Design of an Integrated Sub-6 GHz and mmWave MIMO Antenna for 5G Handheld Devices
Abstract
:1. Introduction
2. Proposed Integrated Design
2.1. Mid-Band (4G LTE and Lower 5G) MIMO Configuration
2.2. High-Band (mmWave 5G) MIMO Configuration
2.3. Integrated (4G LTE, Lower 5G and mmWave 5G) MIMO Configuration
3. Results and Discussion
3.1. Surface Current
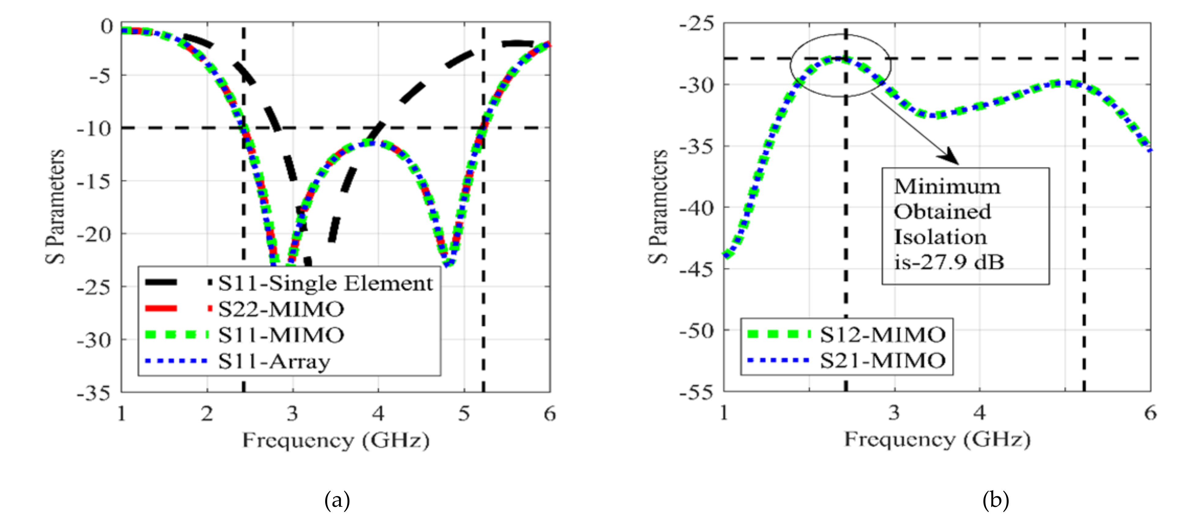
3.2. Scattering Parameters
3.3. Far-Field Results
3.4. MIMO Performance Analysis
3.4.1. Envelop Correlation Coefficient
3.4.2. Diversity GAIN
3.4.3. Mean Effective Gain
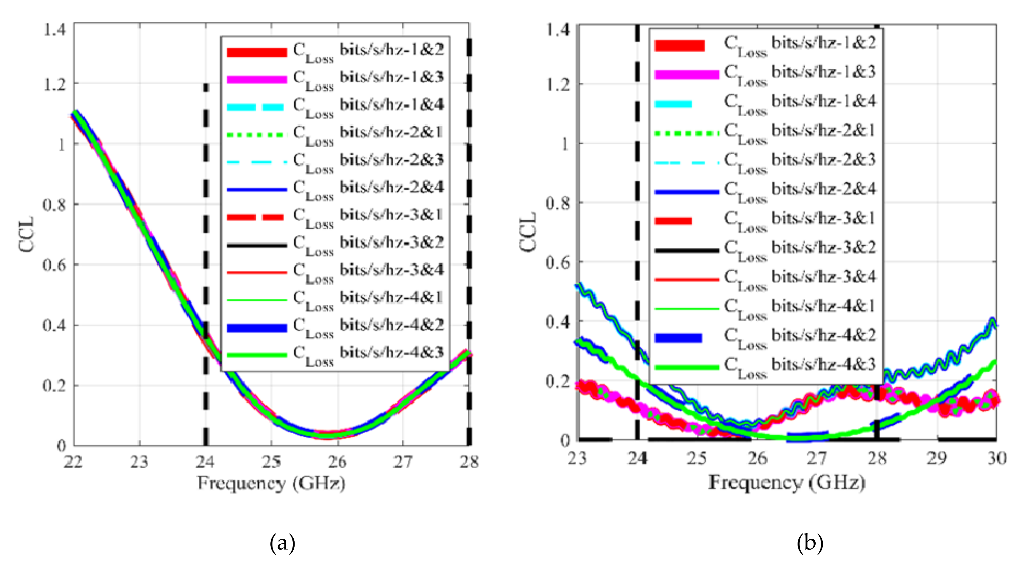
3.4.4. Channel Capacity Loss (CCL)
3.5. Comparative Analysis
4. Conclusions
Author Contributions
Funding
Institutional Review Board Statement
Informed Consent Statement
Data Availability Statement
Acknowledgments
Conflicts of Interest
References
- Global Mobile Suppliers Association. The Road to 5G: Drivers, Applications, Requirements and Technical Development: A GSA Executive Report from Ericsson, Huawei and Qualcomm; Global Mobile Suppliers Association: Farnham, UK, 2015. [Google Scholar]
- Rappaport, T.S.; Sun, S.; Mayzus, R.; Zhao, H.; Azar, Y.; Wang, K.; Wong, G.N.; Schulz, J.K.; Samimi, M.; Gutierrez, F. Millimeter wave mobile communications for 5G cellular: It will work! IEEE Access 2013, 1, 335–349. [Google Scholar] [CrossRef]
- Ghaffar, A.; Li, X.J.; Abbas Awan, W.A.; Iffat Naqvi, S.I.; Hussain, N.; Seet, B.C.; Alibakhshikenari, M.; Falcone, F.; Limiti, E. Design and Realization of a Frequency Reconfigurable Multimode Antenna for ISM, 5G-Sub-6-GHz, and S-Band Applications. Appl. Sci. 2021, 11, 1635. [Google Scholar] [CrossRef]
- Pi, Z.; Khan, F. An introduction to millimeter-wave mobile broadband systems. IEEE Commun. Mag. 2011, 49, 101–107. [Google Scholar] [CrossRef]
- Andrews, J.G.; Buzzi, S.; Choi, W.; Hanly, S.V.; Lozano, A.; Soong, A.C.; Zhang, J.C. What will 5G be? IEEE J. Sel. Areas Commun. 2014, 32, 1065–1082. [Google Scholar] [CrossRef]
- Naqvi, A.H.; Lim, S. Review of recent phased arrays for millimeter-wave wireless communication. Sensors 2018, 18, 3194. [Google Scholar] [CrossRef] [PubMed] [Green Version]
- Salamin, M.A.; Hussain, N.; Le, T.T. A 2 × 1 array-based wideband mm-wave antenna integrated with a 2-element multiple-input-multiple-output antenna for 5G mobile terminals. Int. J. RF Microw. Comput.-Aided Eng. 2021, 31, e22709. [Google Scholar] [CrossRef]
- Jilani, S.F.; Alomainy, A. Millimetre-wave T-shaped MIMO antenna with defected ground structures for 5G cellular networks. IET Microw. Antennas Propag. 2018, 12, 672–677. [Google Scholar] [CrossRef]
- Zaidi, A.; Baghdad, A.; Awan, W.A.; Faleh, S.; Ballouk, A.; Badri, A. Analysis and optimisation of 8× 1 double ‘U’ slotted patch array for future 5G communications. Int. J. Syst. Control Commun. 2020, 11, 305–319. [Google Scholar] [CrossRef]
- Awan, W.A.; Zaidi, A.; Hussain, N.; Khalid, S.; Baghdad, A. Characterization of dual band MIMO antenna for 25 GHz and 50 GHz applications. In Proceedings of the International Conference on Computing, Electronic and Electrical Engineering (ICE Cube), Quetta, Pakistan, 12–13 November 2018; pp. 1–4. [Google Scholar]
- Ding, H.Z.; Jiao, Y.C.; Ni, T. A compact multiband printed antenna for smart-phone applications. Microw. Opt. Technol. Lett. 2015, 57, 2289–2294. [Google Scholar] [CrossRef]
- Li, J.F.; Wu, D.L.; Huang, B.; Wu, Y.J. A LTE smartphone antenna with an internal matching circuit to cover 698--2710 MH z. Microw. Opt. Technol. Lett. 2017, 59, 2405–2411. [Google Scholar] [CrossRef]
- Liang, Y.W.; Zhou, H.M. Small-size LTE/WWAN planar printed antenna for ultrathin smartphone application. Microw. Opt. Technol. Lett. 2015, 57, 2116–2120. [Google Scholar] [CrossRef]
- Khalid, M.; Iffat Naqvi, S.; Hussain, N.; Rahman, M.; Mirjavadi, S.S.; Khan, M.J.; Amin, Y. 4-Port MIMO antenna with defected ground structure for 5G millimeter wave applications. Electronics 2020, 9, 71. [Google Scholar] [CrossRef] [Green Version]
- Iqbal, A.; Basir, A.; Smida, A.; Mallat, N.K.; Elfergani, I.; Rodriguez, J.; Kim, S. Electromagnetic bandgap backed millimeter-wave MIMO antenna for wearable applications. IEEE Access 2019, 7, 111135–111144. [Google Scholar] [CrossRef]
- Ban, Y.L.; Li, C.; Wu, G.; Wong, K.L. 4G/5G Multiple Antennas for Future Multi-Mode Smartphone Applications. IEEE Access 2016, 4, 2981–2988. [Google Scholar] [CrossRef]
- Li, Y.; Luo, Y.; Yang, G. 12-port 5G Massive MIMO antenna array in sub-6GHz mobile handset for LTE bands 42/43/46 applications. IEEE Access 2018, 6, 344–354. [Google Scholar] [CrossRef]
- Hussain, R.; Alreshaid, A.T.; Podilchak, S.K.; Sharawi, M.S. Compact 4G MIMO antenna integrated with a 5G array for current and future mobile handsets. IET Microw. Antennas Propag. 2017, 11, 271–279. [Google Scholar] [CrossRef] [Green Version]
- Ikram, M.; Hussain, R.; Sharawi, M.S. 4G/5G antenna system with dual function planar connected array. IET Microw. Antennas Propag. 2017, 11, 1760–1764. [Google Scholar] [CrossRef]
- Magray, M.I.; Karthikeya, G.S.; Muzaffar, K.; Koul, S.K. Compact Co-design of Conformal 4G LTE and mmWave 5G Antennas for Mobile Terminals. IETE J. Search 2019. [Google Scholar] [CrossRef]
- Naqvi, S.I.; Naqvi, A.H.; Arshad, F.; Riaz, M.A.; Azam, M.A.; Khan, M.S.; Amin, Y.; Loo, J.; Tenhunen, H. An Integrated Antenna System for 4G and Millimeter-Wave 5G Future Handheld Devices. IEEE Access 2019, 7, 116555–116566. [Google Scholar] [CrossRef]
- Kurvinen, J.; Kähkönen, H.; Lehtovuori, A.; Ala-Laurinaho, J.; Viikari, V. Co-Designed mm-Wave and LTE Handset Antennas. IEEE Trans. Antennas Propag. 2018, 67, 1545–1553. [Google Scholar] [CrossRef]
- Iffat Naqvi, S.; Hussain, N.; Iqbal, A.; Rahman, M.; Forsat, M.; Mirjavadi, S.S.; Amin, Y. Integrated LTE and millimeter-wave 5G MIMO antenna system for 4G/5G wireless terminals. Sensors 2020, 20, 3926. [Google Scholar] [CrossRef] [PubMed]
- Balanis, C.A. Antenna Theory: Analysis and Design; John Wiley & Sons: Hoboken, NJ, USA, 2015. [Google Scholar]
- Awan, W.A.; Zaidi, A.; Hussain, N.; Iqbal, A.; Baghdad, A. Stub loaded, low profile UWB antenna with independently controllable notch-bands. Microw. Opt. Technol. Lett. 2019, 61, 2447–2454. [Google Scholar] [CrossRef]
- Hussain, N.; Awan, W.A.; Ali, W.; Naqvi, S.I.; Zaidi, A.; Le, T.T. Compact wideband patch antenna and its MIMO configuration for 28 GHz applications. AEU-Int. J. Electron. Commun. 2021, 132, 153612. [Google Scholar] [CrossRef]
- Zahra, H.; Awan, W.A.; Ali, W.A.; Hussain, N.; Abbas, S.M.; Mukhopadhyay, S. A 28 GHz Broadband Helical Inspired End-Fire Antenna and Its MIMO Configuration for 5G Pattern Diversity Applications. Electronics 2021, 10, 405. [Google Scholar] [CrossRef]























| Name | Value (mm) | Name | Value (mm) |
|---|---|---|---|
| Mid-Band Single and MIMO (4G LTE and Lower 5G) antenna | |||
| Lf | 7.25 | Wslit | 2.2 |
| Warr | 35 | Wf | 4.85 |
| Larr | 17.86 | Ltf | 6.44 |
| Lslit2 | 4.5 | Wslit2 | 0.61 |
| Wg | 41.16 | Lg | 9.25 |
| High-Band Single and MIMO (5G mmWave band) antenna | |||
| Wpm | 5 | Lfm | 2 |
| Lpm | 7.6 | Wfm | 5.25 |
| TFm | 3 | Lpt | 2.6 |
| SW | 0.8 | SL | 0.5 |
| Wmg | 10.25 | Lmg | 10 |
| Gsw | 1.99 | gsl | 3 |
| Integrated MIMO antenna | |||
| Ws | 71.8 | mmW | 56.6 |
| Ls | 151 | mmL | 45 |
| Dist_MIMO | 87.82 | ||
| Sr. No | Frequency (GHz) | Antennas | GAIN (dBi) | |
|---|---|---|---|---|
| Simulated | Measured | |||
| 1 | 3.3 | Antenna-1 | 2.95 | 2.87 |
| Antenna-2 | 2.95 | 2.75 | ||
| 2 | 3.8 | Antenna-1 | 3.06 | 2.86 |
| Antenna-2 | 3.06 | 2.85 | ||
| 3 | 4.8 | Antenna-1 | 4.23 | 3.93 |
| Antenna-2 | 4.23 | 3.83 | ||
| 4 | 5.2 | Antenna-1 | 5.29 | 4.96 |
| Antenna-2 | 5.29 | 4.84 | ||
| 5 | 24.5 | Antenna-3 | 5.18 | 5.09 |
| Antenna-4 | 5.18 | 5.06 | ||
| Antenna-5 | 5.93 | 5.81 | ||
| Antenna-6 | 5.93 | 5.77 | ||
| 6 | 25.5 | Antenna-3 | 6.89 | 6.66 |
| Antenna-4 | 6.89 | 6.55 | ||
| Antenna-5 | 6.99 | 7.66 | ||
| Antenna-6 | 6.99 | 7.56 | ||
| 7 | 26.5 | Antenna-3 | 7.49 | 7.22 |
| Antenna-4 | 7.49 | 7.13 | ||
| Antenna-5 | 7.49 | 7.24 | ||
| Antenna-6 | 7.49 | 7.23 | ||
| 8 | 27.5 | Antenna-3 | 7.69 | 7.54 |
| Antenna-4 | 7.69 | 7.44 | ||
| Antenna-5 | 7.78 | 7.43 | ||
| Antenna-6 | 7.78 | 7.55 | ||
| 9 | 28 | Antenna-3 | 8.52 | 8.38 |
| Antenna-4 | 8.52 | 8.40 | ||
| Antenna-5 | 8.57 | 8.42 | ||
| Antenna-6 | 8.57 | 8.53 | ||
| Figure of Merit | [16] | [17] | [18] | [20] | [21] | [22] | [23] | Proposed |
|---|---|---|---|---|---|---|---|---|
| Mid-Band Antenna | ||||||||
| ECC | <0.4 | <0.15 | 0.0058 | <0.04 | No | No | <0.2 | <0.05 |
| CCL (bits/Hz) | Not provided | Not provided | Not provided | Not provided | Not provided | Not provided | <0.3 | <0.2 |
| Minimum isolation between MIMO antenna elements (dB) | 10 | 11 | 25 | 15 | Not provided | Not provided | 22 | 27.9 |
| Diversity gain(dB) | Not provided | Not provided | Not provided | Not provided | Not provided | Not provided | >9.95 | >9.99 |
| Radiation efficiency (%) | 62–78 | 41–82 | 75 | 75–90 | 71–79 | 50–90 | 71 | 96.3 |
| Gain (dBi) | 3.7 | Not provided | 4.39 | 2.15 | 3.3, 5.4 | Not provided | 5.13 | 5.29 |
| MIMO functionality | Yes | Yes | Yes | Yes | No | No | Yes | Yes |
| mmWave 5G Antenna | ||||||||
| ECC | Not provided | Not provided | Not provided | 0.000001 | No | No | <0.05 | <0.01 |
| CCL | Not provided | Not provided | Not provided | Not provided | Not provided | Not provided | <0.4 | <0.2 |
| Minimum isolation between MIMO antenna elements (dB) | Not provided | Not provided | Not provided | 35 | Not provided | Not provided | 24 | 29 |
| Diversity gain | Not provided | Not provided | Not provided | Not provided | Not provided | Not provided | >9.83 | >9.99 |
| Radiation efficiency (%) | Not provided | Not provided | Not provided | Not provided | 63 | 60–80 | 73 | 86 |
| Gain (dBi) | Not provided | Not provided | 8.2 | 9 | 8.77 | 7 | 9.53 | 8.57 |
| MIMO functionality | No | No | No | Yes | No | No | Yes | Yes |
Publisher’s Note: MDPI stays neutral with regard to jurisdictional claims in published maps and institutional affiliations. |
© 2021 by the authors. Licensee MDPI, Basel, Switzerland. This article is an open access article distributed under the terms and conditions of the Creative Commons Attribution (CC BY) license (https://creativecommons.org/licenses/by/4.0/).
Share and Cite
Khalid, H.; Awan, W.A.; Hussain, M.; Fatima, A.; Ali, M.; Hussain, N.; Khan, S.; Alibakhshikenari, M.; Limiti, E. Design of an Integrated Sub-6 GHz and mmWave MIMO Antenna for 5G Handheld Devices. Appl. Sci. 2021, 11, 8331. https://doi.org/10.3390/app11188331
Khalid H, Awan WA, Hussain M, Fatima A, Ali M, Hussain N, Khan S, Alibakhshikenari M, Limiti E. Design of an Integrated Sub-6 GHz and mmWave MIMO Antenna for 5G Handheld Devices. Applied Sciences. 2021; 11(18):8331. https://doi.org/10.3390/app11188331
Chicago/Turabian StyleKhalid, Hassan, Wahaj Abbas Awan, Musa Hussain, Adeela Fatima, Mudassir Ali, Niamat Hussain, Salahuddin Khan, Mohammad Alibakhshikenari, and Ernesto Limiti. 2021. "Design of an Integrated Sub-6 GHz and mmWave MIMO Antenna for 5G Handheld Devices" Applied Sciences 11, no. 18: 8331. https://doi.org/10.3390/app11188331
APA StyleKhalid, H., Awan, W. A., Hussain, M., Fatima, A., Ali, M., Hussain, N., Khan, S., Alibakhshikenari, M., & Limiti, E. (2021). Design of an Integrated Sub-6 GHz and mmWave MIMO Antenna for 5G Handheld Devices. Applied Sciences, 11(18), 8331. https://doi.org/10.3390/app11188331

