Effects of Complex Electromagnetic Fields on Candida albicans Adhesion and Proliferation on Polyacrylic Resin
Abstract
:Featured Application
Abstract
1. Introduction
2. Materials and Methods
2.1. Complex Electromagnetic Fields Source
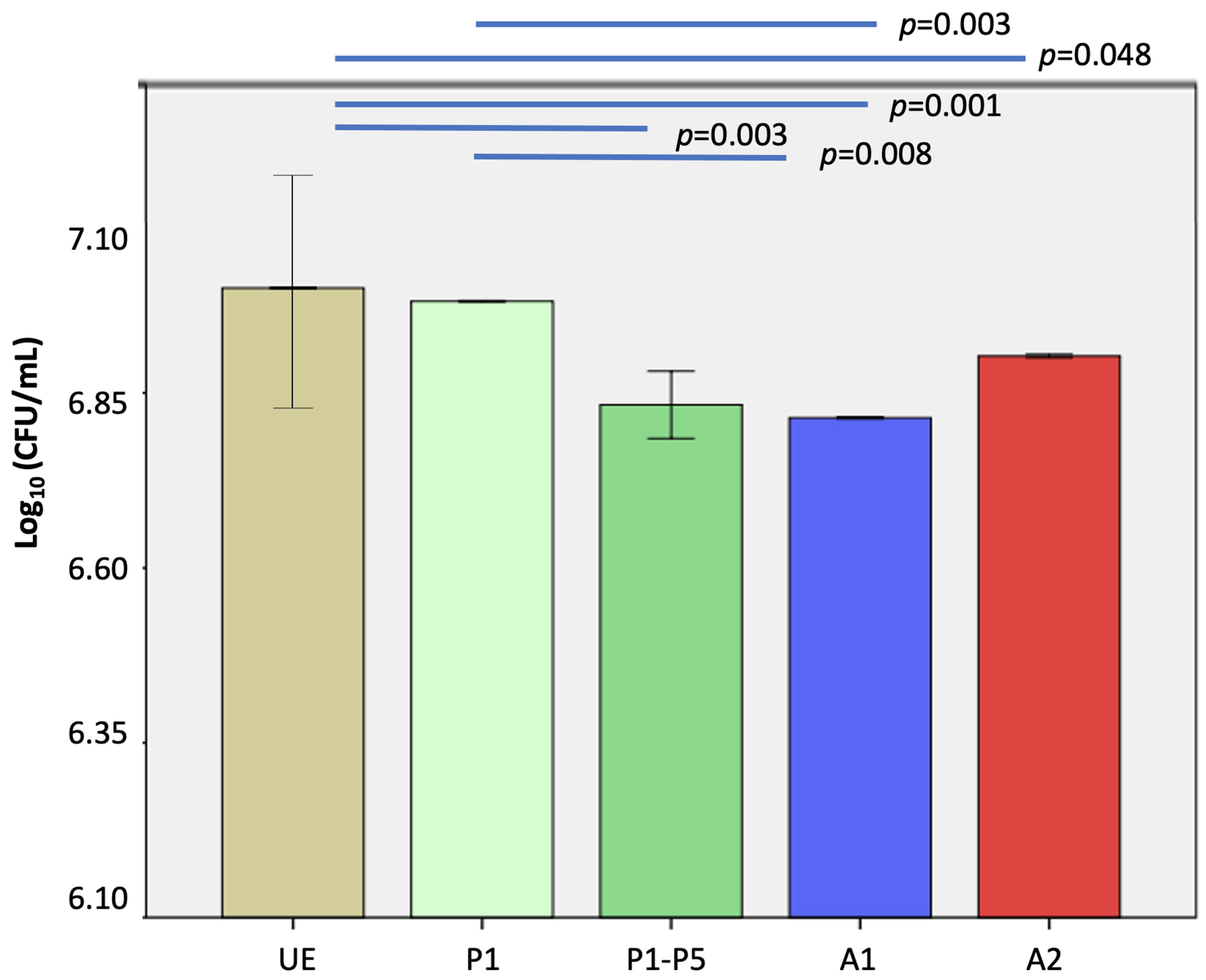
2.2. Fungal Culture and Quantification of Colony Forming Units
- UE: Unexposed positive controls of broth culture of C. albicans that received any treatment
- P1: was subjected to one program of antibacterial protocol with complex electromagnetic fields (CMFs) for a total of 3 min of therapy
- P1–P5: was subjected to five programs of antibacterial protocol of CMFs for a total of 17 min of therapy
- A1: was subjected to one complete session of the antibacterial protocol with complex electromagnetic fields (CMFs) for a total of 23 min of therapy
- A2: was subjected to two complete sessions of the antibacterial protocol with complex electromagnetic fields (CMFs) for a total of 46 min of therapy
2.3. Cultivation of Candida albicans on Polyacrylic Resin
2.4. Scanning Electron Microscope Observation (SEM)
2.5. Statistical Analysis
3. Results
4. Discussion
5. Conclusions
Author Contributions
Funding
Institutional Review Board Statement
Informed Consent Statement
Acknowledgments
Conflicts of Interest
References
- Petrini, M.; Costacurta, M.; Ferrante, M.; Trentini, P.; Docimo, R.; Spoto, G. Association between the organoleptic scores, oral condition and salivary β-galactosidases in children affected by halitosis. Int. J. Dent. Hyg. 2014, 12, 213–218. [Google Scholar] [CrossRef]
- Costacurta, M.; Petrini, M.; Biferi, V.; Arcuri, C.; Spoto, G.; Brescia, A.; Docimo, R. Dental prosthesis and halitosis: Evaluation of oral malodor in patients with and without a dental prosthesis. J. Osseointegr. 2020, 12, 730–735. [Google Scholar]
- O’Donnell, L.E.; Robertson, D.; Ramage, G. Candida Virulence Factors. Oral Candidosis; Springer: Berlin/Heidelberg, Germany, 2015; pp. 7–19. [Google Scholar]
- Rosa, E.A. (Ed.) Oral Candidosis: Physiopathology, Decision Making, and Therapeutics; Springer: Berlin/Heidelberg, Germany, 2015. [Google Scholar]
- Lalla, R.V.; Patton, L.L.; Dongari-Bagtzoglou, A. Oral candidiasis: Pathogenesis, clinical presentation, diagnosis and treatment strategies. J. Calif. Dent. Assoc. 2013, 41, 263–268. [Google Scholar]
- Salerno, C.; Pascale, M.; Contaldo, M.; Esposito, V.; Busciolano, M.; Milillo, L.; Guida, A.; Petruzzi, M.; Serpico, R. Candida-associated denture stomatitis. Med. Oral. Patol. Oral. Cir. Bucal. 2011, 16, e139–e143. [Google Scholar] [CrossRef]
- de Vasconcellos, A.A.; Gonçalves, L.M.; Del Bel Cury, A.A.; da Silva, W.J. Candida-Associated Denture Stomatitis: Clinical Relevant Aspects. Oral Candidosis; Springer: Berlin/Heidelberg, Germany, 2015; pp. 53–57. [Google Scholar] [CrossRef]
- Sanglard, D.; Ischer, F.; Parkinson, T.; Falconer, D.; Bille, J. Candida albicans mutations in the ergosterol biosynthetic pathway and resistance to several antifungal agents. Antimicrob. Agents Chemother. 2003, 47, 2404–2412. [Google Scholar] [CrossRef] [Green Version]
- Akins, R.A. An update on antifungal targets and mechanisms of resistance in Candida albicans. Med. Mycol. 2005, 43, 285–318. [Google Scholar] [CrossRef] [PubMed] [Green Version]
- Bandara, H.M.H.N.; Wood, D.L.A.; Vanwonterghem, I.; Hugenholtz, P.; Cheung, B.P.K.; Samaranayake, L.P. Fluconazole resistance in Candida albicans is induced by Pseudomonas aeruginosa quorum sensing. Sci. Rep. 2020, 10, 7769. [Google Scholar] [CrossRef]
- D’Ercole, S.; Di Fermo, P.; Di Giulio, M.; Di Lodovico, S.; Di Campli, E.; Scarano, A.; Tripodi, D.; Cellini, L.; Petrini, M. Near-infrared NIR irradiation and sodium hypochlorite: An efficacious association to counteract the Enterococcus faecalis biofilm in endodontic infections. J. Photochem. Photobiol. B Biol. 2020, 210, 111989. [Google Scholar] [CrossRef] [PubMed]
- Petrini, M.; Spoto, G.; Scarano, A.; D’Arcangelo, C.; Tripodi, D.; Di Fermo, P.; D’Ercole, S. Near-infrared LEDS provide persistent and increasing protection against E. faecalis. J. Photochem. Photobiol. B 2019, 197, 111527. [Google Scholar] [CrossRef]
- D’Ercole, S.; Spoto, G.; Trentini, P.; Tripodi, D.; Petrini, M. In vitro inactivation of Enterococcus faecalis with a led device. J. Photochem. Photobiol. B Biol. 2016, 160, 172–177. [Google Scholar] [CrossRef]
- Petrini, M.; Trentini, P.; Tripodi, D.; Spoto, G.; D’Ercole, S. In vitro antimicrobial activity of LED irradiation on Pseudomonas aeruginosa. J. Photochem. Photobiol. B Biol. 2017, 168, 25–29. [Google Scholar] [CrossRef]
- Radunović, M.; Petrini, M.; Vlajic, T.; Iezzi, G.; Di Lodovico, S.; Piattelli, A.; D’Ercole, S. Effects of a novel gel containing 5-aminolevulinic acid and red LED against bacteria involved in peri-implantitis and other oral infections. J. Photochem. Photobiol. B Biol. 2020, 205, 111826. [Google Scholar] [CrossRef]
- Brown, A.J.; Haynes, K.; Gow, N.A.; Quinn, J. Stress Responses in Candida. Candida Candidiasis 2014, 15, 225–242. [Google Scholar] [CrossRef]
- Hwang, C.-S.; Rhie, G.; Oh, J.-H.; Huh, W.-K.; Yim, H.-S.; Kang, S.-O. Copper- and zinc-containing superoxide dismutase (Cu/ZnSOD) is required for the protection of Candida albicans against oxidative stresses and the expression of its full virulence. Microbiology 2002, 148, 3705–3713. [Google Scholar] [CrossRef] [PubMed] [Green Version]
- Wysong, D.R.; Christin, L.; Sugar, A.M.; Robbins, P.W.; Diamond, R.D. Cloning and Sequencing of a Candida albicans Catalase Gene and Effects of Disruption of This Gene. Infect. Immun. 1998, 66, 1953–1961. [Google Scholar] [CrossRef] [PubMed] [Green Version]
- Greco, G.; Di Piazza, S.; Chan, J.; Zotti, M.; Hanna, R.; Gheno, E.; Zekiy, A.O.; Pasquale, C.; De Angelis, N.; Amaroli, A. Newly formulated 5% 5-aminolevulinic acid photodynamic therapy on Candida albicans. Photodiagn. Photodyn. Ther. 2020, 29, 101575. [Google Scholar] [CrossRef]
- Cellini, L.; Grande, R.; Di Campli, E.; Di Bartolomeo, S.; Di Giulio, M.; Robuffo, I.; Trubiani, O.; Mariggio, M.A. Bacterial response to the exposure of 50 Hz electromagnetic fields. Bioelectromagnetics 2008, 29, 302–311. [Google Scholar] [CrossRef]
- Oncul, S.; Cuce, E.M.; Aksu, B.; Inhan Garip, A. Effect of extremely low frequency electromagnetic fields on bacterial membrane. Int. J. Radiat. Biol. 2016, 92, 42–49. [Google Scholar] [CrossRef]
- Tofani, S.; Barone, D.; Cintorino, M.; de Santi, M.M.; Ferrara, A.; Orlassino, R.; Ossola, P.; Peroglio, F.; Rolfo, K.; Ronchetto, F. Static and ELF magnetic fields induce tumor growth inhibition and apoptosis. Bioelectromagnetics 2001, 22, 419–428. [Google Scholar] [CrossRef] [PubMed]
- Alfano, A.P.; Taylor, A.G.; Foresman, P.A.; Dunkl, P.R.; McConnell, G.G.; Conaway, M.R.; Gillies, G.T. Static Magnetic Fields for Treatment of Fibromyalgia: A Randomized Controlled Trial. J. Altern. Complement. Med. 2001, 7, 53–64. [Google Scholar] [CrossRef]
- Weintraub, M.I.; Wolfe, G.I.; Barohn, R.A.; Cole, S.P.; Parry, G.J.; Hayat, G.; Cohen, J.A.; Page, J.C.; Bromberg, M.B.; Schwartz, S.L. Static magnetic field therapy for symptomatic diabetic neuropathy: A randomized, double-blind, placebo-controlled trial. Arch. Phys. Med. Rehabil. 2003, 84, 736–746. [Google Scholar] [CrossRef]
- Zwolińska, J.; Gąsior, M.; Śniezek, E.; Kwolek, A. The use of magnetic fields in treatment of patients with rheumatoid arthritis. Review of the literature. Reumatologia 2016, 54, 201. [Google Scholar] [CrossRef]
- Cataldi, V.; Di Campli, E.; Fazii, P.; Traini, T.; Cellini, L.; Di Giulio, M. Candida species isolated from different body sites and their antifungal susceptibility pattern: Cross-analysis of Candida albicans and Candida glabrata biofilms. Med. Mycol. 2017, 55, 624–634. [Google Scholar] [CrossRef]
- D’Ercole, S.; Cellini, L.; Pilato, S.; Di Lodovico, S.; Iezzi, G.; Piattelli, A.; Petrini, M. Material characterization and Streptococcus oralis adhesion on Polyetheretherketone (PEEK) and titanium surfaces used in implantology. J. Mater. Sci. Mater. Med. 2020, 31, 84. [Google Scholar] [CrossRef]
- Petrini, M.; Giuliani, A.; Di Campli, E.; Di Lodovico, S.; Iezzi, G.; Piattelli, A.; D’Ercole, S. The Bacterial Anti-Adhesive Activity of Double-Etched Titanium (DAE) as a Dental Implant Surface. Int. J. Mol. Sci. 2020, 21, 8315. [Google Scholar] [CrossRef] [PubMed]
- Tripodi, D.; Cosi, A.; Fulco, D.; D’Ercole, S. The Impact of Sport Training on Oral Health in Athletes. Dent. J. 2021, 9, 51. [Google Scholar] [CrossRef] [PubMed]
- Gavanji, S.; Larki, B. Comparative effect of propolis of honey bee and some herbal extracts on Candida albicans. Chin. J. Integr. Med. 2017, 23, 201–207. [Google Scholar] [CrossRef] [PubMed]
- Farkash, Y.; Feldman, M.; Ginsburg, I.; Steinberg, D.; Shalish, M. Polyphenols Inhibit Candida albicans and Streptococcus mutans Biofilm Formation. Dent. J. 2019, 7, 42. [Google Scholar] [CrossRef] [Green Version]
- Farkash, Y.; Feldman, M.; Ginsburg, I.; Steinberg, D.; Shalish, M. Green Tea Polyphenols and Padma Hepaten Inhibit Candida albicans Biofilm Formation. Evid-Based Complement. Altern. Med. 2018, 1690747. [Google Scholar] [CrossRef] [Green Version]
- Stepanian, R.S.; Barsegian, A.A.; Alaverdian, Z.h.R.; Oganesian, G.G.; Markosian, L.S.; Airapetian, S.N. The effect of magnetic fields on the growth and division of the lon mutant of Escherichia coli K-12. Radiats Biol. Radioecol. 2000, 40, 319–322. [Google Scholar]
- Santoro, N.; Lisi, A.; Pozzi, D.; Pasquali, E.; Serafino, A.; Grimaldi, S. Effect of extremely low frequency (ELF) magnetic field exposure on morphological and biophysical properties of human lymphoid cell line (Raji). Biochim. Biophys. Acta Mol. Cell Res. 1997, 1357, 281–290. [Google Scholar] [CrossRef] [Green Version]
- Sadafi, H.A.; Mehboodi, Z.; Sardari, D. A Review of the Mechanisms of Interaction between the Extremely Low Frequency Electromagnetic Fields and Human Biology. PIERS Online 2006, 2, 99–103. [Google Scholar] [CrossRef]
- Binhi, V.N.; Alipov, Y.D.; Belyaev, I.Y. Effect of static magnetic field on E. Coli cells and individual rotations of ion-protein complexes. Bioelectromagnetics 2001, 22, 79–86. [Google Scholar] [CrossRef]
- Pasrija, R.; Prasad, T.; Prasad, R. Membrane raft lipid constituents affect drug susceptibilities of Candida albicans. Biochem. Soc. Trans. 2005, 33, 1219–1223. [Google Scholar] [CrossRef] [PubMed]
- McCourt, P.; Liu, H.Y.; Parker, J.E.; Gallo-Ebert, C.; Donigan, M.; Bata, A.; Giordano, C.; Kelly, S.L.; Nickels, J.T., Jr. Proper sterol distribution is required for Candida albicans hyphal formation and virulence. G3 (Bethesda) 2016, 6, 3455–3465. [Google Scholar] [CrossRef] [Green Version]
- Zaidi, K.U.; Mani, A.; Thawani, V.; Mehra, A. Total Protein Profile and Drug Resistance in Candida albicans Isolated from Clinical Samples. Mol. Biol. Int. 2016, 2016, 4982131. [Google Scholar] [CrossRef] [Green Version]
- Sztafrowski, D.; Suchodolski, J.; Muraszko, J.; Sigler, K.; Krasowska, A. The influence of N and S poles of static magnetic field (SMF) on Candida albicans hyphal formation and antifungal activity of amphotericin B. Folia Microbiol. (Praha) 2019, 64, 727–734. [Google Scholar] [CrossRef] [Green Version]
- Novickij, V.; Švedienė, J.; Paškevičius, A.; Markovskaja, S.; Girkontaitė, I.; Zinkevičienė, A.; Lastauskienė, E.; Novickij, J. Pulsed electric field-assisted sensitization of multidrug-resistant Candida albicans to antifungal drugs. Future Microbiol. 2018, 13, 535–546. [Google Scholar] [CrossRef]
- Kurzai, O.; Schmitt, C.; Bröcker, E.B.; Frosch, M.; Kolb-Mäurer, A. Polymorphism of Candida albicans is a major factor in the interaction with human dendritic cells. Int. J. Med. Microbiol. 2005, 295, 121–127. [Google Scholar] [CrossRef]
- Villar, C.C.; Kashleva, H.; Dongari-Bagtzoglou, A. Role of Candida albicans polymorphism in interactions with oral epithelial cells. Oral Microbiol. Immunol. 2004, 19, 262–269. [Google Scholar] [CrossRef]
- Kurnatowski, P.; Klimiuk, C.; Głowacka, A. Effect of electromagnetic waves on sensitivity of fungi of the genus Candida to miconazole. Wiadomości Parazytol. 2003, 49, 61–71. [Google Scholar]
- Bayat, M.; Hemati, S.; Soleimani-Estyar, R.; Shahin-Jafari, A. Effect of long-term exposure of mice to 900 MHz GSM radiation on experimental cutaneous candidiasis. Saudi J. Biol. Sci. 2017, 24, 907–914. [Google Scholar] [CrossRef] [Green Version]
- Novickij, V.; Lastauskienė, E.; Švedienė, J.; Grainys, A.; Staigvila, G.; Paškevičius, A.; Girkontaitė, I.; Zinkevičienė, A.; Markovskaja, S.; Novickij, J. Membrane Permeabilization of Pathogenic Yeast in Alternating Sub-microsecond Electromagnetic Fields in Combination with Conventional Electroporation. J. Membr. Biol. 2018, 251, 189–195. [Google Scholar] [CrossRef] [PubMed]
- Bollen, C.M.; Lambrechts, P.; Quirynen, M. Comparison of surface roughness of oral hard materials to the threshold surface roughness for bacterial plaque retention: A Review of the Literature. Dent. Mater. 1997, 13, 258–269. [Google Scholar] [CrossRef]
- Kagermeier-Callaway, A.S.; Willershausen, B.; Frank, T.; Stender, E. In vitro colonization of acrylic resin denture base materials by Streptococcus oralis and Actinomyces viscosus. Int. Dent. J. 2000, 50, 79–85. [Google Scholar] [CrossRef] [PubMed]
- Morgan, T.D.; Wilson, M. The effects of surface roughness and type of denture acrylic on biofilm formation by Streptococcus oralis in a constant depth film fermentor. J. Appl. Microbiol. 2001, 91, 47–53. [Google Scholar] [CrossRef] [PubMed] [Green Version]




Publisher’s Note: MDPI stays neutral with regard to jurisdictional claims in published maps and institutional affiliations. |
© 2021 by the authors. Licensee MDPI, Basel, Switzerland. This article is an open access article distributed under the terms and conditions of the Creative Commons Attribution (CC BY) license (https://creativecommons.org/licenses/by/4.0/).
Share and Cite
Petrini, M.; Di Lodovico, S.; Iezzi, G.; Cipollina, A.; Piattelli, A.; Cellini, L.; D’Ercole, S. Effects of Complex Electromagnetic Fields on Candida albicans Adhesion and Proliferation on Polyacrylic Resin. Appl. Sci. 2021, 11, 6786. https://doi.org/10.3390/app11156786
Petrini M, Di Lodovico S, Iezzi G, Cipollina A, Piattelli A, Cellini L, D’Ercole S. Effects of Complex Electromagnetic Fields on Candida albicans Adhesion and Proliferation on Polyacrylic Resin. Applied Sciences. 2021; 11(15):6786. https://doi.org/10.3390/app11156786
Chicago/Turabian StylePetrini, Morena, Silvia Di Lodovico, Giovanna Iezzi, Alessandro Cipollina, Adriano Piattelli, Luigina Cellini, and Simonetta D’Ercole. 2021. "Effects of Complex Electromagnetic Fields on Candida albicans Adhesion and Proliferation on Polyacrylic Resin" Applied Sciences 11, no. 15: 6786. https://doi.org/10.3390/app11156786
APA StylePetrini, M., Di Lodovico, S., Iezzi, G., Cipollina, A., Piattelli, A., Cellini, L., & D’Ercole, S. (2021). Effects of Complex Electromagnetic Fields on Candida albicans Adhesion and Proliferation on Polyacrylic Resin. Applied Sciences, 11(15), 6786. https://doi.org/10.3390/app11156786

