Performance Evaluation of Ground AR Anchor with WebXR Device API
Abstract
:1. Introduction
2. Background Theory
2.1. eXtended Reality
2.2. Augmented Reality
2.3. Using Anchor for Ground Detection
2.4. WebXR Device API
3. Materials and Methods
3.1. Hit-Test
3.2. Experimental Setup
3.2.1. Software Setup
3.2.2. Hardware Setup
3.3. Experimental Environment
3.4. Experimental Method
3.4.1. WebXR Camera Trajectory
3.4.2. WebXR with Checked Pattern
3.4.3. Frames Per Second (FPS)
4. Results and Discussion
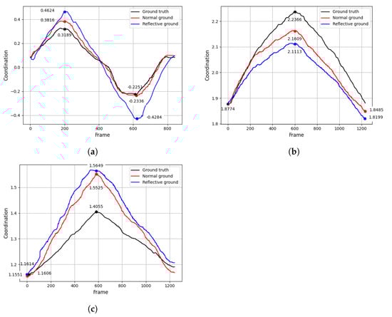
4.1. WebXR Camera Trajectory
4.2. WebXR with Checked Pattern
4.3. 3D Model Rendering FPS Evaluation in WebXR
4.4. Discussion
5. Conclusions
Author Contributions
Funding
Institutional Review Board Statement
Informed Consent Statement
Acknowledgments
Conflicts of Interest
References
- Rodrigues, A.B.; Dias, D.R.C.; Martins, V.F.; Bressan, P.A.; de Paiva Guimarães, M. WebAR: A web-augmented reality-based authoring tool with experience API support for educational applications. In Proceedings of the International Conference on Universal Access in Human-Computer Interaction, Vancouver, BC, Canada, 9–14 July 2017; pp. 118–128. [Google Scholar]
- Neelakantam, S.; Pant, T. Introduction to VR and WebVR. In Learning Web-Based Virtual Reality; Apress: Berkeley, CA, USA, 2017; pp. 1–4. [Google Scholar]
- WebVR API. Available online: https://developer.mozilla.org (accessed on 23 August 2021).
- Jones, B.; Waliczek, N. WebXR device API. W3C Working Draft. This Specification Describes Support for Accessing Virtual Reality (VR) and Augmented Reality (AR) Devices, Including Sensors and Head-Mounted Displays. 2019. Available online: https://www.w3.org/TR/webxr/ (accessed on 1 July 2021).
- Macintyre, B.; Smith, T.F. Thoughts on the Future of WebXR and the Immersive Web. In Proceedings of the 2018 IEEE International Symposium on Mixed and Augmented Reality Adjunct (ISMAR-Adjunct), Munich, Germany, 16–20 October 2018; IEEE: Munich, Germany, 2018. [Google Scholar]
- Shi, S.; Nahrstedt, K.; Campbell, R. A real-time remote rendering system for interactive mobile graphics. ACM Trans. Multimed. Comput. Commun. Appl. 2012, 8, 1–20. [Google Scholar] [CrossRef]
- Azuma, R.T. A Survey of Augmented Reality. Presence: Teleoperators and Virtual Environments. Presence Teleoperators Virtual Environ. 1997, 6, 355–385. [Google Scholar] [CrossRef]
- Azuma, R.; Baillot, Y.; Behringer, R.; Feiner, S.; Julier, S.; MacIntyre, B. Recent advances in augmented reality. IEEE Comput. Graph. Appl. 2001, 21, 34–47. [Google Scholar] [CrossRef] [Green Version]
- Azuma, R. Tracking requirements for augmented reality. Commun. ACM 1993, 36, 50–51. [Google Scholar] [CrossRef]
- Milgram, P.; Takemura, H.; Utsumi, A.; Kishino, F. Augmented reality: A class of displays on the reality-virtuality continuum. In Telemanipulator and Telepresence Technologies; Das, H., Ed.; 1995; pp. 282–292. Available online: https://www.spiedigitallibrary.org/conference-proceedings-of-spie/2351/1/Augmented-reality–a-class-of-displays-on-the-reality/10.1117/12.197321.short?SSO=1 (accessed on 1 July 2021).
- Renius, O. A Technical Evaluation of the WebXR Device API for Developing Augmented Reality Web Applications. Linkoping University, Department of Computer and Information Science, Human-Centered Systems. ISRN: LIU-IDA/LITH-EX-A–19/032–SE. 2019. Available online: http://www.diva-portal.se/smash/get/diva2:1328199/FULLTEXT01.pdf (accessed on 1 July 2021).
- Eisert, P.; Fechteler, P. Low delay streaming of computer graphics. In Proceedings of the 2008 15th IEEE International Conference on Image Processing, San Diego, CA, USA, 12–15 October 2008; pp. 2704–2707. [Google Scholar]
- Duguet, F.; Drettakis, G. Flexible point-based rendering on mobile devices. IEEE Comput. Graph. Appl. 2004, 24, 57–63. [Google Scholar] [CrossRef] [PubMed]
- Baratto, R.A.; Kim, L.N.; Nieh, J. THINC. In Proceedings of the Twentieth ACM Symposium on Operating Systems Principles—SOSP’05, Brighton, UK, 23–26 October 2005; pp. 277–290. [Google Scholar]
- Lamberti, F.; Sanna, A. A Streaming-Based Solution for Remote Visualization of 3D Graphics on Mobile Devices. IEEE Trans. Vis. Comput. Graph. 2007, 13, 247–260. [Google Scholar] [CrossRef] [PubMed]
- Noimark, Y.; Cohen-Or, D. Streaming scenes to MPEG-4 video-enabled devices. IEEE Comput. Graph. Appl. 2003, 23, 58–64. [Google Scholar] [CrossRef]
- Lv, Z.; Yin, T.; Han, Y.; Chen, Y.; Chen, G. WebVR—Web Virtual Reality Engine Based on P2P network. J. Netw. 2011, 6, 990–998. [Google Scholar] [CrossRef]
- Gunkel, S.; Prins, M.; Stokking, H.; Niamut, O. WebVR meets WebRTC: Towards 360-degree social VR experiences. In Proceedings of the 2017 IEEE Virtual Reality (VR), Los Angeles, CA, USA, 18–22 March 2017. [Google Scholar]
- Barsoum, E.; Kuester, F. WebVR: An interactive web browser for virtual environments. In Stereoscopic Displays and Virtual Reality Systems XII; Woods, A.J., Bolas, M.T., Merritt, J.O., McDowall, I.E., Eds.; SPIE: Bellingham, WA, USA, 2005. [Google Scholar]
- OpenXR. Royalty-Free, Open Standard that Provides High-Performance Access to Augmented Reality (AR) and Virtual Reality (VR)—Collectively Known as XR—Platforms and Devices. Available online: https://www.khronos.org/registry/OpenXR/ (accessed on 29 July 2019).
- Parisi, T. WebGL: Up and Running; O’Reilly Media, Inc.: Sebastopol, CA, USA, 2012. [Google Scholar]
- Rego, N.; Koes, D. 3Dmol.js: Molecular visualization with WebGL. Bioinformatics 2014, 31, 1322–1324. [Google Scholar] [CrossRef] [PubMed] [Green Version]
- Angel, E.; Shreiner, D. Interactive Computer Graphics with WebGL; Addison-Wesley Professional: Boston, MA, USA, 2014. [Google Scholar]
- Woo, M.; Neider, J.; Davis, T.; Shreiner, D. OpenGL Programming Guide: The Official Guide to Learning OpenGL; Version 1.2. Pearson Education; Addison-Wesley Longman Publishing Co., Inc.: Boston, MA, USA, 1999. [Google Scholar]
- Lee, J.; Hafeez, J.; Kim, K.; Lee, S.; Kwon, S. A Novel Real-Time Match-Moving Method with HoloLens. Appl. Sci. 2019, 9, 2889. [Google Scholar] [CrossRef] [Green Version]
- Hwang, L.; Ha, S.; Gentet, P.; Lee, J.; Kwon, S.; Lee, S. Verification of an Accommodative Response for Depth Measurement of Floating Hologram Using a Holographic Optical Element. Appl. Sci. 2020, 10, 6788. [Google Scholar] [CrossRef]
- Ha, S.; Hwang, L.; Lee, J.; Gentet, P.; Kwon, S.; Lee, S. A Study on Augmented 3D Display Optimization Based on Holographic Optical Element for High Depth and Magnified Image. Front. Phys. 2021, 9, 218. [Google Scholar] [CrossRef]










| Classification | Information | |
|---|---|---|
| Measurement Tool | Google Development Tool “inspect” | |
| Browser | Google “Chrome”, version 84.0.4147.89 | |
| 3D File Format | .glb | |
| Device | Model | Samsung galaxy Note 20 Ultra (SM-N986) |
| Processor | Qualcomm snapdragon 865+ | |
| RAM | 12 GB | |
| ROM | 256 GB | |
| Display | 3088 × 1440 (496 ppi) Dynamic AMOLED 2X | |
| Sensor | Acceleration Gyro Light Proximity | |
| Network | 5 G Network | |
| OS | Android 10 | |
| GT-WR | GT-SR | |
|---|---|---|
| X-axis (cm) | 0.21 | 0.73 |
| Y-axis (cm) | 0.32 | 0.38 |
| Z-axis (cm) | 0.51 | 0.55 |
| Direction | Front (①) | Left (②) | Right (③) | |
|---|---|---|---|---|
| GT-WR | Mean of Difference image | 0.1926 | 0.7154 | 0.9611 |
| Normalization | 0.0756% | 0.2805% | 0.3770% | |
| GT-SR | Mean of Difference image | 0.2833 | 1.3664 | 1.1958 |
| Normalization | 0.1110% | 0.5358% | 0.4689% |
| Direction | Specified Rate Resolution | Intersection Pixels | Union Pixels | Match Rate (%) | |
|---|---|---|---|---|---|
| WR | Front (①) | 4,446,720 | 57,513 | 62,113 | 92.6 |
| Left (②) | 4,446,720 | 69,283 | 77,936 | 88.9 | |
| Right (③) | 4,446,720 | 78,231 | 88,145 | 88.8 | |
| SR | Front (①) | 4,446,720 | 56,826 | 61,346 | 92.6 |
| Left (②) | 4,446,720 | 62,567 | 90,720 | 69.0 | |
| Right (③) | 4,446,720 | 73,255 | 90,963 | 80.5 | |
Publisher’s Note: MDPI stays neutral with regard to jurisdictional claims in published maps and institutional affiliations. |
© 2021 by the authors. Licensee MDPI, Basel, Switzerland. This article is an open access article distributed under the terms and conditions of the Creative Commons Attribution (CC BY) license (https://creativecommons.org/licenses/by/4.0/).
Share and Cite
Lee, D.; Shim, W.; Lee, M.; Lee, S.; Jung, K.-D.; Kwon, S. Performance Evaluation of Ground AR Anchor with WebXR Device API. Appl. Sci. 2021, 11, 7877. https://doi.org/10.3390/app11177877
Lee D, Shim W, Lee M, Lee S, Jung K-D, Kwon S. Performance Evaluation of Ground AR Anchor with WebXR Device API. Applied Sciences. 2021; 11(17):7877. https://doi.org/10.3390/app11177877
Chicago/Turabian StyleLee, Daehyeon, Woosung Shim, Munyong Lee, Seunghyun Lee, Kye-Dong Jung, and Soonchul Kwon. 2021. "Performance Evaluation of Ground AR Anchor with WebXR Device API" Applied Sciences 11, no. 17: 7877. https://doi.org/10.3390/app11177877
APA StyleLee, D., Shim, W., Lee, M., Lee, S., Jung, K.-D., & Kwon, S. (2021). Performance Evaluation of Ground AR Anchor with WebXR Device API. Applied Sciences, 11(17), 7877. https://doi.org/10.3390/app11177877

