly equal contrast, but brighter grains begin to appear at x = 1.5 (Figure 4g), and brighter spots increase at x = 2.0 (Figure 4h). Considering the XRD analysis results (Figure 1c) and average atomic weights of the second phases, the bright spots in Figure 4g,h correspond with SrZrO3.
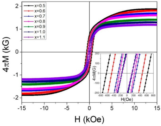
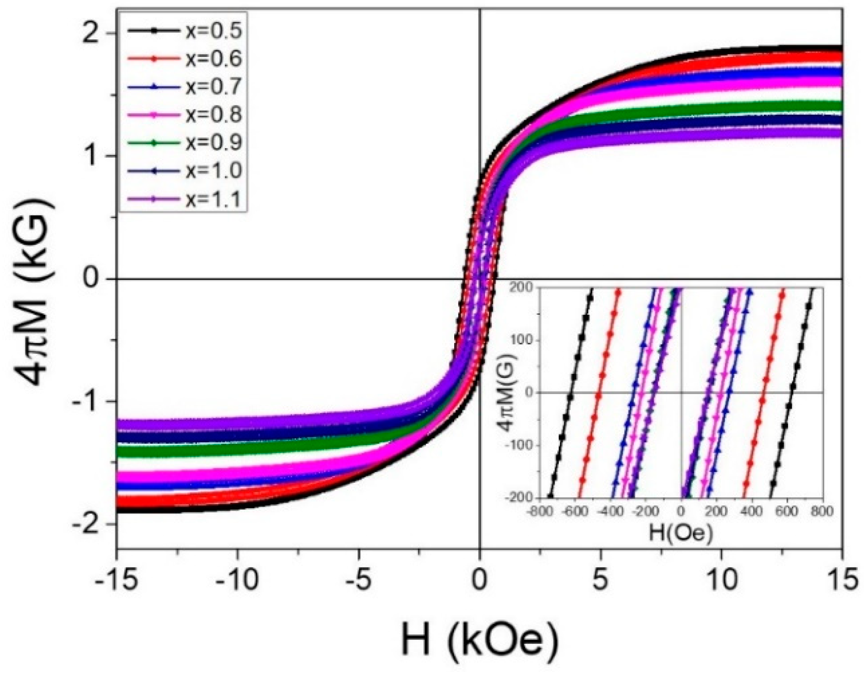
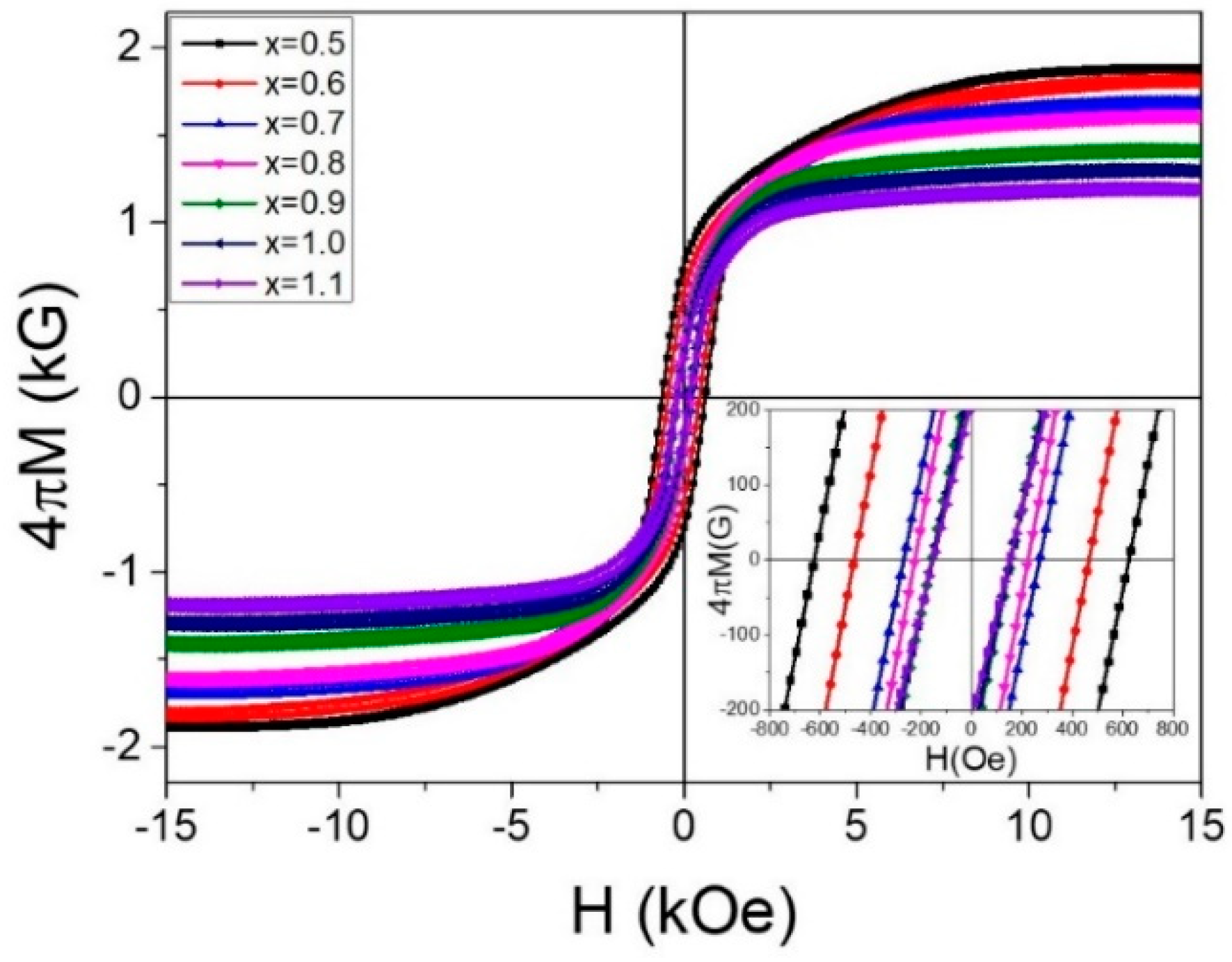
Figure 5 shows the magnetization curves for the SrFe12−2xZnxZrxO19–epoxy composition (x = 0.5, 0.6, 0.7, 0.8, 0.9, 1.0, 1.1) samples. Because the solubility limit of SrFe12−2xZnxZrxO19 was found to be approximately x = 1.0, sample compositions with smaller intervals of x below x = 1.0 (x = 0.5, 0.6, 0.7, 0.8, 0.9, 1.0, 1.1) were also studied. The saturation magnetization (4πMS) and coercivity (HC) values of these samples are presented in Table 2. The 4πM–H curves in the low magnetic field range are shown in the inset. The 4πMS of the sintered samples are expected to be twice these values because the volume fraction of the nonmagnetic epoxy binder is ~50%. The 4πMS of the x = 0.5 sample is 1.875 kG, and it decreases with increasing x. The reason for this is that non-magnetic ions of Zn2+-Zr4+ are substituted for the magnetic Fe3+ ions. It has also been reported that a small amount of Zn substitution (x ≤ 0.3) into SrM could increase MS due to a selective substitution of Fe in the down-spin state [22,23]. It is notable that the substitution amount (x ≥ 0.5) in this study is too high to expect such an enhancement of MS in the SrM. HC decreases noticeably for an increase in x from x = 0.5 to x = 0.7 but decreases slightly from x = 0.7 to x = 0.9 and remains roughly constant above x = 0.9. The HC value depends on both the intrinsic and extrinsic characteristics of the magnetic materials. Grain size is a dominating factor influencing HC. It is well known that HC decreases with increasing grain size of hexaferrites [24,25,26]. Considering that the average grain size of the x = 0.5 sample is larger than that of the sample with x = 1.0, the smaller HC for a higher x is due to a strong intrinsic property change caused by the Zn–Zr substitution, which overcomes the disadvantageous extrinsic factor.
The real and imaginary parts of the complex permittivity (ε′ and ε″) and permeability (μ′ and μ″) spectra of the SrFe12−2xZnxZrxO19 (x = 0.5, 0.6, 0.7, 0.8, 0.9, 1.0, 1.1) powder–epoxy (10 wt%) composite samples are shown in Figure 6a–d. In Table 2, the real (ε′) and imaginary (ε″) parts of the permittivity at 1 GHz, the real part of the permeability (μs′) in the steady region after the first transition (~3 GHz), and the frequencies of the maximum μ″ values (fFMR) are presented. In the ε′ and ε″ spectra shown in Figure 6a,b, as the frequency increases, for all samples, ε′ decreases and converges upon ~7, and ε″ approaches zero. The real (μ′) and imaginary (μ″) parts of the permeability spectra are shown in Figure 6c,d, the first transitions of μ′ and μ″ are associated with magnetic domain wall motion (f < 2 GHz), and the peaks at higher frequencies (f > 2 GHz) are caused by FMR. In the μ″ spectra (Figure 6d), a gradual μ″ peak shift to the left is observed upon increasing x from 0.7 to 0.9, and a very small peak shift can be found between x = 0.9 and x = 1.0. The μ″ peak frequency corresponds to fFMR and is directly proportional to the magnetic anisotropy field (Ha), as expressed in Equation (1). The change in fFMR is related to an intrinsic property change and can be caused by cation substitution. This is consistent with the change in HC shown in Figure 5, as mentioned above. The μ″ peak positions and HC values of the samples with x = 0.9–1.1 are very similar, because the solubility limit of Zn–Zr in the M-phase is approximately x = 1.0. The gradual increase in μs′ upon increasing x up to 0.9 can be explained by Snoek’s limit law [27], presented below:
( μ s 1 ) · f F M R   = 2 3 γ · 4 π M S
Here, γ is a constant known as the gyromagnetic ratio, and Ms is the saturation magnetization value. A decrease in static real permeability (μs′) causes an increase in fFMR. This implies that changes in the high-frequency permeability property are governed by the intrinsic magnetic parameter of the magnetocrystalline anisotropy, which can be controlled by Zn–Zr substitution.
According to transmission line theory [28], the reflection loss (RL), which implies the EM wave absorption performance, can be calculated using the following equations:
R L   ( d B ) = 20 l o g | Z i n Z o 1 Z i n Z o + 1 | ,
Z i n Z o = μ r ε r t a n h [ j ( 2 π d c ) μ r ε r ] ,
where Z i n is the input impedance of the absorber, Z 0 = μ 0 ε 0 is the characteristic impedance of free space, c is the speed of light, f is the frequency of the incident EM wave, d is the thickness of the absorber, and εr and μr are the complex permittivity (εr = ε′ jε″) and permeability (μr = μ′ jμ″), respectively. Here, the measured μ′, μ″, ε′, and ε″ spectra can be used to obtain Z i n Z o for any thickness d with respect to f. RL calculations were plotted in square fd maps, as shown in Figure 7a–d. The region in which RL ≤ −10 dB, which implies EM absorptions exceeding 90%, is outlined by solid black lines. Inside this area, the regions in which RL ≤ −20, −30, and −40 dB are also outlined by solid lines.
In the RL map shown in Figure 7a–i, the strong EM absorbing area at lower d, marked with a rectangular box, starts to be observed at x = 0.7, and it moves gradually with an increase in x up to 1.0 (Figure 7c–f). The left edge of the absorption area already appeared at the right edge of Figure 7b for the sample with x = 0.6. EM absorption in the marked area is caused by a magnetic loss mechanism, that is, FMR, which produces a peak in the μ″ spectra. Thus, the gradual movement of the EM absorbing area with x = 0.7, 0.8, and 0.9 (Figure 6c–e) is attributed to the μ″ peak shift shown in Figure 6d. It is also observed that the absorption intensity in the RL maps for x from 1.1 to 2.0 (Figure 6g–i) becomes weaker. A decrease in the μ″ peak height shown in Figure 3f is the reason for the weakening EM absorption. As previously mentioned, the decrease in μ″ peak height for the x = 1.5 and 2.0 samples is due to an increase in the non-magnetic second phase.
Figure 8 shows the RL spectra of the sample (x = 0.7, 0.8, 0.9, 1.0, 1.1) at the optimal thickness, at which the minimum RL (RLmin) point was located. The RLmin values and frequency of RLmin (fRLmin) are presented in Table 2. Each sample shows an RLmin < −30 dB, and fRLmin shifts to a lower frequency with increasing x. fRLmin shifts to a lower f in large steps as x increases from 0.7 to 0.9, but it moves only slightly at x ≥ 0.9. The tendency for changes in large steps up to x = 0.9, and then for changes in very small steps for x > 0.9, is the same for HC, fFMR, and fRLmin. All these changes are related to the Zn–Zr substitution amount in the M-type phase and its magnetocrystalline anisotropy change. As shown, fRLmin is similar to fFMR for each sample, and FMR is the dominant EM absorbing mechanism in hexaferrites. The x = 0.9 sample demonstrates EM absorption properties optimized for the X-band (8–12 GHz) with the lowest reflection loss (RL) of −45 dB and satisfying RL < −15 dB in the 8–13 GHz range, whereas the sample with x = 0.8 shows an excellent Ku band (12–18 GHz) absorption performance, satisfying RL < −19 dB in the 11–18 GHz range.

4. Conclusions

From among the three different M12+–M24+ substitutions of Mn–Ti, Zn–Ti, Zn–Zr, the Zn–Zr substitution most effectively decreased the intrinsic property of the magnetocrystalline anisotropy of the hexaferrite, although the solubility limit (x = ~1.0) is smaller than that for the other substitutions. The coercivity, natural resonance frequency, and frequency range of the EM absorption via the magnetic loss mechanism decreased in large steps for an increasing substitution x of up to 0.9, and then decreased slightly with increasing x for 1.0 ≤ x ≤ 1.1. All these parameters are closely related to one another, and the changes are due to the magnetic crystalline anisotropy caused by the Zn–Zr substitution. The sample with x = 0.9 demonstrated a high EM absorption in the X-band (8–12 GHz) with the lowest reflection loss of <−45 dB, and the sample with x = 0.8 exhibited a broad Ku band (12–18 GHz) absorption performance satisfying RL < −19 dB at 11 ≤ f ≤ 18 GHz. Herein, we report for the first time the EM absorption properties of Zn–Zr substituted M-type Sr-hexaferrites and show that they are very promising candidates for X and Ku band EM absorbers.

Author Contributions

Y.-M.K. designed the experiments and wrote the manuscript. J.-U.K. performed all the experiments and analyzed the data under supervision of Y.-M.K. Both authors have read and agreed to the published version of the manuscript.

Funding

This study was supported by the Research Fund of the Basic Science Research Program through the National Research Foundation of Korea, funded by the Ministry of Science and ICT (Grant No. 2017R1C1B2002394), and by the Basic Science Research Capacity Enhancement Project (National Research Facilities and Equipment Center) through the Korea Basic Science Institute, funded by the Ministry of Education (Grant No. 2019R1A6C1010047).

Institutional Review Board Statement

Not applicable.

Informed Consent Statement

Not applicable.

Data Availability Statement

Not applicable.

Conflicts of Interest

The authors declare no conflict of interest.

References

  1. Went, J.J.; Rathenau, G.W.; Gorter, E.W.; Van Oosterhout, G.W. Ferroxdure. A Class of Permanent Magnetic Materials. Philips Tech. Rev. 1952, 13, 194–208. [Google Scholar]
  2. Pullar, R.C. Hexagonal ferrites: A review of the synthesis, properties and applications of hexaferrite ceramics. Prog. Mater. Sci. 2012, 57, 1191–1334. [Google Scholar] [CrossRef]
  3. Kobayashi, Y.; Hosokawa, S.; Oda, E.; Toyota, S. Magnetic properties and composition of Ca-La-Co M-type ferrites. J. Jpn. Soc. Powder Metall. 2008, 55, 541–546. [Google Scholar] [CrossRef]
  4. Moon, K.-S.; Yu, P.-Y.; Kang, Y.-M. Microstructure and magnetic properties of La-Ca-Co substituted M-type Sr-hexaferrites with controlled Si diffusion. Appl. Sci. 2020, 10, 7570. [Google Scholar]
  5. Thompson, S.; Shirtcliffe, N.J.; O’Keefe, E.S.; Appleton, S.; Perry, C.C. Synthesis of SrCoxTixFe(12−2x)O19 through sol–gel auto-ignition and its characterization. J. Magn. Magn. Mater. 2005, 292, 100–107. [Google Scholar] [CrossRef]
  6. Lim, E.-S.; Kim, H.K.; Kang, Y.-M. Control of electromagnetic wave absorption properties in La-Co-Ti substituted M-type hexaferrite–epoxy composites. J. Magn. Magn. Mater. 2021, 517, 167397. [Google Scholar] [CrossRef]
  7. Kim, J.-K.; Yu, P.-Y.; Kang, Y.-M. Electromagnetic wave absorbing properties of SrFe12−2xCoxTixO19 hexaferrite–CNT–epoxy composites. J. Magn. Magn. Mater. 2021, 537, 168235. [Google Scholar] [CrossRef]
  8. Mananwan, M.; Manaf, A.; Soegijono, B.; Yudi, A. Microstructural and magnetic properties of Ti2+-Mn4+ substituted Barium hexaferrite. Adv. Mater. Res. 2014, 89, 401–405. [Google Scholar] [CrossRef]
  9. Sugimoto, S.; Maeda, Y.; Okayama, K.; Maeda, T.; Ota, H.; Kimura, M.; Book, D.; Nakamura, H.; Kagotani, T.; Homma, M. Compositional dependence of the electromagnetic wave absorption properties of BaFe12-x-yTixMnyO19 in the GHz frequency range. Mater. Trans. JIM 1999, 40, 887–890. [Google Scholar] [CrossRef][Green Version]
  10. Tabatabaie, F.; Fathi, M.H.; Saatchi, A.; Ghasemi, A. Microwave absorption properties of Mn- and Ti-doped strontium hexaferrite. J. Alloy. Compd. 2009, 470, 332–335. [Google Scholar] [CrossRef]
  11. Kagotani, T.; Fujiwara, D.; Sugimoto, S.; Inomata, K.; Homma, M. Enhancement of GHz electromagnetic wave absorption characteristics in aligned M-type barium ferrite Ba1-xLaxZnxFe12-x-y(Me0.5Mn0.5)yO19 (x = 0.0–0.5; y = 1.0–3.0, Me: Zr, Sn) by metal substitution. J. Magn. Magn. Mater. 2004, 272–276, e1813–e1815. [Google Scholar] [CrossRef]
  12. Kang, Y.-M.; Kwon, Y.-H.; Kim, M.-H.; Lee, D.-Y. Enhancement of magnetic properties in Mn–Zn substituted M-type Sr-hexaferrites. J. Magn. Magn. Mater. 2015, 382, 10–14. [Google Scholar] [CrossRef]
  13. Cho, H.-S.; Kim, S.-S. M-hexaferrites with planar magnetic anisotropy and their application to high-frequency microwave absorbers. IEEE Trans. Magn. 1999, 35, 3151–3153. [Google Scholar]
  14. Ghasemi, A.; Hossienpour, A.; Morisako, A.; Saatchi, A.; Salehi, M. Electromagnetic properties and microwave absorbing characteristics of doped barium hexaferrite. J. Magn. Magn. Mater. 2006, 302, 429–435. [Google Scholar] [CrossRef]
  15. Zahid, M.; Siddique, S.; Anum, R.; Shakir, M.F.; Nawab, Y.; Rehan, Z.A. M-Type barium hexaferrite-based Nanocomposites for EMI shielding application: A review. J. Supercon. Nov. Magn. 2021, 34, 1019–1045. [Google Scholar] [CrossRef]
  16. Singh, P.; Babbar, V.K.; Razdan, A.; Puri, R.K.; Goel, T.C. Complex permittivity, permeability, and X-band microwave absorption of CaCoTi ferrite composites. J. Appl. Phys. 2000, 87, 4362–4366. [Google Scholar] [CrossRef]
  17. Zhang, M.; Cao, M.-S.; Shu, J.-C.; Cao, W.-Q.; Li, L.; Yuan, J. Electromagnetic absorber converting radiation for multifunction. Mater. Sci. Eng. R 2021, 145, 100627. [Google Scholar] [CrossRef]
  18. Wu, N.; Hu, Q.; Wei, R.; Mai, X.; Naik, N.; Pan, D.; Guo, Z.; Shi, Z. Review on the electromagnetic interference shielding properties of carbon based materials and their novel composites: Recent progress, challenges and prospects. Carbon 2021, 176, 88–105. [Google Scholar] [CrossRef]
  19. Iqbal, A.; Sambyal, P.; Koo, C.M. 2D MXenes for Electromagnetic Shielding: A Review. Adv. Funct. Mater. 2020, 30, 2000883. [Google Scholar] [CrossRef]
  20. Verwell, J. Magnetic Properties of Materials; McGraw-Hill: New York, NY, USA, 1971; p. 64. [Google Scholar]
  21. Tsutaoka, T. Frequency dispersion of complex permeability in Mn–Zn and Ni–Zn spinel ferrites and their composite materials. J. Appl. Phys. 2003, 93, 2789–2796. [Google Scholar] [CrossRef]
  22. Taguchi, H. Recent Improvements of Ferrite Magnets. J. Phys. IV Fr. 1997, 7, C1–C299. [Google Scholar] [CrossRef]
  23. Bai, J.; Liu, X.; Xie, T.; Wei, F.; Yang, Z. The effects of La–Zn substitution on the magnetic properties of Sr-magnetoplumbite ferrite nano-particles. Mater. Sci. Eng. B 2000, 68, 182–185. [Google Scholar] [CrossRef]
  24. Sixtus, K.J.; Kronenberg, K.J.; Tenzer, R.K. Investigations on barium ferrite magnets. J. Appl. Phys. 1956, 27, 1051–1057. [Google Scholar] [CrossRef]
  25. Nishio, H.; Minachi, Y.; Yamamoto, H. Effect of factors on coercivity in Sr-La-Co sintered ferrite magnets. IEEE Trans. Magn. 2009, 45, 5281–5288. [Google Scholar] [CrossRef]
  26. Kang, Y.-M.; Moon, K.-S. Magnetic properties of Ce-Mn substituted M-type Sr-hexaferrites. Ceram. Inter. 2015, 41, 12828–12834. [Google Scholar] [CrossRef]
  27. Snoek, J.L. Dispersion and absorption in magnetic ferrites at frequencies above one Mc/s. Physica 1948, 14, 207–217. [Google Scholar] [CrossRef]
  28. Naito, Y.; Suetake, K. Application of ferrite to electromagnetic wave absorber and its characteristics. IEEE Trans. Microw. Theory Tech. 1971, 19, 65–72. [Google Scholar] [CrossRef]
Figure 1. XRD patterns of (a) SrFe12−2xZnxTixO19 (x = 0, 0.5, 1.0, 1.5, 2.0), (b) SrFe12−2xMnxTixO19 (x = 0, 0.5, 1.0, 1.5, 2.0), and (c) SrFe12−2xZnxZrxO19 (x = 0, 0.5, 0.6, 0.7, 0.8, 0.9, 1.0, 1.1 1.5, 2.0) samples.
Figure 1. XRD patterns of (a) SrFe12−2xZnxTixO19 (x = 0, 0.5, 1.0, 1.5, 2.0), (b) SrFe12−2xMnxTixO19 (x = 0, 0.5, 1.0, 1.5, 2.0), and (c) SrFe12−2xZnxZrxO19 (x = 0, 0.5, 0.6, 0.7, 0.8, 0.9, 1.0, 1.1 1.5, 2.0) samples.
Applsci 11 08669 g001
Figure 2. Changes (%) in lattice parameters a, c, and cell volume of (a) SrFe12−2xZnxTixO19, (b) SrFe12−2xMnxTixO19 (x = 0, 0.5, 1.0, 1.5, 2.0), and (c) SrFe12−2xZnxZrxO19 (x = 0, 0.5, 0.6, 0.7, 0.8, 0.9, 1.0, 1.1, 1.5, 2.0) samples.
Figure 2. Changes (%) in lattice parameters a, c, and cell volume of (a) SrFe12−2xZnxTixO19, (b) SrFe12−2xMnxTixO19 (x = 0, 0.5, 1.0, 1.5, 2.0), and (c) SrFe12−2xZnxZrxO19 (x = 0, 0.5, 0.6, 0.7, 0.8, 0.9, 1.0, 1.1, 1.5, 2.0) samples.
Applsci 11 08669 g002
Figure 3. Real and imaginary part of permittivity (μ′ and μ″) spectra (0.1 ≤ f ≤ 18 GHz) of the hexaferrites, (a,b) SrFe12−2xZnxTixO19, (c,d) SrFe12−2xMnxTixO19, (e,f) SrFe12−2xZnxZrxO19 (x = 0, 0.5, 1.0, 1.5, 2.0) powder-epoxy (10 wt%) composites.
Figure 3. Real and imaginary part of permittivity (μ′ and μ″) spectra (0.1 ≤ f ≤ 18 GHz) of the hexaferrites, (a,b) SrFe12−2xZnxTixO19, (c,d) SrFe12−2xMnxTixO19, (e,f) SrFe12−2xZnxZrxO19 (x = 0, 0.5, 1.0, 1.5, 2.0) powder-epoxy (10 wt%) composites.
Applsci 11 08669 g003
Figure 4. (ae) SEM micrographs of SrFe12−2xZnxZrxO19 (x = 0, 0.5, 1.0, 1.5, 2.0) powder samples calcined at 1250 °C. (fh) BSE images of SrFe12−2xZnxZrxO19 with x = 1.0, 1.5, and 2.0 calcined at 1250 °C.
Figure 4. (ae) SEM micrographs of SrFe12−2xZnxZrxO19 (x = 0, 0.5, 1.0, 1.5, 2.0) powder samples calcined at 1250 °C. (fh) BSE images of SrFe12−2xZnxZrxO19 with x = 1.0, 1.5, and 2.0 calcined at 1250 °C.
Applsci 11 08669 g004
Figure 5. M-H curve of SrFe12−2xZnxZrxO19–epoxy composition (x = 0.5, 0.6, 0.7, 0.8, 0.9, 1.0, 1.1) samples calcined at 1250 °C (−15 kOe ≤ H ≤ 15 kOe).
Figure 5. M-H curve of SrFe12−2xZnxZrxO19–epoxy composition (x = 0.5, 0.6, 0.7, 0.8, 0.9, 1.0, 1.1) samples calcined at 1250 °C (−15 kOe ≤ H ≤ 15 kOe).
Applsci 11 08669 g005
Figure 6. (ad) Real and imaginary parts of permittivity (ε′ and ε″) and permeability (μ′ and μ″) spectra (100 MHz ≤ f ≤ 18 GHz) of SrFe12−2xZnxZrxO19 (x = 0.5, 0.6, 0.7, 0.8, 0.9, 1.0, 1.1) powder–epoxy (10 wt%) composite samples.
Figure 6. (ad) Real and imaginary parts of permittivity (ε′ and ε″) and permeability (μ′ and μ″) spectra (100 MHz ≤ f ≤ 18 GHz) of SrFe12−2xZnxZrxO19 (x = 0.5, 0.6, 0.7, 0.8, 0.9, 1.0, 1.1) powder–epoxy (10 wt%) composite samples.
Applsci 11 08669 g006
Figure 7. (ai) RL map as functions of sample thickness (d) and frequency (f) for SrFe12−2xZnxZrxO19 (x = 0.5, 0.6, 0.7, 0.8, 0.9, 1.0, 1.1, 1.5, 2.0) powder–epoxy (10 wt%) composite samples.
Figure 7. (ai) RL map as functions of sample thickness (d) and frequency (f) for SrFe12−2xZnxZrxO19 (x = 0.5, 0.6, 0.7, 0.8, 0.9, 1.0, 1.1, 1.5, 2.0) powder–epoxy (10 wt%) composite samples.
Applsci 11 08669 g007
Figure 8. RL vs. f plot of SrFe12−2xZnxZrxO19 (x = 0.7, 0.8, 0.9, 1.0, 1.1) powder–epoxy composites for determining optimal absorber thickness (mm).
Figure 8. RL vs. f plot of SrFe12−2xZnxZrxO19 (x = 0.7, 0.8, 0.9, 1.0, 1.1) powder–epoxy composites for determining optimal absorber thickness (mm).
Applsci 11 08669 g008
Table 1. Lattice parameters a and c, ratio of c/a, and lattice volume of the SrFe12−2xZnxTixO19, SrFe12−2xMnxTixO19 (x = 0, 0.5, 1.0, 1.5, 2.0), and SrFe12−2xZnxZrxO19 (x = 0, 0.5, 0.6, 0.7, 0.8, 0.9, 1.0, 1.1, 1.5, 2.0) samples calcined at 1250 °C.
Table 1. Lattice parameters a and c, ratio of c/a, and lattice volume of the SrFe12−2xZnxTixO19, SrFe12−2xMnxTixO19 (x = 0, 0.5, 1.0, 1.5, 2.0), and SrFe12−2xZnxZrxO19 (x = 0, 0.5, 0.6, 0.7, 0.8, 0.9, 1.0, 1.1, 1.5, 2.0) samples calcined at 1250 °C.
Compositionxa(Å)c(Å)c/a(Å)vol(Å)
SrFe12−2xZnxTixO1905.88323.063.919691.0
0.55.88423.063.919691.2
15.89023.063.916693.0
1.55.89223.073.916693.6
25.89623.093.916695.1
SrFe12−2xMnxTixO1905.88223.043.916690.2
0.55.89223.073.915693.4
15.89323.093.917694.3
1.55.89823.093.915695.8
25.90123.113.915696.8
SrFe12−2xZnxZrxO1905.88323.063.919691.0
0.55.90523.223.932701.3
0.65.90923.273.938703.4
0.75.91323.303.941705.5
0.85.91723.323.942707.2
0.95.92023.363.946709.2
15.92123.363.945709.4
1.15.92223.363.945709.6
1.55.92223.373.945709.7
25.92223.353.943709.3
Table 2. Saturation magnetization (4πMS), coercivity (HC), real (ε′) and imaginary (ε″) parts of permittivities at 1 GHz, real part of permeability (μs′) at steady region (at 3 GHz), frequencies of maximum μ″ values (fFMR), minimum RLs (RLmin), and frequencies of RLmin (fRLmin) of SrFe12−2xZnxZrxO19 (x = 0.5, 0.6, 0.7, 0.8, 0.9, 1.0, 1.1) powder–epoxy (10 wt%) composite samples.
Table 2. Saturation magnetization (4πMS), coercivity (HC), real (ε′) and imaginary (ε″) parts of permittivities at 1 GHz, real part of permeability (μs′) at steady region (at 3 GHz), frequencies of maximum μ″ values (fFMR), minimum RLs (RLmin), and frequencies of RLmin (fRLmin) of SrFe12−2xZnxZrxO19 (x = 0.5, 0.6, 0.7, 0.8, 0.9, 1.0, 1.1) powder–epoxy (10 wt%) composite samples.
x4πMS
(kG)
HC
(kOe)
ε′
(1 GHz)
ε″
(1 GHz)
μs′
(3 GHz)
fFMR
(GHz)
RLmin
(dB)
fRLmin
(GHz)
0.51.8750.6247.371.081.00---
0.61.8100.4667.320.821.02---
0.71.6810.2707.080.451.0515.1−42.916.7
0.81.6070.2257.340.511.1210.8−38.611.8
0.91.4090.1587.160.211.198.33−44.78.8
1.01.2950.1556.850.201.177.89−49.78.6
1.11.1910.1527.020.131.177.26−50.08.2
Publisher’s Note: MDPI stays neutral with regard to jurisdictional claims in published maps and institutional affiliations.

Share and Cite

MDPI and ACS Style

Kim, J.-U.; Kang, Y.-M. Synthesis, Characterization, and Electromagnetic Wave Absorbing Properties of M12+–M24+ Substituted M-Type Sr-Hexaferrites. Appl. Sci. 2021, 11, 8669. https://doi.org/10.3390/app11188669

AMA Style

Kim J-U, Kang Y-M. Synthesis, Characterization, and Electromagnetic Wave Absorbing Properties of M12+–M24+ Substituted M-Type Sr-Hexaferrites. Applied Sciences. 2021; 11(18):8669. https://doi.org/10.3390/app11188669

Chicago/Turabian Style

Kim, Jae-Uk, and Young-Min Kang. 2021. "Synthesis, Characterization, and Electromagnetic Wave Absorbing Properties of M12+–M24+ Substituted M-Type Sr-Hexaferrites" Applied Sciences 11, no. 18: 8669. https://doi.org/10.3390/app11188669

APA Style

Kim, J.-U., & Kang, Y.-M. (2021). Synthesis, Characterization, and Electromagnetic Wave Absorbing Properties of M12+–M24+ Substituted M-Type Sr-Hexaferrites. Applied Sciences, 11(18), 8669. https://doi.org/10.3390/app11188669

Note that from the first issue of 2016, this journal uses article numbers instead of page numbers. See further details here.

Article Metrics

Back to TopTop