Next Article in Journal
Carbazole Derivatives as STAT Inhibitors: An Overview
Next Article in Special Issue
Optical Chirality Determined from Mueller Matrices
Previous Article in Journal
Automated Extraction and Time-Cost Prediction of Contractual Reporting Requirements in Construction Using Natural Language Processing and Simulation
Previous Article in Special Issue
Plasmonic Elliptical Nanohole Arrays for Chiral Absorption and Emission in the Near-Infrared and Visible Range
 
 
Font Type:
Arial Georgia Verdana
Font Size:
Aa Aa Aa
Line Spacing:
Column Width:
Background:
Article

Quantification of Optical Chirality in Cellulose Nanocrystal Films Prepared by Shear-Coating

by
Olga Rubí Juárez-Rivera
1,
Reina Araceli Mauricio-Sánchez
1,
Kenneth Järrendahl
2,
Hans Arwin
2 and
Arturo Mendoza-Galván
1,*
1
Cinvestav-Unidad Querétaro, Libramiento Norponiente 2000, 76230 Querétaro, Mexico
2
Materials Optics, Department of Physics, Chemistry and Biology, Linköping University, SE-581 83 Linköping, Sweden
*
Author to whom correspondence should be addressed.
Appl. Sci. 2021, 11(13), 6191; https://doi.org/10.3390/app11136191
Submission received: 2 June 2021 / Revised: 24 June 2021 / Accepted: 30 June 2021 / Published: 3 July 2021
(This article belongs to the Special Issue Optical Chirality: Structures, Detection and Applications)

Abstract

Featured Application

Chiral films are susceptible to changes in humidity enabling humidity detectors. They can also be used in optical devices due to their interesting polarization properties.

Abstract

Evaporation-induced-self-assembly is widely used to produce chiral cellulose nanocrystal (CNC) free-standing films reflecting left-handed polarized light. Research on supported chiral CNC films is rather scarce. The reflection and/or transmission of unpolarized light are the most common optical techniques used to characterize the selective reflection of CNC films whereas the use of techniques to quantify chiral properties is limited. Here, the fabrication of chiral CNC films supported on glass substrates by a shear-coating method, as well as a full characterization of their polarization properties, are reported. Optical chirality is evidenced in films, showing a brilliant blue structural color when viewed through a left-handed polarizer and darkness through a right-handed polarizer. Mueller-matrix data in the reflection and transmission modes are used to quantitatively characterize the structural origin of color in the films. The quantification of the linear and circular birefringence, as well as circular dichroism, is performed by analytical inversion of the Mueller matrix data in the transmission mode and regression analysis using Tellegen constitutive equations. The equivalence of the two methods to quantify the structural chirality in CNC films is demonstrated. The swelling of films in water and kinetics during drying is studied by reflection spectroscopy.

1. Introduction

Cellulose nanocrystals (CNCs) extracted by acid hydrolysis from cellulose fibrils have seen increasing interest from the scientific community because of their sustainability, large availability, and low cost, as well as for their potential to create nanostructured materials with optical properties that can be exploited as humidity sensors [1], conductive and thermal responsive devices [2], and optical filters [3]. Recent reviews account for the widespread range of potential applications of CNC materials [4,5,6].
Depending on concentration, a CNC suspension can be in an isotropic in a biphasic or in an anisotropic phase, and at higher concentrations a gel is formed [7]. The anisotropic phase, which corresponds to chiral nematic liquid crystal ordering is of interest for the manufacture of chiral films. In a suspension of CNC above a critical concentration, nucleation of the anisotropic phase occurs forming anisotropic droplets (tactoids) surrounded by an isotropic environment. Gravity causes sedimentation, giving rise to a phase separation, which can be detected macroscopically. The isotropic phase appears dark when observed through crossed linear polarizers, whereas the anisotropy phase appears bright [8]. The phase separation is a phenomenon that can take anywhere from a few hours to several weeks [9].
CNC films formed from slow evaporation of a suspension in the nematic chiral phase preserve their arrangement [9]. The chiral nematic ordering is characterized by CNC preferentially oriented in pseudo-planes along a certain unit vector (the director). The director of adjacent pseudo-planes is rotated by a small constant angle about the helix axis. The pitch (Λ) of the structure corresponds to the distance separating two pseudo-planes when the director has completed a full rotation of 360°. The helical microstructure in the chiral film enables selective Bragg reflection, which refers to the reflection of left circular polarized light in a spectral range centered at wavelength λmax [10],
λ max = n av Λ cos θ t ,
where nav is the in-plane average refractive index and θt the angle of wave propagation in the film and is determined from the law of refraction, nasinθ = navsinθt, where θ is the angle of incidence and na is the refractive index of the surrounding ambient. However, there are many factors involved during the drying process that interfere with the collapse of the microstructure, leading to the production of defects in the films. To achieve a homogeneous pitch and helical axis orientation in areas of hundreds of square micrometers is a current challenge, and is the focus of attention for several research groups. Several approaches have been reported to manufacture homogenous CNC chiral films, like phase separation [11], application of orbital shear flow during drying [12], planar anchoring [13], or promoting tactoid annealing [14]. Obtaining a homogeneous microstructure, controlling both the orientation of the helical axis and the pitch, results in films with a reflection of left circular light in a narrow range of wavelengths, which is a desirable characteristic for their use in applications.
In addition to film casting, the use of a doctor blade method for the preparation of CNC films on glass substrates has been reported [15]. In that work, birefringent films were obtained because of the alignment of the CNC in the direction of the applied shear stress [15]. Other authors used a similar method based on convective-shear assembly to obtain the same alignment effect of CNC on gold and silica substrates [16]. Dip coating of non-sonicated CNC suspensions also produce birefringent films, as reported by our group [17].
To characterize the chiral response of self-assembled CNC films, circular dichroism spectroscopy has been used, but often the strong signal produces saturation in the detector [1]. Furthermore, causality requires that circular birefringence should be determined too. A complete description of the polarization and depolarization properties of a sample is obtained by using the Mueller matrix approach [18]. In this approach, a 4 × 4 matrix representing the sample can be determined from measurements in the reflection or transmission modes. Previously, a Mueller matrix approach was used to characterize chiral CNC free-standing films with a mosaic-like texture, that is, films with a wide range in color reflected by each color domain [19].
In this work, we report the fabrication of glass-supported CNC chiral films by shear-coating. The films display an iridescent structural color in areas of cm2. Mueller matrix measurements at several angles of incidence in the reflection mode, as well as transmission at normal incidence, are used to characterize the optical response of the CNC films. The elementary polarization properties of the films are extracted from the experimental Mueller matrix in transmission mode, by analytical inversion and by regression analysis using Tellegen constitutive equations as well. Immersion of the films in deionized water shows the swelling property and the kinetics of the drying is studied by reflection spectroscopy.

2. Materials and Methods

2.1. Preparation of the CNC Suspension

CNC aqueous suspensions were prepared as reported in the literature [9,20]. Ashless filter paper (Whatman40) was chosen as a source of cellulose. An amount of 8 g was milled on a miller of coffee type to increase the surface area (three cycles of 30 s each). The milled filter paper was hydrolyzed with 70 mL of 64 wt% sulfuric acid (J. T. Baker) at 60 °C for 60 min under mechanical stirring. To stop the reaction, 700 mL of cold distilled water was added and left to rest for 24 h. The top clear layer was decanted, and the bottom part was centrifuged three times at 9000 rpm for 10 min. These washes helped to separate the CNC from the amorphous parts that were hydrolyzed. To continue the isolation of the nanocrystals, the suspension was dialyzed against distilled water with a dialysis tubing cellulose membrane (Sigma Aldrich, St. Louis, MO, USA) for a week with periodic changes of water. The resultant viscous suspension was left to evaporate under continuous stirring until it reached a 6.5 wt% concentration. Ultrasonic power was not applied to disperse the suspension, but it was left undisturbed for 18 days at room temperature before use.

2.2. Preparation of Glass-Supported Films by Shear-Coating

Glass slides of 25 × 75 mm (Corning 2947) washed with water and detergent were used as the substrates and coater plates. The procedure is very similar to that reported by Hoeguer et al. [16]. A schematic representation is shown in Figure 1. The substrate was placed on a horizontal surface, and a 0.5 mL drop of CNC suspension was deposited on one end of the glass slide (Figure 1a). The coater plate was then placed with an inclination of approximately 35° with respect to the substrate, and was put in contact with the suspension, which adhered through capillary forces, as depicted in Figure 1b. Then, the suspension was distributed to the other side of the substrate by moving the coater plate at 5 mm/s in the direction indicated with the red arrow in Figure 1c (the substrate remained fixed). The sample with the suspension distributed was placed inside a Petri dish (90 mm diameter) on a horizontal surface. To promote slow water evaporation, water droplets were added around the coated-glass slide and the Petri dish was covered (Figure 1d). This drying scheme allows for more time for helix ordering before the kinetic arrest of the microstructure [13]. The evaporation took three days at room temperature.

2.3. Characterization Techniques

The films were imaged using polarized optical microscopy (POM) with an Olympus BX60 optical microscope equipped with a Hitachi KP-D50 color digital camera. Left- and right-handed sheet polarizers (Edmund Optics, Barrington, NJ, USA) were used to evidence optical chirality. Mueller matrix measurements in transmission and reflection modes were performed with a dual rotating compensator spectroscopic ellipsometer (RC2, J. A. Woollam Co., Inc., Lincoln, NE, USA). A collimated beam (4 mm in diameter) was used for measurements in transmission mode at normal incidence in the wavelength (λ) range of 210–1690 nm. For these measurements, the shear direction was placed vertically (along the y-axis) and the beam path was assumed along the z-axis. In the reflection mode the measurements were taken at angles of incidence (θ) from 20° to 70° in steps of 5° using focusing probes, whereby areas with a diameter below 100 μm in were sampled [19,21]. The use of focusing probes limited the wavelength range to 210–1000 nm. Regression analysis was performed with the WVASE software (RC2, J. A. Woollam Co., Inc., Lincoln, NE, USA). The reflectance spectra of unpolarized light were measured in the wavelength range of 350–1000 nm with a CHEM4 system (Ocean Optics, Inc., Dunedin, FL, USA) using an optical fibre probe. The latter had six illumination fibres around one read fibre. The effective angle of incidence was 25° with a spot size of about 0.4 mm in diameter. A silicon wafer was used to calibrate the measurements. The thicknesses of the films were determined from scanning electron microscopy images using Phillips XL30 ESEM equipment. To avoid overcharging, a thin layer of conductive graphite was deposited using a Denton Vacuum Desk V using argon as the carrier gas.

3. Results and Discussion

3.1. Visual Appearance of CNC Films

Figure 2a shows an image of a CNC film taken through a left circular polarizer. As can be seen, a bright blue color extends over areas of several cm2 with border effects. In a visual test of the selective Bragg reflection, it is observed that the sample appears dark when viewed through a right circular polarizer, as shown in Figure 2b. This optical chirality is indicative of a of left-handed chiral structure in the CNC film. The reflection of the left-handed polarization implies the transmission of the right-handed complementary polarization. The quantification of these effects is discussed below in Section 3.2. Figure 2c shows a POM image of the center of the film. At this scale, the color domains are blue and cover areas of hundreds of square micrometers. The small variation of the color of the domains is indicative of a small variation in pitch. In summary, although the deposition method used in this work applies a shear stress on the suspension, it is not strong enough to break the tactoids in the chiral nematic liquid crystal phase, but might cause elongation in the direction in which the stress was exerted [7].
The fabrication of supported CNC films by shear-coating methods has been reported to produce films with ordered/oriented CNC [15,16,22]. Doctor blade coating of a highly concentrated CNC suspension (11.8 wt%) aligned the CNC along the direction of the applied stress, producing birefringent films with a thickness of about 30 μm [15]. In another report, ultrathin films (thicknesses in the range 17–85 nm) with ordered CNC were shear-coated using a low volume (10 μL) of a ramie CNC suspension at a concentration 2.5% [16]. Other authors reported a study of blade coated films from sonicated CNC suspensions using hydrolyzed filter paper [22]. In that work, the films prepared from a suspension in the biphasic regime (6.98 vol%) lost the birefringent effect in a few minutes, relaxing to a polydomain structure. However, the spectroscopic properties were not reported. A suspension in the anisotropic phase (11.6 vol%) was required in order to produce a permanent alignment of CNC [22]. In the present work, a non-sonicated suspension in the biphasic regime (6.5 wt%) stored for 18 days was used to produce CNC chiral films. It is important to emphasize the importance of the storage time of the suspension as the films produced with a fresh suspension did not show colors. This proves that the formation of the anisotropic phase takes time after preparation from a non-sonicated CNC suspension. A detailed study on the effect of the storage time on non-sonicated suspensions will be reported elsewhere.

3.2. Polarization Properties of CNC Chiral Films

A complete description of the polarization and depolarization properties of a linear optical system is given by the Stokes−Mueller formalism [18]. In this approach, light beams are assumed to travel along the z-axis and are represented by column vectors S = [I, Q, U, V]T (T means transpose), where I represents the total irradiance, Q > 0 (<0) accounts the tendency for linear polarization along the x-axis (y-axis), U > 0 (< 0) is the tendency for linear polarization at +45° (−45°) in the xy-plane, and V > 0 (<0) the right (left) circular character of polarization. After interacting with a sample, the Stokes vector of the resulting beam is given by S’ = MS, where M = {Mij} (i,j = 1…4) is the 4 × 4 Mueller matrix representing the sample. In this work, normalized Mueller matrices (mij = Mij/M11) and Stokes vectors (S0 = 1) are used. For measurements in the reflection mode at the oblique incidence, the xy axes were replaced with those parallel (p) and perpendicular (s) to the plane of incidence.
Figure 3 shows Mueller matrices measured in the reflection mode as a contour map representation. The angle of incidence dependence is on the vertical axis and the wavelength dependence is on the horizontal axis. This contour map looks similar to that reported for the beetle Cotinis mutabilis [21] and displays the same symmetries among elements, as reported for multidomain free-standing CNC chiral films [19]. In general, the symmetries expected for a chiral system are fulfilled [23], as follows: m12 = m21, m13 = −m31, m14 = m41, m23 = −m32, m24 = m42, and m34 = −m43. As for unpolarized incident light S = [0,0,0,1]T, the reflected beam is given as S = [1, m21, m31, m41]T. The negative values in the m41 element for small angles of incidence account for selective Bragg reflection with left-handed polarization. Homogeneous blue color was perceived on large areas of the CNC film, as shown in Figure 2, so it was expected to find selective reflection at short wavelengths of the visible range. Indeed, for an angle of incidence 20°, m41 had a minimum at about 400 nm and the band of selective reflection extended to the visible range. The spectra of the normalized Mueller matrices are shown in Figure A1 in Appendix A. The minimum in m41 shifted to shorter wavelengths as the angle of incidence increased, which is indicative of iridescence, a property distinctive of self-assembled CNC films.
The experimental Mueller matrix in transmission mode at normal incidence shows selective Bragg reflection in a narrow range, as can be noticed in Figure A2 in Appendix A. Data below a wavelength 300 nm were omitted because of the strong absorption of the glass substrate. To highlight the most important features, Figure 4 shows the experimental data (continuous curves) in the range of 300–600 nm. Thus, for unpolarized incident light the transmitted beam is right-handed polarized (m41 > 0) in a band centered at a wavelength of about 415 nm. The latter value agrees with that of 400 nm found for the reflection at θ = 20°, according to Equation (1), taking nav = 1.54 for cellulose [24]. The mean pitch is about 270 nm. Data represented with dashed curves in Figure 4 correspond to the fit described below in Section 3.4.
To quantify the polarization properties, the capability of the system to depolarize incident polarized light is tested first. This can be done by the polarization index PΔ of a Mueller matrix M given by [25],
P Δ = tr M T M 1 3 ,
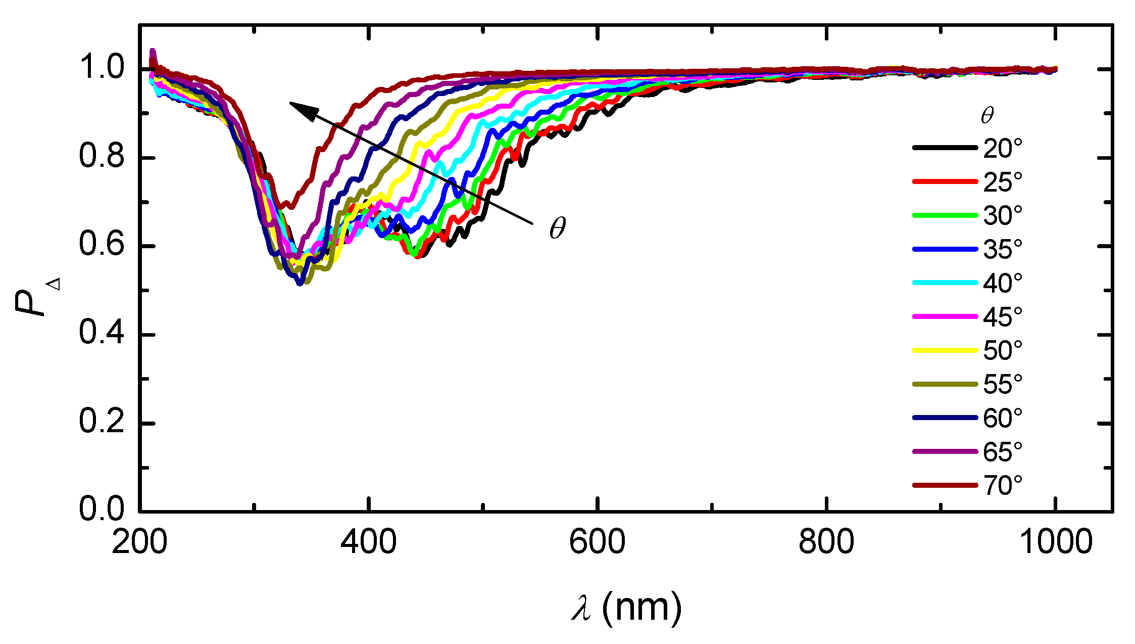
where tr stands for trace. A value of PΔ = 0 corresponds to an ideal depolarizer and PΔ = 1 to a non-depolarizing system. As can be seen in Figure 5, PΔ for M measured in the transmission mode shows that the chiral CNC film practically does not depolarize incident polarized light, because the average value of PΔ is 0.998 ± 0.004. On the other hand, PΔ for measurements in the reflection mode appreciably deviates from unity in the band of selective reflection (Figure A3 in Appendix A).
The difference in PΔ between normal incidence transmission and oblique incidence reflection measurements can be understood in terms of the model developed for the cuticle of scarab beetles with selective Bragg reflection [26]. In that model, non-uniformity in the thickness was assumed and ideal Mueller matrices were calculated for nine thicknesses (d) within the interval d − Δd and d + Δd. The Gaussian weighted average of those ideal Mueller matrices represent lateral variations in the chiral structure, which gives rise to incoherent superposition of the light reflected from the non-uniform cuticle causing light depolarization. In the cuticle of beetles, it was found that a non-uniformity in thickness of about 2.4% produced deviations in PΔ of the same order as those observed for the CNC chiral films investigated here (Figure A3 in Appendix A). From a cross-sectional SEM image of the film (Figure A4 in Appendix A), a thickness d = 18.1 ± 0.4 μm was determined. The standard deviation gave a 2.2% non-uniformity, supporting the origin of depolarization in the present case as being analogous to the case of beetles. On the other hand, for measurements in transmission at normal incidence, the emerging wave is built by a single trip across the film thickness and the left-handed polarization component is (partially) filtered out. As the variation in thickness is about 2%, only small differences are expected, and nearly coherent superposition is achieved. That is, the phase difference between the two orthogonal components of the incident polarized light changes continuously, but not randomly. A similar situation was reported for free-standing chiral CNC films, where PΔ was noticeably larger for oblique reflection than for normal incidence transmission [19].

3.3. Elementary Polarization Properties from Normal Incidence Transmission Mueller Matrix

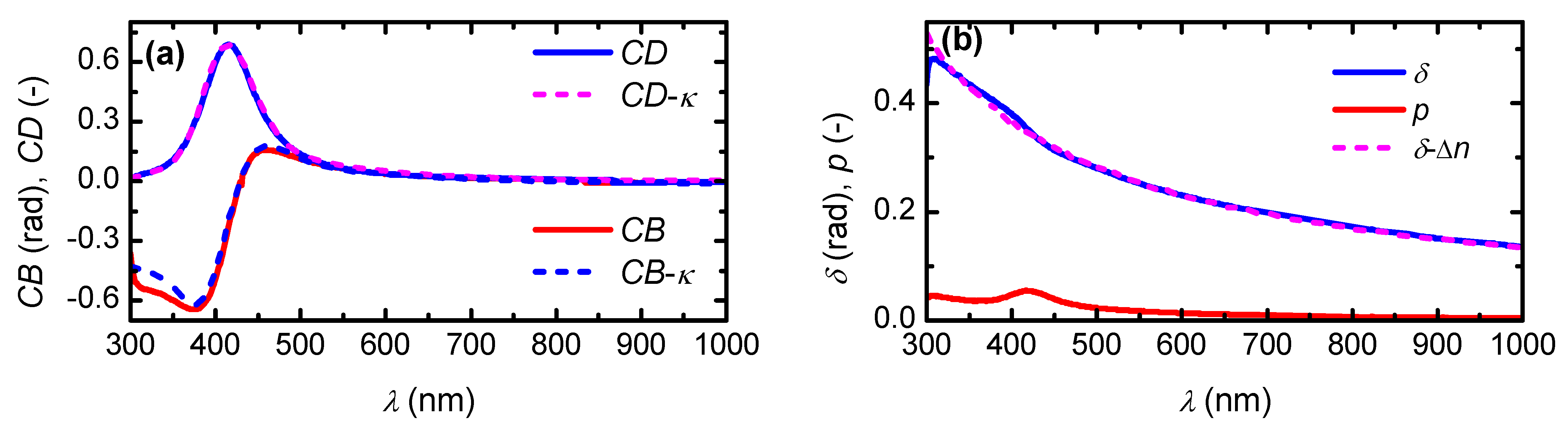
In the previous section, the reflection of left-handed polarization and the transmission of right-handed polarization in shear-coated CNC films were proven by the sign of the m41 element of the measured Mueller matrices. However, the quantification of circular dichroism (CD), circular birefringence (CB), linear birefringence (LB, LB’), and linear dichroism (LD, LD’) requires of a more complete analysis. The fact that PΔ ≈ 1 in transmission, as shown in Figure 5, makes the use of an analytical expression to calculate the six elementary polarization properties from the experimental Mueller matrix possible [27]. The parameters LB (LD) and LB’ (LD’) are the linear birefringence (dichroism) along the x-y and ±45° axes, respectively. LB and LB’ are related to the linear retardance δ as LB = δcos2φ and LB’ = δsin2φ, where φ is the angle between the xy frame and the principal axes frame of the sample. LD and LD’ obey a similar relationship related to the diattenuation coefficient p (the main property of a linear polarizer). To eliminate such orientational dependence, the linear retardance and linear diattenuation can be derived via δ = (LB2 + LB2)1/2 and p = (LD2 + LD2)1/2, respectively.
Figure 6a shows that CD and CB are present for wavelengths below 500 nm. The linear retardance in Figure 6b is attributed to the alignment of some CNC in the direction of the applied shear during deposition. However, the values of δ are one order of magnitude smaller than those obtained in the dip-coated birefringent CNC films by our group [17]. It can also be noticed that there is a very low linear diattenuation. Data represented with dashed curves in Figure 6 correspond to the analysis described in Section 3.4 below.

3.4. Effective Structural Chirality Parameter Determined from Tellegen Constitutive Equations

The structural chirality can also be assessed using the Tellegen constitutive equations, which has recently been applied to the scarab beetle Cetonia aurata [28]. For a reciprocal medium, the electromagnetic coupling is described by the chirality tensor κ, and Tellegen constitutive equations are given by the following
D = ε 0 ε E + i c 1 κ H B = i c 1 κ T E + μ 0 μ H ,
where D, E, B, and H are the electric displacement field, electric field, magnetic flux density, and magnetic field, respectively. The dielectric tensor ε = diag(nx2, ny2, nz2) in the principal axis frame, the complex chirality tensor κ = κI (κ = κ′ + iκ″), and the permeability tensor μ, represent the materials properties (for non-magnetic materials μ = I); fundamental constants of vacuum are the speed of light c, permittivity ε0, and permeability μ0. The refractive indices were modeled with the Cauchy expression, as follows
n j = A j + B j λ 2 + C j λ 4 , ,
where Aj, Bj, and Cj are fitting parameters and λ is given in units of μm.
The chirality parameter was modeled with gaussian functions,
κ = j = 1 2 A j [ exp [ ( E E 0 j Γ j ) 2 ] exp [ ( E + E 0 j Γ j ) 2 ] ] κ = κ 0 + KK ( κ 2 ) ,
where Aj, E0j, and Γj are the amplitude, central energy, and broadening, respectively; κ0 is an offset; and KK refer to a Kramers-Kronig transformation. The thickness of the film is d = 18.1 ± 0.4 μm, as determined from a cross-sectional SEM image (Figure A4 in Appendix A). The values of the fitting parameters in Equations (4) and (5) are shown in Table 1 and Table 2, respectively. From the fitting, φ = −180.2° is obtained, which is consistent with the sample position during the measurement. As can be seen in Figure 4, Tellegen constitutive equations give a very good description of the experimental Mueller matrix. Furthermore, Figure 6a shows that circular polarization properties and the chirality parameter fulfill the relationship CB + Icd = 4πdκ/λ. The retardation obtained from the analytical inversion agrees very well with that determined by the relationship δ = 2πdΔn/λ (Figure 6b), where Δn = nynx is the film birefringence.

3.5. Swelling and Drying of CNC Chiral Films

CNC chiral films have been proposed as humidity colorimetric detectors, taking advantage of the swelling properties of cellulose materials. The swelling of the glass-supported CNC chiral films was investigated by immersing the film in deionized water for 1 min and then measuring the reflectance as a function of the drying time at room conditions (25 °C and 45% relative humidity). Figure 7a shows an image of the sample just after immersion, and as can be seen, the central part looked light green. After 1.3 min of drying, that part turned to light blue (Figure 7b), and finally became a strong blue as shown in Figure 7c. The time evolution of the reflectance spectra is shown in Figure 7d. In these measurements, λmax in the dry film is located at 395 nm and shifts to 477 nm after immersion in water. This shows that the average pitch increases by about 20% as the film swells. The swelling is similar to that reported for neat CNC free-standing films [1,29]. As the film gets dry, the band of selective reflection monotonically shifts to shorter wavelengths. The experimental time-dependence of λmax is shown with the symbols in Figure 7e, and the line corresponds to a fitting with an exponential decaying function, λmax = λ0 + Aexp(−t/τ), where λ0 = 395 nm is the wavelength for the reflection of the dry film, A = 85.1 ± 2.1 nm and τ = 1.20 ± 0.06 min. The relaxation time τ is of the same order of magnitude as reported for free-standing CNC films [30,31]. The introduction of highly hydrophilic molecules like glycerol [1,29] and polyols [32] in free-standing CNC films produces larger swelling. The improvement of the swelling capabilities of glass-supported CNC chiral films is the subject of ongoing research by our group.

4. Conclusions

Glass-supported CNC chiral films were obtained from non-sonicated CNC suspensions after 18 days of equilibration. The films display a blue color in zones of several cm2. Mueller matrix spectroscopic measurements demonstrated iridescence and reflection of left-handed polarized light in a band centered at 400 nm. The transmission of right-handed polarized light was demonstrated at normal incidence. Linear and circular birefringence, as well as linear and circular dichroism, were obtained by analytical inversion of the non-depolarizing Mueller matrix. Those polarization parameters agree with those obtained from the regression analysis of the data using the Tellegen constitutive equations. The glass-supported chiral CNC films swelled when immersed in water and the drying kinetics was studied.

Author Contributions

Conceptualization, O.R.J.-R., R.A.M.-S., K.J., H.A., and A.M.-G.; formal analysis, O.R.J.-R., R.A.M.-S., K.J., H.A., and A.M.-G.; investigation, O.R.J.-R.; methodology, O.R.J.-R. and R.A.M.-S.; project administration, A.M.-G.; resources, K.J. and H.A.; supervision, A.M.-G.; validation, R.A.M.-S.; visualization, O.R.J.-R. and A.M.-G.; writing—original draft, O.R.J.-R.; writing—review and editing, R.A.M.-S., K.J., H.A., and A.M.-G. All of the authors have read and agreed to the published version of the manuscript.

Funding

This research received no external funding.

Institutional Review Board Statement

Not applicable.

Informed Consent Statement

Not applicable.

Data Availability Statement

The data presented in the study are available in the article (figures and tables).

Acknowledgments

O.R.J.R. acknowledges the scholarship (782810) from Conacyt-Mexico for doctoral studies. J.E. Urbina-Álvarez is acknowledged for assistance with SEM measurements. K.J. acknowledges the Swedish Government Strategic Research Area in Materials Science on Advanced Functional Materials at Linköping University (Faculty Grant SFO-Mat-Liu no. 2009-000971).

Conflicts of Interest

The authors declare no conflict of interest.

Appendix A

Figure A1. Mueller-matrix spectra at several angles of incidence measured in reflection mode.
Figure A1. Mueller-matrix spectra at several angles of incidence measured in reflection mode.
Applsci 11 06191 g0a1
Figure A2. Mueller matrix measured in transmission mode at normal incidence. Data below wavelength 300 nm are omitted because of the strong absorption of the glass substrate.
Figure A2. Mueller matrix measured in transmission mode at normal incidence. Data below wavelength 300 nm are omitted because of the strong absorption of the glass substrate.
Applsci 11 06191 g0a2
Figure A3. Polarization index of Mueller matrices at several angles of incidence in Figure A1.
Figure A3. Polarization index of Mueller matrices at several angles of incidence in Figure A1.
Applsci 11 06191 g0a3
Figure A4. Cross-sectional scanning electron microscopy image of the film.
Figure A4. Cross-sectional scanning electron microscopy image of the film.
Applsci 11 06191 g0a4

References

  1. Xu, M.; Li, W.; Ma, C.; Yu, H.; Wu, Y.; Wang, Y.; Chen, Z.; Li, J.; Liu, S. Multifunctional chiral nematic cellulose nanocrystals/glycerol structural colored nanocomposites for intelligent responsive films, photonic inks and iridescent coatings. J. Mater. Chem. C 2018, 6, 5391–5400. [Google Scholar] [CrossRef]
  2. Santos, M.V.; Tercjak, A.; Gutierrez, J.; Barud, H.S.; Napoli, M.; Nalin, M.; Ribeiro, S.J.L. Optical sensor platform based on cellulose nanocrystals (CNC)—4′-(hexyloxy)-4-biphenylcarbonitrile (HOBC) bi-phase nematic liquid crystal composite films. Carbohydr. Polym. 2017, 168, 346–355. [Google Scholar] [CrossRef] [PubMed]
  3. De La Cruz, J.A.; Liu, Q.; Senyuk, B.; Frazier, A.W.; Peddireddy, K.; Smalyukh, I.I. Cellulose-based reflective liquid crystal films as optical filters and solar gain regulators. ACS Photonics 2018, 5, 2468–2477. [Google Scholar] [CrossRef]
  4. Zhu, Q.; Liu, S.; Sun, J.; Liu, J.; Kirubaharan, C.J.; Chen, H.; Xu, W.; Wang, Q. Stimuli-responsive cellulose nanomaterials for smart applications. Carbohydr. Polym. 2020, 235, 115933. [Google Scholar] [CrossRef] [PubMed]
  5. Xu, C.; Huang, C.; Huang, H. Recent advances in structural color display of cellulose nanocrystal materials. Appl. Mater. Today 2021, 22, 100912. [Google Scholar] [CrossRef]
  6. Peng, Z.; Lin, Q.; Tai, Y.-A.A.; Wang, Y. Applications of cellulose nanomaterials in stimuli-responsive optics. J. Agric. Food Chem. 2020, 68, 12940–12955. [Google Scholar] [CrossRef] [PubMed]
  7. Xu, Y.; Atrens, A.; Stokes, J.R. A Review of nanocrystalline cellulose suspensions: Rheology, liquid crystal ordering and colloidal phase behaviour. Adv. Colloid Interface Sci. 2020, 275, 102076. [Google Scholar] [CrossRef]
  8. Schütz, C.; Bruckner, J.R.; Honorato-Rios, C.; Tosheva, Z.; Anyfantakis, M.; Lagerwall, J.P.F. From equilibrium liquid crystal formation and kinetic arrest to photonic bandgap films using suspensions of cellulose nanocrystals. Crystals 2020, 10, 199. [Google Scholar] [CrossRef]
  9. Revol, J.F.; Bradford, H.; Giasson, J.; Marchessault, R.H.; Gray, D.G. Helicoidal self-ordering of cellulose microfibrils in aqueous suspension. Int. J. Biol. Macromol. 1992, 14, 170–172. [Google Scholar] [CrossRef]
  10. Mendoza-Galván, A.; Järrendahl, K.; Arwin, H. Graded circular Bragg reflectors: A semi-analytical retrieval of approximate pitch profiles from Mueller-matrix data. J. Opt. 2019, 21, 125401. [Google Scholar] [CrossRef]
  11. Klockars, K.W.; Tardy, B.L.; Borghei, M.; Tripathi, A.; Greca, L.G.; Rojas, O.J. Effect of anisotropy of cellulose nanocrystal suspensions on stratification, domain structure formation, and structural colors. Biomacromolecules 2018, 19, 2931–2943. [Google Scholar] [CrossRef]
  12. Park, J.H.; Noh, J.; Schütz, C.; Salazar-Alvarez, G.; Scalia, G.; Bergström, L.; Lagerwall, J.P.F. Macroscopic control of helix orientation in films dried from cholesteric liquid-crystalline cellulose nanocrystal suspensions. Chem. Phys. Chem. 2014, 15, 1477–1484. [Google Scholar] [CrossRef]
  13. Saha, P.; Davis, V.A. Photonic properties and applications of cellulose nanocrystal films with planar anchoring. ACS Appl. Nano Mater. 2018, 1, 2175–2183. [Google Scholar] [CrossRef]
  14. Tran, A.; Hamad, W.Y.; MacLachlan, M.J. Tactoid annealing improves order in self-assembled cellulose nanocrystal films with chiral nematic structures. Langmuir 2018, 34, 646–652. [Google Scholar] [CrossRef] [PubMed]
  15. Chowdhury, R.A.; Peng, S.X.; Youngblood, J. Improved order parameter (alignment) determination in cellulose nanocrystal (CNC) films by a simple optical birefringence method. Cellulose 2017, 24, 1957–1970. [Google Scholar] [CrossRef]
  16. Hoeger, I.; Rojas, O.J.; Efimenko, K.; Velev, O.D.; Kelley, S.S. Ultrathin film coatings of aligned cellulose nanocrystals from a convective-shear assembly system and their surface mechanical properties. Soft Matter 2011, 7, 1957–1967. [Google Scholar] [CrossRef]
  17. Mendoza-Galván, A.; Tejeda-Galán, T.; Domínguez-Gómez, A.B.; Mauricio-Sánchez, R.A.; Järrendahl, K.; Arwin, H. Linear birefringent films of cellulose nanocrystals produced by dip-coating. Nanomaterials 2019, 9, 45. [Google Scholar] [CrossRef]
  18. Goldstein, D.H. Polarized Light, 3rd ed.; CRC Press: Boca Raton, FL, USA, 2011. [Google Scholar]
  19. Mendoza-Galván, A.; Muñoz-Pineda, E.; Ribeiro, S.J.L.; Santos, M.V.; Järrendahl, K.; Arwin, H. Mueller matrix spectroscopic ellipsometry study of chiral nanocrystalline cellulose films. J. Opt. 2018, 20, 024001. [Google Scholar] [CrossRef]
  20. Dong, X.M.; Revol, J.F.; Gray, D.G. Effect of microcrystallite preparation conditions on the formation of colloid crystals of cellulose. Cellulose 1998, 5, 19–32. [Google Scholar] [CrossRef]
  21. Muñoz-Pineda, E.; Järrendahl, K.; Arwin, H.; Mendoza-Galván, A. Symmetries and relationships between elements of the Mueller matrix spectra of the cuticle of the beetle Cotinis mutabilis. Thin Solid Films 2014, 571, 660–665. [Google Scholar] [CrossRef][Green Version]
  22. Haywood, A.D.; Davis, V.A. Effects of liquid crystalline and shear alignment on the optical properties of cellulose nanocrystal films. Cellulose 2017, 24, 705–716. [Google Scholar] [CrossRef]
  23. Bahar, E. Mueller matrices for waves reflected and transmitted through chiral materials: Waveguide modal solutions and applications. J. Opt. Soc. Am. B 2007, 24, 1610–1619. [Google Scholar] [CrossRef]
  24. Seferis, J.C. Refractive index of polymers. In Polymer Handbook, 4th ed.; Brandrup, J., Immergut, E.H., Grulke, E.A., Eds.; John Wiley and Sons: New York, NY, USA, 1999; Volume 6, pp. 571–582. [Google Scholar]
  25. Gil, J.J.; Bernabeu, E. Depolarization and polarization indices of an optical system. Opt. Acta Int. J. Opt. 1986, 33, 185–189. [Google Scholar] [CrossRef]
  26. Mendoza-Galván, A.; Muñoz-Pineda, E.; Järrendahl, K.; Arwin, H. Pitch profile across the cuticle of the scarab beetle Cotinis mutabilis determined by analysis of Mueller matrix measurements. R. Soc. Open Sci. 2018, 5, 181096. [Google Scholar] [CrossRef]
  27. Arteaga, O.; Canillas, A. Analytic inversion of the Mueller-Jones polarization matrices for homogeneous media. Opt. Lett. 2010, 35, 559–561. [Google Scholar] [CrossRef]
  28. Arwin, H.; Magnusson, R.; Järrendahl, K.; Schoeche, S. Effective structural chirality of beetle cuticle determined from transmission Mueller matrices using the Tellegen constitutive relations. J. Vac. Sci. Technol. B 2020, 38, 014004. [Google Scholar] [CrossRef]
  29. He, Y.-D.; Zhang, Z.-L.; Xue, J.; Wang, X.-H.; Song, F.; Wang, X.-L.; Zhu, L.-L.; Wang, Y.-Z. Biomimetic optical cellulose nanocrystal films with controllable iridescent color and environmental stimuli-responsive chromism. ACS Appl. Mater. Interfaces 2018, 10, 5805–5811. [Google Scholar] [CrossRef] [PubMed]
  30. Belbekhouche, S.; Bras, J.; Siqueira, G.; Chappey, C.; Lebrun, L.; Khelifi, B.; Marais, S.; Dufresne, A. Water sorption behavior and gas barrier properties of cellulose whiskers and microfibrils films. Carbohydr. Polym. 2011, 83, 1740–1748. [Google Scholar] [CrossRef]
  31. Shrestha, S.; Diaz, J.A.; Ghanbari, S.; Youngblood, J.P. Hygroscopic swelling determination of cellulose nanocrystal (CNC) films by polarized light microscopy digital image correlation. Biomacromolecules 2017, 18, 1482–1490. [Google Scholar] [CrossRef]
  32. Meng, Y.; Cao, Y.; Ji, H.; Chen, J.; He, Z.; Long, Z.; Dong, C. Fabrication of environmental humidity-responsive iridescent films with cellulose nanocrystal/polyols. Carbohydr. Polym. 2020, 240, 116281. [Google Scholar] [CrossRef]
Figure 1. Schematics of the preparation method: (a) a drop of cellulose nanocrystal (CNC) suspension is deposited onto a glass substrate; (b) another glass slide is placed so that the suspension adheres to it; (c) the coater plate is moved to distribute the suspension; (d) the sample is placed inside a petri dish for the slow evaporation of water in a humid environment.
Figure 1. Schematics of the preparation method: (a) a drop of cellulose nanocrystal (CNC) suspension is deposited onto a glass substrate; (b) another glass slide is placed so that the suspension adheres to it; (c) the coater plate is moved to distribute the suspension; (d) the sample is placed inside a petri dish for the slow evaporation of water in a humid environment.
Applsci 11 06191 g001
Figure 2. Photography of a CNC film through (a) left and (b) right circular polarizers. (c) Polarized optical microscopy (POM) image in reflection mode. Scale bars are 1 cm in (a,b), and 250 μm in (c).
Figure 2. Photography of a CNC film through (a) left and (b) right circular polarizers. (c) Polarized optical microscopy (POM) image in reflection mode. Scale bars are 1 cm in (a,b), and 250 μm in (c).
Applsci 11 06191 g002
Figure 3. Contour map of the reflection Mueller matrix of a CNC glass-supported film. Notice the reflection band with negative values in the m41 element.
Figure 3. Contour map of the reflection Mueller matrix of a CNC glass-supported film. Notice the reflection band with negative values in the m41 element.
Applsci 11 06191 g003
Figure 4. Experimental Mueller matrix in transmission mode at normal incidence. The fit corresponds to Tellegen constitutive equations.
Figure 4. Experimental Mueller matrix in transmission mode at normal incidence. The fit corresponds to Tellegen constitutive equations.
Applsci 11 06191 g004
Figure 5. Polarization index from Equation (2) of the experimental Mueller matrix in Figure 4.
Figure 5. Polarization index from Equation (2) of the experimental Mueller matrix in Figure 4.
Applsci 11 06191 g005
Figure 6. Elementary polarization properties determined from the analytical inversion of experimental Mueller matrix data in Figure 4. (a) Circular dichroism (CD) and circular birefringence (CB). (b) Linear retardance (δ) and linear diattenuation (p). The dashed curves correspond to properties determined using the Tellegen constitutive equations.
Figure 6. Elementary polarization properties determined from the analytical inversion of experimental Mueller matrix data in Figure 4. (a) Circular dichroism (CD) and circular birefringence (CB). (b) Linear retardance (δ) and linear diattenuation (p). The dashed curves correspond to properties determined using the Tellegen constitutive equations.
Applsci 11 06191 g006
Figure 7. (a) Image of a CNC film after immersion in deionized water, (b) after 1.3 min, and (c) after 5.8 min. (d) Time-dependence of the reflectance for unpolarized incident light. (e) Experimental (blue circles) wavelength maxima of selective reflections as a function of drying time; the red curve corresponds to a fitted exponential decay of λmax.
Figure 7. (a) Image of a CNC film after immersion in deionized water, (b) after 1.3 min, and (c) after 5.8 min. (d) Time-dependence of the reflectance for unpolarized incident light. (e) Experimental (blue circles) wavelength maxima of selective reflections as a function of drying time; the red curve corresponds to a fitted exponential decay of λmax.
Applsci 11 06191 g007
Table 1. Cauchy parameters for nx and ny in Equation (4).
Table 1. Cauchy parameters for nx and ny in Equation (4).
AjBjCj
nx1.5773 ± 0.00010.0035 ± 0.0020.00046 ± 5×10−5
ny1.5750 ± 0.0001−7.5×10−6 ± 0.325.1×10−5 ± 2×10−5
Table 2. Gaussian parameters for κ (offset κ0 = −6.64×10−4 ± 4×10−6) in Equation (5).
Table 2. Gaussian parameters for κ (offset κ0 = −6.64×10−4 ± 4×10−6) in Equation (5).
κAj Ej (eV)Γj (eV)
κ10.00055 ± 1×10−52.787 ± 0.0081.41 ± 0.01
κ20.00199 ± 1×10−62.982 ± 0.0010.497 ± 0.003
Publisher’s Note: MDPI stays neutral with regard to jurisdictional claims in published maps and institutional affiliations.

Share and Cite

MDPI and ACS Style

Juárez-Rivera, O.R.; Mauricio-Sánchez, R.A.; Järrendahl, K.; Arwin, H.; Mendoza-Galván, A. Quantification of Optical Chirality in Cellulose Nanocrystal Films Prepared by Shear-Coating. Appl. Sci. 2021, 11, 6191. https://doi.org/10.3390/app11136191

AMA Style

Juárez-Rivera OR, Mauricio-Sánchez RA, Järrendahl K, Arwin H, Mendoza-Galván A. Quantification of Optical Chirality in Cellulose Nanocrystal Films Prepared by Shear-Coating. Applied Sciences. 2021; 11(13):6191. https://doi.org/10.3390/app11136191

Chicago/Turabian Style

Juárez-Rivera, Olga Rubí, Reina Araceli Mauricio-Sánchez, Kenneth Järrendahl, Hans Arwin, and Arturo Mendoza-Galván. 2021. "Quantification of Optical Chirality in Cellulose Nanocrystal Films Prepared by Shear-Coating" Applied Sciences 11, no. 13: 6191. https://doi.org/10.3390/app11136191

APA Style

Juárez-Rivera, O. R., Mauricio-Sánchez, R. A., Järrendahl, K., Arwin, H., & Mendoza-Galván, A. (2021). Quantification of Optical Chirality in Cellulose Nanocrystal Films Prepared by Shear-Coating. Applied Sciences, 11(13), 6191. https://doi.org/10.3390/app11136191

Note that from the first issue of 2016, this journal uses article numbers instead of page numbers. See further details here.

Article Metrics

Back to TopTop