Estimation of the Frequency Response Function of the Rotational Degree of Freedom
Abstract
:1. Introduction
2. Theoretical Background
2.1. Receptance of Euler-Bernoulli Beam
2.2. Rotation/Force and Displacement/Moment FRF
2.3. Rotation/Moment FRF
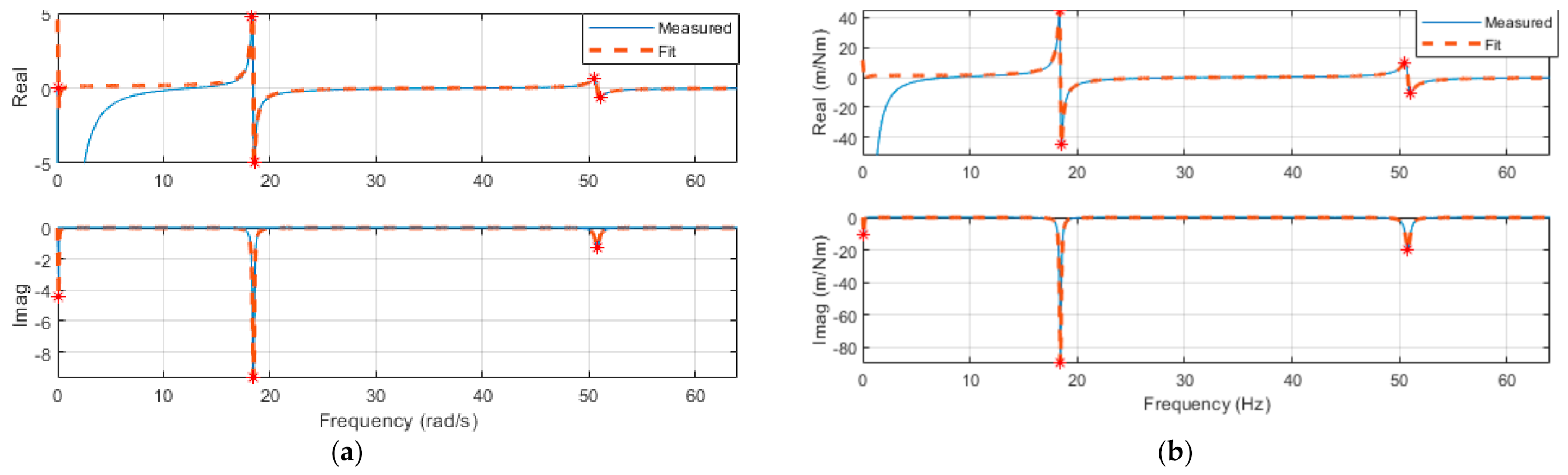
2.4. Modal Peak Picking
3. Vibration Analysis Using FEM
3.1. FE Modeling
3.2. Rotaion/Force(=Displacement/Moment) Vibration Analysis Results
3.3. Rotaion/Moment Vibration Analysis Results
4. Conclusions
Author Contributions
Funding
Institutional Review Board Statement
Informed Consent Statement
Data Availability Statement
Acknowledgments
Conflicts of Interest
References
- Schmitz, T.L.; Matthew, A.D.; Michael, D.K. Tool point frequency response prediction for high-speed machining by RCSA. J. Manuf. Sci. Eng. 2001, 123, 700–707. [Google Scholar] [CrossRef]
- Schmitz, T.L.; Donalson, R.R. Predicting high-speed machining dynamics by substructure analysis. CIRP Ann. 2000, 49, 303–308. [Google Scholar] [CrossRef]
- Schmitz, T.L.; Duncan, G.S. Three-component receptance coupling substructure analysis for tool point dynamics prediction. J. Manuf. Sci. Eng. 2005, 127, 781–790. [Google Scholar] [CrossRef] [Green Version]
- Schmitz, T.; Burns, T. Receptance coupling for high-speed machining dynamics prediction. In Proceedings of the 21st International Modal Analysis Conference (IMAC), Kissimmee, FL, USA, 3–6 February 2003; Volume 36, pp. 19–25. Available online: https://www.nist.gov/publications/receptance-coupling-high-speed-machining-dynamics-prediction (accessed on 12 August 2021).
- Ewins, D.J.; Sainsbury, M.G. Mobility measurements for the vibration analysis of connected structures. J. Shock Vib. Bull. 1972, 42, 105–122. [Google Scholar]
- Mehrpouya, M.; Graham, E.; Park, S.S. FRF based joint dynamics modeling and identification. Mech. Syst. Signal Process. 2013, 39, 265–279. [Google Scholar] [CrossRef]
- Lee, H.S.; Lee, H.H.; Lee, G.M. Updating of a Finite Element Model with a Damping Effect Using Frequency Response Functions. Korea Soc. Mech. Eng. 2002, 26, 872–880. [Google Scholar] [CrossRef]
- Park, S.S.; Altintas, Y.; Movahhedy, M. Receptance Coupling for end mills. Int. J. Mach. Tools Manuf. 2003, 43, 889–896. [Google Scholar] [CrossRef]
- Montalvão, D.; Ribeiro, A.M.; Maia, N.M.; Silva, J.M. On the estimation of rotational frequency response functions. In Proceedings of the ISMA2004 Noise and Vibration Engineering Conference, Leuven, Belgium, 20–22 September 2004; pp. 2771–2785. [Google Scholar]
- Chen, W.-H.; Cherng, J.-S. Modal synthesis via combined experimental and finite element techniques with consideration of rotational effects. J. Sound Vib. 1985, 103, 1–11. [Google Scholar] [CrossRef]
- Ji, Y.; Bi, Q.; Zhang, S.; Wang, Y. A new receptance coupling substructure analysis methodology to predict tool tip dynamics. Int. J. Mach. Tools Manuf. 2018, 126, 18–26. [Google Scholar] [CrossRef]
- Duarte, M.L.M.; Ewins, D.J. Rotational degrees of freedom for structural coupling analysis via finite-difference technique with residual compensation. Mech. Syst. Signal Process. 2000, 14, 205–227. [Google Scholar] [CrossRef]
- Albertelli, P.; Goletti, M.; Monno, M. A new receptance coupling substructure analysis methodology to improve chatter free cutting conditions prediction. Int. J. Mach. Tools Manuf. 2013, 72, 16–24. [Google Scholar] [CrossRef]
- Altintas, Y. Manufacturing Automation, 2nd ed.; Cambridge University Press: Cambridge, UK, 2012; pp. 109–119. [Google Scholar]
- Schmitz, T.L.; Scott Smith, K. Machining Dynamics; Springer International Publishing: Basel, Switzerland, 2019; pp. 283–337. [Google Scholar]
- Shmitz, T.L.; Scott Smith, K. Mechanical Vibrations: Modeling and Measurement; Springer: New York, NY, USA, 2012; pp. 199–216; 301–363. [Google Scholar]
- Ewins, D.J. Modal Testing Theory, Practice and Application, 2nd ed.; Wiley: Hoboken, NJ, USA, 2000; pp. 260–264. [Google Scholar]
- Chang, K.J.; Jee, T.H.; Park, Y.P. Modal Analysis of Automotive Body Model using Mode Synthesis Method. Korean Soc. Noise Vib. Eng. (KSNVE) 1995, 34–39. [Google Scholar]
- Jee, T.H.; Park, Y.P. Structural Dynamic Modification Using Substructure Response Function Sensitivity Method (SRFSM). Korean Soc. Noise Vib. Eng. (KSNVE) 1996, 20, 3782–3791. [Google Scholar]
- Chang, K.J.; Jee, T.H.; Park, Y.P. Modal Synthesis Method Using Interpolated Rational DOF. Korean Soc. Noise Vib. Eng. (KSNVE) 1995, 5, 503–514. [Google Scholar]

















| Order of Equation | |
|---|---|
| Length | Diameter | Density | Elastic Modulus | Damping Ratio |
|---|---|---|---|---|
| 1 m | 0.005 m | 7850 kg/m3 | 210 GPa | 0.01 |
Publisher’s Note: MDPI stays neutral with regard to jurisdictional claims in published maps and institutional affiliations. |
© 2021 by the authors. Licensee MDPI, Basel, Switzerland. This article is an open access article distributed under the terms and conditions of the Creative Commons Attribution (CC BY) license (https://creativecommons.org/licenses/by/4.0/).
Share and Cite
Kim, J.-w.; Lee, J.-w.; Kim, K.-w.; Kang, J.-h.; Yang, M.-s.; Kim, D.-y.; Lee, S.-y.; Jang, J.-s. Estimation of the Frequency Response Function of the Rotational Degree of Freedom. Appl. Sci. 2021, 11, 8527. https://doi.org/10.3390/app11188527
Kim J-w, Lee J-w, Kim K-w, Kang J-h, Yang M-s, Kim D-y, Lee S-y, Jang J-s. Estimation of the Frequency Response Function of the Rotational Degree of Freedom. Applied Sciences. 2021; 11(18):8527. https://doi.org/10.3390/app11188527
Chicago/Turabian StyleKim, Ji-wook, Jae-wook Lee, Kun-woo Kim, Ji-heon Kang, Min-seok Yang, Dong-yul Kim, Seung-yeop Lee, and Jin-seok Jang. 2021. "Estimation of the Frequency Response Function of the Rotational Degree of Freedom" Applied Sciences 11, no. 18: 8527. https://doi.org/10.3390/app11188527
APA StyleKim, J.-w., Lee, J.-w., Kim, K.-w., Kang, J.-h., Yang, M.-s., Kim, D.-y., Lee, S.-y., & Jang, J.-s. (2021). Estimation of the Frequency Response Function of the Rotational Degree of Freedom. Applied Sciences, 11(18), 8527. https://doi.org/10.3390/app11188527

