Post-Cyclic Mechanical Behaviors of Undisturbed Soft Clay with Different Degrees of Reconsolidation
Abstract
:1. Introduction
2. Test Samples and Experimental Program
2.1. Test Samples and Soil Properties
2.2. Experimental Equipment
2.3. Experimental Scheme and Procedures
3. Dynamic Characteristics of Soft Clay
4. Post-Cyclic Mechanical Characteristics of Soft Soil
4.1. Stress–Strain Relationship
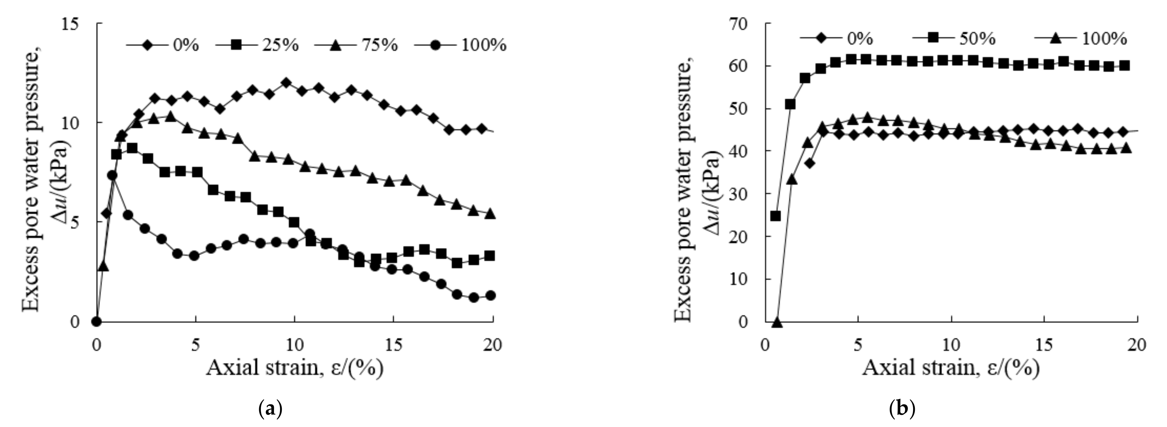
4.2. Excess Pore Water Pressure–Axial Strain Relationship
4.3. Effective Stress Paths
4.4. Analysis of Microstructure
5. Discussion
6. Conclusions
- (1)
- The trends in the stress–strain curves during the post-cyclic shear process under different conditions are similar. Compared with undrained shear strength without cyclic loading, the shear strength after cyclic loading with full reconsolidation increases. Furthermore, with increasing of confining pressure, cyclic stress ratio, and degree of reconsolidation, the undrained shear strength increases. Meanwhile, a critical degree of reconsolidation at which the post-cyclic shear strength equals the static shear strength was found.
- (2)
- The excess pore water pressure increases rapidly at the beginning of the post-cyclic shear process, then decreases with increasing strain, but the excess pore water pressure remains positive during post-cyclic shear. S-shaped effective stress paths are observed, in which the terminal points of effective stress paths cross the CSL line.
- (3)
- The microstructures of undisturbed soil and specimens with different degrees of reconsolidation were ascertained. Compared with the undisturbed soil, the number of pores of post-cyclic specimens increases significantly, and the large, interconnected pores became small and scattered. Furthermore, with increasing degree of reconsolidation, the void ratio of the soil decreases.
- (4)
- The effect of the degree of reconsolidation on the post-cyclic shear strength of soft clay in the Pearl River Estuary is the most significant. The post-cyclic shear strength increases with the increase of degree of reconsolidation. Good drainage conditions will effectively improve the bearing capacity after cyclic loading. The post-cyclic shear strength of the soil without reconsolidation can be reduced by up to 29%. The predicted results obtained using the model proposed by Yasuhara et al. [15,16] match the measured data, implying that the model applies to the prediction of the post-cyclic undrained strength of the soft soil located in the Pearl River Estuary. This study provides a rough reference for the range of post-cyclic shear strength with different degree of reconsolidation compared with the strength without cyclic loading history for the engineering design of soft soil in the Pearl River Estuary.
Author Contributions
Funding
Data Availability Statement
Conflicts of Interest
References
- Wu, T.Y.; Cai, Y.Q.; Guo, L.; Ling, D.S.; Wang, J. Influence of shear stress level on cyclic deformation behaviour of intact Wenzhou soft clay under traffic loading. Eng. Geol. 2017, 228, 61–70. [Google Scholar] [CrossRef]
- Zhao, K.; Xiong, H.; Chen, G.X.; Zhuang, H.Y.; Du, X.L. Cyclic characterization of wave induced oscillatory and residual response of liquefiable seabed. Eng. Geol. 2017, 227, 32–42. [Google Scholar] [CrossRef]
- Hu, X.Q.; Zhang, Y.; Guo, L.; Wang, J.; Cai, Y.Q.; Fu, H.T.; Cai, Y. Cyclic behavior of saturated soft clay under stress path with bidirectional shear stresses. Soil Dyn. Earthq. Eng. 2018, 104, 319–328. [Google Scholar] [CrossRef]
- Li, L.L.; Dan, H.B.; Wang, L.Z. Undrained behavior of natural marine clay under cyclic loading. Ocean Eng. 2011, 38, 1792–1805. [Google Scholar] [CrossRef]
- Soroush, A.; Soltani-Jigheh, H. Pre- and post-cyclic behavior of mixed clayey soils. Can. Geotech. J. 2009, 46, 115–128. [Google Scholar] [CrossRef]
- Gu, C.; Wang, J.; Cai, Y.Q.; Wang, P. Undrained dynamic behaviors of saturated clays under compressive stress paths considering cyclic confining pressure. Chin. J. Geotech. Eng. 2013, 35, 1307–1315. [Google Scholar]
- Yan, S.W.; Liu, R.; Fan, Q.J. Study on the strength weakening of soft clay in Yangtze Estuary under wave-induced loading. In Proceedings of the Geoshanghai International Conference, Shanghai, China, 6–8 June 2006; pp. 76–81. [Google Scholar]
- Moses, G.G.; Rao, S.N. Degradation in cemented marine clay subjected to cyclic compressive loading. Mar. Georesour. Geotechnol. 2003, 21, 37–62. [Google Scholar] [CrossRef]
- Guo, L.; Wang, J.; Cai, Y.Q.; Liu, H.L.; Gao, Y.F.; Sun, H.L. Undrained deformation behavior of saturated soft clay under long-term cyclic loading. Soil Dyn. Earthq. Eng. 2013, 50, 28–37. [Google Scholar] [CrossRef]
- Qian, J.G.; Wang, Y.G.; Yin, Z.Y.; Huang, M.S. Experimental identification of plastic shakedown behavior of saturated clay subjected to traffic loading with principal stress rotation. Eng. Geol. 2016, 214, 29–42. [Google Scholar] [CrossRef]
- Paramasivam, B.; Banerjee, S. Factors affecting post-cyclic undrained shear strength of marine clay. Geotech. Geol. Eng. 2017, 35, 1783–1791. [Google Scholar] [CrossRef]
- Li, T.; Tang, X.; Wang, Z.T. Experimental study on unconfined compressive and cyclic behaviors of mucky silty clay with different clay contents. Int. J. Civ. Eng. 2019, 17, 841–857. [Google Scholar] [CrossRef]
- Andersen, K.H.; Pool, J.H.; Brown, S.F.; Rosenbrand, W.F. Cyclic and static laboratory tests on Drammen clay. J. Geotech. Eng. Div. 1980, 106, 499–529. [Google Scholar] [CrossRef]
- Matsui, T.; Bahr, M.A.; Abe, N. Estimation of shear characteristics degradation and stress-strain relationship of saturated clays after cyclic loading. Soils Found. 1992, 32, 161–172. [Google Scholar] [CrossRef] [Green Version]
- Yasuhara, K.; Hirao, K.; Hyde, A.F.L. Effects of cyclic loading on undrained strength and compressibility of clay. Soils Found. 1992, 32, 100–116. [Google Scholar] [CrossRef] [Green Version]
- Yasuhara, K. Postcyclic undrained strength for cohesive soils. J. Geotech. Eng. 1994, 120, 1961–1979. [Google Scholar] [CrossRef]
- Yasuhara, K.; Murakami, S.; Hyde, A.F.L. Post-cyclic degradation of saturated plasticity silts. Cycl. Behav. Soils Liq. Phenom. 2004, 275–286. [Google Scholar] [CrossRef]
- Erken, A.; Ülker, B.M.C. Effect of cyclic loading on monotonic shear strength of fine-grained soils. Eng. Geol. 2007, 89, 243–257. [Google Scholar] [CrossRef]
- Kaya, Z.; Erken, A. Cyclic and post-cyclic monotonic behavior of Adapazari soils. Soil Dyn. Earthq. Eng. 2015, 77, 83–96. [Google Scholar] [CrossRef]
- Sakai, A.; Samang, L.; Miura, N. Partially-drained cyclic behavior and its application to the settlement of a low embankment road on silty-clay. Soils Found. 2003, 43, 33–46. [Google Scholar] [CrossRef] [Green Version]
- Wang, Z.; Gu, L.; Shen, M.R.; Zhang, F.; Zhang, G.K.; Wang, X. Shear stress relaxation behavior of rock discontinuities with different joint roughness coefficient and stress histories. J. Struct. Geol. 2019, 126, 272–285. [Google Scholar] [CrossRef]
- Tavakoli, H.R.; Shafiee, A.; Jafari, M.K. Post-cyclic undrained behavior of compacted composite clay subjected to various cyclic loading paths. Geotech. Geol. Eng. 2011, 29, 1085–1097. [Google Scholar] [CrossRef]
- Noorzad, R.; Shakeri, M. Effect of silt on post-cyclic shear strength of sand. Soil Dyn. Earthq. Eng. 2017, 97, 133–142. [Google Scholar] [CrossRef]
- Hyde, A.F.L.; Ward, S.J. The effect of cyclic loading on the undrained shear strength of a silty clay. Mar. Georeso. Geotechnol. 1986, 6, 299–314. [Google Scholar] [CrossRef]
- Wang, S.Y.; Luna, R.; Onyejekwe, S. Effect of initial consolidation condition on postcyclic undrained monotonic shear behavior of Mississippi River Valley silt. J. Geotech. Geoenviron. 2016, 142, 04015075. [Google Scholar] [CrossRef]
- Wang, Y.Z.; Lei, J.C.; Gong, X.L.; Wang, Y.C.; Yang, P.B. Post-cyclic undrained shear behavior of marine silty clay under various loading conditions. Ocean Eng. 2018, 158, 152–161. [Google Scholar] [CrossRef]
- Diazrodriguez, J.A. Behavior of Mexico City clay subjected to undrained repeated loading. Can. Geotech. J. 1989, 26, 159–162. [Google Scholar] [CrossRef]
- Pillai, R.J.; Robinson, R.G.; Boominathan, A. Effect of microfabric on undrained static and cyclic behavior of kaolin clay. J. Geotech. Geoenviron. 2011, 37, 421–429. [Google Scholar] [CrossRef]
- Wang, S.Y.; Luna, R.; Zhao, H.H. Cyclic and post-cyclic shear behavior of low-plasticity silt with varying clay content. Soil Dyn. Earthq. Eng. 2015, 75, 115–120. [Google Scholar] [CrossRef]
- Hyde, A.F.L.; Higuchi, T.; Yasuhara, K. Postcyclic recompression, stiffness, and consolidated cyclic strength of silt. J. Geotech. Geoenviron. Eng. 2007, 133, 416–423. [Google Scholar] [CrossRef]
- Leal, A.N.; Kaliakin, V.N. General response observed in cyclically loaded cohesive soils. Cienc. Ing. Neogranad. 2016, 26, 21–39. [Google Scholar] [CrossRef]
- Yasuhara, K.; Murakami, S.; Song, B.W.; Yokokawa, S.; Hyde, A.F.L. Postcyclic degradation of strength and stiffness for low plasticity silt. J. Geotech. Geoenviron. Eng. 2003, 129, 756–769. [Google Scholar] [CrossRef]
- Ashour, M.; Norris, G.; Nguyen, T. Assessment of the undrained response of sands under limited and complete liquefaction. J. Geotech. Geoenviron. Eng. 2009, 135, 1772–1776. [Google Scholar] [CrossRef]
- Wang, S.Y.; Luna, R.; Onyejekvve, S. Postliquefaction behavior of low-plasticity silt at various degrees of reconsolidation. Soil Dyn. Earthq. Eng. 2015, 75, 259–264. [Google Scholar] [CrossRef]
- Yasuhara, K.; Andersen, K.H. Recompression of normally consolidated clay after cyclic loading. Soils Found. 1991, 31, 83–94. [Google Scholar] [CrossRef] [Green Version]
- Wijewickreme, D.; Sanin, M.V. Postcyclic Reconsolidation Strains in Low-Plastic Fraser River Silt due to Dissipation of Excess Pore-Water Pressures. J. Geotech. Geoenviron. Eng. 2010, 136, 1347–1357. [Google Scholar] [CrossRef]
- Wang, Y.Z.; Lei, J.C.; Wang, Y.C.; Li, S.J. Post-cyclic shear behavior of reconstituted marine silty clay with different degrees of reconsolidation. Soil Dyn. Earthq. Eng. 2019, 116, 530–540. [Google Scholar] [CrossRef]
- Ue, S.; Yasuhara, K.; Fujiwara, H. Influence of consolidation period on undrained strength of clays. Ground Constr. Hiroshima Jpn. 1991, 9, 51–62. [Google Scholar]
- Yasuhara, K.; Hyde, A.F.L. Method for estimating postcyclic undrained secant modulus of clays. J. Geotech. Eng. 1997, 123, 204–211. [Google Scholar] [CrossRef]


















| Index Property | Mean Value |
|---|---|
| Natural density, ρ (g/cm3) | 1.67 |
| Coefficient of uniformity, Cu | 15.32 |
| Coefficient of curvature, Cc | 0.71 |
| Free swelling ratio, δef (%) | 9 |
| Natural water content, w (%) | 53.7 |
| Natural void ratio, e | 1.52 |
| Specific gravity, Gs | 2.71 |
| Liquid limit, wL (%) | 50.2 |
| Plasticity limit, wP (%) | 23.7 |
| Plasticity index, IP (%) | 27.2 |
| Coefficient of permeability, K (10−7 cm/s) | 9.80 |
| Coefficient of compressibility, av (MPa−1) | 0.82 |
| Coefficient of static lateral pressure, K0 | 0.44 |
| Cohesion, c (kPa) | 22.7 |
| Friction angle, φ (°) | 6.6 |
| Test No. | p′0 (kPa) | CSR | qampl (kPa) | n | f (Hz) | Ur (%) | Microscopic Tests | Drainage Condition |
|---|---|---|---|---|---|---|---|---|
| CY01 | 20 | 0.25 | 10 | 1000 | 0.1 | 0 | - | Undrained condition |
| CY02 | 20 | 0.25 | 10 | 1000 | 0.1 | 25 | - | |
| CY03 | 20 | 0.25 | 10 | 1000 | 0.1 | 75 | - | |
| CY04 | 20 | 0.25 | 10 | 1000 | 0.1 | 100 | - | |
| CY05 | 40 | 0.25 | 20 | 1000 | 0.1 | 100 | - | |
| CY06 | 60 | 0.25 | 30 | 1000 | 0.1 | 100 | √ | |
| CY07 | 60 | 0.08 | 10 | 1000 | 0.1 | 100 | - | |
| CY08 | 60 | 0.17 | 20 | 1000 | 0.1 | 100 | - | |
| CY09 | 60 | 0.33 | 40 | 1000 | 0.1 | 100 | - | |
| CY10 | 60 | 0.25 | 30 | 1000 | 0.1 | 0 | √ | |
| CY11 | 60 | 0.25 | 30 | 1000 | 0.1 | 50 | √ | |
| ST-20 | 20 | - | - | - | - | - | - | |
| ST-40 | 40 | - | - | - | - | - | - | |
| ST-60 | 60 | - | - | - | - | - | - |
| Test No. | Pore Area (μm2) | Soil Particle Area (μm2) | Void Ratio |
|---|---|---|---|
| Undisturbed | 400 | 2651 | 0.151 |
| CY06 (SEM) | 408 | 2658 | 0.154 |
| CY10 (SEM) | 360 | 2727 | 0.132 |
| CY11 (SEM) | 273 | 2792 | 0.098 |
Publisher’s Note: MDPI stays neutral with regard to jurisdictional claims in published maps and institutional affiliations. |
© 2021 by the authors. Licensee MDPI, Basel, Switzerland. This article is an open access article distributed under the terms and conditions of the Creative Commons Attribution (CC BY) license (https://creativecommons.org/licenses/by/4.0/).
Share and Cite
Lu, Y.; Chen, J.; Huang, J.; Feng, L.; Yu, S.; Li, J.; Ma, C. Post-Cyclic Mechanical Behaviors of Undisturbed Soft Clay with Different Degrees of Reconsolidation. Appl. Sci. 2021, 11, 7612. https://doi.org/10.3390/app11167612
Lu Y, Chen J, Huang J, Feng L, Yu S, Li J, Ma C. Post-Cyclic Mechanical Behaviors of Undisturbed Soft Clay with Different Degrees of Reconsolidation. Applied Sciences. 2021; 11(16):7612. https://doi.org/10.3390/app11167612
Chicago/Turabian StyleLu, Yuan, Jian Chen, Juehao Huang, Libo Feng, Song Yu, Jianbin Li, and Chao Ma. 2021. "Post-Cyclic Mechanical Behaviors of Undisturbed Soft Clay with Different Degrees of Reconsolidation" Applied Sciences 11, no. 16: 7612. https://doi.org/10.3390/app11167612
APA StyleLu, Y., Chen, J., Huang, J., Feng, L., Yu, S., Li, J., & Ma, C. (2021). Post-Cyclic Mechanical Behaviors of Undisturbed Soft Clay with Different Degrees of Reconsolidation. Applied Sciences, 11(16), 7612. https://doi.org/10.3390/app11167612
