Abstract
Molecular magnets are a relatively new class of purely organic or metallo-organic materials, showing magnetism even without an external magnetic field. This interdisciplinary field between chemistry and physics has been gaining increased interest since the 1990s. While bulk molecular magnets are usually hard to build because of their molecular structures, low-dimensional molecular magnets are often easier to construct, down to dot-like (zero-dimensional) structures, which are investigated by different scanning probe technologies. On these scales, new effects such as superparamagnetic behavior or coherent switching during magnetization reversal can be recognized. Here, we give an overview of the recent advances in molecular nanomagnets, starting with single-molecule magnets (0D), typically based on Mn12, Fe8, or Mn4, going further to single-chain magnets (1D) and finally higher-dimensional molecular nanomagnets. This review does not aim to give a comprehensive overview of all research fields dealing with molecular nanomagnets, but instead aims at pointing out diverse possible materials and effects in order to stimulate new research in this broad field of nanomagnetism.
1. Introduction
When thinking about nanomagnets from a physicist’s point of view, usually zero-dimensional (0D) or one-dimensional (1D) magnets will come to mind. Such nanomagnets may be formed, e.g., from the ferromagnets iron, nickel, cobalt, or permalloy, or from the ferrimagnets of magnetite or nickel ferrite, to name just a few [,,,,]. Ferromagnetic materials contain elementary magnets for which a parallel orientation is energetically favored, while ferrimagnets can be imagined as containing two antiparallely oriented ferromagnetic sub-lattices with different magnitudes of magnetization, in this way also resulting in a net magnetization. Diverse shapes can be thought of, from square or round nanodots [,] to magnetic nanowires, e.g., those used in the so-called Racetrack memory [,,], to more complicated shapes, including 3D particles [,,]. Combining different magnetic materials, e.g., a ferromagnetic and an antiferromagnetic one, can result in additional effects as a result of the surface interactions, such as the exchange bias [,,,].
Molecular magnets, in principle, have a similar hierarchy. Starting from single-molecule magnets (SMM) [,,] and single-chain magnets (SCM) [,,], more complex structures are also possible [,,]. In general, molecular nanomagnets can be built without the aforementioned magnetic elements []; however, highly interesting molecular nanomagnets can be created by adding Mn12, Fe8, Mn4, or other metallic elements [,,].
Here, we give a brief overview of the principle of why even purely organic molecules can exhibit ferromagnetism, followed by sections reporting on recent advances in SMMs, SCMs, and other structures prepared from purely organic molecules or containing typical inorganic ions, such as Mn12 and Fe8, concluding with possible applications, e.g., in data storage. The review is organized as follows: Starting with a brief overview of the magnetic anisotropy of metal centers in molecular complexes and magnetic interactions via ligands, we review the most recent findings dealing with SMMs, followed by SCMs. In both sections, the information is ordered according to materials or material classes, respectively. These mainly experimental sections are followed by an overview of the recent theoretical approaches and methods. Finally, the most recent reviews dealing with special fields of molecular magnets are provided for deeper reading.
2. Single-Ion Anisotropies
Single-molecule magnets can be prepared, amongst others, from lanthanides and actinides, such as the lanthanide ion Dy3+, with some lanthanide elements being known to be part of the strongest recently known magnets []. SMMs based on such f-elements can show very high anisotropy barriers, blocking magnetization reversal, and have hysteretic behavior at significantly higher temperatures than other SMMS.
In these SMMs, a strong magnetic anisotropy of the metal center plays the most important role for their magnetic properties. Necessary prerequisites for this are a doubly-degenerate ground state—to reach bistability of the ground state—and a high quantum number ±mj—leading to a high magnetic moment when the ground state is mostly populated []. This is generally the case for Dy(III) ions and, in a strictly axial crystal field symmetry, also for Tb(III) ions. Furthermore, a large separation between this bistable ground state ±mj and the first excited state is necessary, as the energy required for relaxation is often correlated with this separation.
Calculating the 4f electronic structures for lanthanide ions and the corresponding optimum crystal fields, Rinehart and Long theoretically explained the most often used axially-coordinated ligand environment that is optimum for Dy(III), and also suggested using Tm(III) and Yb(III) ions as part of SMMs [].
Design strategies based on crystal-field theory were suggested by Liu et al., who suggested high-performance Ln-based SMMs with very slow magnetization relaxation, and discussed some representative Ln-SMMs with special local symmetries []. However, the authors also mentioned the challenges to realize the practical magnetic characterization of these high-performance SMMs.
The role of the single-ion anisotropy is discussed in the literature by many other authors, e.g., as part of a synergic effect with magnetic exchange interactions [,,].
It should be mentioned that the aforementioned relaxation processes are less well understood in lanthanide-based SMMs than in SMMs containing transition-metal complexes. For Ln-SMMs, multiple relaxation pathways are mentioned, such as the reversal of thermally activated spins at high temperatures and tunnel relaxation at low temperatures, as well as spin-lattice relaxation or field-induced multiple relaxations, with a general tendency to show multiple relaxation processes, as is visible in two-step or even more complicated relaxation processes [].
3. Magnetic Interactions via a Ligand
Generally, magnetic interactions via ligands can be assumed to be similar to those found in inorganic materials. As organic molecules are usually isolating, the magnetic interactions are more localized. In the easiest approach, singly occupied molecular orbitals (i.e., unpaired electrons) inside a molecule are regarded as magnetic orbitals, with their relative orientation being responsible for ferromagnetic or antiferromagnetic coupling [,]. This exchange interaction works directly between unpaired electrons or via a ligand, in this case usually described as a super-exchange interaction. This interaction is depicted in more detail in Figure 1 [].

Figure 1.
Super-exchange coupling between nearest-neighbor 3d orbitals of Ni via the ligands of O2− (2p orbitals). (a) In the case of a 90° angle between Ni-O-Ni, super-exchange results in a ferromagnetic coupling between the orthogonal oxygen 2p orbitals; (b) for an angle of 180° between Ni-O-Ni, an antiferromagnetic coupling occurs due to the nickel and oxygen orbitals overlapping; and (c) geometry of nickel(II) acetylacetonate (Ni(acac)2) molecular magnets. From ref. [], originally published under a CC-BY license.
In addition, a double exchange can occur in mixed valence systems (e.g., metal ions in different oxidation states, such as MnIII and MnIV), describing the fast hopping of unpaired electron between the ions, i.e., delocalization of the valences. This results in a ferromagnetic coupling, as the transferred spin must be parallel to the other Mn4+ spins because of the Pauli principle [,].
4. Single-Molecule Magnets
Probably the most interesting applications of single-molecule magnets are for information storage and spintronic devices. While common magnetic nanoparticles reach the superparamagnetic limit for dimensions below 10–100 nm, single-molecule magnets with transition-metal ions can be used for data storage, while being much smaller []. For the first SMM reported, antiferromagnetic interactions between the spins of MnIV and MnIII ions in the molecule [Mn12O12(CH3COO)16(H2O)4] were found to result in a large spin ground state with the spin quantum number S = 10, and in very long magnetization relaxation times, making such a bistable molecule highly interesting for data storage [,]. It should be mentioned that the coercive fields in this system, measured by hysteresis loops, depend not only on the temperature, but also on the field sweep rate []. Gatteschi et al. attributed the magnetic uniaxial anisotropy of this system to the magnetic anisotropy of the eight Mn+3 in the molecule, which show zero-field splitting due to the Jahn-Teller elongation of some bonds and the spin-orbit interactions []. In this system, hysteresis loops are also modified in comparison with “normal” loops, showing steps at some external magnetic fields due to the resonant tunneling between levels with identical energies in the two energetically favored orientations [,].
Another often investigated complex is Fe8 in the form of the cluster [Fe8O2(OH)12(tacn)6]8+, with (tacn) indicating a macrocyclic ligand. However, here, the relaxation is temperature-independent below a temperature of 0.36 K or 0.4 K, respectively, as opposed to Mn12, because tunneling is only possible between the lowest energy levels, i.e., the levels with magnetic quantum numbers ms = ±10 [,]. Similarly, [Mn4O3Cl(O2CCH3)3(dbm)3] with the mono-anion of dibenzoylmethane dbm− (usually named Mn4) with an S = 9/2 ground state shows a temperature-independent relaxation below a temperature of 0.6 K for the same reason [].
It should be mentioned that, as mentioned in Section 2 and Section 3, the magnetic behavior of these clusters based on Mn12, Mn4, or Fe8 is defined by the magnetic exchange, which is necessary for the high ground state spin. However, for lanthanide-based SMMs, magnetic exchange can even be disadvantageous and is not necessary to create an SMM. This should be taken into account for the lanthanide-based SMMs discussed next.
One disadvantage of the aforementioned single-molecule magnets is their very small blocking temperature, typically below the temperature of liquid helium. Ideally, magnetic properties should be reached above the temperature of liquid nitrogen, i.e., 77 K. This is one of the challenges diverse research groups have been working on during the last decades [].
Recently, Li et al. reported on a relatively large blocking temperature of 9 K found in highly-axial lanthanide SMMs of the form [Dy(Cy3PO)2I3(CH3CN)]. The iodide ions have a large volume and low surface charge density, and serve as weak donors in this six-coordinate neutral molecule. The reduced ligand field strength results in a strongly axial crystal field in this SMM, leading to strong crystal-field splitting and high axial orientation [].
A recipe for higher blocking temperatures was recently proposed by Chiesa et al. They used [Dy(C5Ht2Bu3-1,2,4)2][B(C6F5)4] as a model complex to investigate the relaxation mechanisms that they found based on Orbach, Raman, and quantum tunneling of the magnetization processes, i.e., some of the special relaxation pathways mentioned in Section 2. Based on these results, they could predict these processes’ temperature and field dependencies, showing that suppressing the Raman mechanism is important to increase the blocking temperature. In general, they concluded that a crystal with weakly-interacting rigid molecules was necessary to reach the requirements of the soft acoustic branches and high-energy optical modes [], which was revealed from the phonon density of states (DOS) computed ab initio.
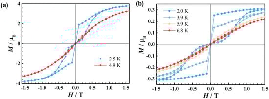
An experimental approach was chosen by Jin et al. They prepared two different disprosiacarboranes, [(C2B9H11)2Dy(THF)2][Na(THF)5] (denoted as 1Dy) and [(THF)3(µ-H)3Li]2[{η5-C6H4(CH2)2C2B9H9}Dy{η2:η5-C6H4(CH2)2C2B9H9}2Li] (named 3Dy), finding opened hysteresis loops up to 6.8 K in the complex 3Dy (Figure 2), i.e., a blocking temperature of 6.8 K and thus above the temperature of liquid helium [].

Figure 2.
Hysteresis loops, measured at different temperatures in the systems (a) 1Dy; (b) 3Dy. Reprinted from [], copyright 2020, with permission from Wiley.
Another approach was chosen by Spree et al. They investigated the fullerene-based SMMs DySc2N@C80 and Dy2ScN@C80, as well as DyLu2N@C80 and Dy2LuN@C80, and found blocking temperatures of 9.5 K (DyLu2N@C80) and 6.9 K (DySc2N@C80), combined with longer relaxation times, while the other complexes showed blocking temperatures of around 8 K []. Nie et al. found similar blocking temperatures of 9 K in the fullerene-based SMM DyErScN@Ih-C80 []. A much higher blocking temperature of 24 K was observed by Velkos et al. in the azafullerene Tb2@C79N [].
Similar blocking temperatures were found by Díaz-Ortega et al. who prepared DyIII single-ion magnets from [Dy(OPCy3)2(H2O)5](CF3SO3)3·2OPCy3 (with OPCy3 = tricyclohexylphosphine oxide) [].
Much higher values were observed by Gould et al. who compared the divalent linear metallocenes Ln(CpiPr5)2 (with Ln = Tb, Dy) with the trivalent ones [Ln(CpiPr5)2][B(C6F5)4], and found longer relaxation times in TbII than in TBIII and longer relaxation times in DyIII than in DyII, and a similar behavior for TbII and DyIII, as could be expected from the identical number of unpaired electrons in the latter. Most importantly, in Tb(CpiPr5)2 they found a high blocking temperature of 52 K [].
Other high blocking temperatures were found, e.g., in [(CpiPr5)Dy(Cp*)]+ with CpiPr5 = penta-iso-propylcyclopentadienyl and Cp* = pentamethylcyclopentadienyl, an SMM for which Guo et al. reported a blocking temperature of 80 K, i.e., even above the temperature of liquid nitrogen [], for the DyIII metallocenium salt [Dy(CpiPr4R)2][B(C6F5)4] for R = Me, i.e., the methyl-substituted complex, with a blocking temperature of 62 K [], or for the metallocenium cation [(Cpttt)2Dy]+ with Cpttt = 1,2,4-tri(tert-butyl)cyclopentadienide, where Guo et al. measured a blocking temperature of 60 K [].
While pure metal SMMs have been investigated in detail [,], metal complexes such as the aforementioned ones are often highly interesting. In particular, 3d-4f metal complexes can add special properties to SMMs, such as a high-spin ground state and a large magnetic anisotropy []. The first SMM containing such a 3d-4f metal complex was [CuII-LTbIII(hfac)2]2 []; other 3d-4f complexes are, e.g., Mn3Ln or Fe3Ln with the lanthanides Gd or Dy []. More generally, typical paramagnetic 3d ions used in such complexes are transition metal ions such as CoII, MnII, MnIII, FeII, FeIII, NiII, and CuII, while 4f ions can be, e.g., lanthanide ions such as DyIII, TbIII, GdIII, or ErIII []. Even diamagnetic 3d metal ions can sometimes be used to create SMMs [].
Recently, Zheng et al. investigated the molecules containing heterometallic (FeDy) complexes with the formulas C50H100Dy2Fe4N10O32 and C40H76Dy2Fe6N12O42. The structures of the complexes showed different bonds when the molecules formed a crystal, thus resulting in different stacking patterns and, correspondingly, different temperature-dependent susceptibilities in different DC fields [].
Hou et al. also investigated Dy compounds, more specifically [Dy(TTA)2L]2 and [Dy(dbm)2L]2 with the β-diketones TTA (2-thenoyltrifluoroacetone) and dbm (dibenzoylmethane), as well as the Schiff base ligand 2-[(4-chlorophenyl)imino]methyl]-8-hydroxyquinoline. While the structures, as depicted in Figure 3, are similar for both compounds, strongly different susceptibilities were also measured [].

Figure 3.
Molecular structures of (a) [Dy(TTA)2L]2; (b) [Dy(dbm)2L]2. Hydrogen atoms are omitted for clarity; abbreviations are given in the main text. Reprinted from [], copyright 2020, with permission from Elsevier.
Generally, many researchers have concentrated on the aforementioned 3d-4f metal complexes. Das et al. recently gave an overview of the structural variety of 3d-4f heterometallic polyoxometalates, including dimers, trimers, and tetramers, and the different polyanions, such as pure 3d-4f polyanions, 3d substituted anions with 4f linkers, 4f substituted anions with 3d linkers, and polyoxometalates with 3d and 4 d linkers. They concentrated not only on the possibilities of using such 3d-4f polyoxometalates as single-molecule or single-ion magnets, but also for applications in catalysis [].
Wang et al. prepared 3d-4f clusters with CoIII2DyIII4 and CoIII2GdIII4, respectively, using chemical reactions and structural X-ray characterization. Their investigations revealed centrosymmetric hexanuclear metallic cores. Interestingly, they found ferromagnetic coupling for the DyIII ions and antiferromagnetic coupling for the GdIII ions, in spite of the othewise identical composition, with the lanthanide ions being coplanar, thus underlining the importance of the choice of the lanthanide []. On the other hand, Dy4 was also reported in similar structures, working as a single-molecule magnet, but with different energy barriers and other physical properties, indicating the importance of the whole molecular structure, even in the case of structures that seemed very similar at first glance [,,]. In these works, the structural single-crystal X-ray diffraction investigations were additionally supported by dc and ac magnetic susceptibility studies [].
In tetranuclear 3d-4f systems containing DyFe(CN)6, TbFe(CN)6, HoFe(CN)6, DyCo(CN)6, TbCo(CN)6, or HoCo(CN)6, respectively, Wang et al. also found differences between the isomorphic compounds. Especially, the complex containing DyFe(CN)6 showed a weak antiferromagnetic interaction between Dy and Fe, and no slow magnetic relaxation above 2 K, which would be typical for an SMM, while this effect was found in the complex containing DyCo(CN)6. Wang et al. attributed this finding to a larger intermolecular Dy-Dy distance for the second complex, based on the diamagnetic properties of the CoIII ion, as opposed to the paramagnetic FeIII ion []. The authors concluded these results from magnetic susceptibility experiments, including real and imaginary parts, as a function of the temperature within the range of 2–20 K. Many other authors investigated these and other lanthanide-hexacyanidometallate SMMs [,,,].
Lun et al. also investigated CoIII2 combined with Dy, using structural characterization, in this case in the complex {[CoIII2Dy3Na(CH3CH2COO)6(OH)6(NO3)4(H2O)2]·H2O}n. They found a trigonal bipyramidal geometry in the Co2Dy3 core and a single-molecule magnetic behavior for the whole complex with an energy barrier of 60.3 K under a zero dc field [].
CoII was investigated by Zhang et al. They prepared 3d-4f heterometallic complexes with CoII2-LnIII2 units, applying Nd, Sm, Eu, Gd, Tb, Dy, and Er as the lanthanides. The structures of the complexes containing Er and all of the other lanthanides are depicted in Figure 4. Interestingly, they found, on the one hand, that the molecular structures of all complexes besides the one containing Er were identical, which was attributed to ErIII being smaller than DyIII. On the other hand, a weak ferromagnetic interaction between the metal ions was found for Gd and Er, while the complex containing Dy again showed field-induced slow magnetic relaxation, typical for SMMs [].

Figure 4.
Molecular structures of the complexes containing (a) CoII2-ErIII2 and (b) CoII2-LnIII2. Hydrogen atoms are omitted for clarity. Reprinted from [], copyright 2020, with permission from Elsevier.
Xi et al. also worked with CoII, in the form of CoII-LnIII with the lanthanides Y, Gd, Tb, Dy, and Ho, and found SMM behavior for the combination with Dy []. In these studies, the magnetic susceptibility method was complemented with fluorescence spectroscopy, revealing the characteristic energy levels of the Tb ions.
Again, another metal, Cr, was used by Yu et al. in different coordination polymers with the basic units of Gd4Cr4, Tb4Cr4, or Er4Cr4. They found a butterfly-like structure of the basic unit and each basic unit was connected with four Ln4Cr4 clusters in a 3D structure resembling a 1D honeycomb []. Apart from standard single-crystal X-ray diffractometry and magnetic susceptibility studies, they employed isothermal thermogravimetry/differential thermal analysis (TG/DTA) experiments to detect the magnetic entropy changes.
With Zn as the metal and Dy, Tb, or Er as the lanthanide, Fan et al. prepared heterometallic complexes with a windmill-like structure and a (Ln3Zn3) core. They found field-induced frequency-dependent signals, measured by field-induced frequency-dependent signals, as a sign of SMM behavior for Dy and Tb, while the Er-based complex showed a slow magnetic relaxation [].
Cu was combined with Dy, Tb, and Gd to prepare the tetranuclear CuII2LnIII2 complexes. These complexes were isostructural and isomorphic, and showed ferromagnetic interactions between CuII and LnIII in all cases, as well as SMM behavior, with CuIIGdIII exhibiting a magneto-caloric effect [].
Quite a different approach was recently chosen by Darii et al., who combined Mn6 clusters with DyIII and a triazine-like ligand to create a large bean-shaped cluster [Mn26Dy6O16(OH)12(O2CCHMe2)42 with MnII, MnIII, and DyIII ions, in this way enabling diverse magnetic interactions and leading to a high-nuclearity Mn-Dy cluster that still exhibits an SMM behavior [].
Multi-decker systems of lanthanides with phthalocyanine molecules have been described by different groups. Gao et al. prepared sandwich-like complexes based on phthalocyanine molecules and a closed-macrocyclic Schiff base of the form [(Pc)2Ln3(L)(OAc)(OCH3)2] (with Ln3+ = Dy3+ or Er3+, H2Pc = phthalocyanine and H2L = closed-macrocyclic Schiff base molecules), and found a single-molecule magnetic behavior in the complex containing dysprosium []. In these sandwich structures, the strong coupling between the lanthanide ions resulted in an important role for the rare earth atom in the SMM properties [], making these multi-decker structures highly interesting for diverse applications [,,].
Going one step further, Patrascu et al. prepared coordination compounds with three different spin carriers (2p, in addition to 3d and 4f), resulting in three different exchange interactions between each pair of spin carriers. By adding a 2p radical (Rad) to gain a three-dimensional CoIIDyIIIRad derivative, they reached slow relaxation below 30 K and attributed the improved magnetic properties mainly to the CoII-Rad interaction [], while ZnIIDyIIIRad showed a significantly lower energy barrier and the linear CoIIDyIIIRad compound showed no SMM behavior at all []. A broad overview of the possible metal centers for single-molecule and single-ion magnets, from 3d and 5d to 4f and 5f, is given in a recent review by Feng and Tong [].
Lunghi et al. performed theoretical investigations that examined the under-barrier relaxation at high temperatures, which prohibited the use of SMMs at room temperature []. While anharmonic phonons were found to be responsible for the previously mentioned effect, spin-phonon coupling led to spin relaxation in the prototypical mononuclear SMM [(tpaPh)Fe]− [,]. Ab initio calculations of single-molecule magnets have been performed by Vonci et al. [] and Gransbury et al. [].
For spin-based devices based on SMMs, controlling the spin relaxation is of the utmost importance. Sorensen et al. reported on the effect of a non-linear to pseudo-linear change in the crystal field symmetry in a dysprosium complex, leaving the residual chemistry unaltered, and found a strong reduction in the tunnel splitting at very low temperatures in the milliKelvin range []. Switching the magnetic anisotropy reversibly was enabled in lanthanide complexes as a function of external magnetic field and temperature [,].
Redox-active tetrathiafulvalene (TTF)-based ligands, on the other hand, allowed for designing coordination lanthanide complexes in different oxidation states, resulting in different magnetic properties for such SMMs []. An overview of such TTF-based ligands is given in [].
Another important parameter for future applications is spin relaxation barriers. In particular, high spin-reversal barriers of 413 cm−1 [] and 450 cm−1 [] were measured in the approximately linear CoII complexes (sIPr)CoNDmp (with sIPr = N-heterocyclic carbene and NDmp = arylimido ligand) and Co(C(SiMe2ONaph)3)2 (with Me = methyl and Naph = naphthyl group), respectively.
5. Single-Chain Magnets
Single-chain magnets (SCMs) have been investigated since the early 2000s [,,,,]. Similar to SMMs, they show a magnetic hysteresis loop and slow relaxation of the magnetization at low temperatures []. It should be mentioned, however, that the slow relaxation dynamics in SCMs are different from the quantum tunneling found in SMMs; here, there are spins in the chain flip, a process that may propagate and even result in collective reversal of short chains []. In this regard, SCMs are much closer to purely inorganic magnetic nanowires or nanostrips, as mentioned in the introduction.
A systematic overview of the possible strategies to prepare such SCMs was given in 2010 by Sun et al. (Figure 5) []. While the ferromagnetic spin arrangement is not often found because of the complex dipole-dipole interactions in the chain, it can still be found in different spin structures, ferromagnetically coupling anisotropic spin carriers. The ferrimagnetic spin state is often more stable, and the first reported SCM also showed ferrimagnetic coupling. Spin-canted chains show a weak ferromagnetic order, and SCMs based on this principle are not often observed []. In this simple approach, interchain interactions, chirality, photo-switchable states or other highly interesting possibilities, have not yet been taken into account [].

Figure 5.
Possible strategies for single-chain magnets. Reprinted from [], copyright 2010, with permission from Wiley.
Nowadays, research on SCMs is, on the one hand, still focused on fully understanding the theoretical basics, and, on the other hand, practical, application-related interests such as high blocking temperatures and very slow relaxation are also being investigated.
Two magnetic phase transitions were found by Nadeem et al. in a Ni4O4-cubane-based network of 1D linear chains of NiII ions, crosslinked via Ni4O4 cubanes. While magnetic ordering occurred below 23.9 K, a structural phase transition was recognized at 2.8 K through the use of susceptibility measurements [].
Another interesting feature was reported by Liu et al. for CoII chains. In the single-chain magnets of Co(hfac)2(R-NapNIT) with R-NapNIT = 2-(2′-(R-)naphthyl)-4,4,5,5-tetramethylimidazoline-1-oxyl-3-oxide and R = MeO or EtO, very large coercive fields were found at low temperatures, i.e., 62 kOe and 65 kOe for both compounds, respectively []. The research group used static and pulsed high-intensity magnetic fields to obtain these results.
Yang et al. prepared azido-bridged homospin coordination polymers based on FeII and CoII, more specifically [Fe2(Bzp)2(N3)4]n and [Co4(Bzp)4(N3)8·(MeOH)2]n, respectively, with bzp = 2-benzoylpyridine, forming neutral chains with azido-bridges. They found ferromagnetic intrachain interactions in both SCMs and broad hysteresis loops []. Cyano-bridges were used to prepare a [Mo(CN)7]4− based SCM in which the magnetic anisotropy stemmed from the anisotropic magnetic exchange of the cyanide ligands of the MoIII units and the MnII spins, resulting in relatively high blocking temperature and large coercive fields of up to 15 kOe []. Jiang et al. also used cyanide bridges in an Fe2Co 4,2-ribbon single-chain magnet []. Several other studies on cyanide-bridged SCMs have been performed by Ohkoshi and Sieklucka with their groups [,,], as well as by other research groups [,,].
Other lanthanides may also offer interesting SCM properties. Yang et al. prepared [LnCu(hfac)5NIT-Ph-p-OCH2trz·0.5C6H14]n with Ln = Er, Ho, Yb, resulting in ladder-like chain structures, as depicted in Figure 6 for the case of Er. Here, inserting Ho into the complex resulted in single-chain magnet behavior, as indicated by the frequency-dependent out-of-phase AC magnetic susceptibility [].

Figure 6.
Crystal packing of [ErCu(hfac)5NIT-Ph-p-OCH2trz·0.5C6H14]n chains. Reprinted from [], copyright 2020, with permission from Elsevier.
In the so-called “butterfly molecule” [Fe3Y(μ3-O)2(CCl3COO)8(H2O)(THF)3], the Fe3+ ions form an Fe3 cluster with a strong intracluster exchange and a S = 5/2 total spin without long-range magnetic ordering down to 20 mK. At low temperatures, a quantum tunneling process was revealed, as is usual in SMMs, and this single-chain magnet was described as combining single-molecule magnetic anisotropy with a spin-spin correlation along the chains [].
Single-chain magnet behavior was also observed, using powder X-ray diffraction, for the Cu-Tb chain complexes [TbCu(hfac)5NIT-Ph-p-OCH2trz·0.5C6H14]n and [LnCu(hfac)5NIT-Ph-p-OCH2trz]n with NIT-Ph-p-OCH2trz = 2-(4-((1H-1,2,4-triazol-1-yl)methoxy)phenyl)-4,4,5,5-tetramethylimidazoline-1-oxyl-3-oxide and hfac = hexafluoroacetylacetonate. While the first complex shows a ladder-chain structure, the second one forms a linear chain. Both of these 2p-3d-4f heterotrispin systems made of chains from nitronyl-nitroxide show a single-chain magnet behavior with a slow magnetic relaxation below 3 K [].
Another shape of the chain was found by Houard et al. in nitronyl-nitroxide organic radical chains. In [Tb(hfac)3NIT-O-Hexyl]n latter structures, with hfac− = hexafluotoacetylacetonate, chiral curled chains were formed, building supramolecular tubes with a diameter of 4.5 nm and large coercive fields, as visible in Figure 7 [].

Figure 7.
The supramolecular nanotube formed by [Tb(hfac)3NIT-O-Hexyl]n chains, showing (top) all atoms; (middle) one chain; (bottom) magnetic backbones only of 11 curled chains forming one nanotube. Reprinted from [], copyright 2020, with permission from Wiley.
Zhang et al. found slow relaxation and the typical temperature-dependent out-of-phase AC magnetic susceptibility pointing out SCM behavior in the chain complexes [Mn2(salen)2(L)](ClO4) and {[Mn(salen)]2(L)2}·Y, with salen = N,N′-bis(salicylidene)-ethylenediamine, L = 3,4,5-trifluorobenzeneseleninic acid, and Y = salicylaldehyde, which is unusual for aromatic selenite-based materials [].
Another unusual SCM was produced by Zhao et al. who prepared homospin CoII ferrimagnetic SCMs in the form of [Co3(L)4(OH)2(H2O)2]n with L = 4-(tetrazol-5-yl)phenyl-4,2′:6′,4′′-terpyridine). These 1D chains exhibited triangular non-uniform chains, bridged by ligands to form a 2D coordination framework. This system showed an SCM behavior with large hysteresis loops and activation energies varying for infinite- or finite-chain regimes []. CoII ions were also included in the 1D coordination polymer [{Co2(pymca)2·(H2O)4}SO4·2H2O]n with pymca = 2-carboxypyrimidine, which showed an SCM behavior below 3 K [], and in CoII metal–organic frameworks with a strong magnetic 1D anisotropy, applying different bridging ligands [].
Besides the aforementioned examples, many other variations of SCMs can be found in the recent literature, based on diverse physical principles, combining a broad variety of materials and shapes. Here, as well as in SMMs, many more highly interesting new findings can be expected in the next years.
6. Theoretical Aspects and Methods
Besides the aforementioned theoretical aspects in the evaluation of new materials and understanding of the measured phenomena, here, a brief overview is given on the recent theoretical aspects and methods used to model molecular magnets.
One of the most interesting problems in molecular magnets is decoherence. Takahashi et al. investigated environmental decoherence and showed that the theory for insulating electronic spin systems could predict environmental decoherence in molecular quantum magnets well, based on phonons, nuclear spins, and intermolecular dipolar interactions []. The theory of environmental decoherence was experimentally first verified in the Fe8 complex by spin-echo measurements and was compared with calculations from the Hamiltonian model used to predict the field splitting []. Decoherence is highly important as it modifies the equations describing the time-dependent evolution of a magnetic moment in a varying magnetic field, i.e., the Landau–Zener expression, which allows for calculating the spin reversal probability in a constantly swept magnetic field [,]. The equation is limited to time scales much smaller than the dephasing time, as pointed out for a single-molecule spin transistor containing the single-ion magnetic molecule TbPc2 (with Pc = phthalocyanine), by comparing the experimental results with calculations based on a Hamiltonion description of the interplay between the time-dependent magnetic field and a constant tunneling term []. Mirzoyan and Hadt used density functional theory (DFT) and time-dependent DFT to calculate decoherence due to spin-phonon coupling in spin ½ transition molecular qubits based on Cu(II) and V(IV), using the ORCA program to generalize the ligand field theory (LFT) and to enable a comparison of the experimental results with those of LFT, DFT, and time-dependent DFT []. A broad overview of such DFT calculations used for SMMs was given by Postnikov et al., who reported on recent interesting systems based on Ni4, Co4, Fe4, Mn10 clusters, and V15, and discussed the anisotropies in different single-molecule magnets []. Taran et al. recently showed that a phenomenological Lindblad operator was suitable to model spin-flip probability for small probing currents for different temperatures, cooling times, and sweeping rates in a diluted crystal of TbPc2 lanthanide single ion molecular magnets []. Spin dephasing was studied by propagation of unitary quantum spin dynamics in a reduced Hilbert space to model spin dephasing in vanadyl-based molecular qubits VO(acac)2 and VO(dmit)2 (with acac = acetylacetonate and dmit = 1,3-dithiole-2-thione-4,5-dithiolate), applying ORCA to compute some not experimentally available parameters []. Hu et al. used the Kubo-Anderson model to connect hyperfine coupling, calculated using DFT, to the coherence time for different vanadyl complexes []. It should be mentioned that besides environmental decoherence, there is also an intrinsic decoherence, which is actually a breakdown of quantum mechanics and is much harder to understand [].
Besides the aforementioned problem of decoherence or coherence time, several more specific questions have risen with respect to molecular magnets and were solved by different theoretical approaches. Liu et al., e.g., used an analytical theory to correlate the tunnel splitting of a single molecular spin with the height of the quantum steps found in the hysteresis loops of the molecular magnets Fe8, Mn12, and Mn4 []. Bhandary et al. combined DFT using the VASP code with second order perturbation theory to calculate a strain-induced spin change in iron porphyrin embedded in a graphene lattice []. Baker et al. used DFT calculations to model different types of magnetic frustration in molecular magnets containing homometallic {Cr9} rings []. Abufager et al. also used DFT calculations by combining VASP, SIESTA, and TRANSIESTA to describe the spin-filtering capacities of the metallo-organic molecule CoFeCp3 (with Cp = cyclopentadienyl) for tunneling, as well as in cases of direct contact []. Vieru et al., however, used ab-initio calculations of Molcas 8.0 combined with SINGLE ANISO and POLY ANISO to understand magnetization blocking in Fe2IIIDy2III molecular magnets, or, more exactly, [Fe2Dy2(OH)2(teaH)2(RC6H4COO)6] complexes, with teaH3 = triethanolamine and R = meta-CN, para-CN, meta-CH3, para-NO2, and para-CH3 []. Besides the aforementioned modules, post-Hartree-Fock ab-initio calculations are nowadays often performed with the modules CASSCF (complete active space self-consistent field), RASSI, and SINGLE-ANISO [,,,,].
Finally, it should be mentioned that several open-source software solutions are available to calculate the magnetic properties of SMMs and SCMs. Mannini et al. [], e.g., report on using NWChem, an open-source solution for large-scale molecular simulations that is well suited for magnetic systems []. Prsa et al. [] used Monte Carlo simulations with the ALPS framework [] to investigate lanthanide-based SMMs. The same software was used by Baniodeh et al. []. Another one is CP2K [], a software used to calculate molecular dynamics, which was used, e.g., by Burgess et al. []. Tandon et al. most recently introduced J2suscep to calculate the magnetism of molecular complexes [], while Smith et al. reported on the open-source ab-initio electronic structure program PSI4 [], and Pronk et al. presented the open source molecular simulation toolkit GROMACS [].
As this short overview shows, most problems are theoretically investigated by DFT calculations, while there are several additional theoretical approaches used in combination with DFT or solely to understand the special experimental findings.
7. Potential Challenges in the Application of Molecular Nanomagnets
The application of molecular magnets means bringing them into an environment with which they can interact via their ligands. In case of using molecular nanomagnets, e.g., as magnetic labels for biosensing or as hyperthermia agents, self-assembling of clusters or chains cannot be excluded under the application of an external magnetic field, which would change magnetic states and magnetization dynamics compared with single molecular nanomagnets. Aggregates may be formed by magnetizable nanoparticles depending on their biological environment, mimicking the surrounding natural tissue properties. Such sometimes desired, sometimes unrequested processes are known from magnetic gels [,,] and have to be taken into account during the development of modern compact medical devices based on molecular nanomagnets [,,].
As Domingo et al. pointed out in their review [], SMMs forming self-assembled monolayers on surfaces show different magnetic properties, particularly different anisotropies and anisotropy axes, compared with the single SMMs that are often theoretically investigated. They describe different studies aimed at orienting the easy magnetization axis of SMM clusters on surfaces, either by self-organization or by partial functionalization through ligand substitution with binding surface groups. This means, on the other hand, that the ligand shell defines the orientation of SMMs on surfaces or during self-assembly in biomedical applications [], so that this parameter has to be taken into account to reach the desired magnetic properties and to avoid possible interference effects between neighboring SMMs in such a cluster, as compared with single SMMs.
8. Recent Trends in Molecular Nanomagnets
Besides the aforementioned topics, which are often related to basic research, some recent trends should be mentioned that are currently in the focus of research in this area, often aiming at multifunctional molecular magnets.
One of these topics is related to luminescent SMMs based on lanthanides for possible application in quantum computing, bio-labeling, or LEDs. Jia et al. recently reviewed the design strategies for such luminescent lanthanide-based SMMs, pointing out the necessary combination of a strongly UV absorbing ligand environment that efficiently populates excited states in the metal ion, with a filled-up coordination sphere of the Ln(III) ions to reduce radiation-less deactivation processes []. Yi et al. investigated the isostructural dimers [Ln(hfac)3(PyNO)]2 (with the lanthanides Eu, Gd, Tb, and Dy) and found luminescence for Eu, Tb, and Dy []. For YbIII, ErIII, and EuIII, Jiménez et al. found luminescence in different mononuclear LnIII complexes []. Wang et al. suggested using a near-infrared emissive SMM as a highly sensitive luminescent thermometer []. A review of luminescent Schiff-base lanthanide SMMs can be found in [].
Other authors have concentrated on the electric properties of SMMs. Long et al. investigated the magneto-electric coupling in a paramagnetic ferroelectric lanthanide complex and found a strong interaction between both electric and magnetic properties, making this material possibly useful for data storage or spintronics applications []. The electro-conductive properties of a Dy(III) double-decker SMM were investigated by Sato et al. and Katoh et al. who found conductivity at temperatures below the spin blocking temperature and magneto-resistance in the form of a magnetic hysteresis curve, possibly enabling the utilization of such systems as spin valves [].
Even ferroelectricity was found in SMMs [,] and SCMs [,].
As this short overview shows, multifunctional molecular nanomagnets enable combining magnetic with different optical or electrical properties, making them highly useful for diverse recent applications.
9. Reviews on Special Sub-Topics
While this review gives an overview of the most recent results in the research on molecular nanomagnets, including SCMs and SMMs, diverse reviews on sub-topics can be found in the literature. For a deeper understanding and further reading, here, we give an overview of some recently published reviews.
Slota and Bogani evaluated how SMMs can be used in molecular spintronics and provided a possibility to combine quantum transport with paramagnetic spectroscopy []. Spin dynamics in SMMs were reviewed by Aravena and Ruiz, focusing on theoretical calculations of the spin relaxation [].
Zhu et al. concentrated on lanthanide ions in SMMs and the effects of different external stimuli, leading to structural transformations and thus magnetic relaxation []. Similarly, Kalita et al. reviewed SMMs based on lanthanide complexes, concentrating on two-coordinate and pentagonal bipyramidal Ln(III) complexes []. Tian and Zheng reviewed molecular wheels containing lanthanides []. Chorazy et al., on the other hand, reviewed octacyanidometallates, not only in terms of their applications as molecular magnets, but also in terms of further functionalities, making them suitable as magnetic coolers, photomagnets, ionic conductors, etc. []. Guan et al. reviewed SMMs based on metallo-fullerenes []. Cyanido-bridged coordination polymers were the focus of a recent review of Reczynski et al., in particular dealing with the possibilities of tuning the optical properties of the corresponding SMMs []. Coronado concentrated on metal–organic frameworks and 2D materials in molecular magnetism []. The special field of molecular transistors in which SMMs can be used was reviewed by Hao et al. [].
Shao and Wang gave a relatively broad overview of high-performance SMMs, from a basic understanding of the principles until recent research from a chemical perspective []. Similarly, Perlepe et al. concentrated on the chemistry of different ligands, but without offering prior basic knowledge [].
10. Conclusions
A review of the most recent developments in single-molecule magnets and single-chain magnets reveals the broad range of the different materials, binding mechanisms, molecular or chain structures, etc., of these classes of molecular nanomagnets, suggesting new findings in the basic research and understanding of the principles of magnetism in these systems. While common inorganic magnets are still better understood than molecular magnets, the latter propose a large field of possible applications that may be enabled by their strongly varying physical properties.
Future directions of research should, on the one hand, aim at investigating more molecular systems in theory and experiments, to develop new SMMs and SCMs with high anisotropy barriers, blocking magnetization reversal, and hysteretic behavior at temperatures higher than room temperature, so as to enable practical utilization in data storage and other applications. On the other hand, the aforementioned multifunctional molecular magnets belong to recent trends that offer even more applications, some of which may not have been taken into account yet.
In general, taking into account the studies published over the last few decades, there is no simpler way to reach these goals than by carefully investigating the parameters of the well-known and newly developed SMMs and SCMs, so as to iteratively improve the desired properties.
We hope that this overview of some of the typical, as well as a few highly special, properties of SMMs and SCMs will inspire more researchers to investigate this fascinating class of materials.
Author Contributions
Conceptualization, T.B. and A.E.; writing—original draft preparation, A.E. and T.B.; writing—review and editing, both authors; visualization, both authors. Both authors have read and agreed to the published version of the manuscript.
Funding
This research received no external funding.
Institutional Review Board Statement
Not applicable.
Informed Consent Statement
Not applicable.
Data Availability Statement
No new data were created in this review paper.
Conflicts of Interest
The authors declare no conflict of interest.
References
- Ding, J.; Adeyeye, A.O. Ni80Fe20/Ni binary nanomagnets for logic applications. Appl. Phys. Lett. 2012, 101, 103117. [Google Scholar] [CrossRef]
- McGuigan, M.; Davenport, J.W.; Glimm, J. Computational approach to finite size and shape effects in iron nanomagnets. J. Magn. Magn. Mater. 2008, 320, 190–196. [Google Scholar] [CrossRef]
- Sharma, N.; van Mourik, R.A.; Yin, Y.; Koopmans, B.; Parkin, S.S.P. Focused-electron-beam-induced-deposited cobalt nanopillars for nanomagnetic logic. Nanotechnology 2016, 27, 165301. [Google Scholar] [CrossRef] [PubMed]
- Morais, P.C.; Lima, E.C.D.; Rabelo, D.; Reis, A.C.; Pelegrini, F. Magnetic resonance of magnetite nanoparticles dispersed in mesoporous copolymer matrix. IEEE Trans. Magn. 2000, 36, 3038–3040. [Google Scholar] [CrossRef]
- Chatterjee, B.K.; Ghosh, C.K.; Chattopadhyay, K.K. Temperature depencence of magnetization and anisotropy in uniaxial NiFe2O4 nanomagnets: Deviations from the Callen-Callen power law. J. Appl. Phys. 2014, 116, 153904. [Google Scholar] [CrossRef]
- Ehrmann, A.; Blachowicz, T. Vortex and double-vortex nucleation during magnetization reversal in Fe nanodots of different dimensions. J. Magn. Magn. Mater. 2019, 475, 727–733. [Google Scholar] [CrossRef]
- Ehrmann, A.; Blachowicz, T. Systematic study of magnetization reversal in square Fe nanodots of varying dimensions in different orientations. Hyperfine Interact. 2018, 239, 8. [Google Scholar] [CrossRef]
- Parkin, S.S.P.; Hayashi, M.; Thomas, L. Magnetic domain-wall racetrack memory. Science 2008, 320, 190–194. [Google Scholar] [CrossRef]
- Blachowicz, T.; Ehrmann, A. Magnetization reversal in bent nanofibers of different cross-sections. J. Appl. Phys. 2018, 124, 152112. [Google Scholar] [CrossRef]
- Kumar, D.; Jin, T.L.; Risi, S.A.; Sbiaa, R.; Lew, W.S.; Piramanayagam, S.N. Domain wall motion control for racetrack memory applications. IEEE Trans. Magn. 2019, 55, 2300708. [Google Scholar] [CrossRef]
- Keller, L.; Al Mamoori, M.K.I.; Pieper, J.; Gspan, C.; Stockem, I.; Schröder, I.; Barth, S.; Winkler, R.; Plank, H.; Pohlit, M.; et al. Direct-write of free-form building blocks for artificial magnetic 3D lattices. Sci. Rep. 2018, 8, 6160. [Google Scholar] [CrossRef]
- Kern, P.; Döpke, C.; Blachowicz, T.; Steblinski, P.; Ehrmann, A. Magnetization reversal in ferromagnetic Fibonacci nano-spirals. J. Magn. Magn. Mater. 2019, 484, 37–41. [Google Scholar] [CrossRef]
- Al Mamoori, M.; Schröder, C.; Keller, L.; Huth, M.; Müller, J. First-order reversal curves (FORCs) of nano-engineered 3D Co-Fe structures. AIP Adv. 2020, 10, 015319. [Google Scholar] [CrossRef]
- Nogués, J.; Schuller, I.K. Exchange Bias. J. Magn. Magn. Mater. 1999, 192, 203–232. [Google Scholar] [CrossRef]
- Schneider, V.; Reinhold, A.; Kreibig, U.; Weirich, T.; Güntherodt, G.; Beschoten, B.; Tillmanns, A.; Krenn, H.; Rumpf, K.; Granitzer, P. Structural and magnetic properties of Ni/NiOxide and Co/CoOxide core/shell nanoparticles and their possible use for ferrofluids. Z. Phys. Chem. 2006, 220, 173–187. [Google Scholar] [CrossRef]
- Tillmanns, A.; Blachowicz, T.; Fraune, M.; Güntherodt, G.; Schuller, I.K. Anomalous magnetization reversal mechanism in unbiased Fe/FeF2 investigated by means of the magneto-optic Kerr effect. J. Magn. Magn. Mater. 2009, 321, 2932–2935. [Google Scholar] [CrossRef]
- Nogués, J.; Sort, J.; Langlais, V.; Skumryev, V.; Surinach, S.; Munoz, J.S.; Baró, M.D. Exchange bias in nanostructures. Phys. Rep. 2005, 422, 65–117. [Google Scholar] [CrossRef]
- Christou, G.; Gatteschi, D.; Hendrickson, D.N.; Sessoli, R. Single-molecule magnets. MRS Bulletin 2000, 25, 66–71. [Google Scholar] [CrossRef]
- Bogani, L.; Wernsdorfer, W. Molecular spintronic using single-molecule magnets. Nat. Mater. 2008, 7, 179–186. [Google Scholar] [CrossRef] [PubMed]
- Sessoli, R.; Powell, A.K. Strategies towards single molecule magnets based on lanthanide ions. Coord. Chem. Rev. 2009, 253, 2328–2341. [Google Scholar] [CrossRef]
- Coulon, C.; Miyasaka, H.; Clérac, R. Single-chain magnets: Theoretical approach and experimental systems. Struct. Bond. 2006, 122, 163–206. [Google Scholar] [CrossRef]
- Sun, H.-L.; Wang, Z.-M.; Gao, S. Strategies towards single-chain magnets. Coord. Chem. Rev. 2010, 254, 1081–1100. [Google Scholar] [CrossRef]
- Böhme, M.; Plass, W. How to link theory and experiment for single-chain magnets beyond the Ising model: Magnetic properties modeled from ab initio calculations of molecular fragments. Chem. Sci. 2019, 10, 9189–9202. [Google Scholar] [CrossRef]
- Wu, B.-Y.; Yang, C.-I.; Nakano, M.; Lee, G.H. Ferromagnetic interaction and slow magnetic relaxation in a Co3 cluster-based three-dimensional framework. Dalton Trans. 2014, 43, 47–50. [Google Scholar] [CrossRef] [PubMed][Green Version]
- Yi, X.H.; Calvez, G.; Daiguebonne, C.; Guillou, O.; Bernot, K. Rational organization of lanthanide-based SMM dimers into three-dimensional networks. Inorg. Chem. 2015, 54, 5213–5219. [Google Scholar] [CrossRef]
- Dutta, D.; Lefkidis, G.; Hübner, W. Role of the static correlations on the ultrafast spin dynamics of 3d molecular nano-magnets. Phys. Scr. 2020, 95, 065805. [Google Scholar] [CrossRef]
- Takahashi, M.; Turek, P.; Nakazawa, Y.; Tamura, M.; Nozawa, K.; Shiomi, D.; Ishikawa, M.; Kinoshita, M. Discovery of a quasi-1D organic ferromagnet, p-NPNN. Phys. Rev. Lett. 1992, 69, 1290. [Google Scholar] [CrossRef]
- Mertes, K.M.; Suzuki, Y.; Sarachik, M.P.; Myasoedov, Y.; Shtrikman, H.; Zeldov, E.; Rumberger, E.M.; Hendrickson, D.N.; Christou, G. Mn12-acetate: A prototypical single molecule magnet. Solid State Commun. 2003, 127, 131–139. [Google Scholar] [CrossRef]
- Murrie, M. Cobalt(II) single-molecule magnets. Chem. Soc. Rev. 2010, 39, 1986–1995. [Google Scholar] [CrossRef]
- Cirillo, G.A.; Turvani, G.; Graziano, M. A quantum computation model for molecular nanomagnets. IEEE Trans. Nanotechnol. 2019, 18, 1027–1039. [Google Scholar] [CrossRef]
- Rinehart, J.D.; Long, J.R. Exploiting single-ion anisotropy in the design of f-element single-molecule magnets. Chem. Sci. 2011, 2, 2078–2085. [Google Scholar] [CrossRef]
- Liu, J.-L.; Chen, Y.-C.; Tong, M.-L. Symmetry strategies for high performance lanthanide-based single-molecule magnets. Chem. Soc. Rev. 2018, 47, 2431–2453. [Google Scholar] [CrossRef] [PubMed]
- Xue, S.F.; Guo, Y.-N.; Ungur, L.; Tang, J.K.; Chibotaru, L.F. Tuning the magnetic interactions and relaxation dynamics of Dy2 single-molecule magnets. Chem. Eur. J. 2015, 21, 14099–14106. [Google Scholar] [CrossRef]
- Gupta, T.; Beg, M.F.; Rajaraman, G. Role of single-ion anisotropy and magnetic exchange interactions in suppressing zero-field tunneling in {3d-4f} single molecule magnets. Inorg. Chem. 2016, 55, 11201–11215. [Google Scholar] [CrossRef] [PubMed]
- Zhang, L.; Zhang, Y.-Q.; Zhang, P.; Zhao, L.; Guo, M.; Tang, J.K. Single-molecule magnet behavior enhanced by synergic effect of single-ion anisotropy and magnetic interactions. Inorg. Chem. 2017, 56, 7882–7889. [Google Scholar] [CrossRef]
- Guo, Y.-N.; Xu, G.-F.; Guo, Y.; Tang, J.K. Relaxation dynamics of dysprosium(III) single molecule magnets. Dalton Trans. 2011, 40, 9953–9963. [Google Scholar] [CrossRef]
- Slater, J.C. Average energy of states of given multiplicities in atoms. Phys. Rev. 1968, 165, 655. [Google Scholar] [CrossRef]
- Kahn, O.; Briat, B. Exchange interaction in polynuclear complexes. Part 1. Principles, model and application to the binuclear complexes of chromium. J. Chem. Soc. Faraday Trans. 2 Mol. Chem. Phys. 1976, 72, 268–281. [Google Scholar] [CrossRef]
- Domanov, O.; Weschke, E.; Saito, T.; Peterlik, H.; Pichler, T.; Eisterer, M.; Shiozawa, H. Exchange coupling in a frustrated trimetric molecular magnet reversed by a 1D nano-confinement. Nanoscale 2019, 11, 10615–10621. [Google Scholar] [CrossRef]
- Anderson, P.W.; Hasegawa, H. Considerations on double exchange. Phys. Rev. 1955, 100, 675. [Google Scholar] [CrossRef]
- Borras-Almenar, J.J.; Clemente-Juan, J.M.; Coronado, E.; Mirovitskii, V.Y.; Palii, A.V.; Tsukerblat, B.S. Double exchange in orbitally degenerate mixed valence clusters: Magnetic anisotropy, vibronic effects. In Vibronic Interactions: Jahn-Teller Effect in Crystals and Molecules; Kaplan, M.D., Zimmerman, G.O., Eds.; Springer: Dordrecht, The Netherlands, 2001; Volume 39, pp. 111–122. [Google Scholar]
- Aubin, S.M.J.; Wemple, M.W.; Adams, D.M.; Tsai, H.-L.; Christou, G.; Hendrickson, D.N. Distorted MnIVMnIII3 Cubane complexes as single-molecule magnets. J. Am. Chem. Soc. 1996, 118, 7746–7754. [Google Scholar] [CrossRef]
- Sessoli, R.; Gatteschi, D.; Caneschi, A.; Novak, M.A. Magnetic bistability in a metal-ion cluster. Nature 1993, 365, 141–143. [Google Scholar] [CrossRef]
- Aubin, S.M.J.; Sun, Z.M.; Pardi, L.; Krzystek, J.; Folting, K.; Brunel, L.-C.; Rheingold, A.L.; Christou, G.; Hendrickson, D.N. Reduced anionic Mn12 molecules with half-integer ground states as single-molecule magnets. Inorg. Chem. 1999, 38, 5329–5340. [Google Scholar] [CrossRef]
- Gatteschi, D.; Sessoli, R.; Cornia, A. Single-molecule magnets based on iron(III) oxo clusters. Chem. Commun. 2000, 2000, 725–732. [Google Scholar] [CrossRef]
- Friedman, J.R.; Sarachik, M.P.; Tejada, J.; Maciejewski, J.; Ziolo, R. Steps in the hysteresis loops of a high-spin molecule. J. Appl. Phys. 1996, 79, 6031. [Google Scholar] [CrossRef]
- Friedman, J.R.; Sarachik, M.P.; Tejada, J.; Ziolo, R. Macroscopic measurement of resonant magnetization tunneling in high-spin molecules. Phys. Rev. Lett. 1996, 76, 3830. [Google Scholar] [CrossRef] [PubMed]
- Wernsdorfer, W.; Sessoli, R.; Caneschi, A.; Gatteschi, D.; Cornia, A.; Mailly, D. Landau-Zener method to study quantum phase interference of Fe8 molecular nanomagnets. J. Appl. Phys. 2000, 87, 5481. [Google Scholar] [CrossRef]
- Sangregoria, C.; Ohm, T.; Paulsen, C.; Sessoli, R.; Gatteschi, D. Quantum Tunneling of the magnetization in an iron cluster nanomagnet. Phys. Rev. Lett. 1997, 78, 4645. [Google Scholar] [CrossRef]
- Aubin, S.M.J.; Dilley, N.R.; Pardi, L.; Krzystek, J.; Wemple, M.W.; Brunel, L.C.; Maple, M.B.; Christou, G.; Hendrickson, D.N. Resonant magnetization tunneling in the trigonal pyramidal MnIVMnIII3 complex [Mn4O3Cl(O2CCH3)3(dbm)3. J. Am. Chem. Soc. 1998, 120, 4991–5004. [Google Scholar] [CrossRef]
- Shao, D.; Wang, X.Y. Development of single-molecule magnets. Chin. J. Chem. 2020, 38, 1005–1018. [Google Scholar] [CrossRef]
- Li, M.; Wu, H.P.; Xia, Z.Q.; Ungur, L.; Liu, D.; Chibotaru, L.F.; Ke, H.S.; Chen, S.P.; Gao, S.L. An inconspicuous six-coordinate neutral DyIII single-ion magnet with remarkable magnetic anisotropy and stability. Inorg. Chem. 2020, 59, 7158–7166. [Google Scholar] [CrossRef]
- Chiesa, A.; Cugini, F.; Hussain, R.; Macaluso, E.; Allodi, G.; Garlatti, E.; Giansiracusa, M.; Goodwin, C.A.P.; Ortu, F.; Reta, D.; et al. Understanding magnetic relaxation in single-ion magnets with high blocking temperature. Phys. Rev. B 2020, 101, 174402. [Google Scholar] [CrossRef]
- Jin, P.B.; Zhai, Y.Q.; Yu, K.X.; Winpenny, R.E.P.; Zheng, Y.Z. Dysprosiacarboranes as organometallic single-molecule magnets. Angew. Chem. Int. Ed. 2020, 59, 9350–9354. [Google Scholar] [CrossRef]
- Spree, L.; Schlesier, C.; Kostanyan, A.; Westerström, R.; Greber, T.; Büchner, B.; Avdoshenko, S.M.; Popov, A.A. Single-Molecule Magnets DyM2N@C80 and Dy2MN@C80 (M = Sc, Lu): The Impact of Diamagnetic Metals on Dy3+ Magnetic Anisotropy, Dy⋅⋅⋅Dy Coupling, and Mixing of Molecular and Lattice Vibrations. Chem. Eur. J. 2020, 26, 2436–2449. [Google Scholar] [CrossRef] [PubMed]
- Nie, M.Z.; Xiong, J.; Zhao, C.; Meng, H.B.; Zhang, K.; Han, Y.B.; Li, J.; Wang, B.W.; Feng, L.; Wang, C.R.; et al. Luminescent single-molecule magnet of metallofullerene DyErScN@Ih-C80. Nano Res. 2019, 12, 1727–1731. [Google Scholar] [CrossRef]
- Velkos, G.; Krylov, D.S.; Kirkpatrick, K.; Spree, L.; Dubrovin, V.; Büchner, B.; Avdoshenko, S.M.; Bezmelnitsyn, V.; Davis, S.; Faust, P.; et al. High Blocking Temperature of Magnetization and Giant Coercivity in the Azafullerene Tb-2@C79N with a Single-Electron Terbium-Terbium Bond. Angew. Chem. Int. Ed. 2019, 58, 5891–5896. [Google Scholar] [CrossRef] [PubMed]
- Díaz-Orgeta, I.F.; Herrera, J.M.; Dey, S.; Nojiri, H.; Rajaraman, G.; Colacio, E. The effect of the electronic structure and flexibility of the counteranions on magnetization relaxation in [Dy(L)2(H2O)5]3+ (L = phosphine oxide derivative) pentagonal bipyramidal SIMs. Inorg. Chem. Front. 2020, 7, 689–699. [Google Scholar] [CrossRef]
- Gould, C.A.; McClain, K.R.; Yu, J.M.; Groshens, T.J.; Furche, F.; Harvey, B.G.; Long, J.R. Synthesis and Magnetism of Neutral, Linear Metallocene Complexes of Terbium(II) and Dysprosium(II). J. Am. Chem. Soc. 2019, 141, 12967–12973. [Google Scholar] [CrossRef] [PubMed]
- Guo, F.S.; Day, B.M.; Chen, Y.C.; Tong, M.L.; Mansikkamaki, A.; Layfield, R.A. Magnetic hysteresis up to 80 Kelvin in a dysprosium metallocene single-molecule magnet. Science 2018, 362, 1400–1403. [Google Scholar] [CrossRef]
- McClain, K.R.; Gould, C.A.; Chakarawet, K.; Teat, S.J.; Groshens, T.J.; Long, J.R.; Harvey, B.G. High-temperature magnetic blocking and magneto-structural correlations in a series of dysprosium(III) metallocenium single-molecule magnets. Chem. Sci. 2018, 9, 8492–8503. [Google Scholar] [CrossRef]
- Guo, F.-S.; Day, B.M.; Chen, Y.-C.; Tong, M.-L.; Mansikkamäki, A.; Layfield, R.A. A Dysprosium metallocene single molecule magnet functioning at the axial limit. Angew. Chem. Int. Ed. 2017, 56, 11445. [Google Scholar] [CrossRef]
- Goodwin, C.A.P.; Ortu, F.; Reta, D.; Chilton, N.F.; Mills, D.P. Molecular magnetic hysteresis at 60 Kelvin in dysprosocenium. Nature 2017, 548, 439–442. [Google Scholar] [CrossRef]
- Feltham, H.L.C.; Clérac, R.; Ungur, L.; Chibotaru, L.F.; Powell, A.K.; Brooker, S. By design: A macrocyclic 3d-4f single-molecule magnet with quantifiable zero-field slow relaxation of magnetization. Inorg. Chem. 2013, 52, 3236–3240. [Google Scholar] [CrossRef]
- Osa, S.; Kido, T.; Matsumoto, N.; Re, N.; Pochaba, A.; Mrozinski, J. A tetranuclear 3d-4f single molecule magnet: [CuIILTbIII(hfac)2]2. J. Am. Chem. Soc. 2004, 126, 420–421. [Google Scholar] [CrossRef]
- Chilton, N.F.; Langley, S.K.; Moubaraki, B.; Murray, K.S. Synthesis, structural and magnetic studies of an isostructural family of mixed 3d/4f tetranuclear “star” clusters. Chem. Commun. 2010, 46, 7787–7789. [Google Scholar] [CrossRef]
- Dey, A.; Acharya, J.; Chandrasekhar, V. Heterometallic 3d-4f complexes as single-molecule magnets. Chem. Asian J. 2019, 14, 4433–4453. [Google Scholar] [CrossRef]
- Chakraborty, A.; Goura, J.; Kalita, P.; Swain, A.; Rajaraman, G.; Chandrasekhar, V. Heterometallic 3d-4f single molecule magnets containing diamagnetic metal ions. Dalton Trans. 2018, 47, 8841–8864. [Google Scholar] [CrossRef]
- Zheng, F.-W.; Chen, H.-T.; Li, D.-J.; Han, F.-J.; Yang, L. Two types of {FeDy} heterometallic complexes containing Fe4 structure: Carboxylate derivatives effect on the structures and magnetic properties. J. Clust. Sci. 2020, 32, 461–467. [Google Scholar] [CrossRef]
- Hou, Y.L.; Yang, T.T.; Zhao, W.X.; Fan, C.J.; Yan, L.L.; Guan, X.F.; Ji, J.; Wang, W.M. Modulating SMM behaviors in phenoxo-O bridged Dy2 compounds via different β-diketonate. Inorg. Chim. Act. 2020, 507, 119595. [Google Scholar]
- Das, V.; Kaushik, R.; Hussain, F. Heterometallic 3d-4f polyoxometalates: An emerging field with structural diversity to multiple applications. Coord. Chem. Rev. 2020, 413, 213271. [Google Scholar] [CrossRef]
- Wang, Y.Y.; Du, C.Y.; Zhao, L.H.; Zhang, X.; Wang, D.H.; Sha, J.Q.; Zhang, H.F. Two hexanuclear [Co2III-Ln4III] clusters including a [Co2III-Dy4III] single molecule magnet. Inorg. Chem. Commun. 2020, 116, 107913. [Google Scholar] [CrossRef]
- Xue, S.F.; Zhao, L.; Guo, Y.-N.; Deng, R.P.; Guo, Y.; Tang, J.K. A series of tetranuclear lanthanide complexes comprising two edge-sharing triangular units with field-induced slow magnetic relaxation for Dy4 species. Dalton Trans. 2011, 40, 8347–8352. [Google Scholar] [CrossRef]
- Feuersenger, J.; Prodius, D.; Mereacre, V.; Clérac, R.; Anson, C.E.; Powell, A.K. Synthesis, structure and magnetic properties of hexanuclear CoIII-LnIII clusters. Polyhedron 2013, 66, 257–263. [Google Scholar] [CrossRef]
- Wang, Y.Y.; Ma, Y.Q.; Liu, R.; Yang, L.L.; Tian, G.G.; Shen, N. Tetranuclear complexes with {M 4O4} (M = CoII, NiII) Cubane-Like Core: Synthesis, Crystal Structure, and Magnetic Properties. Z. Anorg. Allg. Chem. 2016, 642, 546–550. [Google Scholar] [CrossRef]
- Wang, R.R.; Wang, H.L.; Wang, J.; Bai, F.F.; Ma, Y.; Li, L.C.; Wang, Q.L.; Zhao, B.; Cheng, P. The different magnetic relaxation behaviors in [Fe(CN)6]3− or [Co(CN)6]3− bridged 3d–4f heterometallic compounds. CrystEngComm 2020, 22, 2998–3004. [Google Scholar] [CrossRef]
- Liu, Y.; Chen, Y.-C.; Liu, J.; Chen, W.-B.; Huang, G.-Z.; Wu, S.-G.; Wang, J.; Liu, J.-L.; Tong, M.-L. Cyanometallate-bridged didysprosium single-molecule magnets constructed with single-ion magnet building block. Inorg. Chem. 2020, 59, 687–694. [Google Scholar] [CrossRef]
- Yin, Y.; Wang, J.H.; Zychowicz, M.; Zakrzewski, J.J.; Nakabayashi, K.; Sieklucka, B.; Chorazy, S.; Ohkoshi, S.-I. Dehydration-hydration switching of single-molecule magnet behavior and visible photoluminescence in a cyanide-bridged DyIIICoIII framework. J. Am. Chem. Soc. 2019, 141, 18211–18220. [Google Scholar]
- Zakrzewski, J.J.; Liberka, M.; Zychowicz, M.; Chorazy, S. Diverse physical functionalities of rare-earth hexacyanidometallate frameworks and their molecular analogues. Inorg. Chem. Front. 2021, 8, 452–483. [Google Scholar] [CrossRef]
- Babeshkin, K.A.; Gavrikov, A.V.; Petrosyants, S.P.; Ilyukhin, A.B.; Belova, E.V.; Efimov, N.N. Unexpected supremacy of non-dysprosium single-ion magnets within a series of isomorphic lanthanide cyanocobaltate(III) complexes. Eur. J. Inorg. Chem. 2020, 2020, 4380–4390. [Google Scholar] [CrossRef]
- Lun, H.-J.; Kong, X.-J.; Long, L.-S.; Zheng, L.-S. Trigonal bipyramidal CoIII2Dy3 cluster exhibiting single-molecule magnet behavior. Dalton Trans. 2020, 49, 2421–2425. [Google Scholar] [CrossRef]
- Zhang, J.-W.; Li, W.-H.; Wang, C.-R.; Liu, B.-Q.; Dong, Y.-P. A series of linear CoII2LnIII2 clusters derived from 3,4-dichlorobenzoate and 2,2′-bipyridine: Syntheses, structures, and properties. Inorg. Chim. Acta 2020, 502, 119343. [Google Scholar] [CrossRef]
- Xi, L.; Sun, J.; Wang, K.; Lu, J.; Jing, P.; Li, L.C. Slow magnetic relaxation in CoII–LnIII heterodinuclear complexes achieved through a functionalized nitronyl nitroxide biradical. Dalton Trans. 2020, 49, 1089–1096. [Google Scholar] [CrossRef]
- Yu, Y.Z.; Pan, X.X.; Cui, C.H.; Luo, X.M.; Li, N.F.; Mei, H.; Xu, Y. A Series Three-Dimensional Ln4Cr4 (Ln = Gd, Tb, Er) Heterometallic Cluster-Based Coordination Polymers Containing Interesting Nanotubes Exhibiting High Magnetic Entropy. Inorg. Chem. 2020, 59, 5593–5599. [Google Scholar] [CrossRef]
- Fan, X.-T.; Yang, H.; Li, D.-C.; Tian, H.-Q.; Cao, F.; Dou, J.-M. Three new heterometallic ZnII–LnIII complexes with a windmill-like framework and field-induced SMM behavior. New J. Chem. 2020, 44, 2555–2560. [Google Scholar] [CrossRef]
- Maity, S.; Mondal, A.; Konar, S.; Ghosh, A. The role of 3d–4f exchange interaction in SMM behaviour and magnetic refrigeration of carbonato bridged Cu II2Ln III2 (Ln = Dy, Tb and Gd) complexes of an unsymmetrical N2O4 donor ligand. Dalton Trans. 2019, 48, 15170–15183. [Google Scholar] [CrossRef]
- Darii, M.; Kravtsov, V.C.; Krämer, K.; Hauser, J.; Decurtins, S.; Liu, S.-X.; Affronte, M.; Baca, S.G. Aggregation of a Giant Bean-like {Mn26Dy6} Heterometallic Oxo-Hydroxo-Carboxylate Nanosized Cluster from a Hexanuclear {Mn6} Precursor. Cryst. Growth Des. 2020, 20, 33–38. [Google Scholar] [CrossRef]
- Gao, F.; Feng, X.W.; Yang, L.; Chen, X.Y. New sandwich-type lanthanide complexes based on closed-macrocyclic Schiff base and phthalocyanine molecules. Dalton Trans. 2016, 45, 7476–7482. [Google Scholar] [CrossRef]
- Li, Z.G.; Gao, F.; Xiao, Z.G.; Wu, X.Z.; Zuo, J.L.; Song, Y.L. Nonlinear optical properties and excited state dynamics of sandwich-type mixed (phthalocyaninato)(Schiff-base) triple-decker complexes: Effect of rare earth atom. Opt. Laser Technol. 2018, 103, 42–47. [Google Scholar] [CrossRef]
- Wang, H.L.; Cao, W.; Liu, T.; Duan, C.Y.; Jiang, J.H. Synthesis, Structure, and Single-Molecule Magnetic Properties of Rare-Earth Sandwich Complexes with Mixed Phthalocyanine and Schiff Base Ligands. Chem. Eur. J. 2013, 19, 2266–2270. [Google Scholar] [CrossRef]
- Suzuki, A.; Oku, T. Effects of central metal on electronic structure, magnetic properties, infrared and Raman spectra of double-decker phthalocyanine. Appl. Surf. Sci. 2016, 380, 127–134. [Google Scholar] [CrossRef]
- Sato, T.; Matsuzawa, S.; Kato, K.; Breedlove, B.K.; Yamashita, M. Relationship between the Coordination Geometry and Spin Dynamics of Dysprosium(III) Heteroleptic Triple-Decker Complexes. Magnetochemistry 2019, 5, 65. [Google Scholar] [CrossRef]
- Patrascu, A.A.; Briganti, M.; Soriano, S.; Clancea, S.; Cassaro, R.A.A.; Totti, F.; Vaz, M.G.F.; Andruh, M. SMM Behavior Tuned by an Exchange Coupling LEGO Approach for Chimeric Compounds: First 2p–3d–4f Heterotrispin Complexes with Different Metal Ions Bridged by One Aminoxyl Group. Inorg. Chem. 2019, 58, 13090–13101. [Google Scholar] [CrossRef]
- Patrascu, A.A.; Calancea, S.; Briganti, M.; Soriano, S.; Madalan, A.M.; Cassaro, R.A.A.; Caneschi, A.; Totti, F.; Vaz, M.G.F.; Andruh, M. A chimeric design of heterospin 2p–3d, 2p–4f, and 2p–3d–4f complexes using a novel family of paramagnetic dissymmetric compartmental ligands. Chem. Commun. 2017, 53, 6504–6507. [Google Scholar] [CrossRef]
- Feng, M.; Tong, M.L. Single ion magnets from 3d to 5f: Developments and strategies. Chem. A Eur. J. 2018, 24, 7574–7594. [Google Scholar] [CrossRef] [PubMed]
- Lunghi, A.; Totti, F.; Sessoli, R.; Sanvito, S. The role of anharmonic phonons in under-barrier spin relaxation of single molecule magnets. Nat. Commun. 2017, 8, 14620. [Google Scholar] [CrossRef]
- Lunghi, A.; Totti, F.; Sanvito, S.; Sessoli, R. Intra-molecular origin of the spin-phonon coupling in slow-relaxing molecular magnets. Chem. Sci. 2017, 8, 6051–6059. [Google Scholar] [CrossRef] [PubMed]
- Lunghi, A.; Sanvito, S. How do phonons relax molecular spins? Sci. Adv. 2019, 5, eaax7163. [Google Scholar] [CrossRef]
- Vonci, M.; Giansiracusa, M.J.; van den Heuvel, W.; Gable, R.W.; Moubaraki, B.; Murray, K.S.; Yu, D.; Mole, R.A.; Soncini, A.; Boskovic, C. Magnetic Excitations in Polyoxotungstate-Supported Lanthanoid Single-Molecule Magnets: An Inelastic Neutron Scattering and ab Initio Study. Inorg. Chem. 2017, 56, 378–394. [Google Scholar] [CrossRef]
- Gransbury, G.K.; Boulon, M.-E.; Mole, R.A.; Gable, R.W.; Moubaraki, B.; Murray, K.S.; Sorace, L.; Soncini, A.; Boskovic, C. Single-ion anisotropy and exchange coupling in cobalt(II)-radical complexes: Insights from magnetic and ab initio studies. Chem. Sci. 2019, 10, 8855–8871. [Google Scholar] [CrossRef]
- Sorensen, M.A.; Hansen, U.B.; Perfetti, M.; Pedersen, K.S.; Bartolomé, E.; Simeoni, G.G.; Mutka, H.; Rols, S.; Jeong, M.; Zivkovic, I.; et al. Chemical tunnel-splitting-engineering in a dysprosium-based molecular nanomagnet. Nat. Commun. 2018, 9, 1292. [Google Scholar] [CrossRef] [PubMed]
- Perfetti, M.; Sorensen, M.A.; Hansen, U.B.; Bamberger, H.; Lenz, S.; Hallmen, P.P.; Fennell, T.; Simeoni, G.G.; Arauzo, A.; Bartolomé, J.; et al. Magnetic anisotropy switch: Easy axis to easy plane conversion and vice versa. Adv. Funct. Mater. 2018, 28, 1801846. [Google Scholar] [CrossRef]
- Bonde, N.A.; Petersen, J.B.; Sorensen, M.A.; Nielsen, U.G.; Fak, B.; Rols, S.; Ollivier, J.; Weihe, H.; Bendix, J.; Perfetti, M. Importance of Axial Symmetry in Elucidating Lanthanide–Transition Metal Interactions. Inorg. Chem. 2020, 59, 235–243. [Google Scholar] [CrossRef]
- Pointillart, F.; Gonzales, J.F.; Montigaud, V.; Tesi, L.; Cherkasov, V.; Le Guennic, B.; Cador, O.; Ouahab, L.; Sessoli, R.; Kuropatov, V. Redox- and solvato-magnetic switching in a tetrathiafulvalene-based triad single-molecule magnet. Inorg. Chem. Front. 2020, 7, 2322–2334. [Google Scholar] [CrossRef]
- Cador, O.; Le Guennic, B.; Ouahab, L.; Pointillart, F. Decorated Tetrathiafulvalene-Based Ligands: Powerful Chemical Tools for the Design of Single-Molecule Magnets. Eur. J. Inorg. Chem. 2020, 2020, 148–164. [Google Scholar] [CrossRef]
- Yao, X.-N.; Du, J.-Z.; Zhand, Y.-Q.; Leng, X.-B.; Yang, M.-W.; Jiang, S.-D.; Wang, Z.-X.; Qouyang, Z.-W.; Deng, L.; Wang, B.-W.; et al. Two-coordinate Co(II) imido complexes as outstanding single-molecule magnets. J. Am. Chem. Soc. 2017, 139, 373–380. [Google Scholar] [CrossRef]
- Bunting, P.C.; Atanasov, M.; Damgaard-Moller, E.; Perfetti, M.; Crassee, I.; Orlita, M.; Overgaard, J.; van Slageren, J.; Neese, F.; Long, J.R. A linear cobalt(II) complex with maximal orbital angular momentum from a non-Aufbau ground state. Science 2018, 362, eaat7319. [Google Scholar] [CrossRef]
- Caneschi, A.; Gatteschi, D.; Lalioti, N.; Sangregorio, C.; Sessoli, R.; Venturi, G.; Vindigni, A.; Rettori, A.; Pini, M.G.; Novak, M.A. Cobalt(II)-Nitronyl Nitroxide Chains as Molecular Magnetic Nanowires. Angew. Chem. Int. Ed. 2001, 40, 1760–1763. [Google Scholar] [CrossRef]
- Clérac, R.; Miyasaka, H.; Yamashita, M.; Coulon, C. Evidence for Single-Chain Magnet Behavior in a MnIII−NiII Chain Designed with High Spin Magnetic Units: A Route to High Temperature Metastable Magnets. J. Am. Chem. Soc. 2002, 124, 12837–12844. [Google Scholar] [CrossRef] [PubMed]
- Lescouezec, R.; Vaissermann, J.; Ruiz-Pérez, C.; Lloret, F.; Carrasco, R.; Julve, M.; Verdaguer, M.; Dromzee, Y.; Geteschi, D.; Wernsdorfer, W. Cyanide-Bridged Iron(III)–Cobalt(II) Double Zigzag Ferromagnetic Chains: Two New Molecular Magnetic Nanowires. Angew. Chem. Int. Ed. 2003, 42, 1483–1486. [Google Scholar] [CrossRef] [PubMed]
- Sun, Z.M.; Prosvirin, A.V.; Zhao, H.H.; Mao, J.G.; Dunbar, K.R. New type of single chain magnet based on spin canting in an antiferromagnetically coupled Co(II) chain. J. Appl. Phys. 2005, 97, 10B305. [Google Scholar] [CrossRef]
- Tanaka, H.; Kajiwara, T.; Kaneko, Y.; Takaishi, S.; Yamashita, M. Synthesis, structure, and magnetic property of a new Fe(II)–Fe(III) alternating single-chain magnet constructed with a methyl-substituted bpca− ligand. Polyhedron 2007, 26, 2105–2109. [Google Scholar] [CrossRef]
- Bogani, L.; Vindigni, A.; Sessoli, R.; Gatteschi, D. Single chain magnets: Where to from here? J. Mater. Chem. 2008, 18, 4750–4758. [Google Scholar] [CrossRef]
- Zhang, W.-X.; Ishikawa, R.; Breedlove, B.; Yamashita, M. Single-chain magnets: Beyond the Glauber model. RSC Adv. 2013, 3, 3772–3798. [Google Scholar] [CrossRef]
- Nadeem, M.A.; Ng, M.C.C.; van Leusen, J.; Kogerler, P.; Stride, J.A. Magnetic phase transitions in a Ni4O4-cubane-based metal-organic framework. Chem. A Eur. J. 2020, 26, 7589–7594. [Google Scholar] [CrossRef]
- Liu, X.Q.; Feng, X.W.; Meihaus, K.R.; Meng, X.X.; Zhang, Y.; Li, L.; Liu, J.L.; Pedersen, K.S.; Keller, L.; Shi, W.; et al. Coercive fields above 6 T in two cobalt(II)–radical chain compounds. Angew. Chem. Int. Ed. 2020, 59, 10610–10618. [Google Scholar] [CrossRef]
- Yang, J.; Deng, Y.F.; Zhang, Y.Z. Two azido-bridged homospin Fe(II)/Co(II) coordination polymers featuring single-chain magnet behavior. Dalton Trans. 2020, 49, 4805–4810. [Google Scholar] [CrossRef]
- Shi, L.; Shao, D.; Wei, X.-Q.; Dunbar, K.R.; Wang, X.-Y. Enhanced single-chain magnet behavior via anisotropic exchange in a cyano-bridged MoIII–MnII chain. Angew. Chem. Int. Ed. 2020, 59, 10379–10384. [Google Scholar] [CrossRef]
- Jiang, W.-J.; Lu, H.-H.; Meng, Y.-S.; Jiao, C.-Q.; Liu, T. Dehydration-actuated single-chain magnet through charge transfer in a cyanide-bridged Fe2Co chain. Inorg. Chem. Comm. 2020, 112, 107715. [Google Scholar] [CrossRef]
- Korzeniak, T.; Nowicka, B.; Sieklucka, B. Hybrid organic-inorganic cyanide-bridged networks. In Organometallic Magnets; Chandrasekhar, V., Pointillart, F., Eds.; Topics in Organometallic Chemistry; Springer: Cham, Switzerland, 2019; Volume 64, pp. 1–34. [Google Scholar]
- Reczynski, M.; Nowicka, B.; Näther, C.; Koziel, M.; Nakabayashi, K.; Ohkoshi, S.-I.; Sieklucka, B. Dehydration-Triggered Charge Transfer and High Proton Conductivity in (H3O)[NiIII(cyclam)][MII(CN)6] (M = Ru, Os) Cyanide-Bridged Chains. Inorg. Chem. 2018, 57, 13415–13422. [Google Scholar] [CrossRef]
- Sieklucka, B.; Pinkowicz, D. (Eds.) Molecular Magnetic Materials; Wiley-VCH Verlag GmbH & Co. KGaA: Weinheim, Germany, 2017. [Google Scholar]
- Alexandru, M.-G.; Visinescu, D.; Shova, S.; Lloret, F.; Julve, M. Cyanido-Bridged {LnIIIWV} Heterobinuclear Complexes: Synthesis and Magneto-Structural Study. Inorg. Chem. 2017, 56, 12594–12605. [Google Scholar] [CrossRef]
- Wei, R.-M.; Cao, F.; Li, J.; Yang, L.; Han, Y.; Zhang, X.-L.; Zhang, Z.C.; Wang, X.-Y.; Song, Y. Single-Chain Magnets Based on Octacyanotungstate with the Highest Energy Barriers for Cyanide Compounds. Sci. Rep. 2016, 6, 24372. [Google Scholar] [CrossRef] [PubMed]
- Zhang, Y.-Z.; Dolinar, B.S.; Liu, S.H.; Brown, A.J.; Zhang, X.; Wang, Z.-X.; Dunbar, K.R. Enforcing Ising-like magnetic anisotropy via trigonal distortion in the design of a W(V)–Co(II) cyanide single-chain magnet. Chem. Sci. 2018, 9, 119–124. [Google Scholar] [CrossRef] [PubMed]
- Yang, M.; Liang, X.H.; Zhang, Y.D.; Ouyang, Z.J.; Dong, W. A family of 3d-4f Cu-Ln ladder-like complexes: Synthesis, structures and magnetic properties. Polyhedron 2020, 180, 114435. [Google Scholar] [CrossRef]
- Rubín, J.; Badía-Romano, L.; Luis, F.; Mereacre, V.; Prodius, D.; Arauzo, A.; Bartolomé, F.; Bartolomé, J. Magnetic chains of Fe3 clusters in the {Fe3YO2} butterfly molecular compound. Dalton Trans. 2020, 49, 2979–2988. [Google Scholar] [CrossRef]
- Yang, M.; Liang, X.H.; Zhang, Y.; Ouyang, Z.J.; Dong, W. A nitronyl nitroxide and its two 1D chain Cu–Tb complexes: Synthesis, structures, and magnetic properties. RSC Adv. 2020, 10, 8490–8496. [Google Scholar] [CrossRef]
- Houard, F.; Evrard, Q.; Calvez, G.; Suffren, Y.; Daiguebonne, C.; Guillou, O.; Gendron, F.; Le Guennic, B.; Guizouarn, T.; Dorcet, V.; et al. Chiral supramolecular nanotubes of single-chain magnets. Angew. Chem. Int. Ed. 2020, 59, 780–784. [Google Scholar] [CrossRef]
- Zhang, S.-L.; Li, S.-S.; Zeng, S.-Y.; Shi, Y.; Wang, D.-Q.; Chen, L. Slow magnetic relaxation in O–Se–O bridged manganese(III) Schiff base complexes. New J. Chem. 2020, 44, 2408–2413. [Google Scholar] [CrossRef]
- Zhao, F.; Dong, Z.-P.; Liu, Z.-L.; Wang, Y.-Q. An unusual homospin CoII ferrimagnetic single-chain magnet with large hysteresis. CrystEngComm 2019, 21, 6958–6983. [Google Scholar] [CrossRef]
- Zang, J.; Zhao, Q.-N.; Yang, F.; Yin, L.; Li, M.-M.; Wang, Z.X.; Ouyang, Z.W.; Xia, Z.-C.; Hu, T.-P. A cobalt(II) chain based on pymca generated in situ from the hydrolysis of 2-cyanopyrimidine: Spin canting and magnetic relaxation. RSC Adv. 2019, 9, 31115–31121. [Google Scholar] [CrossRef]
- Wang, M.M.; Gou, X.S.; Shi, W.; Cheng, P. Single-chain magnets assembled in cobalt(ii) metal–organic frameworks. Chem. Commun. 2019, 55, 11000–11012. [Google Scholar] [CrossRef]
- Takahashi, S.; Tupitsyn, I.S.; van Tol, J.; Beedle, C.C.; Hendrickson, D.N.; Stamp, P.C.E. Decoherence in crystals of quantum molecular magnets. Nature 2011, 476, 76–79. [Google Scholar] [CrossRef] [PubMed]
- Landau, L. Zur Theorie der Energieübertragung. Phys. Z. Sov. 1932, 2, 46–51. [Google Scholar]
- Zener, C. Non-adiabatic crossing of energy levels. Proc. R. Soc. Lond. A 1932, 137, 696–702. [Google Scholar]
- Troiani, F.; Godfrin, C.; Thiele, S.; Balestro, F.; Wernsdorfer, W.; Klyatskaya, S.; Ruben, M.; Affronte, M. Landau-Zener transition in a continously measured single-molecule spin transistor. Phys. Rev. Lett. 2017, 118, 257701. [Google Scholar] [CrossRef]
- Mirzoyan, R.; Hadt, R.G. The dynamic ligand field of a molecular qubit: Decoherence through spin-phonon coupling. Phys. Chem. Chem. Phys. 2020, 22, 11249–11265. [Google Scholar] [CrossRef] [PubMed]
- Postnikov, A.V.; Kortus, J.; Pederson, M.R. Density functional studies of molecular magnets. Phys. Status Solidi B 2006, 243, 2533–2572. [Google Scholar] [CrossRef]
- Taran, G.; Bonet, E.; Wernsdorfer, W. Decoherence measurements in crystals of molecular magnets. Phys. Rev. B 2019, 99, 180408(R). [Google Scholar] [CrossRef]
- Lunghi, A.; Sanvito, S. Electronic spin-spin decoherence contribution in molecular qubits by quantum unitary spin dynamics. J. Magn. Magn. Mater. 2019, 487, 165325. [Google Scholar] [CrossRef]
- Hu, C.; Chen, J.; Zhang, X.G. Modeling Hyperfine Coupling in Molecular Magnets. Bull. Am. Phys. Soc. 2020, 65, D12. 00007. Available online: https://meetings.aps.org/Meeting/MAR20/Session/D12.7 (accessed on 3 July 2021).
- Stamp, P.C.E. Environment decoherence versus intrinsic decoherence. Philos. Trans. R. Soc. A 2012, 370, 4429–4453. [Google Scholar] [CrossRef]
- Liu, J.; Wu, B.; Fu, L.B.; Diener, R.B.; Niu, Q. Quantum step heights in hysteresis loops of molecular magnets. Phys. Rev. B 2002, 65, 224401. [Google Scholar] [CrossRef]
- Bhandary, S.; Ghosh, S.; Herper, H.; Wende, H.; Eriksson, O.; Sanyal, B. Graphene as a reversible spin manipulator of molecular magnets. Phys. Rev. Lett. 2011, 107, 257202. [Google Scholar] [CrossRef]
- Baker, M.L.; Timco, G.A.; Piligkos, S.; Mathieson, J.S.; Mutka, H.; Tuna, F.; Kozlowski, P.; Antkowiak, M.; Guidi, T.; Rath, H. A classification of spin frustration in molecular magnets from a physical study of large odd-numbered-metal, odd electron rings. Proc. Natl. Acad. Sci. USA 2012, 109, 19113–19118. [Google Scholar] [CrossRef]
- Abufager, P.N.; Robles, R.; Lorente, N. FeCoCp3 molecular magnets as spin filters. J. Phys. Chem. C 2015, 119, 12119–12129. [Google Scholar] [CrossRef]
- Vieru, V.; Ungur, L.; Cemortan, V.; Sukhanov, A.; Baniodeh, A.; Anson, C.E.; Powell, A.K.; Voronkova, V.; Chibotaru, L.F. Magnetization blocking in Fe2IIIDy2III molecular magnets: Ab initio calculations and EPR spectroscopy. Chem. Eur. J. 2018, 24, 16652–16661. [Google Scholar] [CrossRef]
- Gupta, T.; Rajaraman, G. How strongly are the magnetic anisotropy and coordination numbers correlated in lanthanide based molecular magnets? J. Chem. Sci. 2014, 126, 1569–1579. [Google Scholar] [CrossRef]
- Dey, S.; Rajaraman, G. In silico design of pseudo D5h actinide based molecular magnets: Role of covalency in magnetic anisotropy. J. Chem. Sci. 2019, 131, 124. [Google Scholar] [CrossRef]
- Vonci, M.; Giansiracusa, M.J.; Gable, R.W.; van den Heuvel, W.; Latham, K.; Moubaraki, B.; Murray, K.S.; Yu, D.H.; Mole, R.A.; Soncini, A.; et al. Ab initio calculations as a quantitative tool in the inelastic neutron scattering study of a single-molecule magnet analogue. Chem. Commun. 2016, 52, 2091–2094. [Google Scholar] [CrossRef]
- Pineda, E.M.; Chilton, N.F.; Tuna, F.; Winpenny, R.E.P.; McInnes, E.J.L. Systematic Study of a Family of Butterfly-Like {M2Ln2} Molecular Magnets (M = MgII, MnIII, CoII, NiII, and CuII.; Ln = YIII, GdIII, TbIII, DyIII, HoIII, and ErIII). Inorg. Chem. 2015, 54, 5930–5941. [Google Scholar] [CrossRef]
- Mannini, M.; Bertani, F.; Tudisco, C.; Malavolti, L.; Poggini, L.; Misztal, K.; Menozzi, D.; Motta, A.; Otero, E.; Ohresser, P.; et al. Magnetic behavior of TbPc2 single-molecule magnets chemically grafted on silicon surface. Nat. Commun. 2014, 5, 4582. [Google Scholar] [CrossRef]
- Valiev, M.; Bylaska, E.J.; Govind, N.; Kowalski, K.; Straatsma, T.P.; van Dam, H.J.J.; Wang, D.; Nieplocha, J.; Apra, E.; Windus, T.L.; et al. NWChem: A comprehensive and scalable open-source solution for large scale molecular simulations. Comput. Phys. Commun. 2010, 181, 1477–1489. [Google Scholar] [CrossRef]
- Prsa, K.; Nehrkorn, J.; Corbey, J.F.; Evans, W.J.; Demir, S.; Long, J.R.; Guidi, T.; Waldmann, O. Perspectives on neutron scattering in lanthanide-based single-molecule magnets and a case study of the Tb2(µ-N2) system. Magnetochemistry 2016, 2, 45. [Google Scholar] [CrossRef]
- Albuquerque, A.F.; Alet, F.; Corboz, P.; Dayal, P.; Feiguin, A.; Fuchs, S.; Gamper, L.; Gull, E.; Gürtler, S.; Honecker, A.; et al. The ALPS project release 1.3: Open-source software for strongly correlated systems. J. Magn. Magn. Mater. 2007, 310, 1187–1193. [Google Scholar] [CrossRef]
- Baniodeh, A.; Magnani, N.; Lan, Y.H.; Buth, G.; Anson, C.E.; Richter, J.; Affronte, M.; Schnack, J.; Powell, A.K. High spin cycles: Topping the spin recored for a single molecule verging on quantum criticality. Npj Quantum Mater. 2018, 3, 10. [Google Scholar] [CrossRef]
- CP2K Developers Group. CP2K Open Source Molecular Dynamics. Available online: http://www.cp2k.org/ (accessed on 3 July 2021).
- Burgess, J.A.J.; Malavolti, L.; Lanzilotto, V.; Mannini, M.; Yan, S.C.; Ninova, S.; Totti, F.; Rolf-Pissarczyk, S.; Cornia, A.; Sessoli, R.; et al. Magnetic fingerprint of individual Fe4 molecular magnets under compression by a scanning tunneling microscope. Nat. Commun. 2015, 6, 8216. [Google Scholar] [CrossRef]
- Tandon, S.; Schmitt, W.; Watson, G.W. J2suscep: Calculation of magnetic exchange coupling and temperature dependence of magnetic susceptibility. J. Open Source Softw. 2021, 6, 2838. [Google Scholar] [CrossRef]
- Smith, D.G.A.; Burns, L.A.; Simmonett, A.C.; Parrish, R.M.; Schieber, M.C.; Galvelis, R.; Kraus, P.; Kruse, H.; di Remigio, R.; Alenaizan, A.; et al. PSI4 1.4: Open-source software for high-throughput quantum chemistry. J. Chem. Phys. 2020, 152, 184108. [Google Scholar] [CrossRef] [PubMed]
- Pronk, S.; Páll, S.; Schulz, R.; Larsson, P.; Bjeklmar, P.; Apostolov, R.; Shirts, M.R.; Smith, J.C.; Kasson, P.M.; van der Spoel, D.; et al. GROMACS 4.5: A high-throughput and highly parallel opuen source molecular simulation toolkit. Bioinformatics 2013, 29, 845. [Google Scholar] [CrossRef] [PubMed]
- Veloso, S.R.S.; Andrade, R.G.D.; Castanheira, E.M.S. Review on the advancements of magnetic gels: Towards multifunctional magnetic liposome-hydrogel composites for biomedical applications. Adv. Colloid Interface Sci. 2021, 288, 102351. [Google Scholar] [CrossRef]
- Rusakov, V.; Raikher, Y. Magnetorelaxometry in the presence of a DC bias field of ferromagnetic nanoparticles bearing a viscoelastic corona. Sensors 2018, 18, 1661. [Google Scholar] [CrossRef]
- Kurlyandskaya, G.V.; Litvinova, L.S.; Safronov, A.P.; Schupletsova, V.V.; Tyukova, I.S.; Khaziakhmatova, O.G.; Slepchenko, G.B.; Yurova, K.A.; Cherempey, E.G.; Kulesh, N.A.; et al. Water-based suspensions of iron oxide nanoparticles with electrostatic or steric stabilization by chitosan: Fabrication, characterization and biocompatibility. Sensors 2017, 17, 2605. [Google Scholar] [CrossRef]
- Domingo, N.; Bellido, E.; Ruiz-Molina, D. Advances on structuring, integration and magnetic characterization of molecular nanomagnets on surfaces and devices. Chem. Soc. Rev. 2012, 41, 258–302. [Google Scholar] [CrossRef] [PubMed]
- Vaheb, Y.; Calvet, L.E.; Dia, N.; Mallah, T.; Catala, L. Assembly of molecular nanomagnets into nanogap electrodes by dielectrophoresis. J. Nanosci. Nanotechnol. 2012, 12, 8710–8714. [Google Scholar] [CrossRef] [PubMed]
- Messina, P.; Mannini, M.; Caneschi, A.; Gatteschi, D.; Sorace, L. Spin noise fluctuations from paramagnetic molecular adsorbates on surfaces. J. Appl. Phys. 2007, 101, 053916. [Google Scholar] [CrossRef]
- Fonin, M.; Voss, S.; Herr, S.; de Loubens, G.; Kent, A.D.; Burgert, M.; Groth, U.; Rüdiger, U. Influence of the ligand shell on the surface orientation of Mn12 single molecule magnets. Polyhedron 2009, 28, 1977–1981. [Google Scholar] [CrossRef]
- Jia, J.-H.; Li, Q.-W.; Chen, Y.-C.; Liu, J.-L.; Tong, M.-L. Luminescent single-molecule magnets based on lanthanides: Design strategies, recent advances and magneto-luminescent studies. Coord. Chem. Rev. 2019, 378, 365–381. [Google Scholar] [CrossRef]
- Yi, X.H.; Bernot, K.; Pointillart, F.; Poneti, G.; Calvez, G.; Daiguebonne, C.; Guillou, O.; Sessoli, R. A luminescent and sublimable DyIII-based single-molecule magnet. Chem. A Eur. J. 2012, 18, 11379–11387. [Google Scholar] [CrossRef]
- Jiménez, J.-R.; Díaz-Ortega, I.F.; Ruiz, E.; Aravena, D.; Pope, S.J.A.; Colacio, E.; Herrera, J.M. Lanthanide tetrazolate complexes combining single-molecule magnet and luminescence properties: The effect of the replacement of tetrazolate N3 by β-diketonate ligands on the anisotropy energy barrier. Chem. A Eur. J. 2016, 22, 14548–14559. [Google Scholar] [CrossRef]
- Wang, J.H.; Zakrzewski, J.J.; Heczko, M.; Zychowsicz, M.; Nakagawa, K.; Nakabayashi, K.; Sieklucka, B.; Chorazy, S.; Ohkoshi, S.-I. Proton conductive luminescent thermometer based on near-infrared emissive {YbCo2} molecular nanomagnets. J. Am. Chem. Soc. 2020, 142, 3970–3979. [Google Scholar] [CrossRef]
- Long, J. Luminescent Schiff-base lanthanide single-molecule magnets: The association between optical and magnetic properties. Front. Chem. 2019, 7, 63. [Google Scholar] [CrossRef]
- Long, J.; Ivanov, M.S.; Khomchenko, V.A.; Mamontova, E.; Thibaud, J.-M.; Rouquette, J.; Beaudhuin, M.; Granier, D.; Ferreira, R.A.; Carlos, L.D.; et al. Room temperature magnetoelectric coupling in a molecular ferroelectric ytterbium(III) complex. Science 2020, 367, 671–676. [Google Scholar] [CrossRef] [PubMed]
- Sato, T.; Katoh, K.; Breedlove, B.K.; Yamashita, M. Electro-conductive single-molecule magnet composed of a dysprosium(III)-phthalocyaninato double-decker complex with magnetoresistance. Angew. Chem. Int. Ed. 2021. early view. [Google Scholar] [CrossRef] [PubMed]
- Guo, P.-H.; Meng, Y.; Chen, Y.-C.; Li, Q.-W.; Wang, B.-Y.; Leng, J.-D.; Bao, D.-H.; Jia, J.-H.; Tong, M.-L. A zigzag DyIII4 cluster exhibiting single-molecule magnet, ferroelectric and white-light emitting properties. J. Mater. Chem. C 2014, 2, 8858–8864. [Google Scholar] [CrossRef]
- Li, X.-L.; Chen, C.-L.; Gao, Y.-L.; Liu, C.-M.; Feng, X.-L.; Gui, Y.-H.; Fang, S.-M. Modulation of homochiral DyIII complexes: Single-molecule magnets with ferroelectric properties. Chem. Eur. J. 2012, 18, 14632–14637. [Google Scholar] [CrossRef] [PubMed]
- Bhatt, P.; Mukadam, M.D.; Meena, S.S.; Mishra, S.K.; Mittal, R.; Sastry, P.U.; Mandal, B.P.; Yusuf, S.M. Room temperature ferroelectricity in one-dimensional single chain molecular magnets [{M(Δ)M(Λ)}(ox)2(phen)2]n (M = Fe and Mn). Appl. Phys. Lett. 2017, 110, 102901. [Google Scholar] [CrossRef]
- Bai, Y.-L.; Tao, J.; Wernsdorfer, W.; Sato, O.; Huang, R.-B.; Zheng, L.-S. Coexistence of magnetization relaxation and dielectric relaxation in a single-chain magnet. J. Am. Chem. Soc. 2006, 128, 16428–16429. [Google Scholar] [CrossRef]
- Slota, M.; Bogani, L. Combining molecular spintronics with electron paramagnetic resonance: The path towards single-molecule pulsed spin spectroscopy. Appl. Magn. Reson. 2020, 51, 1357–1409. [Google Scholar] [CrossRef]
- Aravena, D.; Ruiz, E. Spin dynamics in single-molecule magnets and molecular qubits. Dalton Trans. 2020, 49, 9916–9928. [Google Scholar] [CrossRef]
- Zhu, Z.H.; Li, X.-L.; Liu, S.T.; Tang, J.K. External stimuli modulate the magnetic relaxation of lanthanide single-molecule magnets. Inorg. Chem. Front. 2020, 7, 3315–3326. [Google Scholar] [CrossRef]
- Kalita, P.; Acharya, J.; Chandrasekhar, V. Mononuclear pentagonal bipyramidal Ln(III) complexes: Syntheses and magnetic properties. J. Magn. Magn. Mater. 2020, 498, 166098. [Google Scholar] [CrossRef]
- Tian, H.; Zheng, L.M. Cyclic lanthanide-based molecular clusters: Assembly and single molecule magnet behavior. Acta Chim. Sin. 2020, 78, 34–55. [Google Scholar] [CrossRef]
- Chorazy, S.; Zakrzewski, J.J.; Magott, M.; Korzeniak, T.; Nowicka, B.; Pinkowicz, D.; Podgajny, R.; Sieklucka, B. Octacyanidometallates for multifunctional molecule-based materials. Chem. Soc. Rev. 2020, 49, 5945–6001. [Google Scholar] [CrossRef]
- Guan, R.N.; Chen, M.Q.; Yang, S.F. Metal fullerene monomolecular magnet. Chin. Sci. Bull. 2020, 65, 2209–2224. [Google Scholar] [CrossRef]
- Reczynski, M.; Nakabayashi, K.; Ohkoshi, S.-I. Tuning the optical properties of magnetic materials. Eur. J. Inorg. Chem. 2020, 2020, 2669–2678. [Google Scholar] [CrossRef]
- Coronado, E. Molecular magnetism: From chemical design to spin control in molecules, materials and devices. Nat. Rev. Mater. 2020, 5, 87–104. [Google Scholar] [CrossRef]
- Hao, G.H.; Cheng, R.H.; Dowben, P.A. The emergence of the local moment molecular spin transistor. J. Phys. Condens. Matter 2020, 32, 234002. [Google Scholar] [CrossRef]
- Perlepe, P.S.; Maniaki, D.; Pilichos, E.; Katsoulakou, E.; Perlepes, S.P. Smart ligands for efficient 3d-, 3d- and 5d-metal single-molecule magnets and single-ion magnets. Inorganics 2020, 8, 39. [Google Scholar] [CrossRef]
Publisher’s Note: MDPI stays neutral with regard to jurisdictional claims in published maps and institutional affiliations. |
© 2021 by the authors. Licensee MDPI, Basel, Switzerland. This article is an open access article distributed under the terms and conditions of the Creative Commons Attribution (CC BY) license (https://creativecommons.org/licenses/by/4.0/).