Effect of C-S-H Nucleating Agent on Cement Hydration
Abstract
:1. Introduction
2. Materials and Methods
2.1. Materials
2.2. Synthesis of CNA
2.3. Specimen Preparation
2.4. Methods
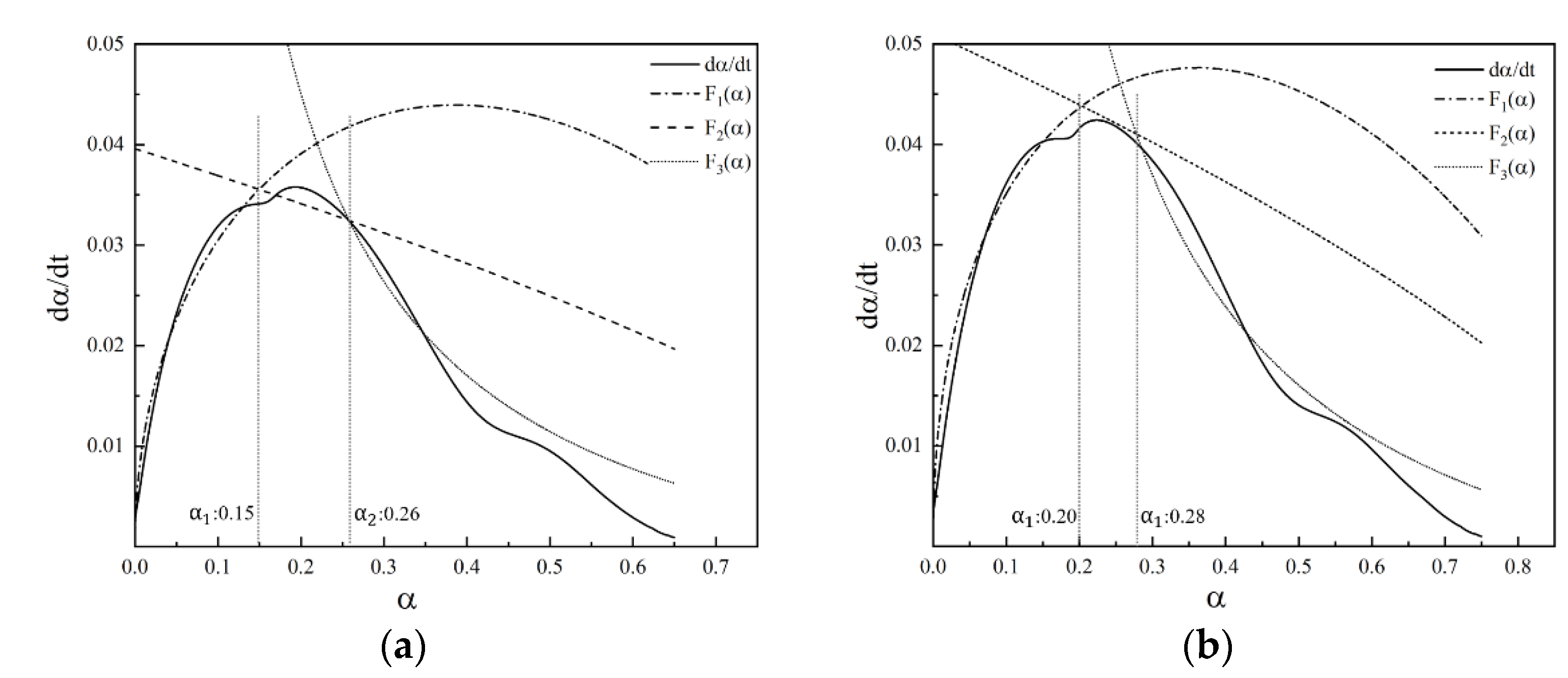
2.4.1. Hydration Heat Test and Calculation of Hydration Kinetics
2.4.2. Electrical Resistivity Test
2.4.3. Backscattered Electron Imaging Analysis (BSE)
2.4.4. Semi-Quantitative Analysis of C-S-H Content
2.4.5. Mechanical Properties Test
3. Results and Discussion
3.1. Hydration Heat
3.2. Electrical Resistivity
3.3. Amount of C-S-H
3.4. BSE Images Analysis
3.5. Mechanical Properties of Cement Mortars
4. Conclusions
- The incorporation of CNA does not change the hydration mechanism of cement, which increases the hydration degree in the nucleation and crystal growth stage (NG) by 0.5, and the interactions at phase boundaries diffusion stage(I) by 0.02, which makes the cement obtain a higher degree of hydration in the initial stage of hydration;
- CNA shortens the beginning time of the induction period by 49.3 min and the end time of the cement hydration acceleration period by 105.1 min than the Blank sample, which can accelerate the setting and hardening of the cement;
- CNA significantly improves the hydration degree of cement mixtures cured for 28 days, which is better than triethanolamine (TEA). CNA increases the fractal dimension of hydration products, while TEA decreases the fractal dimension;
- CNA used in this work may provide a crystal nucleus for the generation of C-S-H gel, which reduces the potential energy of C-S-H gel generation and promotes the generation of C-S-H gel. The C-S-H content of cement mixtures with CNA is higher than that with TEA or the blank sample;
- CNA significantly improves the early strength of cement mortars; the 1-day and 3-day strength of cement mortars with CNA are more than the 3-day and 7-day strength of the blank sample, which shows that it has an excellent early strength effect.
Author Contributions
Funding
Institutional Review Board Statement
Informed Consent Statement
Data Availability Statement
Conflicts of Interest
References
- Scrivener, K.L.; John, V.M.; Gartner, E.M. Eco-efficient cements: Potential economically viable solutions for a low-CO2 cement-based materials industry. Cem. Concr. Res. 2018, 114, 2–26. [Google Scholar] [CrossRef]
- Du, Q.; Pang, Q.; Bao, T.; Guo, X.; Deng, Y. Critical factors influencing carbon emissions of prefabricated building supply chains in China. J. Clean. Prod. 2021, 280, 124398. [Google Scholar] [CrossRef]
- Chang, Y.; Li, X.; Masanet, E.; Zhang, L.; Huang, Z.; Ries, R. Unlocking the green opportunity for prefabricated buildings and construction in China. Resour. Conserv. Recycl. 2018, 139, 259–261. [Google Scholar] [CrossRef]
- Yu, S.; Liu, Y.; Wang, D.; Bahaj, A.S.; Wu, Y.; Liu, J. Review of thermal and environmental performance of prefabricated buildings: Implications to emission reductions in China. Renew. Sustain. Energy Rev. 2021, 137, 110472. [Google Scholar] [CrossRef]
- Zhang, C.; Hu, M.; Laclau, B.; Garnesson, T.; Yang, X.; Tukker, A. Energy-carbon-investment payback analysis of prefabricated envelope-cladding system for building energy renovation: Cases in Spain, the Netherlands, and Sweden. Renew. Sustain. Energy Rev. 2021, 145, 111077. [Google Scholar] [CrossRef]
- Wang, J.; Qian, C.; Qu, J.; Guo, J. Effect of lithium salt and nano nucleating agent on early hydration of cement based materials. Constr. Build. Mater. 2018, 174, 24–29. [Google Scholar] [CrossRef]
- Zou, C.; Long, G.; Ma, C.; Xie, Y. Effect of subsequent curing on surface permeability and compressive strength of steam-cured concrete. Constr. Build. Mater. 2018, 188, 424–432. [Google Scholar] [CrossRef]
- Castellano, C.C.; Bonavetti, V.L.; Donza, H.A.; Irassar, E.F. The effect of w/b and temperature on the hydration and strength of blastfurnace slag cements. Constr. Build. Mater. 2016, 111, 679–688. [Google Scholar] [CrossRef]
- Zou, C.; Long, G.; Zeng, X.; Ma, K.; Xie, Y. Hydration and multiscale pore structure characterization of steam-cured cement paste investigated by X-ray CT. Constr. Build. Mater. 2021, 282, 122629. [Google Scholar] [CrossRef]
- Sun, J.; Shi, H.; Qian, B.; Xu, Z.; Li, W.; Shen, X. Effects of synthetic C-S-H/PCE nanocomposites on early cement hydration. Constr. Build. Mater. 2017, 140, 282–292. [Google Scholar] [CrossRef]
- Alizadeh, R.; Raki, L.; Makar, J.M.; Beaudoin, J.J.; Moudrakovski, I. Hydration of tricalcium silicate in the presence of synthetic calcium–silicate–hydrate. J. Mater. Chem. 2009, 19, 7937–7946. [Google Scholar] [CrossRef] [Green Version]
- Land, G.; Stephan, D. The influence of nano-silica on the hydration of ordinary Portland cement. J. Mater. Sci. 2012, 7, 1011–1017. [Google Scholar] [CrossRef]
- Yang, D.; Yan, C.; Zhang, J.; Liu, S.; Li, J. Chloride threshold value and initial corrosion time of steel bars in concrete exposed to saline soil environments. Constr. Build. Mater. 2021, 267, 120979. [Google Scholar] [CrossRef]
- Lu, Z.; Kong, X.; Jansen, D.; Zhang, C.; Wang, J.; Pang, X.; Yin, J. Towards a further understanding of cement hydration in the presence of triethanolamine. Cem. Concr. Res. 2020, 132, 106041. [Google Scholar] [CrossRef]
- Andrade Neto, J.d.S.; De la Torre, A.G.; Kirchheim, A.P. Effects of sulfates on the hydration of Portland cement—A review. Constr. Build. Mater. 2021, 279, 122428. [Google Scholar] [CrossRef]
- John, E.; Matschei, T.; Stephan, D. Nucleation seeding with calcium silicate hydrate—A review. Cem. Concr. Res. 2018, 113, 74–85. [Google Scholar] [CrossRef]
- Li, J.; Zhang, W.; Xu, K.; Monteiro, P.J.M. Fibrillar calcium silicate hydrate seeds from hydrated tricalcium silicate lower cement demand. Cem. Concr. Res. 2020, 137, 106195. [Google Scholar] [CrossRef]
- Land, G.; Stephan, D. Controlling cement hydration with nanoparticles. Cem. Concr. Compos. 2015, 57, 64–67. [Google Scholar] [CrossRef]
- Meng, T.; Hong, Y.; Wei, H.; Xu, Q. Effect of nano-SiO2 with different particle size on the hydration kinetics of cement. Thermochim. Acta 2019, 675, 127–133. [Google Scholar] [CrossRef]
- Lu, Y.; Shi, G.; Liu, Y.; Ding, Z.; Pan, J.; Qin, D.; Dong, B.; Shao, H. Study on the effect of chloride ion on the early age hydration process of concrete by a non-contact monitoring method. Constr. Build. Mater. 2018, 172, 499–508. [Google Scholar] [CrossRef]
- Monteiro, P.J.M.; Geng, G.; Marchon, D.; Li, J.; Alapati, P.; Kurtis, K.E.; Qomi, M.J.A. Advances in characterizing and understanding the microstructure of cementitious materials. Cem. Concr. Res. 2019, 124, 105806. [Google Scholar] [CrossRef]
- Igarashi, S.; Kawamura, M.; Watanabe, A. Analysis of cement pastes and mortars by a combination of backscatter-based SEM image analysis and calculations based on the Powers model. Cem. Concr. Compos. 2004, 26, 977–985. [Google Scholar] [CrossRef] [Green Version]
- Li, Y.; Guo, W.; Li, H. Quantitative analysis on ground blast furnace slag behavior in hardened cement pastes based on backscattered electron imaging and image analysis technology. Constr. Build. Mater. 2016, 110, 48–53. [Google Scholar] [CrossRef]
- Shuxia, F.; Peiming, W.; Liu, X. SEM-backscattered electron imaging and image processing for evaluation of unhydrated cement volume fraction in slag blended Portland cement pastes. J. Wuhan Univ. Technol. Mat. Sci. Ed. 2013, 28, 968–972. [Google Scholar]
- Zhao, H.; Darwin, D. Quantitative backscattered electron analysis of cement paste. Cem. Concr. Compos. 1992, 22, 695–706. [Google Scholar] [CrossRef]
- Scrivener, K.L. Backscattered electron imaging of cementitious microstructures: Understanding and quantification. Cem. Concr. Compos. 2004, 26, 935–945. [Google Scholar] [CrossRef]
- Gao, Y.; Wu, K.; Yuan, Q. Limited fractal behavior in cement paste upon mercury intrusion porosimetry test: Analysis and models. Constr. Build. Mater. 2021, 276, 122231. [Google Scholar] [CrossRef]
- De Belie, N.; Kratky, J.; Van Vlierberghe, S. Influence of pozzolans and slag on the microstructure of partially carbonated cement paste by means of water vapour and nitrogen sorption experiments and BET calculations. Cem. Concr. Res. 2010, 40, 1723–1733. [Google Scholar] [CrossRef]
- Odler, I. The BET-specific surface area of hydrated Portland cement and related materials. Cem. Concr. Res. 2003, 33, 2049–2056. [Google Scholar] [CrossRef]
- Olson, R.A.; Jennings, H.M. Estimation of C-S-H content in a blended cement paste using water adsorption. Cem. Concr. Res. 2001, 31, 351–356. [Google Scholar] [CrossRef]
- Chen, C.; Jiang, Y.Q.; Pan, Y.F.; Xiang, Q.D. Semi-quantitative study on hydrated calcium silicate by BET/XRD. New Build Mater. 2017, 44, 124–126. [Google Scholar]
- Li, H.; Xue, Z.; Liang, G.; Wu, K.; Dong, B.; Wang, W. Effect of C-S-Hs-PCE and sodium sulfate on the hydration kinetics and mechanical properties of cement paste. Constr. Build. Mater. 2021, 266, 121096. [Google Scholar] [CrossRef]
- Yousuf, F.; Xiaosheng, W. Investigation of the early-age microstructural development of hydrating cement pastes through electrical resistivity measurements. Case Stud Constr Mater. 2020, 13, e00391. [Google Scholar]
- Scrivener, K.L.; Juilland, P.; Monteiro, P.J.M. Advances in understanding hydration of Portland cement. Cem. Concr. Res. 2015, 78, 38–56. [Google Scholar] [CrossRef]
- Yousuf, F.; Wei, X.; Zhou, J. Monitoring the setting and hardening behaviour of cement paste by electrical resistivity measurement. Constr. Build. Mater. 2020, 252, 118941. [Google Scholar] [CrossRef]
- Liu, L.; Yang, P.; Zhang, B.; Huan, C.; Guo, L.; Yang, Q.; Song, K.-I. Study on hydration reaction and structure evolution of cemented paste backfill in early-age based on resistivity and hydration heat. Constr. Build. Mater. 2021, 272, 121827. [Google Scholar] [CrossRef]
- Yang, X.; Liu, J.; Li, H.; Xu, L.; Ren, Q.; Li, L. Effect of triethanolamine hydrochloride on the performance of cement paste. Constr. Build. Mater. 2019, 200, 218–225. [Google Scholar] [CrossRef]
- Chen, X.; Yao, G.; Herrero-Bervera, E.; Cai, J.; Zhou, K.; Luo, C.; Jiang, P.; Lu, J. A new model of pore structure typing based on fractal geometry. Mar. Petrol. Geol. 2018, 98, 291–305. [Google Scholar] [CrossRef]
- Yaphary, Y.L.; Yu, Z.; Lam, R.H.W.; Lau, D. Effect of triethanolamine on cement hydration toward initial setting time. Constr. Build. Mater. 2017, 141, 94–103. [Google Scholar] [CrossRef]
- Yan-Rong, Z.; Xiang-Ming, K.; Zi-Chen, L.; Zhen-Bao, L.; Qing, Z.; Bi-Qin, D.; Feng, X. Influence of triethanolamine on the hydration product of portlandite in cement paste and the mechanism. Cem. Concr. Res. 2016, 87, 64–76. [Google Scholar] [CrossRef]










| Composition | SiO2 | Fe2O3 | Al2O3 | CaO | MgO | SO3 | f-CaO | LOI | Total |
|---|---|---|---|---|---|---|---|---|---|
| Content (%) | 22.62 | 3.65 | 5.29 | 65.12 | 1.61 | 0.45 | 1.0 | 0.26 | 100 |
| Types | Temperature of Hydration/℃ | n | KNG | KI | KD |
|---|---|---|---|---|---|
| BLANK | 20.0 | 1.98 | 0.050 | 0.013 | 0.0025 |
| CNA | 20.0 | 1.81 | 0.059 | 0.017 | 0.0033 |
| Types | Peak1 Time (min) | Peak2 Time (min) | Primary Peak Time (min) |
|---|---|---|---|
| BLANK | 124.2 | 422.7 | 555.4 |
| CNA | 74.9 | 340.6 | 450.3 |
| TEA | 93.6 | 368.6 | 481.7 |
| Types | BET Surface (m2/g) | Amount of C-S-H (%) |
|---|---|---|
| BLANK | 18.29 | 13.49 |
| CNA | 28.87 | 25.44 |
| TEA | 17.77 | 12.91 |
| Types | Hydration Degree | Fractal Dimension of Hydration Products |
|---|---|---|
| BLANK | 0.632 | 1.62 |
| CNA | 0.641 | 1.67 |
| TEA | 0.615 | 1.56 |
Publisher’s Note: MDPI stays neutral with regard to jurisdictional claims in published maps and institutional affiliations. |
© 2021 by the authors. Licensee MDPI, Basel, Switzerland. This article is an open access article distributed under the terms and conditions of the Creative Commons Attribution (CC BY) license (https://creativecommons.org/licenses/by/4.0/).
Share and Cite
Zhao, W.; Ji, X.; Jiang, Y.; Pan, T. Effect of C-S-H Nucleating Agent on Cement Hydration. Appl. Sci. 2021, 11, 6638. https://doi.org/10.3390/app11146638
Zhao W, Ji X, Jiang Y, Pan T. Effect of C-S-H Nucleating Agent on Cement Hydration. Applied Sciences. 2021; 11(14):6638. https://doi.org/10.3390/app11146638
Chicago/Turabian StyleZhao, Wenhao, Xuping Ji, Yaqing Jiang, and Tinghong Pan. 2021. "Effect of C-S-H Nucleating Agent on Cement Hydration" Applied Sciences 11, no. 14: 6638. https://doi.org/10.3390/app11146638
APA StyleZhao, W., Ji, X., Jiang, Y., & Pan, T. (2021). Effect of C-S-H Nucleating Agent on Cement Hydration. Applied Sciences, 11(14), 6638. https://doi.org/10.3390/app11146638

